Projected Changes in Terrestrial Vegetation and Carbon Fluxes under 1.5 °C and 2.0 °C Global Warming
Abstract
:1. Introduction
2. Data and Methods
2.1. CMIP5 and CMIP6 Data
2.2. Signal-to-Noise Ratio
3. Results
3.1. Future Changes of Climate
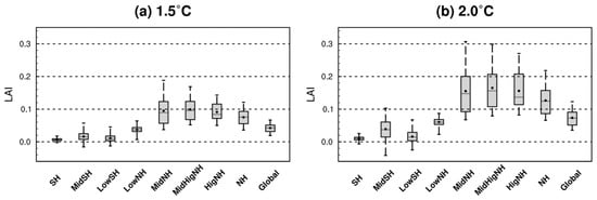
3.2. Future Change of Vegetation Coverage
3.3. Future Changes of Terrestrial Carbon Fluxes
3.4. Models’ Inconsistencies
4. Discussion
5. Conclusions
Author Contributions
Funding
Data Availability Statement
Acknowledgments
Conflicts of Interest
References
- Intergovernmental Panel on Climate Change. Climate Change 2013: The Physical Science Basis; Intergovernmental Panel on Climate Change: New York, NY, USA, 2013. [Google Scholar]
- Foley, J.A.; DeFries, R.; Asner, G.P.; Barford, C.; Bonan, G.; Carpenter, S.R.; Chapin, F.S.; Coe, M.T.; Daily, G.C.; Gibbs, H.K.; et al. Global consequences of land use. Science 2005, 309, 570–574. [Google Scholar] [CrossRef] [PubMed] [Green Version]
- Raupach, M.; Canadell, J.; Le Quéré, C. Anthropogenic and biophysical contributors to increasing atmospheric CO2 growth rate and airborne fraction. Biogeosci. Discuss. 2008, 5, 2867–2896. [Google Scholar] [CrossRef]
- Beer, C.; Reichstein, M.; Tomelleri, E.; Ciais, P.; Jung, M.; Carvalhais, N.; Rödenbeck, C.; Arain, M.A.; Baldocchi, D.; Bonan, G.B.; et al. Terrestrial gross carbon dioxide uptake: Global distribution and covariation with climate. Science 2010, 329, 834–838. [Google Scholar] [CrossRef] [PubMed] [Green Version]
- Sivakumar, B. Global climate change and its impacts on water resources planning and management: Assessment and challenges. Stoch. Environ. Res. Risk Assess. 2010, 25, 583–600. [Google Scholar] [CrossRef]
- Li, L.; Wang, Y.-P.; Beringer, J.; Shi, H.; Cleverly, J.; Cheng, L.; Eamus, D.; Huete, A.; Hutley, L.; Lu, X.; et al. Responses of LAI to rainfall explain contrasting sensitivities to carbon uptake between forest and non-forest ecosystems in Australia. Sci. Rep. 2017, 7, 11720. [Google Scholar] [CrossRef]
- Chen, J.M.; Ju, W.; Ciais, P.; Viovy, N.; Liu, R.; Liu, Y.; Lu, X. Vegetation structural change since 1981 significantly enhanced the terrestrial carbon sink. Nat. Commun. 2019, 10, 4259. [Google Scholar] [CrossRef] [PubMed]
- Bastin, J.-F.; Finegold, Y.; Garcia, C.; Mollicone, D.; Rezende, M.; Routh, D.; Zohner, C.M.; Crowther, T.W. The global tree restoration potential. Science 2019, 365, 76–79. [Google Scholar] [CrossRef] [PubMed]
- Pendergrass, A.G.; Knutti, R.; Lehner, F.; Deser, C.; Sanderson, B. Precipitation variability increases in a warmer climate. Sci. Rep. 2017, 7, 17966. [Google Scholar] [CrossRef] [Green Version]
- Dai, A.; Rasmussen, R.M.; Liu, C.; Ikeda, K.; Prein, A.F. A new mechanism for warm-season precipitation response to global warming based on convection-permitting simulations. Clim. Dyn. 2017, 55, 343–368. [Google Scholar] [CrossRef]
- Markus, M.; Cai, X.; Sriver, R. Extreme Floods and Droughts under Future Climate Scenarios. Water 2019, 11, 1720. [Google Scholar] [CrossRef] [Green Version]
- Nations, U. Adoption of the paris agreement. Conf. Parties Twenty-First Sess. 2015, L.9, 21932. [Google Scholar]
- Lee, D.; Min, S.-K.; Fischer, E.M.; Shiogama, H.; Bethke, I.; Lierhammer, L.; Scinocca, J.F. Impacts of half a degree additional warming on the Asian summer monsoon rainfall characteristics. Environ. Res. Lett. 2018, 13, 044033. [Google Scholar] [CrossRef] [Green Version]
- Döll, P.; Trautmann, T.; Gerten, D.; Schmied, H.M.; Ostberg, S.; Saaed, F.; Schleussner, C.-F. Risks for the global freshwater system at 1.5 °C and 2 °C global warming. Environ. Res. Lett. 2018, 13, 044038. [Google Scholar] [CrossRef]
- Vaughan, N.E.; Gough, C.; Mander, S.; Littleton, E.W.; Welfle, A.; Gernaat, D.E.H.J.; Van Vuuren, D.P. Evaluating the use of biomass energy with carbon capture and storage in low emission scenarios. Environ. Res. Lett. 2018, 13, 044014. [Google Scholar] [CrossRef]
- Bittermann, K.; Rahmstorf, S.; Kopp, R.E.; Kemp, A.C. Global mean sea-level rise in a world agreed upon in Paris. Environ. Res. Lett. 2017, 12, 124010. [Google Scholar] [CrossRef]
- Rasmussen, D.J.; Bittermann, K.; Buchanan, M.K.; Kulp, S.; Strauss, B.H.; Kopp, R.E.; Oppenheimer, M. Extreme sea level implications of 1.5 °C, 2.0 °C, and 2.5 °C temperature stabilization targets in the 21st and 22nd centuries. Environ. Res. Lett. 2018, 13, 034040. [Google Scholar] [CrossRef]
- Aerenson, T.; Tebaldi, C.; Sanderson, B.; Lamarque, J.-F. Changes in a suite of indicators of extreme temperature and precipitation under 1.5 and 2 degrees warming. Environ. Res. Lett. 2018, 13, 035009. [Google Scholar] [CrossRef]
- Kong, Y.; Wang, C.-H. Responses and changes in the permafrost and snow water equivalent in the Northern Hemisphere under a scenario of 1.5 °C warming. Adv. Clim. Chang. Res. 2017, 8, 235–244. [Google Scholar] [CrossRef]
- Bonan, G.B.; Pollard, D.; Thompson, S.L. Effects of boreal forest vegetation on global climate. Nat. Cell Biol. 1992, 359, 716–718. [Google Scholar] [CrossRef]
- Nemani, R.R.; Keeling, C.D.; Hashimoto, H.; Jolly, W.M.; Piper, S.C.; Tucker, C.J.; Myneni, R.B.; Running, S.W. Climate-Driven Increases in Global Terrestrial Net Primary Production from 1982 to 1999. Science 2003, 300, 1560–1563. [Google Scholar] [CrossRef] [Green Version]
- Martinez, C.; Bianconi, M.; Silva, L.; Approbato, A.; Lemos, M.; Santos, L.; Curtarelli, L.; Rodrigues, A.; Mello, T.; Manchon, F. Moderate warming increases PSII performance, antioxidant scavenging systems and biomass production in Stylosanthes capitata Vogel. Environ. Exp. Bot. 2014, 102, 58–67. [Google Scholar] [CrossRef]
- Linderholm, H.W. Growing season changes in the last century. Agric. For. Meteorol. 2006, 137, 1–14. [Google Scholar] [CrossRef]
- Bauweraerts, I.; Wertin, T.M.; Ameye, M.; McGuire, M.A.; Teskey, R.O.; Steppe, K. The effect of heat waves, elevated [CO2] and low soil water availability on northern red oak (Quercus rubraL.) seedlings. Glob. Chang. Biol. 2012, 19, 517–528. [Google Scholar] [CrossRef]
- Piao, S.; Wang, X.; Park, T.; Chen, C.; Lian, X.; He, Y.; Bjerke, J.; Chen, A.; Ciais, P.; Tømmervik, H.; et al. Characteristics, drivers and feedbacks of global greening. Nat. Rev. Earth Environ. 2019, 1, 14–27. [Google Scholar] [CrossRef]
- Mao, J.; Shi, X.; Thornton, P.E.; Hoffman, F.M.; Zhu, Z.; Myneni, R.B. Global Latitudinal-Asymmetric Vegetation Growth Trends and Their Driving Mechanisms: 1982–2009. Remote Sens. 2013, 5, 1484–1497. [Google Scholar] [CrossRef] [Green Version]
- Xia, J.; Chen, J.; Piao, S.; Ciais, P.; Luo, Y.; Wan, S. Terrestrial carbon cycle affected by non-uniform climate warming. Nat. Geosci. 2014, 7, 173–180. [Google Scholar] [CrossRef]
- Yue, X.; Liao, H.; Wang, H.; Zhang, T.; Unger, N.; Sitch, S.; Feng, Z.; Yang, J. Pathway dependence of ecosystem responses in China to 1.5 °C global warming. Atmos. Chem. Phys. Discuss. 2020, 20, 2353–2366. [Google Scholar] [CrossRef] [Green Version]
- El Masri, B.; Schwalm, C.; Huntzinger, D.N.; Mao, J.; Shi, X.; Peng, C.; Fisher, J.B.; Jain, A.K.; Tian, H.; Poulter, B.; et al. Carbon and Water Use Efficiencies: A Comparative Analysis of Ten Terrestrial Ecosystem Models under Changing Climate. Sci. Rep. 2019, 9, 14680. [Google Scholar] [CrossRef] [Green Version]
- Friedlingstein, P.; Meinshausen, M.; Arora, V.K.; Jones, C.D.; Anav, A.; Liddicoat, S.K.; Knutti, R. Uncertainties in CMIP5 Climate Projections due to Carbon Cycle Feedbacks. J. Clim. 2014, 27, 511–526. [Google Scholar] [CrossRef] [Green Version]
- Huntzinger, D.N.; Michalak, A.M.; Schwalm, C.; Ciais, P.; King, A.W.; Fang, Y.; Schaefer, K.; Wei, Y.; Cook, R.B.; Fisher, J.B.; et al. Uncertainty in the response of terrestrial carbon sink to environmental drivers undermines carbon-climate feedback predictions. Sci. Rep. 2017, 7, 4765. [Google Scholar] [CrossRef]
- Yu, M.; Wang, G.; Chen, H. Quantifying the impacts of land surface schemes and dynamic vegetation on the model dependency of projected changes in surface energy and water budgets. J. Adv. Model. Earth Syst. 2016, 8, 370–386. [Google Scholar] [CrossRef] [Green Version]
- Dong, T.; Dong, W. Evaluation of extreme precipitation over Asia in CMIP6 models. Clim. Dyn. 2021, 57, 1751–1769. [Google Scholar] [CrossRef]
- Jiang, J.H.; Su, H.; Wu, L.; Zhai, C.; Schiro, K.A. Improvements in Cloud and Water Vapor Simulations Over the Tropical Oceans in CMIP6 Compared to CMIP5. Earth Space Sci. 2021, 8, e2020EA001520. [Google Scholar] [CrossRef]
- Bracegirdle, T.J.; Holmes, C.R.; Hosking, J.S.; Marshall, G.; Osman, M.; Patterson, M.; Rackow, T. Improvements in Circumpolar Southern Hemisphere Extratropical Atmospheric Circulation in CMIP6 Compared to CMIP5. Earth Space Sci. 2020, 7, e2019EA001065. [Google Scholar] [CrossRef]
- Hurtt, G.C.; Chini, L.; Sahajpal, R.; Frolking, S.; Bodirsky, B.L.; Calvin, K.; Doelman, J.C.; Fisk, J.; Fujimori, S.; Goldewijk, K.K.; et al. Harmonization of global land use change and management for the period 850–2100 (LUH2) for CMIP6. Geosci. Model. Dev. 2020, 13, 5425–5464. [Google Scholar] [CrossRef]
- Dufresne, J.-L.; Foujols, M.-A.; Denvil, S.; Caubel, A.; Marti, O.; Aumont, O.; Balkanski, Y.; Bekki, S.; Bellenger, H.; Benshila, R.; et al. Climate change projections using the IPSL-CM5 Earth System Model: From CMIP3 to CMIP5. Clim. Dyn. 2013, 40, 2123–2165. [Google Scholar] [CrossRef]
- Watanabe, S.; Hajima, T.; Sudo, K.; Nagashima, T.; Takemura, T.; Okajima, H.; Nozawa, T.; Kawase, H.; Abe, M.; Yokohata, T.; et al. MIROC-ESM 2010: Model description and basic results of CMIP5-20c3m experiments. Geosci. Model Dev. 2011, 4, 845–872. [Google Scholar] [CrossRef] [Green Version]
- Martin, G.M.; Bellouin, N.; Collins, W.J.; Culverwell, I.D.; Halloran, P.R.; Hardiman, S.C.; Hinton, T.J.; Jones, C.D.; McDonald, R.E.; McLaren, A.J.; et al. The HadGEM2 family of Met Office Unified Model climate configurations. Geosci. Model Dev. 2011, 4, 723–757. [Google Scholar] [CrossRef] [Green Version]
- Raddatz, T.; Reick, C.; Knorr, W.; Kattge, J.; Roeckner, E.; Schnur, R.; Schnitzler, K.-G.; Wetzel, P.; Jungclaus, J. Will the tropical land biosphere dominate the climate—Carbon cycle feedback during the 21st century? Clim. Dyn. 2007, 29, 565–574. [Google Scholar] [CrossRef]
- Reick, C.H.; Raddatz, T.; Brovkin, V.; Gayler, V. Representation of natural and anthropogenic land cover change in MPI-ESM. J. Adv. Model. Earth Syst. 2013, 5, 459–482. [Google Scholar] [CrossRef]
- Dunne, J.P.; John, J.G.; Shevliakova, E.; Stouffer, R.J.; Krasting, J.; Malyshev, S.L.; Milly, P.C.D.; Sentman, L.T.; Adcroft, A.J.; Cooke, W.; et al. GFDL’s ESM2 Global Coupled Climate–Carbon Earth System Models. Part II: Carbon System Formulation and Baseline Simulation Characteristics. J. Clim. 2013, 26, 2247–2267. [Google Scholar] [CrossRef] [Green Version]
- Li, W.; Zhang, Y.; Shi, X.; Zhou, W.; Huang, A.; Mu, M.; Qiu, B.; Ji, J. Development of Land Surface Model BCC_AVIM2.0 and Its Preliminary Performance in LS3MIP/CMIP6. J. Meteorol. Res. 2019, 33, 851–869. [Google Scholar] [CrossRef]
- Wu, T.; Lu, Y.; Fang, Y.; Xin, X.; Li, L.; Li, W.; Jie, W.; Zhang, J.; Liu, Y.; Zhang, L.; et al. The Beijing Climate Center Climate System Model (BCC-CSM): The main progress from CMIP5 to CMIP6. Geosci. Model Dev. 2019, 12, 1573–1600. [Google Scholar] [CrossRef] [Green Version]
- Swart, N.C.; Cole, J.N.S.; Kharin, V.V.; Lazare, M.; Scinocca, J.F.; Gillett, N.P.; Anstey, J.; Arora, V.; Christian, J.R.; Hanna, S.; et al. The Canadian Earth System Model version 5 (CanESM5.0.3). Geosci. Model Dev. 2019, 12, 4823–4873. [Google Scholar] [CrossRef] [Green Version]
- Wyser, K.; van Noije, T.; Yang, S.; von Hardenberg, J.; O’Donnell, D.; Döscher, R. On the increased climate sensitivity in the EC-Earth model from CMIP5 to CMIP6. Geosci. Model Dev. 2020, 13, 3465–3474. [Google Scholar] [CrossRef]
- Volodin, E.M. Atmosphere-ocean general circulation model with the carbon cycle. Izv. Atmos. Ocean. Phys. 2007, 43, 266–280. [Google Scholar] [CrossRef]
- Volodin, E.M.; Mortikov, E.; Kostrykin, S.V.; Galin, V.Y.; Lykossov, V.N.; Gritsun, A.; Diansky, N.A.; Gusev, A.V.; Iakovlev, N.; Shestakova, A.A.; et al. Simulation of the modern climate using the INM-CM48 climate model. Russ. J. Numer. Anal. Math. Model. 2018, 33, 367–374. [Google Scholar] [CrossRef]
- Lurton, T.; Balkanski, Y.; Bastrikov, V.; Bekki, S.; Bopp, L.; Braconnot, P.; Brockmann, P.; Cadule, P.; Contoux, C.; Cozic, A.; et al. Implementation of the CMIP6 Forcing Data in the IPSL-CM6A-LR Model. J. Adv. Model. Earth Syst. 2020, 12, e2019MS001940. [Google Scholar] [CrossRef] [Green Version]
- Boucher, O.; Servonnat, J.; Albright, A.L.; Aumont, O.; Balkanski, Y.; Bastrikov, V.; Bekki, S.; Bonnet, R.; Bony, S.; Bopp, L.; et al. Presentation and Evaluation of the IPSL-CM6A-LR Climate Model. J. Adv. Model. Earth Syst. 2020, 12, e2019MS002010. [Google Scholar] [CrossRef]
- Mauritsen, T.; Bader, J.; Becker, T.; Behrens, J.; Bittner, M.; Brokopf, R.; Brovkin, V.; Claussen, M.; Crueger, T.; Esch, M.; et al. Developments in the MPI-M Earth System Model version 1.2 (MPI-ESM1.2) and Its Response to Increasing CO 2. J. Adv. Model. Earth Syst. 2019, 11, 998–1038. [Google Scholar] [CrossRef] [Green Version]
- Lawrence, D.M.; Fisher, R.A.; Koven, C.D.; Oleson, K.W.; Swenson, S.C.; Bonan, G.; Collier, N.; Ghimire, B.; van Kampenhout, L.; Kennedy, D.; et al. The Community Land Model Version 5: Description of New Features, Benchmarking, and Impact of Forcing Uncertainty. J. Adv. Model. Earth Syst. 2019, 11, 4245–4287. [Google Scholar] [CrossRef] [Green Version]
- Gettelman, A.; Hannay, C.; Bacmeister, J.T.; Neale, R.B.; Pendergrass, A.G.; Danabasoglu, G.; Lamarque, J.; Fasullo, J.T.; Bailey, D.A.; Lawrence, D.M.; et al. High Climate Sensitivity in the Community Earth System Model Version 2 (CESM2). Geophys. Res. Lett. 2019, 46, 8329–8337. [Google Scholar] [CrossRef]
- Dunne, J.P.; Horowitz, L.W.; Adcroft, A.J.; Ginoux, P.; Held, I.M.; John, J.G.; Krasting, J.P.; Malyshev, S.; Naik, V.; Paulot, F.; et al. The GFDL Earth System Model Version 4.1 (GFDL-ESM 4.1): Overall Coupled Model Description and Simulation Characteristics. J. Adv. Model. Earth Syst. 2020, 12, e2019MS002015. [Google Scholar] [CrossRef]
- Knapp, A.K.; Smith, M.D. Variation among Biomes in Temporal Dynamics of Aboveground Primary Production. Science 2001, 291, 481–484. [Google Scholar] [CrossRef] [PubMed] [Green Version]
- Running, S.W.; Nemani, R.R.; Heinsch, F.A.; Zhao, M.; Reeves, M.; Hashimoto, H. A Continuous Satellite-Derived Measure of Global Terrestrial Primary Production. Bioscience 2004, 54, 547–560. [Google Scholar] [CrossRef]
- Tobin, I.; Greuell, W.; Jerez, S.; Ludwig, F.; Vautard, R.; van Vliet, M.T.; Bréon, F.-M. Vulnerabilities and resilience of European power generation to 1.5 °C, 2 °C and 3 °C warming. Environ. Res. Lett. 2018, 13, 044024. [Google Scholar] [CrossRef]
- Wang, Z.; Lin, L.; Zhang, X.; Zhang, H.; Liu, L.; Xu, Y. Scenario dependence of future changes in climate extremes under 1.5 °C and 2 °C global warming. Sci. Rep. 2017, 7, 46432. [Google Scholar] [CrossRef] [PubMed]
- Haberl, H.; Erb, K.; Krausmann, F.; Gaube, V.; Bondeau, A.; Plutzar, C.; Gingrich, S.; Lucht, W.; Fischer-Kowalski, M. Quantifying and mapping the human appropriation of net primary production in earth’s terrestrial ecosystems. Proc. Natl. Acad. Sci. USA 2007, 104, 12942–12947. [Google Scholar] [CrossRef] [Green Version]
- Samset, B.H.; Sand, M.; Smith, C.J.; Bauer, S.E.; Forster, P.M.; Fuglestvedt, J.S.; Osprey, S.; Schleussner, C. Climate Impacts From a Removal of Anthropogenic Aerosol Emissions. Geophys. Res. Lett. 2018, 45, 1020–1029. [Google Scholar] [CrossRef] [PubMed] [Green Version]













| CMIP | Models | Land Models | Dynamic Vegetation | Original Resolution (lat × lon) | Emission Scenarios (1.5 °C) | Emission Scenarios (2.0 °C) | References | ||||
|---|---|---|---|---|---|---|---|---|---|---|---|
| RCP2.6 | RCP4.5 | RCP8.5 | RCP2.6 | RCP4.5 | RCP8.5 | ||||||
| CMIP5 | IPSL-CM5A-LR | ORCHIDEE | ORCHIDEE | 96 × 96 | √ | √ | √ | √ | √ | [37] | |
| IPSL-CM5B-LR | ORCHIDEE | ORCHIDEE | 96 × 96 | √ | √ | √ | √ | [37] | |||
| MIROC-ESM | MATSIRO + SEIB-DGVM | SEIB-DGVM | 64 × 128 | √ | √ | √ | √ | √ | √ | [38] | |
| MIROC-ESM-CHEM | MATSIRO + SEIB-DGVM | SEIB-DGVM | 64 × 128 | √ | √ | √ | √ | √ | √ | [38] | |
| HadGEM2-CC | MOSES2 + TRIFFID | TRIFFID | 145 × 192 | √ | √ | √ | √ | [39] | |||
| HadGEM2-ES | MOSES2 + TRIFFID | TRIFFID | 145 × 192 | √ | √ | √ | √ | √ | √ | [39] | |
| MPI-ESM-LR | JSBACH + BETHY | DYNVEG [40] | 96 × 192 | √ | √ | √ | √ | √ | [41] | ||
| MPI-ESM-MR | JSBACH + BETHY | DYNVEG | 96 × 192 | √ | √ | √ | √ | [41] | |||
| GFDL-ESM2G | LM3 | LM3 | 90 × 144 | √ | √ | √ | [42] | ||||
| GFDL-ESM2M | LM3 | LM3 | 90 × 144 | √ | √ | √ | [42] | ||||
| CMIP | Models | Land Models | Dynamic Vegetation | Original Resolution (lat × lon) | Emission Scenarios (1.5 °C) | Emission Scenarios (2.0 °C) | References | ||||
|---|---|---|---|---|---|---|---|---|---|---|---|
| SSP126 | SSP245 | SSP585 | SSP126 | SSP245 | SSP585 | ||||||
| CMIP6 | BCC-CSM2-MR | BCC-AVIM2 | AVIM2.0 [43] | 160 × 320 | √ | √ | √ | √ | √ | [44] | |
| CanESM5 | CLASS3.6 + CTEM1.2 | CTEM1.2 | 64 × 128 | √ | √ | √ | √ | √ | √ | [45] | |
| EC-Earth3-CC | HTESSEL + LPJ-GUESS v4 | LPJ-Guess | 256 × 512 | √ | √ | √ | √ | [46] | |||
| EC-Earth3-Veg | HTESSEL + LPJ-GUESS v4 | LPJ-Guess | 256 × 512 | √ | √ | √ | √ | √ | √ | [46] | |
| INM-CM4-8 | INM-LND1 | “A carbon cycle module [47] with prescribed potential vegetation distribution and root-zone soil moisture determined actual vegetation.” | 120 × 180 | √ | √ | √ | √ | √ | [48] | ||
| INM-CM5-0 | INM-LND1 | 120 × 180 | √ | √ | √ | √ | √ | [48] | |||
| IPSL-CM6A-LR | ORCHIDEE | The land cover maps specific for simulations using reference data sets for CMIP6 within the LUH2 database [49]. | 143 × 144 | √ | √ | √ | √ | √ | √ | [50] | |
| MPI-ESM1-2-LR | JSBACH3.20 | JSBACH uses the LUH2 data set to simulate land use change. | 96 × 192 | √ | √ | √ | √ | √ | [51] | ||
| CESM2 | CLM5 | CLM5 combines updated versions of current day satellite land cover descriptions with the LUH2 data (Lawrence et al., 2019) [52]. | 192 × 288 | √ | √ | √ | √ | √ | √ | [53] | |
| GFDL-ESM4 | GFDL-LM4.1 | LM4.1 | 180 × 288 | √ | √ | √ | √ | √ | [54] | ||
Publisher’s Note: MDPI stays neutral with regard to jurisdictional claims in published maps and institutional affiliations. |
© 2021 by the authors. Licensee MDPI, Basel, Switzerland. This article is an open access article distributed under the terms and conditions of the Creative Commons Attribution (CC BY) license (https://creativecommons.org/licenses/by/4.0/).
Share and Cite
Peng, X.; Yu, M.; Chen, H. Projected Changes in Terrestrial Vegetation and Carbon Fluxes under 1.5 °C and 2.0 °C Global Warming. Atmosphere 2022, 13, 42. https://doi.org/10.3390/atmos13010042
Peng X, Yu M, Chen H. Projected Changes in Terrestrial Vegetation and Carbon Fluxes under 1.5 °C and 2.0 °C Global Warming. Atmosphere. 2022; 13(1):42. https://doi.org/10.3390/atmos13010042
Chicago/Turabian StylePeng, Xiaobin, Miao Yu, and Haishan Chen. 2022. "Projected Changes in Terrestrial Vegetation and Carbon Fluxes under 1.5 °C and 2.0 °C Global Warming" Atmosphere 13, no. 1: 42. https://doi.org/10.3390/atmos13010042
APA StylePeng, X., Yu, M., & Chen, H. (2022). Projected Changes in Terrestrial Vegetation and Carbon Fluxes under 1.5 °C and 2.0 °C Global Warming. Atmosphere, 13(1), 42. https://doi.org/10.3390/atmos13010042

