Next Article in Journal
Observations and Forecasts of Urban Transportation Meteorology in China: A Review
Next Article in Special Issue
Indoor Thermal Environment in Different Generations of Naturally Ventilated Public Residential Buildings in Singapore
Previous Article in Journal
A Comparative Analysis of Changes in Temperature and Precipitation Extremes since 1960 between China and Greece
Previous Article in Special Issue
Assessing Indoor Environmental Quality in a Crowded Low-Quality Built Environment: A Case Study
 
 
Font Type:
Arial Georgia Verdana
Font Size:
Aa Aa Aa
Line Spacing:
Column Width:
Background:
Article

Thermal and Acoustic Characterization of Innovative and Unconventional Panels Made of Reused Materials

Department of Mechanical and Industrial Engineering, University of Brescia, Via Branze 38, 25123 Brescia, Italy
Atmosphere 2022, 13(11), 1825; https://doi.org/10.3390/atmos13111825
Submission received: 5 October 2022 / Revised: 21 October 2022 / Accepted: 23 October 2022 / Published: 2 November 2022
(This article belongs to the Special Issue Materials, Technologies, and Methods for the Building Indoor Comfort)

Abstract

Europe calls for a transition to the circular economy model based on recycling, reuse, the proper design of products, and repair. Recycling requires energy and chemical products for waste processing; on the contrary, reusing reduces the impact of transportation and expands the life of materials that cannot be recycled. This article highlights the characteristics of selected end-of-life materials; it aims to raise awareness among manufacturers to consider products’ conscious design to facilitate their reuse in different sectors. Panels 7 cm thick, realized by assembling cardboard packaging, egg boxes, bulk polyester, and felt, have been experimentally tested to understand whether they can be installed indoors to improve thermal and acoustic comfort. The panels’ equivalent thermal conductivity λ e q measured through the guarded hot plate method is 0.071 W/mK. Acoustic tests have been performed in a sound transmission room and a reverberation room. The weighted sound reduction index R w is 19 dB, the weighted sound absorption coefficient α w is 0.30, and the noise reduction coefficient N R C is 0.64. The measured properties have been compared to those of commercial materials, and the results show that the panels have interesting properties from the thermal and acoustic points of view. They could be employed in the building sector and in disadvantaged contexts where low-income people cannot afford commercial insulating materials. Although other factors, such as fire resistance, need to be evaluated, these results show that the proposed approach is feasible.

1. Introduction

Europe calls for a transition from the linear to the circular economic model [1]. The linear economic model adopted for many years consists in extracting raw materials and converting them into products that are used and then disposed [2]. In an economy characterized by raw material scarcity and prohibitive energy prices, this model is no longer sustainable, and a transition to the circular economic model is needed. The circular economy model—in which a product’s life is lengthened as much as possible—is based on recycling, reuse, proper product design, and repair; it aims at more durable products, money-saving, and improvement in people’s quality of life. The European Commission has presented an action plan that aims at more sustainable products, waste reduction, and the empowerment of citizens through the right to repair. According to the European directive [1], waste ceases to be waste when it has undergone a recovery operation (including recycling) and meets specific criteria: the product must be required by the market, meet technical requirements, comply with existing legislation and standards, and must not have negative impacts, neither on the environment nor on human health [3,4]. If recycling requires energy and chemical products for waste processing, reusing reduces the amount of waste generated, the impact due to transportation (from the point of collection to the point of recycling and to the point of reuse), and expands the life of materials that cannot be recycled.
The current global situation—political uncertainties, climate changes, and rising energy prices—calls for a new approach, especially in resource-intensive sectors such as construction. When dealing with building refurbishment, energy-saving and indoor comfort are two increasingly important matters. Two main aspects, thermal and acoustic comfort, are generally developed independently, with few exceptions [5,6]. Thermal comfort is governed, among other variables, by the indoor air temperature, mean radiant temperature, and humidity. Indoor acoustic comfort can be enhanced by mitigating room reverberation time and limiting the sound transmission between confining environments.
To date, production and disposal of the insulating materials available on the market have an environmental impact, and their costs limit their application, especially in disadvantaged contexts where low-income people live: here, dwellings are generally small, overcrowded, unhealthy, and characterized by low indoor temperatures in winter and high indoor temperatures in summer. For improving the living conditions in these contexts—in which acoustic comfort is also a sore point—easily accessible and low-cost technologies should be proposed. Since end-of-life materials, such as packaging and clothes, still possess properties when discarded and turned into waste, they could be reused to realize low-cost building elements. However, to meet regulations and compare different solutions, comprehensive material characterization is required when considering the construction sector. One of the most striking cases of designing packaging also considering its reuse is the one proposed by Heineken [7], which realized square glass bottles that were used to build houses in the Caribbean islands. Also the scientific community has realized the potential of end-of-life materials [8], and several studies have investigated the properties of plastic bottles [9,10], cardboard and paper elements [11,12,13,14,15,16], Tetra-Pak panels [17], textiles waste [18,19,20,21,22], and egg boxes and trays [23,24,25,26,27,28]. More recently, so-called green and sustainable materials made of natural fibers have been investigated [29,30,31,32,33,34,35,36].
Even if most of the studies in the literature investigate the properties of recycled materials [37,38], reuse needs to be re-evaluated and encouraged by highlighting end-of-life materials’ properties. If products’ chemical composition and geometry are defined in the recycling process to meet different needs, this is impossible when dealing with reuse. A conscious packaging design should consider a product’s second life to make it immediately suitable for reuse and prevent it from leaving the economic cycle. Therefore, packaging must meet the requirements of the sector for which it is made but also of the sector in which it will be reused. Packaging manufacturers could diversify their products and develop two product ranges: standard packaging, and packaging to be reused to make other items (such as building elements). For example, a box could be made of fireproof material to make it suitable also for applications where fire resistance is a must. These particular products will have higher prices, but consumers know that once used, they can return (or donate) them, and they are converted into new elements. This approach would also reduce the amount of raw material necessary to realize new products and, consequently, the dependence on commodity countries, which have recently become contentious issues in Europe. In light of this, starting the characterization of materials (such as textiles and packaging) available on the market is essential to highlight potential and critical issues, and to raise awareness of end-of-life materials’ potential.
This article focuses on product reuse and aims at identifying an alternative to the disposal of end-of-life materials; it presents experimental results on materials that in the literature are analyzed only sporadically, and it proposes their reuse outside the sector for which are designed. The methodology followed is that used to certify commercial building products. Since this type of testing, especially acoustic testing, requires large samples and sophisticated instrumentation that only the best-equipped laboratories have, only a few studies in the literature analyze this type of material as extensively as proposed here. Selected end-of-life materials—cardboard elements, egg boxes, and textiles—have been assembled to realize building elements with thermal and acoustic properties, and they are intended for indoor applications (on walls and or ceilings). The panels have been tested in certified laboratories according to current standards: the equivalent thermal conductivity λ e q has been determined through the guarded hot plate method, while the sound transmission loss TL and the sound absorption coefficient α have been measured in the sound transmission room and the reverberation room, respectively.
In the article, aspects to be considered when dealing with building indoor comfort and energy saving are described in Section 2, along with the description of the experimental tests. The results of the experimental campaign are then presented and discussed in Section 3. Finally, the conclusions are drawn.

2. Methods and Results

This study investigates the thermal and acoustic properties of panels realized by assembling selected end-of-life materials, such as cardboard boxes, egg boxes, bulk polyester, and felt. The cardboard elements are 4 mm thick and consist of two external liners and a fluted core. The egg boxes are made of a 2 mm paper layer, and their total thickness is 6 cm. Commercial bulk polyester and felt pads cut into small pieces have been used for filling the panels, if provided. As described in detail in the following, the panel configurations range from a simple one, consisting of a simple cardboard panel in which air circulates, to a configuration made of several elements. The thermal tests for the determination of the equivalent thermal conductivity have been performed at the EcamRicert laboratory in Vicenza (Italy), while the acoustic tests for the determination of the sound transmission loss T L and the sound absorption coefficient α have been performed at the CNR (Research National Center) in Milan (Italy). Since these experiments are time-consuming and expensive, only one test has been performed for each configuration: even though it is not possible to appreciate their variability, the results give important information on the potential of end-of-life materials.

2.1. Thermal Characterization

Building energy efficiency and indoor thermal comfort can be achieved, among other solutions, through the correct design of the building envelope. In wintertime, highly insulating building envelopes guarantee low heat flux towards the external environment and a consequent reduction in energy demand. In summertime, when the boundary conditions are non-stationary because of the considerable temperature fluctuations between day- and nighttime, the heat capacity and the position of the layers in the envelope are also influential. In this study, the focus of the thermal analysis is on equivalent thermal conductivity.

Measurement of the Equivalent Thermal Conductivity

The panels’ equivalent thermal conductivity λ e q has been determined through the guarded hot plate method described in the UNI EN 12667 [39] standard; it is usually employed to test homogeneous specimens with flat parallel surfaces, and thermal resistance equal to or higher than 0.5 m2 K/W.
According to Figure 1 and Table 1, 50 × 50 × 7 cm panels have been realized. Panel T1-EB consists of a 7 cm thick cardboard case in which air can circulate; a cardboard omega reinforcement positioned in its center prevents the crush of the panel. Panel T2-BEB consists of a cardboard case containing empty egg boxes. Panels T3-BP, T4-BF7, and T5-BF20 are made of a cardboard case and egg boxes filled with different materials in different quantities: 7 g of polyester has been used to fill each egg box in T 3 - BP , 7 g of felt in T4-BF7, and 20 g of felt in T5-BF20. The egg boxes were completely stuff by 7 g of felt, but to obtain the same degree of filling, 20 g of felt was necessary. In panel T6-BFF, the egg boxes have been surrounded by polyester (140 g in the egg boxes, 26.2 g between the egg boxes, 130 g externally to the egg boxes, and 67.5 g in the external egg box holes).
Figure 2 shows the realization steps. Firstly, the egg boxes have been glued neatly onto a cardboard panel by applying hot glue on the egg box flat surface (Figure 2a,b) and, when necessary, the egg boxes on the edges and corners have been cut. Then, five holes have been drilled in each egg box cup (Figure 2c), and the egg boxes have been filled with the chosen material (Figure 2d). Finally, the external case has been completed by applying cardboard elements on the panel sides (Figure 2e). A slightly different procedure has been followed for the realization of panel T6-BFF for which the textile material has been inserted before gluing the egg boxes.
The test apparatus shown in Figure 3 is the Lambda Meter EP500 manufactured by Lambda Messtechnik GmbH Dresden conforming to EN 1946-2:1999 [40] standard. The instrument has a horizontal orientation with the hot element in the upper part. The panel to be tested has been placed between a heating and a cooling element. Power has been supplied through the heating element, and once the steady condition has been achieved, the heat flow rate q and the difference in temperature Δ T on the sample surfaces have been measured. The sample equivalent thermal conductivity λ e q has been determined as [40,41]:
λ e q = q · s A · Δ T
where s is the average panel thickness, and A is the area of the sample. The tests have been carried out in a controlled room at 23 ± 2 °C and 50 ± 5% in relative humidity. Results are shown in Figure 4.

2.2. Acoustic Characterization

In building acoustics, the sound transmission loss TL and the sound absorption coefficient α are two important characteristics. The TL is related to the ability of a partition or material to limit the sound energy transmission between confining environments, while α represents the ability to absorb sound energy. The significance of these two quantities can be understood by considering the sound energy balance on a partition impinged by a sound wave that leads to 1 = ρ + τ + δ [42], where ρ is the sound reflection coefficient, τ is the sound transmission coefficient, and δ is the sound absorption coefficient of the partition.
The sound transmission loss TL is usually determined experimentally and is defined as [42]:
T L = 10 · l o g 10 1 τ = 10 · l o g 10 W T W I
where W I is the sound energy impinging on the partition, and W T is the sound energy transmitted. Higher TL values are representative of better sound insulation properties which depend on the structural element type: in thin single panels, thick single panels, and coupled panels, when crossed by a sound wave, different mechanisms take place.
For a thin wall, the trend of the sound transmission loss TL as a function of frequency can be divided into 3 zones. In the first zone, the decreasing TL is a function of stiffness. In the second zone—separated by the first one by the resonance frequency f r —the doubling of the panel surface density or frequency corresponds with an increase of 6 dB per octave. It follows the critical coincidence frequency f c at which the wavelength of the incident sound wave and the bending wavelength coincide. Above f c , TL increases again.
Double panels, which consist of two panels separated by an air gap, are a suitable alternative to increase TL without increasing the structure density. The air gap acts as a spring characterized by its own resonant frequency that depends on the panel surface density and the air gap thickness. Below f r the gap remains inactive and TL is governed by the panels’ surface density that act as rigidly connected. At f r the sound transmission is amplified by the first panel. Above f r the second panel acts as a damper and TL increases by 12–18 dB per octave. When the two panels have different critical frequencies, TL reaches higher values than in the single-panel structure.
The sound absorption coefficient α = τ + δ [42] represents the ability of a partition (or material) to absorb sound energy. Sound-absorbing materials reduce the total sound pressure level L p in a confined environment and the reverberation time T R . Reducing the reverberation time —that is defined as the time required by the sound energy density level to decrease by 60 dB—means reducing the echo effect and, consequently, improving the intelligibility of speech. To enhance the sound absorption of a partition, different mechanisms, such as porous materials, vibrating panels, and acoustic resonators, can be coupled. Sound dissipation in porous materials is due to the contact between air and the material’s fibers. The amount of dissipated sound is a function of the fiber type and size, material thickness, density, porosity, tortuosity, and airflow resistance.
Vibrating panels consist of a thin panel spaced from a rigid wall, and the resonance frequency is calculated as:
f 0 = 60 ( m · d ) 0.5
which is a function of the mass per unit area of the panel m , and the distance between the panel and the wall d [42].
Helmholtz resonators consist of an air cavity connected to the environment through a small duct. The compression and expansion of the air in the duct dampens sound at a specific frequency [42]:
f 0 = c 2 π S V · L 0.5
where S is the area of the opening, L is the length of the neck, and V is the cavity volume. Sound absorption in these elements take place between 50 and 400 Hz, but the resonance frequency range can be enlarged by filling the cavity with absorbing material. The same mechanism is used in perforated panels that are placed at a certain distance d from a wall, and the working frequency is [42]:
f 0 = c 2 π P d · t h 0.5
where P is the percentage of perforation, and t h is the thickness of the panel.
To understand the frequency-dependent performance in the sound diffuse field of the panels proposed in this study, a set of acoustic tests have been performed: both the sound transmission loss TL and the sound absorption coefficient α have been analyzed by means of experimental tests. The sound transmission loss TL has been measured in the sound transmission room according to the ISO 10140-4 [43] standard, while the sound absorption coefficient α has been measured in the reverberation room according to the ISO 354 [44] standard.

2.2.1. Measurement of the Sound Transmission Loss Measurement in the Sound Transmission Room

For practical reasons, among the configurations with lower thermal conductivity, T 3 - BP and T 4 - BF 7 have been chosen for acoustic testing since for these configurations the replacement of the filling material is easier. The panels have been tested in a sound transmission room according to the ISO 10140-4 [43] standard.
The panels are shown in Figure 5, and they are 1.2 × 1 × 0.07 m in dimensions. They are made of a cardboard case realized by placing several elements side by side and connected with adhesive tape. The case surface facing the source room has been drilled with 1420 holes 2.9 mm in diameter. The case contains egg boxes (a total of 461 domes) which have been connected to the not-drilled case surface and have been filled with 7 g of bulk polyester (panel AC - T 3 - BP ) and felt (panel AC - T 4 - BF 7 ), for a total of 1.34 kg of filling. Panel density per unit area is 4.08 kg/m2, while the total density is 58 kg/m3. To fix the panels to the wall, four 15 × 15 mm wooden laths and silicone have been used.
As can be seen in Figure 6, the sound transmission room consists of two rooms—one designed as the source room and the other as receiving room—separated by a wall in which the panel to be tested is installed. The room’s walls are structurally decoupled to ensure that most of the sound propagates through the specimen. The test has consisted in generating a diffuse sound field in the source room by activating an omnidirectional loudspeaker at two positions, and measuring the sound pressure level in both rooms by using a continuously moving microphone with one-third-octave filters in frequencies from 100 to 5000 Hz. Then, the average sound pressure level L p has been calculated as [45]:
L p = 10 · l o g 10 1 T m 0 T m p 2 ( t ) d t p 0 2
where p is the sound pressure, p 0 is the reference sound pressure (equal to 20 μPa), and T m is the integration time. The tests have been performed at 29.5 °C, 100.41 kPa, and 53.7% humidity.
By comparing the average sound pressure level in the source room L p 1 and in the receiving room L p 2 , the sound transmission loss T L of the panel has been calculated as [43]:
T L = L p 1 L p 2 + 10 · l o g 10 S A a
where S is the panel surface, while the equivalent sound absorption area A a of the receiving room is calculated as [43]:
A a = 0.16 · V T R
where V and T R are the volume and reverberation time of the receiving room [46]. Results are shown in Figure 7, and the reproducibility deviation is within 1.2 and 3 dB.

Weighted Sound Reduction Index

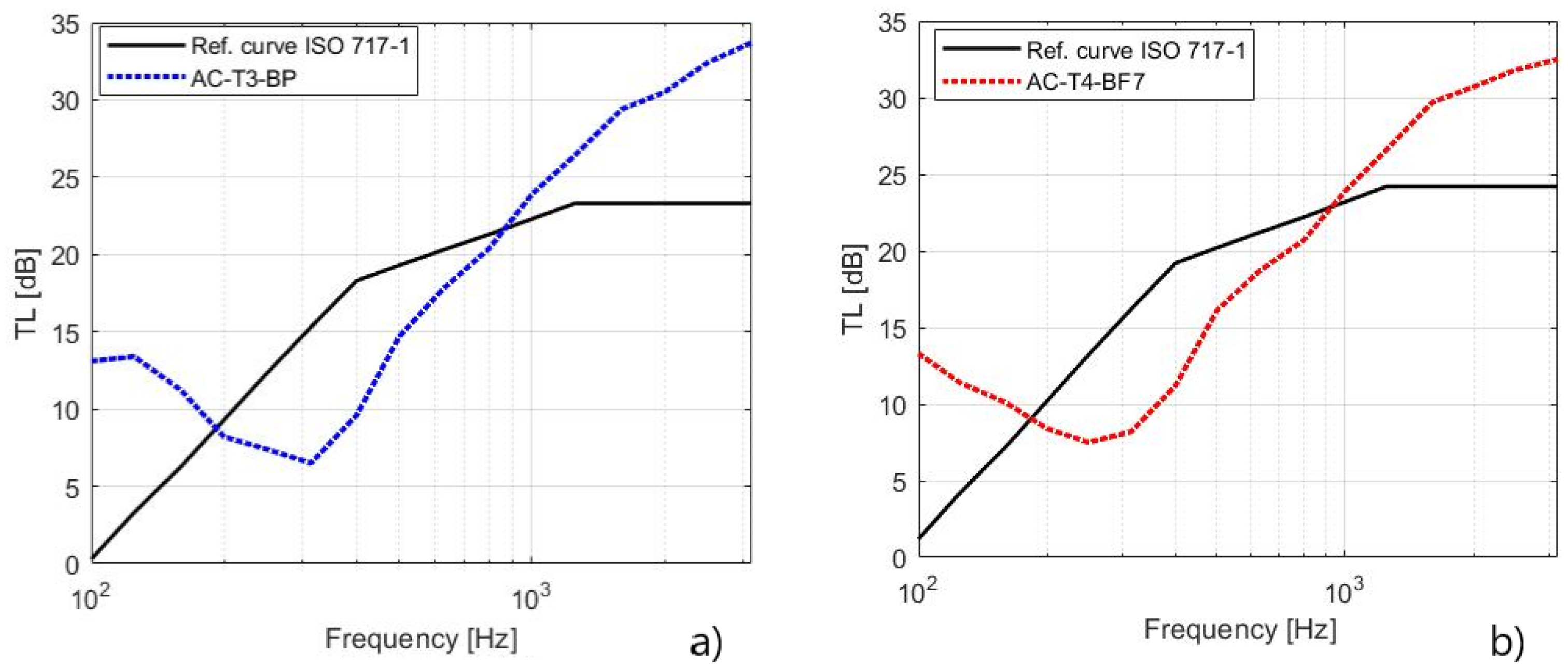
Since TL is a function of frequency and the comparison of material sound performance can be difficult, it has been calculated the weighted sound reduction index R w representative of the acoustic performance of the partition. The term R w is determined by comparing the measured values with a reference curve defined in the ISO 717-1 [47] standard. The curve is shifted by 1 dB toward the measured curve until the sum of unfavorable deviations is as large as possible but not more than 32 dB, and the weighted sound reduction index R w is the value at 500 Hz of the shifted curve. Unfavorable values are considered when the measured value is less than the reference curve. Figure 8 shows the comparison of the measured and the reference curves. To describe how the panels behave with different types of noise, two additional coefficients, C and C t r , are also calculated. The term C is added to the R w value to evaluate the behavior of the partition when exposed to noise from living activities in the middle–high frequency range (talking, television, railway traffic at medium and high speed, highway road with traffic speed greater than 80 km/h, jet aircraft at a short distance, factories emitting mainly medium- and high-frequency noise). The term C t r is used to calculate the sound insulation when the source falls in the low frequency range (urban road traffic, railway at low speed, aircraft, jet aircraft, disco music, and factories emitting mainly low- and medium-frequency noise). The weighted sound reduction index is R w = 19.3 dB (−1.5; −4.3) dB for panel AC - T 3 - BP and R w = 20.2 dB (−1.5; −4.5) dB for panel AR - T 5 - BF 7 .

2.2.2. Measurement of Sound Absorption Coefficient in the Reverberation Room

To determine the sound absorption coefficient α , panel AC-T3-BP has been tested in the reverberation room according to the ISO 354 [44] standard. For this test, the panel is 7 m2 and, as can be seen in Figure 9, it has been placed directly on the reverberation room floor.
The test has consisted in measuring and comparing the reverberation time T R in the room measured with and without the sample. The sound absorption coefficient has been then determined as [44]:
α = A a S
where S is the sample surface. The room’s equivalent sound absorption area A a is defined as [44]:
A a = A a 2 A a 1 = 55.3 · V · 1 c 2 · T R 2 1 c 1 · T R 1 4 · V · ( m a 2 m a 1 )
where subscript 1 refers to the conditions with the panel positioned in the room, while subscript 2 refers to those without the panel; c is the propagation speed of sound in air, V is the volume of the room, and m a is the sound power attenuation coefficient. Measurements have been made in one-third-octave bands in the range from 100 Hz to 5000 Hz. The test has been performed at 22 °C, 100.89 kPa, and 48% humidity. Results are shown in Figure 10, and the reproducibility deviation ranges between 0.03 and 0.11.

Weighted Sound Absorption Coefficient

As done for the sound reduction index, a single value α w called the weighted sound absorption coefficient has been determined according to the procedure described in the ISO 11654 [48] standard. A reference curve is shifted towards the measured curve by 0.05 until the sum of the unfavorable deviations is less than 0.1. The weighted sound absorption coefficient is the value of the reference curve at 500 Hz. Additional coefficients are indicated if the measured absorption coefficient exceeds the reference curve by 0.25 or more. Coefficient L indicates that the excess occurs at 250 Hz, coefficient M between 500 and 1000 Hz, and coefficient H between 2000 and 4000 Hz.
Another parameter is the noise reduction coefficient N R C , which is the mean value of the sound absorption at the frequencies 250, 500, 1000, and 2000 Hz. Depending on the result, an additional classification is proposed as shown in Table 2. For panel AC-T3-BP, the weighted sound absorbing coefficient α w is 0.30 (LM), and the panel is classified as absorbent (class D). The N R C is equal to 0.64.

3. Discussion

The results of the thermal and acoustic tests are discussed to understand whether the panels can be installed indoors for improving the indoor thermal and acoustic comfort. Measured values are also compared with data in the literature to evaluate panel characteristics and identify possible changes to improve the overall performance.

3.1. Thermal Tests

According to Figure 4, among the analyzed configurations, panel T6-BFF presents the lowest λ e q equal to 0.0528 W/mK, which is comparable to that of commercial insulating materials such as glass and mineral fibers [30]. Since the core of panel T6-BFF has been filled with textiles, its orientation is not influential. Conversely, for the other configurations that present air cavities, the panel orientation affects convection and, consequently, λ e q . Indeed, to reduce the effect of convection, the panels’ equivalent thermal conductivity is determined through to the guarded hot plate apparatus in which the heating element is in the upper part. By comparing the results obtained for T 1 - EB and T 2 - BEB , it can be seen that for the T 2 - BEB panel, λ e q is higher, and this is due to the presence of the egg boxes which, being in contact with both the panel surfaces, act as thermal bridge. The panels’ equivalent thermal conductivity decreases when the egg boxes are filled with bulk textile, such as in panel T 3 - BP , T 4 - BF 7 , and T 5 - BF 20 . Despite polyester has a higher thermal conductivity (0.05 W/mK) than air (0.0252 W/mK) [30], filling the egg boxes with polyester reduces λ e q . For example, the λ e q measured for panel T 3 - BP is also lower than that measured for panel T 1 - EB . This is due to the presence of the egg boxes which increase the conductive heat transfer but, at the same time, reduce the radiative heat transfer. Despite felt has a lower thermal conductivity (0.044 W/mK [49]) than polyester, a higher thermal conductivity has been measured for panel T 4 - BF 7 , and this has been caused by the egg boxes being not completely filled with textiles. Filling the egg boxes in panel T 5 - BF 20 has entailed a reduction in λ e q . Therefore, a better thermal performance, that is higher insulation, is achieved with the a greater filling of the egg boxes.
The comparison of λ e q for typical construction material in Table 3 shows that the panels realized with end-of-life materials are less thermally insulating than commercial materials. However, the coupling of the selected materials is beneficial since the measured λ e q values are lower than that of the single elements (cardboard, bulk polyester, and egg boxes). Since λ e q ranges between 0.0528 W/mK and 0.0791 W/mK, the panels are considered thermal insulators, even if the panels orientation may increase the equivalent thermal conductivity because of convection. However, commercial insulation materials are generally porous and, when installed alone, do not provide good sound insulation, as explained later.

3.2. Acoustic Tests

Figure 7 shows that the transmission loss measured for panels AC-T3-BP and AC-T4-BF7 are comparable. The T L is higher than 7 dB in the entire frequency range. The configuration with polyester AC - T 3 - BP exhibits better performance at low and high frequencies; in contrast, for panel AC - T 4 - BF 7 better performance, albeit minimal, is detected between 300 Hz and 800 Hz. Since the employed materials have low density, sound insulation at low frequency is the most critical aspect as it depends on the mass of the elements. Based on the analytical model proposed in [50] for the prediction of TL for panels similar to those here anlayzed, the first resonance occurs at 315 Hz, where the sample acts as a mass–spring–mass system, where the case behaves as the mass, while the absorbent core (egg boxes filled with textile) acts as the spring. Due to the coupling of the two external panels moving in the counter phase, the air pumping in the panel core causes a reduction in TL . Between the first panel resonance and 1600 Hz, TL increases with frequency: the rate is 12 dB per octave between 315 and 630 Hz and 9 dB per octave between 630 and 1600 Hz. Between 1600 and 3150 Hz, T L decreases by 4 dB per octave.
Figure 10 shows the sound absorption coefficient α measured for panel T 4 - BF 7 . The values are greater than 0.2 in the entire frequency range with a peak at 315 Hz and a second minor peak at 1000 Hz. At 315 Hz, α greater than 1 indicates an insufficiently diffuse sound field, a typical problem encountered when sound-absorbing material is installed in the reverberation room [42]; indeed, in the computing of α only the horizontal projection of the panel is considered and not the entire surface panel exposed to the noise source. The resonance frequency calculated according to Equation (5) (by considering each egg box dome as a cylinder 1.276 × 10 4 m3 in volume facing 2.36 holes in the case, the cardboard thickness equal to 0.004 m, and the total panel thickness equal to 0.065 m) is equal to 313.42 Hz and falls in the octave-band experimentally detected. At high frequencies, the sound absorption properties are not excellent due to sound reflection on the panel surface. The weighted sound absorption α w is 0.30 (LM), and the panel is classified as absorbent (class D). Finally, the NRCs of materials employed in the building sector are compared in Table 4. Since the panel shows a higher NRC than that of typical building materials, it can be stated that the indoor application of the panel can reduce the reverberation time and, consequently, improve the acoustic comfort.
It is interesting to evaluate whether the performance of the panel is better than that of the single materials used for its realization. Carvalho et al. [25] investigated the sound absorption coefficient of egg boxes. Twenty-one configurations were tested in the reverberation room, and the influence of egg box material, position, and whether the egg boxes were open or closed was evaluated. The egg boxes were simply laid on the reverberation room floor. In the configuration called Egg-box-down, the flat surface of the boxes faced downward, while in the Egg-box-up configuration faced upwards. The obtained α ranged from 0.2 to 0.7. As can be seen in Figure 11—which compares the values measured for egg boxes such as those employed in this study—the three graphs show similar trends with prominent and minor peaks. The configurations analyzed in [25] show a peak at higher frequency, after which the sound absorption value remains higher than that measured for panel AC-T3-BP: this is due to the dimensions of the holes on the case that do not allow the sound wave to enter the panel. Panel AC-T3-BP works better at low frequencies which are those of speech. The sound absorption coefficient of polyester was measured through the standing wave method in [51], and the influence of thickness and density was evaluated. In Figure 12, polyester exhibits the typical pattern of porous materials, with high absorption at high frequencies and, as anticipated in the Introduction, the thickness as well as the density influence the sound absorption. Panel AC-T3-BP exhibits better performance at low and medium frequencies and is, therefore, more suitable for applications in residential environments to reduce the reverberation time. The sound absorption performance of cardboard was evaluated by means of the impedance tube in [12]: non-perforated, perforated, and perforated with multi-frequency resonators configurations were tested. The results are compared with those presented in this study in Figure 13. The non-perforated cardboard is reflective and panel AC-T3-BP exhibits the best sound absorption performance.
In light of this, based on the intended use, the panel proposed in this article exhibits better sound absorption properties than the individual elements/materials. The better performance is obtained by taking advantage of more acoustic dissipation modes.
Table 4. Comparison of N R C of several materials employed in the building sector [52]. The properties of the panels proposed in this study are in bold.
Table 4. Comparison of N R C of several materials employed in the building sector [52]. The properties of the panels proposed in this study are in bold.
MaterialNRC
Fiber glass 7 cm thick0.95
Sprayed Cellulose Fibers 2.25 cm thick on concrete0.88
Mineral fiber 50 mm (40–70 kg/m3)0.8
AC-T3-BP0.64
Semi-rigid fiber glass 2.25 cm thick0.63
Bulk polyester0.61
Perforated cardboard0.42
Polyurethane foam open cell 2.25 cm thick0.30
Plaster0.15
Wood0.1
Painted brick0.01
Non-perforated cardboard0.01

3.3. Future Works

The results show that the proposed panel has interesting thermal insulation properties. From the acoustic point of view, it is a sound absorber but sound transmission loss at low frequencies appears to be poor. Considering these results, simple modifications to the panel could improve its performance. In future works, the panel will be optimized from both the thermal and acoustic points of view through numerical and analytical analysis, and the results presented in this paper used for the models’ validation.
Since any connection between the case surfaces is an acoustic bridge that limits the sound transmission loss, the surface facing the sound source will be distanced from the core to allow its vibration. To make the sound enter different cavities (in dimension and shape), the egg boxes may be placed alternately with the flat surfaces toward the sound source and the back of the panel. The thickness and material of the case surfaces will be differentiated to enhance the sound transmission loss. Aspects that may have influenced the sound absorption performance are the dimensions and positions of the holes on the case, which are uniformly distributed and of the same diameter: the holes diameter will be defined depending on the core characteristics. The accessible cavities will be filled with textiles at different densities to achieve high α values over a more comprehensive frequency range, and this expedients is beneficial also to reduce the equivalent thermal conductivity.
These results show that panels realized with end-of-life materials have interesting properties from a thermal and acoustic points of view, and they can be used in the construction sector to improve indoor comfort. For example, they can be installed in highly reverberant environments, or within prefabricated or 3D-printed walls and slabs to increase their thermal resistance. However, other factors need to be evaluated before declaring them compatible with building applications: the variability in the results depending on the operator that realizes the panels, and other aspects such as strength, fire, and condensation resistance need further investigation.

4. Conclusions

To promote the circular economy model and to incentivize products’ reuse, it would be advisable to design packaging with its second use in mind. The product design should identify the characteristics that make packaging and textile suitable for being reused without undergoing recycling processes. This paper experimentally investigates the thermal and acoustic properties of panels realized by assembling selected end-of-life material. Thermal tests show that their equivalent thermal conductivity is in the order of 0.071 W/mK and, therefore, comparable to the commercial insulating material. The NRC is equal to 0.64 and higher than that of materials typically used in the construction sector. The panel is a sound absorber since α w is 0.30. However, the weighted sound insulation R w equal to 19.3 dB (−1.5; −4.3) shows that the sound insulation performance is poor, especially at low frequency, and this is due to the panel low density. Expedients for improving the panel performance have been identified, and they will be further investigated through numerical and analytical models validated with the experimental results presented here. Therefore, reusing end-of-life materials for the realization of building elements is feasible, and given their low cost and ease of implementation, they are a suitable alternative to commercial insulating materials. As the construction sector requires a comprehensive material characterization to ensure regulations’ accomplishment and to compare different solutions, this is a starting point essential to understand whether materials on the market can be reused in other sectors and to identify aspects that need improvement. Packaging manufacturers could diversify their products and come up with standard packaging, and packaging to be reused for making other products, such as building elements.

Funding

This research was funded by the Department of Mechanical and Industrial Engineering of the University of Brescia through the MetATer PRD project.

Institutional Review Board Statement

Not applicable.

Informed Consent Statement

Not applicable.

Acknowledgments

The author acknowledges the support received from Edoardo Piana and Elisa Levi of University of Brescia and from Chiara Scrosati of CNR.

Conflicts of Interest

The authors declare no conflict of interest.

Nomenclature

The following abbreviations are used in this manuscript:
A a Equivalent sound absorption aream2
cSpeed of sound in airm/s
CSound transmission loss coefficientdB
C t r Sound transmission loss coefficientdB
dDistance between panel and wallm
frResonance frequencyHz
f c Coincidence frequencyHz
LHelmholtz neck lengthm
L p Sound pressure leveldB
mMass per unit areakg/m2
m a Power attenuation coefficient-
NRCNoise reduction coefficient-
pPressurePa
PPercentage of perforation-
qHeat fluxW
R w Weighted sound reduction indexdB
sThicknessm
SAream2
tTimes
thPanel thicknessm
TTemperature°C
T L Sound reduction leveldB
T m Integration times
T R Reverberation times
VVolumem3
W I Incident Sound powerW
W T Transmitted sound powerW
 
α Sound absorbing coefficient-
α w Weighted sound absorption coefficient-
δ Sound dissipation coefficient-
ΔTDifference in temperatureK
λ e q Equivalent thermal conductivityW/(m K)
π Pi greek-
τ Sound transmission coefficient-
ρ Sound reflection coefficient-

References

  1. Circular Economy: Definition, Importance and Benefits. Available online: www.europarl.europa.eu/news/en/headlines/economy/20151201STO05603/circular-economy-definition-importance-and-benefits (accessed on 11 October 2022).
  2. UNIDO—United Nations Industrial Development Organization. Circular Economy. Available online: www.unido.org/our-focus-cross-cutting-services/circular-economy (accessed on 9 September 2022).
  3. Ragossnig, A.M.; Schneider, D.R. Circular Economy, Recycling and End-of-Waste. Waste Manag. Res. 2019, 37, 109–111. [Google Scholar] [CrossRef]
  4. European Commission—Waste Framework Directive. Available online: https://environment.ec.europa.eu/topics/waste-and-recycling/waste-framework-directive_en (accessed on 9 September 2022).
  5. Karimi, F.; Soltani, P.; Zarrebini, M.; Hassanpour, A. Acoustic and thermal performance of polypropylene nonwoven fabrics for insulation in buildings. J. Build. Eng. 2008, 50, 104125. [Google Scholar] [CrossRef]
  6. Hongisto, V.; Saarinen, P.; Alakoivu, R.; Hakala, J. Acoustic properties of commercially available thermal insulators—An experimental study. J. Build. Eng. 2022, 4, 104588. [Google Scholar] [CrossRef]
  7. Smith, K.A. When Heineken Bottles Were Square. Available online: www.smithsonianmag.com/arts-culture/when-heineken-bottles-were-square-62138490/ (accessed on 31 March 2021).
  8. Neri, M.; Pilotelli, M.; Traversi, M.; Levi, E.; Piana, E.A.; Bannó, M.; Cuerva, E.; Pujadas, P.; Guardo, A. Conversion of End-of-Life Household Materials into Building Insulating Low-Cost Solutions for the Development of Vulnerable Contexts: Review and Outlook towards a Circular and Sustainable Economy. Sustainability 2021, 13, 4397. [Google Scholar] [CrossRef]
  9. Oyinlola, M.; Whitehead, T.; Abuzeinab, A.; Adefila, A.; Akinola, Y.; Anafi, F.; Farukh, F.; Jegede, O.; Kandan, K.; Kim, B.; et al. Bottle house: A case study of transdisciplinary research for tackling global challenges. Habitat Int. 2018, 79, 18–29. [Google Scholar] [CrossRef]
  10. Mansour, A.; Ali, S. Reusing waste plastic bottles as an alternative sustainable building material. Energy Sustain. Dev. 2015, 24, 79–85. [Google Scholar] [CrossRef]
  11. Secchi, S.; Asdrubali, F.; Cellai, G.; Nannipieri, E.; Rotili, A.; Vannucchi, I. Experimental and environmental analysis of new sound-absorbing and insulating elements in recycled cardboard. J. Build. Eng. 2015, 5, 1–12. [Google Scholar] [CrossRef]
  12. Chun-Won, K.; Mina, K.K.; Eun-Suk, J. An Experimental Study on the Performance of Corrugated Cardboard as a Sustainable Sound-Absorbing and Insulating Material. Sustainability 2021, 13, 5546. [Google Scholar]
  13. Paternoster, A.; Van Camp, J.; Vanluit, S.; Weeren, A.; Springael, J.; Braet, J. The performance of beer packaging: Vibration damping and thermal insulation. Food Packag. Shelf Life 2017, 11, 91–97. [Google Scholar] [CrossRef]
  14. Lavrykov, S.A.; Ramarao, B. Thermal Properties of Copy Paper Sheets. Dry. Technol. 2012, 30, 297–311. [Google Scholar] [CrossRef]
  15. Ricciardi, P.; Belloni, E.; Cotana, F. Innovative panels with recycled materials: Thermal and acoustic performance and Life Cycle Assessment. Appl. Energy 2014, 134, 150–162. [Google Scholar] [CrossRef]
  16. Asdrubali, F.; Pisello, A.L.; Alessandro, F.D.; Bianchi, F.; Cornicchia, M.; Fabiani, C. Innovative Cardboard Based Panels with Recycled Materials from the Packaging Industry: Thermal and Acoustic Performance Analysis. Energy Procedia 2015, 78, 321–326. [Google Scholar] [CrossRef]
  17. Bekhta, P.; Lyutyy, P.; Hiziroglu, S.; Ortynska, G. Properties of Composite Panels Made from Tetra-Pak and Polyethylene Waste Material. J. Polym. Environ. 2016, 24, 159–165. [Google Scholar] [CrossRef]
  18. Haddad, A.; Benltoufa, S.; Fayala, F.; Jemni, A. Thermo physical characterization of recycled textile materials used for building insulating. J. Build. Eng. 2016, 5, 34–40. [Google Scholar] [CrossRef]
  19. Tallini, A.; Cedola, L. A review of the properties of recycled and waste materials for energy refurbishment of existing buildings towards the requirements of NZEB. Energy Procedia 2018, 148, 868–875. [Google Scholar] [CrossRef]
  20. Neri, M.; Levi, E.; Cuerva, E.; Pardo-Bosch, F.; Zabaleta, A.G.; Pujadas, P. Sound absorbing and insulating low-cost panels from end-of-life household materials for the development of vulnerable contexts under a circular economy perspective. Appl. Sci. 2021, 11, 5372. [Google Scholar] [CrossRef]
  21. Dissanayake, D.G.K.; Weerasinghe, D.U.; Thebuwanage, L.M.; Bandara, U.A.A.N. An environmentally friendly sound insulation material from post-industrial textile waste and natural rubber. J. Build. Eng. 2021, 33, 101606. [Google Scholar] [CrossRef]
  22. Atiénzar-Navarro, R.; Del Rey, R.; Alba, J.; Sánchez-Morcillo, V.J.; Picó, R. Sound Absorption Properties of Perforated Recycled Polyurethane Foams Reinforced with Woven Fabric. Polymers 2020, 12, 401. [Google Scholar] [CrossRef]
  23. Quintero-Rincon, A. Measurement of the sound-absorption coefficient on egg cartons using the Tone Burst Method. In Proceedings of the 11th WSEAS International Conference on Acoustics and Music: Theory and Applications, AMTA 10, Iasi, Romania, 13–15 June 2010. [Google Scholar]
  24. Satwiko, P.; Gharata, V.D.; Setyabudi, H.; Suhedi, F. Enhancing egg cartons’ sound absorption coefficient with recycled materials. Build. Acoust. 2017, 24, 115–131. [Google Scholar] [CrossRef]
  25. Carvalho, A.P.O.; Vieira, S.C.P. Sound absorption of egg boxes and trays. In Proceedings of the 44th International Congress and Exposition on Noise Control Engineering, San Francisco, CA, USA, 9–12 August 2015. [Google Scholar]
  26. Nethercote, C.; Boisvenu, C.; Fletcher, D. Egg Carton Tests. Poult. Sci. 1974, 53, 311–325. [Google Scholar] [CrossRef]
  27. Galic, A.; Plastic, S.; Filipovic, D.; Kovacev, I.; Copec, K.; Janjecic, Z.; Bedekovic, D. Mechanical properties of ten-egg boxes made of different materials. J. Food Sci. Technol. 2018, 55, 1325–1330. [Google Scholar] [CrossRef] [PubMed]
  28. Iannace, G.; Berardi, U.; Ciaburro, G.; Trematerra, A. Egg cartons used as sound absorbing systems. In Proceedings of the INTER-NOISE and NOISE-CON Congress and Conference Proceedings, Seoul, Korea, 12 October 2020; pp. 405–412. [Google Scholar]
  29. Yang, H.S.; Kim, D.J.; Kim, H.J. Rice straw-wood particle composite for sound absorbing wooden construction materials. Bioresour. Technol. 2003, 86, 117–121. [Google Scholar] [CrossRef]
  30. Çengel, Y. Thermodynamics: An Engineering Approach; McGraw-Hill Higher Education: Boston, MA, USA, 2008. [Google Scholar]
  31. António, J.; Tadeu, A.; Marques, B.; Almeida, J.A.; Pinto, V. Application of rice husk in the development of new composite boards. Constr. Build. Mater. 2018, 176, 432–439. [Google Scholar] [CrossRef]
  32. Chen, C.; Wang, Z.; Zhang, Y.; Bi, M.; Nie, K.; Wang, G. Investigation of the hydrophobic and acoustic properties of bio windmill palm materials. Sci. Rep. 2018, 8, 13419. [Google Scholar] [CrossRef] [PubMed]
  33. Iannace, G.; Trematerra, A.; Trematerra, P. Acoustic correction using green material in classrooms located in historical buildings. Acoust. Aust. 2013, 41, 213–218. [Google Scholar]
  34. Berardi, B.; Iannace, G. Acoustic characterization of natural fibers for sound absorption applications. Build. Environ. 2015, 94, 840–852. [Google Scholar] [CrossRef]
  35. Desarnaulds, V.; Costanzo, E.; Carvalho, A.; Arlaud, B. Sustainability of acoustic materials and acoustic characterization of sustainable materials. In Proceedings of the 12th International Congress on Sound and Vibration 2005, ICSV 2005, Lisbon, Portugal, 11–14 July 2005; Volume 1. [Google Scholar]
  36. Walter, N.; Gürsoy, B. A Study on the Sound Absorption Properties of Mycelium-Based Composites Cultivated on Waste Paper-Based Substrates. Biomimetics 2022, 7, 100. [Google Scholar] [CrossRef]
  37. Badida, M.; Moravec, M.; Pinosova, M.; Andrejiova, M.; Pástor, K.; Nováková, A.; Dzuro, T. Analysis and Research on the Use of Bulk Recycled Materials for Sound Insulation Applications. Sustainability 2022, 14, 11539. [Google Scholar] [CrossRef]
  38. Xu, X.; Wang, H.; Sun, Y.; Han, J.; Huang, R. Sound absorbing properties of perforated composite panels of recycled rubber, fiberboard sawdust, and high density polyethylene. J. Clean. Prod. 2018, 187, 215–221. [Google Scholar] [CrossRef]
  39. EN 12667:2001; Thermal Performance of Building Materials and Products—Determination of Thermal Resistance by Means of Guarded hot Plate and Heat Flow Meter Methods—Products of High and Medium Thermal Resistance. European Committe for standardization: Brussels, Belgium, 2001.
  40. EN 1946-2:1999; Thermal Performance of Building Products and Components—Specific Criteria for the Assessment of Laboratory Measuring Heat Transfer Properties—Part 2: Measurements by Guarded Hot Plate Method. European Committe for standardization: Brussels, Belgium, 1999.
  41. Incropera, F.P. Fundamentals of Heat and Mass Transfer; John Wiley: Hoboken, NJ, USA, 2011. [Google Scholar]
  42. Spagnolo, R. Material and structure sound absorption. In Handbook of Applied Acoustics; CittàStudi Edizioni: Torino, Italy, 2014; pp. 635–637. [Google Scholar]
  43. ISO 10140-4:2021; Acoustics—Laboratory Measurement of Sound Insulation of Building Elements—Part 4: Measurement Procedures and Requirements. International Organization for Standardization: Geneva, Switzerland, 2021.
  44. ISO 354:2003; Acoustics—Measurement of Sound Absorption in a Reverberation Room. International Organization for Standardization: Geneva, Switzerland, 2003.
  45. ISO 140-2:1991; Acoustics—Measurement of Sound Insulation in Buildings and of Building Elements—Part 2: Determination, Verification and Application of Precision Data. International Organization for Standardization: Geneva, Switzerland, 1991.
  46. ISO 3382-1:2009; Acoustics—Measurement of Room Acoustic Parameters—Part 1: Performance Spaces. International Organization for Standardization: Geneva, Switzerland, 2009.
  47. BS EN ISO 717-1:2020; Acoustics—Rating of Sound Insulation in Buildings and Building Elements Airborne Sound Insulation. BSI Standards Publication: London, UK, 2020.
  48. ISO 11654:1997; Acoustics—Sound Absorbers for Use in Buildings—Rating of Sound Absorption. International Organization for Standardization: Geneva, Switzerland, 1997.
  49. The Engineering Tool Box. Available online: www.engineeringtoolbox.com/thermal-conductivity-d_429.html (accessed on 28 September 2022).
  50. Levi, E.; Piana, E.A.; Rychtarikova, M. Sound insulation properties of handmade multilayered recycled material panels: An experimental and analytical investigation. In Proceedings of the 28th International Conference of Sound and Vibration ICSV28, Singapore, 24–28 July 2022. [Google Scholar]
  51. Youneung, L.; Changwhan, J. Sound absorption properties of recycled polyester fibrous assembly absorbers. AUTEX Res. J. 2003, 3, 78–84. [Google Scholar]
  52. NRCratings. Available online: www.nrcratings.com/nrc.html (accessed on 18 October 2022).
Figure 1. Panels realized for the thermal tests. All the panels are made of egg boxes, except for T1-EB. In panel T6-BFF, the egg boxes have been filled and surrounded by polyester.
Figure 1. Panels realized for the thermal tests. All the panels are made of egg boxes, except for T1-EB. In panel T6-BFF, the egg boxes have been filled and surrounded by polyester.
Atmosphere 13 01825 g001
Figure 2. The realization of the panels: egg boxes have been glued onto a cardboard panel (a,b); holes have been drilled in each egg box dome (c); the egg boxes have been filled with textile waste (in this picture, the filling is made of felt) (d); the external case has been completed (e).
Figure 2. The realization of the panels: egg boxes have been glued onto a cardboard panel (a,b); holes have been drilled in each egg box dome (c); the egg boxes have been filled with textile waste (in this picture, the filling is made of felt) (d); the external case has been completed (e).
Atmosphere 13 01825 g002
Figure 3. The test apparatus for the determination of the panel equivalent thermal conductivity (a) and its internal components (b). In the test apparatus, the section heater is in the upper part.
Figure 3. The test apparatus for the determination of the panel equivalent thermal conductivity (a) and its internal components (b). In the test apparatus, the section heater is in the upper part.
Atmosphere 13 01825 g003
Figure 4. Panels equivalent thermal conductivity measured with the guarded hot plate method.
Figure 4. Panels equivalent thermal conductivity measured with the guarded hot plate method.
Atmosphere 13 01825 g004
Figure 5. Panel installed in the sound transmission room (a) and details of the panel core (b). The panel filled with polyester is denoted as AC-T3-BP, and the panel filled with felt is denoted as AC-T4-BF7.
Figure 5. Panel installed in the sound transmission room (a) and details of the panel core (b). The panel filled with polyester is denoted as AC-T3-BP, and the panel filled with felt is denoted as AC-T4-BF7.
Atmosphere 13 01825 g005
Figure 6. Plan of the sound transmission room. The source room is 50 m3 in volume and 79.5 m2 in total surface area, while the receiving room is 60 m3 and 91.5 m2. The opening in the separation wall in which the panel has been installed is 1 × 1.2 m in dimensions.
Figure 6. Plan of the sound transmission room. The source room is 50 m3 in volume and 79.5 m2 in total surface area, while the receiving room is 60 m3 and 91.5 m2. The opening in the separation wall in which the panel has been installed is 1 × 1.2 m in dimensions.
Atmosphere 13 01825 g006
Figure 7. Sound transmission loss T L measured for panel AC-T3-BP filled with polyester and panel AC-T4-BF7 filled with felt.
Figure 7. Sound transmission loss T L measured for panel AC-T3-BP filled with polyester and panel AC-T4-BF7 filled with felt.
Atmosphere 13 01825 g007
Figure 8. Comparison of the measured sound transmission loss T L with the reference curve defined in the ISO 717-1 [47] standard for the determination of the weighted sound reduction index R w for panel AC-T3-BP (a) and panel AC-T4-BF7 (b).
Figure 8. Comparison of the measured sound transmission loss T L with the reference curve defined in the ISO 717-1 [47] standard for the determination of the weighted sound reduction index R w for panel AC-T3-BP (a) and panel AC-T4-BF7 (b).
Atmosphere 13 01825 g008
Figure 9. Panel AC - T 3 - BP has been positioned on the floor of the reverberation room for the determination of its sound absorption properties. The room is characterized by a volume of 219 m3 and a total internal surface of 230 m2. Twenty diffusers for a total area of 57.6 m2 and six microphones have been used.
Figure 9. Panel AC - T 3 - BP has been positioned on the floor of the reverberation room for the determination of its sound absorption properties. The room is characterized by a volume of 219 m3 and a total internal surface of 230 m2. Twenty diffusers for a total area of 57.6 m2 and six microphones have been used.
Atmosphere 13 01825 g009
Figure 10. Sound absorption coefficient α of panel AC-T3-BP. A value greater than 1 indicates a not completely diffuse sound field, a typical problem encountered when sound-absorbing material is installed in the reverberation room.
Figure 10. Sound absorption coefficient α of panel AC-T3-BP. A value greater than 1 indicates a not completely diffuse sound field, a typical problem encountered when sound-absorbing material is installed in the reverberation room.
Atmosphere 13 01825 g010
Figure 11. Comparison of the sound absorption coefficient α measured for panel AC-T3-BP and for egg boxes [25] similar to those employed in this study. In configuration Egg - box - down , the flat surface of the box is in contact with the reverberation room floor.
Figure 11. Comparison of the sound absorption coefficient α measured for panel AC-T3-BP and for egg boxes [25] similar to those employed in this study. In configuration Egg - box - down , the flat surface of the box is in contact with the reverberation room floor.
Atmosphere 13 01825 g011
Figure 12. Comparison of the sound absorption coefficient α measured for panel AC-T3-BP and that measured in the impedance tube for polyester 0.2 g/cm3 in density [51]. Sample pol2g8mm is 8 mm thick, while pol2g24m is 24 mm thick.
Figure 12. Comparison of the sound absorption coefficient α measured for panel AC-T3-BP and that measured in the impedance tube for polyester 0.2 g/cm3 in density [51]. Sample pol2g8mm is 8 mm thick, while pol2g24m is 24 mm thick.
Atmosphere 13 01825 g012
Figure 13. Comparison of the sound absorption coefficient α measured for panel AC-T3-BP and that measured in [12] for non-perforated cardboard element (NPP), perforated (PCC), and perforated cardboard element with multiresonators (PCCMR).
Figure 13. Comparison of the sound absorption coefficient α measured for panel AC-T3-BP and that measured in [12] for non-perforated cardboard element (NPP), perforated (PCC), and perforated cardboard element with multiresonators (PCCMR).
Atmosphere 13 01825 g013
Table 1. Details of the panels realized for the thermal tests.
Table 1. Details of the panels realized for the thermal tests.
PanelDescriptionDimensionsTextilePanel DensityPanel Weight
Name[mm]Weight [kg][kg][kg]
T1-EBEmpty508 × 479 × 70-16.20.44
cardb. box
T2-BEBCardb. box and506 × 485 × 75-48.40.89
empty egg boxes
T3-BPCardb. box, egg boxes,505 × 505 × 820.1654.51.14
polyester (7 g)
T4-BF7Card. box, egg boxes,505 × 505 × 780.1654.51.14
felt (7 g)
T5-BF20Cardb. box, egg boxes,505 × 505 × 810.565.41.35
felt (20 g)
T6-BFFCardb. box, egg boxes,500 × 500 × 800.37601.2
polyester (full)
Table 2. Classification of sound-absorbent materials.
Table 2. Classification of sound-absorbent materials.
Class α w Type of Sound Absorber
A≥0.9Excellently absorbent
B0.8–0.9Highly absorbent
C0.6–0.8Very absorbent
D0.3–0.6Absorbent
E0.15–0.3Poorly absorbent
Not classified<0.15Reflective
Table 3. Comparison of thermal conductivity of several materials [8]. The properties of the panels proposed in this study are in bold.
Table 3. Comparison of thermal conductivity of several materials [8]. The properties of the panels proposed in this study are in bold.
MaterialThermal Conductivity [W/mK]
Cardboard element0.047–0.22
Panel made of reused elements0.0528–0.0878
Polyester0.041–0.053
Felt0.044
EPS0.026–0.056
Glass wool0.034–0.053
XPS0.034–0.041
PIR0.018–0.040
Publisher’s Note: MDPI stays neutral with regard to jurisdictional claims in published maps and institutional affiliations.

Share and Cite

MDPI and ACS Style

Neri, M. Thermal and Acoustic Characterization of Innovative and Unconventional Panels Made of Reused Materials. Atmosphere 2022, 13, 1825. https://doi.org/10.3390/atmos13111825

AMA Style

Neri M. Thermal and Acoustic Characterization of Innovative and Unconventional Panels Made of Reused Materials. Atmosphere. 2022; 13(11):1825. https://doi.org/10.3390/atmos13111825

Chicago/Turabian Style

Neri, Manuela. 2022. "Thermal and Acoustic Characterization of Innovative and Unconventional Panels Made of Reused Materials" Atmosphere 13, no. 11: 1825. https://doi.org/10.3390/atmos13111825

APA Style

Neri, M. (2022). Thermal and Acoustic Characterization of Innovative and Unconventional Panels Made of Reused Materials. Atmosphere, 13(11), 1825. https://doi.org/10.3390/atmos13111825

Note that from the first issue of 2016, this journal uses article numbers instead of page numbers. See further details here.

Article Metrics

Back to TopTop