Arctic Stratosphere Circulation Changes in the 21st Century in Simulations of INM CM5
Abstract
:1. Introduction
2. Data and Methods of Analysis
2.1. Temperature and Zonal Circulation Change
2.2. Sudden Stratospheric Warming
2.3. Planetary Wave Activity
2.4. Final Warming
2.5. Interannual Variability of Arctic Stratosphere Circulation
2.6. Stratospheric Meridional Circulation
2.7. Composite Analysis
3. Results
3.1. Temperature and Zonal Circulation Change
3.2. Planetary Wave Activity
3.3. Sudden Stratospheric Warming
3.4. Final SSW Dates
3.5. Interannual Variability of Arctic Stratospheric Circulation
3.6. Stratospheric Meridional Circulation
3.7. Composite Analysis
4. Discussion and Conclusions
- By the end of the 21st century, in comparison with its beginning, in the winter stratosphere, there will be a decrease in the zonal mean temperature from about −1 K in the lower to −4 K in the upper stratosphere (from ~5 hPa to 1 hPa, ~35–~50 km) under the moderate scenario and, accordingly, from −1 K to −11 K under the severe scenario.
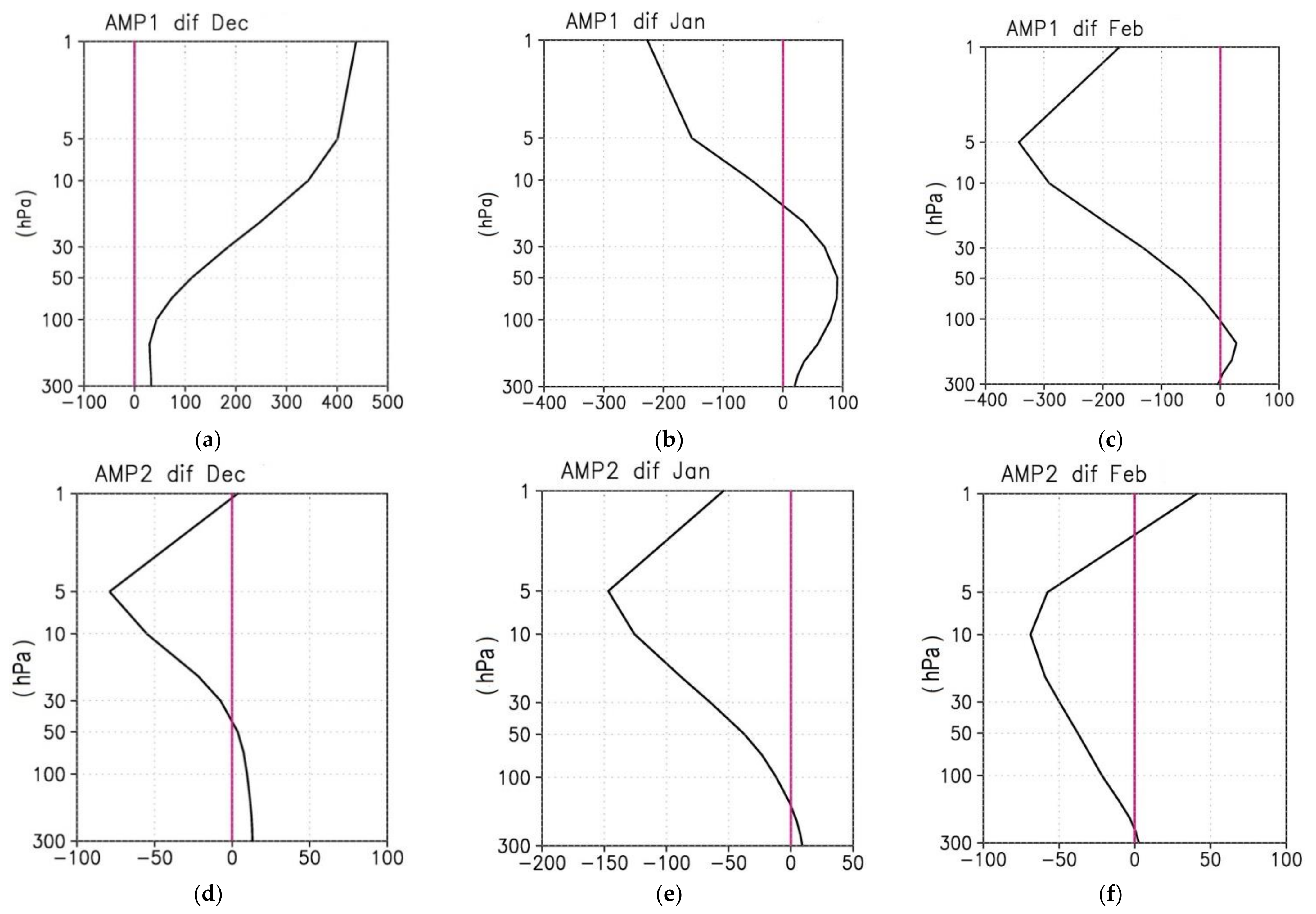
- The strengthening of wave activity propagation and a stationary planetary wave number 1 in the middle and upper stratosphere (especially in severe scenario) is expected.
- No changes in the frequency of the Major SSW events and in the distribution of the Final SSW dates in the Northern Hemisphere were revealed in both scenarios.
- By the end of the 21st century, a strengthening of the residual circulation in the upper stratosphere of the Northern Hemisphere in winter was revealed, which characterizes the Brewer-Dobson meridional circulation. Under a severe scenario, this strengthening is stronger.
- By the end of the 21st century, an increase of winter mean Vpsc and monthly March values in the Arctic stratosphere and the strengthening of the interannual variability of this parameter (especially under the severe scenario) were revealed. The period of PSC formation is increasing. For the severe scenario, they can form during the whole winter at the end of the century. The maximal Vpsc values are also increased.
- Maximal PV gradient increases in the middle stratosphere in February–March by 20% by the end of the 21st century, which could be related with a decrease in effective diffusivity at the boundary of the Arctic stratospheric polar vortex or with an increase of its isolation.
- Composite analysis of 10 winters with the smallest and largest Vpsc values shows that in the warm winters, a strengthening of wave activity propagation from the troposphere into the stratosphere in December is observed. However, this propagation may be stronger for colder winter seasons in January–February. Near surface temperatures in Central Asia and southern Siberia are expected to be 1–3 K lower in November–December in the “warm” winters (i.e., with a lower winter mean Vpsc value).
Supplementary Materials
Author Contributions
Funding
Data Availability Statement
Acknowledgments
Conflicts of Interest
Abbreviations
| CMIP6 | Coupled Model Intercomparison Project Phase 6 |
| PSC | polar stratospheric clouds |
| Vpsc | volume of air masses with temperature below the threshold of PSC formation of the type I (Tnat) |
| BDC | Brewer-Dobson meridional circulation |
| CCM | chemistry climate model |
References
- Steiner, A.K.; Ladstädter, F.; Randel, W.J.; Maycock, A.C.; Fu, Q.; Claud, C.; Gleisner, H.; Haimberger, L.; Ho, S.-P.; Keckhut, P.; et al. Observed Temperature Changes in the Troposphere and Stratosphere from 1979 to 2018. J. Clim. 2020, 33, 8165–8194. [Google Scholar] [CrossRef]
- WMO (World Meteorological Organization). Ozone Report No. 55. Chapter 3. In Scientific Assessment of Ozone Depletion; WMO: Geneva, Switzerland, 2018. [Google Scholar]
- Randel, W.; Smith, A.; Wu, F. Stratospheric Temperature Trends over 1979–2015 Derived from Combined SSU, MLS, and SABER Satellite Observation. J. Clim. 2016, 29, 4843–4859. [Google Scholar] [CrossRef]
- Keeble, J.; Hassler, B.; Banerjee, A.; Checa-Garcia, R.; Chiodo, G.; Davis, S.; Eyring, V.; Griffiths, P.; Morgenstern, O.; Nowack, P.; et al. Evaluating stratospheric ozone and water vapour changes in CMIP6 models from 1850 to 2100. Atmos. Chem. Phys. 2021, 21, 5015–5061. [Google Scholar] [CrossRef]
- Baldwin, M.; Dunkerton, T. Stratospheric harbingers of anomalous weather regimes. Science 2001, 294, 581–584. [Google Scholar] [CrossRef] [PubMed]
- Baldwin, M.; Birner, T.; Brasseur, G.; Burrows, J.; Butchart, N.; Garcia, R.; Geller, M.; Gray, L.; Hamilton, K.; Harnik, N.; et al. 100 Years of Progress in Understanding the Stratosphere and Mesosphere. Meteorol. Monogr. 2019, 59, 27.1–27.61. [Google Scholar] [CrossRef]
- Kolstad, E.; Breiteig, T.; Scaife, A. The association between stratospheric weak polar vortex events and cold air outbreaks in the Northern Hemisphere. Q. J. R. Meteorol. Soc. 2010, 136, 886–893. [Google Scholar] [CrossRef] [Green Version]
- Nath, D.; Chen, W.; Zelin, C.; Pogoreltsev, A.; Wei, K. Dynamics of 2013 Sudden Stratospheric Warming event and its impact on cold weather over Eurasia: Role of planetary wave reflection. Sci. Rep. 2016, 6, 24174. [Google Scholar] [CrossRef]
- Vargin, P.N.; Guryanov, V.V.; Lukyanov, A.N.; Vyzankin, A.S. Arctic Stratosphere Dynamical Processes in the Winter of 2020–2021. Izv. Atmos. Ocean. Phys. 2021, 57, 568–580. [Google Scholar]
- Zülicke, C.; Becker, E.; Matthias, V.; Peters, D.; Schmidt, H.; Liu, H.-L.; Ramos, L.; Mitchell, D. Coupling of Stratospheric Warmings with mesospheric coolings in observations and simulations. J. Clim. 2018, 31, 1107–1133. [Google Scholar] [CrossRef]
- Pedatella, N.; Chau, J.; Schmidt, H.; Goncharenko, L.; Stolle, C.; Hocke, K.; Harvey, V.; Funke, B.; Siddiqui, T. How sudden stratospheric warming affects the whole atmosphere. EOS 2018, 99, 092441. [Google Scholar] [CrossRef]
- Manney, G.; Santee, M.; Rex, M.; Livesey, N.; Pitts, M.; Veefkind, P.; Nash, E.; Wohltmann, I.; Lehmann, R.; Froidevaux, L.; et al. Unprecedented Arctic ozone loss in 2011. Nature 2011, 478, 469–475. [Google Scholar] [CrossRef]
- Lawrence, Z.; Perlwitz, J.; Butler, A.; Manney, G.; Newman, P.; Lee, S.; Nash, E. The remarkably strong arctic stratospheric polar vortex of winter 2020: Links to record-breaking Arctic oscillation and ozone loss. J. Geophys. Res. 2020, 125. [Google Scholar] [CrossRef]
- Wohltmann, I.; von der Gathen, P.; Lehmann, R.; Maturilli, M.; Deckelmann, H.; Manney, G.L.; Davies, J.; Tarasick, D.; Jepsen, N.; Kivi, R.; et al. Near-complete local reduction of Arctic stratospheric ozone by severe chemical loss in spring 2020. Geophys. Res. Lett. 2020, 47, e2020GL089547. [Google Scholar] [CrossRef]
- Manney, G.; Livesey, N.; Santee, M.; Lawrence, Z.; Lambert, A.; Millan, L.; Fuller, R. Record low Arctic stratospheric ozone in 2020: MLS polar processing observations compared with 2016 and 2011. Geophys. Res. Lett. 2020, 47. [Google Scholar] [CrossRef]
- Smyshlyaev, S.P.; Vargin, P.N.; Motsakov, M.A. Numerical modeling of ozone loss in the exceptional Arctic stratosphere winter-spring of 2020. Atmosphere 2021, 12, 1407. [Google Scholar] [CrossRef]
- Tsvetkova, N.D.; Vargin, P.N.; Lukyanov, A.N.; Kirushov, B.M.; Yushkov, V.A.; Khattatov, V.U. Investigation of chemistry ozone destruction and dynamical processes in Arctic stratosphere in winter 2019–2020. Russ. Meteorol. Hydrol. 2021, 46, 597–606. [Google Scholar]
- Pascoe, C.; Lawrence, B.; Guilyardi, E.; Juckes, M.; Taylor, K. Designing and Documenting Experiments in CMIP6. Geosci. Model Dev. Discuss. 2019, 1–27. [Google Scholar] [CrossRef] [Green Version]
- Gathen, P.; Kivi, R.; Wohltmann, I.; Salawitch, R.; Rex, M. Climate change favours large seasonal loss of Arctic ozone. Nat. Commun. 2021, 12, 1–17. [Google Scholar] [CrossRef]
- Eleftheratos, K.; Kapsomenakis, J.; Zerefos, C.; Bais, A.; Fountoulakis, I.; Dameris, S.; Jöckel, P.; Haslerud, A.; Godin- Beekmann, S.; Steinbrecht, W.; et al. Possible Effects of Greenhouse Gases to Ozone Profiles and DNA Active UV-B Irradiance at Ground Level. Atmosphere 2020, 11, 228. [Google Scholar] [CrossRef] [Green Version]
- Matsuno, T. A dynamical model of stratospheric sudden warming. J. Atmos. Sci. 1971, 28, 1479–1494. [Google Scholar] [CrossRef]
- Pogoreltsev, A.; Savenkova, E.; Aniskina, O.; Ermakova, T.; Chen, W.; Wei, K. Interannual and intraseasonal variability of stratospheric dynamics and stratosphere-troposphere coupling during northern winter. J. Atmos. Solar-Terr. Phys. 2015, 136, 187–200. [Google Scholar] [CrossRef]
- Albers, J.R.; Birner, T. Vortex Preconditioning due to Planetary and Gravity Waves prior to Sudden Stratospheric Warmings. J. Atmos. Sci. 2014, 71, 4028–4054. [Google Scholar] [CrossRef]
- Ern, M.; Trinh, Q.; Kaufmann, M.; Krisch, I.; Preusse, P.; Ungermann, J.; Zhu, Y.; Gille, J.; Mlynczak, M.; Russell, J., III; et al. Satellite observations of middle atmosphere gravity wave absolute momentum flux and of its vertical gradient during recent stratospheric warmings. Atmos. Chem. Phys. 2016, 16, 9983–10019. [Google Scholar] [CrossRef] [Green Version]
- Cai, Z.; Wei, K.; Xu, L.; Lan, X.; Chen, W.; Nath, D. The Influences of the Model Configuration on the Simulation of Stratospheric Northern-Hemisphere Polar Vortex in the CMIP5 Models. Advan. Meteorol. 2017, 2017, 7326759. [Google Scholar] [CrossRef] [Green Version]
- Volodin, E.M.; Gritsun, A.S. Simulation of Possible Future Climate Changes in the 21st Century in the INM-CM5 Climate Model. Izv. Atmos. Ocean. Phys. 2020, 56, 218–228. [Google Scholar] [CrossRef]
- Ayarzagüena, B.; Charlton-Perez, A.; Butler, A.; Hitchcock, P.; Simpson, I.; Polvani, L.; Butchart, N.; Gerber, E.; Gray, L.; Hassler, B.; et al. Uncertainty in the response of sudden stratospheric warmings and stratosphere-troposphere coupling to quadrupled CO2 concentrations in CMIP6 models. J. Geophys. Res. Atmos. 2020, 125, e2019JD032345. [Google Scholar] [CrossRef]
- Volodin, E.M.; Mortikov, E.V.; Kostrykin, S.V.; Ya Galin, V.; Lykosov, V.N.; Gritsun, A.S.; Diansky, N.A.; Gusev, A.V.; Yakovlev, N.G. Simulation of modern climate with the new version of the INM RAS climate model. Izv. Atmos. Ocean. Phys. 2017, 53, 142–155. [Google Scholar] [CrossRef]
- Gerber, E.; Manzini, E. The Dynamics and Variability Model Intercomparison Project (DynVarMIP) for CMIP6: Assessing the stratosphere–troposphere system. Geosci. Model Dev. 2016, 9, 3413–3425. [Google Scholar] [CrossRef] [Green Version]
- Meinshausen, M.; Nicholls, Z.; Lewis, J.; Gidden, M.; Vogel, E.; Freund, M.; Beyerle, U.; Gessner, C.; Nauels, A.; Bauer, N.; et al. The SSP greenhouse gas concentrations and their extensions to 2500. Geosci. Model Dev. 2020, 13, 3571–3605. [Google Scholar] [CrossRef]
- Volodin, E.M.; Kostrykin, S.V. The aerosol module in the INM RAS climate model. Russ. Meteorol. Hydrol. 2016, 41, 519–528. [Google Scholar] [CrossRef]
- Vargin, P.; Volodin, E. Analysis of the reproduction of dynamical processes in the stratosphere using climate model of Institute of Numerical Mathematics, Russian Academy of Science. Izv. Atmos. Ocean. Phys. 2016, 52, 3–18. [Google Scholar] [CrossRef]
- Vargin, P.N.; Kostrykin, S.V.; Volodin, E.M. Analysis of realization of stratosphere-troposphere dynamical coupling in simulations of INM RAS climate model. Russ. Meteorol. Hydrol. 2018, 43, 780–786. [Google Scholar] [CrossRef]
- Vargin, P.N.; Kolennikova, M.A.; Kostrykin, S.V.; Volodin, E.M. Influence of equatorial and north Pacific SST anomalies on Arctic stratosphere in INM RAS climate model simulations. Russ. Meteorol. Hydrol. 2021, 46, 1–9. [Google Scholar] [CrossRef]
- Plumb, R. On the Three-Dimensional Propagation of Stationary Waves. J. Atmos. Sci. 1985, 42, 217–229. [Google Scholar] [CrossRef]
- Savenkova, E.N.; Gavrilov, N.M.; Pogoreltsev, A.I. On statistical irregularity of stratospheric warming occurrence during northern winters. J. Atmos. Sol.-Terr. Phys. 2017, 163, 14–22. [Google Scholar] [CrossRef]
- Vargin, P.N.; Kostrykin, S.V.; Rakushina, E.V.; Volodin, E.M.; Pogoreltzev, A.I. Investigation of variability of Spring Breakup dates and Arctic stratospheric polar vortex parameters in modeling and reanalysis data. Izv. Atmos. Ocean. Phys. 2020, 56, 526–539. [Google Scholar] [CrossRef]
- Lawrence, Z.; Manney, G.; Wargan, K. Reanalysis intercomparisons of stratospheric polar processing diagnostics. Atmos. Chem. Phys. 2018, 18, 13547–13579. [Google Scholar] [CrossRef] [PubMed] [Green Version]
- Tritscher, I.; Pitts, M.C.; Poole, L.R.; Alexander, S.P.; Cairo, F.; Chipperfield, M.P.; Groo, J.-U.; Höpfner, M.; Lambert, A.; Luo, B.; et al. Polar stratospheric clouds: Satellite observations, processes, and role in ozone depletion. Rev. Geophys. 2021, 59, e2020RG000702. [Google Scholar] [CrossRef]
- Giorgetta, M.; Jungclaus, J.; Reick, C.; Legutke, S.; Bader, J.; Böttinger, M. Climate and carbon cycle changes from 1850 to 2100 in MPI-ESM simulations for the CMIP5. J. Advan. Model Earth Syst. 2013, 5, 572–597. [Google Scholar] [CrossRef]
- Oberländer, S.; Langematz, U.; Meul, S. Unraveling impact factors for future changes in the Brewer-Dobson circulation. J. Geoph. Res. Atmos. 2013, 118, 10296–10312. [Google Scholar] [CrossRef]
- Abalos, M.; Calvo, N.; Benito-Barca, S.; Garny, H.; Hardiman, S.C.; Lin, P.; Andrews, M.B.; Butchart, N.; Garcia, R.; Orbe, C.; et al. The Brewer–Dobson circulation in CMIP6. Atmos. Chem. Phys. 2021, 21, 13571–13591. [Google Scholar] [CrossRef]
- Plumb, R.A. Stratospheric transport. J. Meteorol. Soc. Jpn. 2002, 80, 793–809. [Google Scholar] [CrossRef] [Green Version]
- Sato, K.; Kinoshita, T.; Okamoto, K. A new method to estimate three-dimensional residual-mean circulation in the middle atmosphere and its application to gravity wave-resolving general circulation model data. J. Atmos. Sci. 2013, 70, 3756–3779. [Google Scholar] [CrossRef]
- Gabriel, A. Long-term changes in the northern mid-winter middle atmosphere in relation to the Quasi-Biennial Oscillation. J. Geophys. Res. Atmos. 2019, 124, 13914–13942. [Google Scholar] [CrossRef]
- Bednarz, E.M.; Maycock, A.C.; Abraham, N.L.; Braesicke, P.; Dessens, O.; Pyle, J.A. Future Arctic ozone recovery: The importance of chemistry and dynamics. Atmos. Chem. Phys. 2016, 16, 12159–12176. [Google Scholar] [CrossRef] [Green Version]
- Gelaro, R.; McCarty, W.; Suárez, M.J.; Todling, R.; Molod, A.; Takacs, L.; Randles, C.; Darmenov, A.; Bosilovich, M.; Reichle, R.; et al. The Modern-Era Retrospective Analysis for Research and Applications, Version 2 (MERRA-2). J. Clim. 2017, 30, 5419–5454. [Google Scholar] [CrossRef]
- Smyshlyaev, S.; Pogoreltsev, A.; Galin, V.; Drobashevskaya, E. Influence of Wave Activity on Polar Stratosphere. Geomag. Aeron. 2016, 56, 95–109. [Google Scholar] [CrossRef]
- Rao, J.; Garfinkel, C. CMIP5/6 models project little change in the statistical characteristics of sudden stratospheric warmings in the 21st century. Environ. Res. Lett. 2021, 16, 034024. [Google Scholar] [CrossRef]
- Manney, G.; Lawrence, Z.; Santee, M.; Read, W.; Livesey, N.; Lambert, A.; Froidevaux, L.; Pumphrey, H.; Schwartz, M. A minor sudden stratospheric warming with a major impact: Transport and polar processing in the 2014/2015 Arctic winter. Geophys. Res. Lett. 2015, 42, 7808–7816. [Google Scholar] [CrossRef]
- Butler, A.; Seidel, D.; Hardiman, S.; Butchart, N.; Birner, T.; Match, A. Defining Sudden Stratospheric Warmings. Bull. Amer. Met. Soc. 2015, 1913–1928. [Google Scholar] [CrossRef]
- Savenkova, E.N.; Kanukhina, A.Y.; Pogoreltsev, A.I.; Merzlyakov, E.G. Variability of the springtime transition date and planetary waves in the stratosphere. J. Atmos. Sol.-Terr. Phys. 2012, 90–91, 1–8. [Google Scholar] [CrossRef]
- Rao, J.; Garfinkel, C. Projected changes of stratospheric final warmings in the Northern and Southern Hemispheres by CMIP5/6 models. Clim. Dyn. 2021, 56, 3353–3371. [Google Scholar] [CrossRef]
- Stenke, A.; Schraner, M.; Rozanov, E.; Egorova, T.; Luo, B.; Peter, T. The SOCOL version 3.0 chemistry–climate model: Description, evaluation, and implications from an advanced transport algorithm. Geosci. Model Dev. 2013, 6, 1407–1427. [Google Scholar] [CrossRef] [Green Version]
- Hanson, D.; Mauersberger, K. Laboratory studies of the nitric acid trihydrate: Implications for the south polar stratosphere. Geophys. Res. Lett. 1988, 15, 855–858. [Google Scholar] [CrossRef]
- Kostrykin, S.V.; Schmitz, G. Effective diffusivity in the middle atmosphere based on general circulation model winds. J. Geophys. Res. 2006, 111, D02304. [Google Scholar] [CrossRef]
- Zyulyaeva, Y.A.; Jadin, E.A. Analysis of three-dimensional Eliassen-Palm fluxes in the lower stratosphere. Russ. Meteorol. Hydrol. 2009, 8, 5–14. [Google Scholar] [CrossRef]
- Gečaitė, I. Climatology of Three-Dimensional Eliassen–Palm Wave Activity Fluxes in the Northern Hemisphere Stratosphere from 1981 to 2020. Climate 2021, 9, 124. [Google Scholar] [CrossRef]
- Wei, K.; Ma, J.; Chen, W.; Vargin, P. Longitudinal peculiarities of planetary waves-zonal flow interactions and their role in stratosphere-troposphere dynamical coupling. Clim. Dyn. 2021, 57, 2843–2862. [Google Scholar] [CrossRef]
- Harada, Y.; Kamahori, H.; Kobayashi, C.; Endo, H.; Kobayashi, S.; Ota, Y.; Onoda, H.; Onogi, K.; Miyaoka, K.; Takahashi, K. The JRA-55 Reanalysis: Representation of atmospheric circulation and climate variability. J. Meteorol. Soc. Jpn. 2016, 94, 269–302. [Google Scholar] [CrossRef] [Green Version]
- Bueh, C.; Nakamura, H. Scandinavian pattern and its climatic impact. Q. J. R. Meteorol. Soc. 2007, 133, 2117–2131. [Google Scholar] [CrossRef]
- Liu, Y.; Wang, L.; Zhou, W.; Chen, W. Three Eurasian teleconnection patterns: Spatial structures, temporal variability, and associated winter climate anomalies. Clim. Dyn. 2014, 42, 2817–2839. [Google Scholar] [CrossRef]
- Tyrrell, N.L.; Karpechko, A.Y.; Uotila, P.; Vihma, T. Atmospheric circulation response to anomalous Siberian forcing in October 2016 and its long-range predictability. Geophys. Res. Lett. 2019, 46, 2800–2810. [Google Scholar] [CrossRef] [Green Version]
- Calvo, N.; Polvani, L.; Solomon, S. On the surface impact of Arctic stratospheric ozone extremes. Environ. Res. Lett. 2015, 10, 094003. [Google Scholar] [CrossRef] [Green Version]
- Hall, R.J.; Mitchell, D.M.; Seviour, W.J.; Wright, C.J. Persistent model biases in the CMIP6 representation of stratospheric polar vortex variability. J. Geophys. Res. Atmos. 2021, 126, e2021JD034759. [Google Scholar] [CrossRef]
- Haase, S.; Matthes, K. The importance of interactive chemistry for stratosphere–troposphere coupling. Atm. Chem. Phys. 2019, 19, 3417–3432. [Google Scholar] [CrossRef] [Green Version]















Publisher’s Note: MDPI stays neutral with regard to jurisdictional claims in published maps and institutional affiliations. |
© 2021 by the authors. Licensee MDPI, Basel, Switzerland. This article is an open access article distributed under the terms and conditions of the Creative Commons Attribution (CC BY) license (https://creativecommons.org/licenses/by/4.0/).
Share and Cite
Vargin, P.N.; Kostrykin, S.V.; Volodin, E.M.; Pogoreltsev, A.I.; Wei, K. Arctic Stratosphere Circulation Changes in the 21st Century in Simulations of INM CM5. Atmosphere 2022, 13, 25. https://doi.org/10.3390/atmos13010025
Vargin PN, Kostrykin SV, Volodin EM, Pogoreltsev AI, Wei K. Arctic Stratosphere Circulation Changes in the 21st Century in Simulations of INM CM5. Atmosphere. 2022; 13(1):25. https://doi.org/10.3390/atmos13010025
Chicago/Turabian StyleVargin, Pavel N., Sergey V. Kostrykin, Evgeni M. Volodin, Alexander I. Pogoreltsev, and Ke Wei. 2022. "Arctic Stratosphere Circulation Changes in the 21st Century in Simulations of INM CM5" Atmosphere 13, no. 1: 25. https://doi.org/10.3390/atmos13010025
APA StyleVargin, P. N., Kostrykin, S. V., Volodin, E. M., Pogoreltsev, A. I., & Wei, K. (2022). Arctic Stratosphere Circulation Changes in the 21st Century in Simulations of INM CM5. Atmosphere, 13(1), 25. https://doi.org/10.3390/atmos13010025

