Effects of Rainfall on the Characteristics of Soil Greenhouse Gas Emissions in the Wetland of Qinghai Lake
Abstract
:1. Introduction
2. Overview of the Study Area and Research Methods
2.1. Overview of the Study Area
2.2. Research Methods
2.3. Data Processing
3. Results and Analysis
3.1. Greenhouse Gas Variation Patterns in Niaodao in the Growing Season under Different Rainfall Treatments
3.1.1. CO2 Flux Variation Patterns during the Growing Season
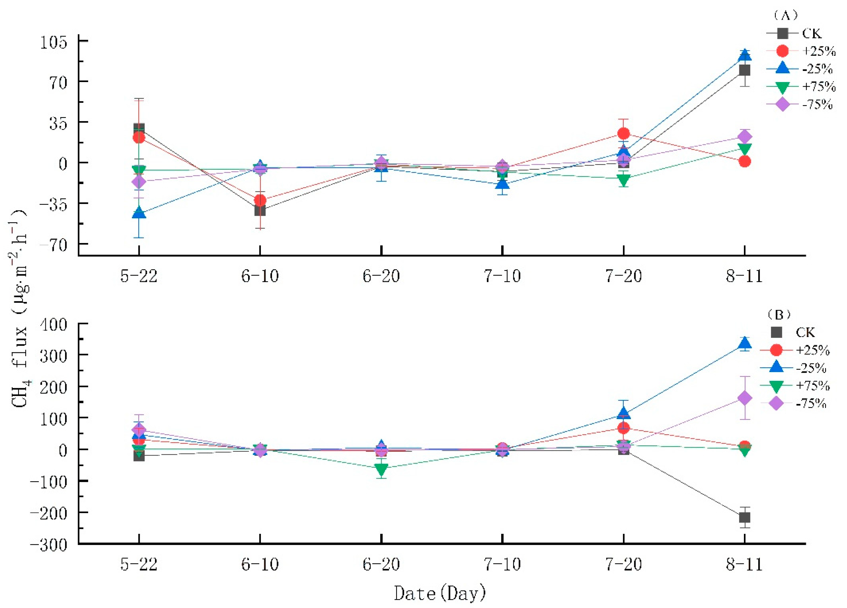
3.1.2. CH4 Flux Variation Patterns during the Growing Season
3.1.3. N2O Flux Variation Patterns during the Growing Season
3.2. Test of Applicability of Data Standardization and Factor Analysis
3.2.1. Principal Component Analysis Procedure
3.2.2. Aboveground and Underground Biomass
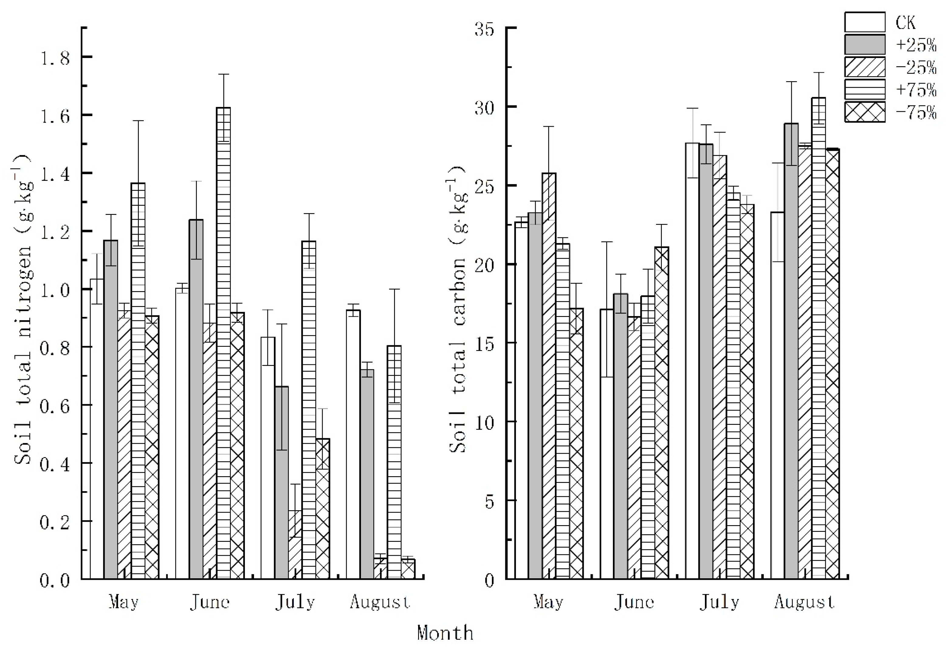
3.2.3. Soil Total Nitrogen and Total Carbon
4. Discussion
4.1. Characteristics and Influencing Factors of CO2 Fluxes
4.2. Characteristics and Influencing Factors of CH4 Fluxes
4.3. Characteristics and Influencing Factors of N2O Fluxes
5. Conclusions
Author Contributions
Funding
Institutional Review Board Statement
Acknowledgments
Conflicts of Interest
References
- World Meteorological Organization. WMO Greenhouse Gas Bulletin (No.15): The State of Greenhouse Gases in the Atmosphere Based on Global Observations through 2018[EB/OL]. Available online: https://library.wmo.int/index.php?lvl=notice_display&id=21620#.X4ER_PkpXAR (accessed on 25 November 2019).
- IPCC. Climate Change 2014: Synthesis Report. In Contribution of Working Groups I, II and III to the Fifth Assessment Report of the Intergovernmental Panel on Climate Change; Core Writing Team, Pachauri, R.K., Meyer, L.A., Eds.; IPCC: Geneva, Switzerland, 2014; 151p. [Google Scholar]
- IPCC. The Physical Science Basis. In Working Group I Contribution to the Fifth Assessment Report of the Intergovernmental Panel on Climate Change: Climate Change 2013; Cambridge University Press: Cambridge, UK; New York, NY, USA, 2013. [Google Scholar]
- Prather, M.; Ehhalt, D.; Dentener, F.; Derwent, R.; Dlugokencky Edward, J.; Holland, E.; Isaksen, I.; Katima, J.; Kirchhoff, V.; Matson, P.; et al. Atmospheric chemistry and greenhouse gases. In Climate Change: Working Group I: The Scientific Basis; Cambridge University Press: Cambridge, UK, 2001. [Google Scholar]
- Kallenbach, C.; Rolston, D.E.; Horwath, W.R. Cover cropping affects soil N2O and CO2 emissions differently depending on type of irrigation. Agric. Ecosyst. Environ. 2012, 137, 251–260. [Google Scholar] [CrossRef]
- Mitsch, W.J.; Bernal, B.; Nahlik, A.M.; Mander, Ü.; Zhang, L.; Anderson, C.J.; Jørgensen, S.E.; Brix, H. Wetlands, carbon, and climate change. Landsc. Ecol. 2013, 28, 583–597. [Google Scholar] [CrossRef]
- Matthews, E.; Fung, I. Methane emission from natural wetlands-global distribution, area and environmental characteristics of sources. Glob. Biogeochem. Cycles 1987, 1, 61–86. [Google Scholar] [CrossRef]
- Wang, T.; Lu, L.; Liu, G.; Shan, W.; Luo, M.; Wang, J.; Zhou, Y.; Wang, F. Analysis on the evolution and driving factors of the wetland of Qinghai Lake. J. China Inst. Water Resour. Hydropower Res. 2020, 18, 274–283. [Google Scholar]
- Li, Y. Research on the Influence Mechanism of Vegetation in the Process of Greenhouse Gas Emissions from Wetlands in the Yangtze River Estuary; East China Normal University: Shanghai, China, 2015; pp. 50–55. [Google Scholar]
- Aura, C.M.; Musa, S.; Ogello, E.O.; Otwoma, L.M.; Miriam, W.; Kundu, R. Methane emissions from riverine and swampy coastal wetlands: Influence of open and macrophyte-infested areas. Lakes Reserv. Res. Manag. 2011, 16, 265–272. [Google Scholar] [CrossRef]
- Wang, D.Q.; Chen, Z.L.; Xu, S.Y. Methane emission from Yangtze estuarine wetland, China. J. Geophys. Res. 2009, 114, 1588–1593. [Google Scholar] [CrossRef] [Green Version]
- Bao, F.; Zhou, G. Research progress on grassland soil respiration in China. Acta Phytoecol. Sin. 2010, 34, 713–726. [Google Scholar]
- Raich, J.W.; Schlesinger, W.H. The global carbon dioxide flux in soil respiration and its relationship to vegetation and climate. Tellus Ser. B-Chem. Phys. Meteorol. 1992, 44, 81–99. [Google Scholar] [CrossRef] [Green Version]
- Rochette, P.; Desjardins, R.L.; Pattey, E. Spatial and temporal variability of soil respiration in agricultural fields. Can. J. Soil Sci. 1991, 71, 189–196. [Google Scholar] [CrossRef]
- Gu, C.; Riley, W.J. Combined effects of short term rainfall patterns and soil texture on soil nitrogen cycling: A modeling analysis. J. Contam. Hydrol. 2010, 112, 141–154. [Google Scholar] [CrossRef] [Green Version]
- Lee, M.S.; Nakane, K.; Nakatsubo, T.; Mo, W.H.; Koizumi, H. Effects of rainfall events on soil CO2 flux in a cool temperate deciduous broad-leaved forest. Ecol. Res. 2002, 17, 401–409. [Google Scholar] [CrossRef]
- Li, L.; Pan, Y.; Zhou, X. Nitrification of main types of soil in Taihu Lake area and its influencing factors. Soils 1987, 19, 289–293. [Google Scholar]
- Khalil, K.; Mary, B.; Renault, P. Nitrous oxide production by nitrification and denitrification in soil aggregates as affected by O2 concentration. Soil Biol. Biochem. 2004, 36, 687–699. [Google Scholar] [CrossRef]
- Tian, G.; He, Y.; Li, Y. Effect of water and fertilization management on emission of CH4 and N2O in paddy soil. Soil Environ. Sci. 2002, 11, 294–298. [Google Scholar]
- Nesbit, S.P.; Breitenbeck, G.A. A laboratory study of factors influencing methane uptake by soils. Agric. Ecosyst. Environ. 1992, 41, 39–54. [Google Scholar] [CrossRef]
- Dendooven, L.; Anderson, J.M. Maintenance of denitrification in pasture soil following anaerobic events. Soil Biol. Biochem. 1995, 27, 1251–1560. [Google Scholar] [CrossRef]
- Tiedje, J.M.; Sexstone, A.J.; Myrold, D.D.; Robinson, J.A. Denitrification: Ecological niches, competition and survival. Antonie Van Leeuwenhoek 1982, 48, 545–553. [Google Scholar] [CrossRef]
- Ellis, S.; Howe, M.T.; Goulding, K.W.T.; Mugglestone, M.A.; Dendooven, L. Carbon and Nitrogen dynamics in a grassland soil with varing pH: Effects of pH on the denitrification potential and dynamics of the reduction enzymes. Soil Biol. Biochem. 1998, 30, 359–367. [Google Scholar] [CrossRef]
- Ehrlich, H.L.; Newman, D. Lithosphere as microbial habitat. Geomicrobiology 2009, 5, 37–55. [Google Scholar]
- Wang, G.; Hao, M.; Chen, D. Effects of nitrification inhibitors and aeration regulation on soil N2O emissions. J. Plant Nutr. Fertil. 2006, 32–36. [Google Scholar] [CrossRef]
- Hu, Q.; Wu, Q.; Li, D.; Cao, G. Comparative study on CH4 release from alpine grassland under different soil moisture content. J. Ecol. 2005, 118–122. [Google Scholar]
- Kirschke, S.; Bousquet, P.; Ciais, P.; Saunois, M.; Canadell, J.G.; Dlugokencky, E.J.; Bergamaschi, P.; Bergmann, D.; Blake, D.R.; Bruhwiler, L.; et al. Three decades of global methane sources and sinks. Nat. Geosci. 2013, 6, 813–823. [Google Scholar] [CrossRef]
- Wang, S.; Chen, G.; Bai, Y. The relationship between plant community species diversity and soil environmental factors in the bird island area of Qinghai Lake. Chin. J. Appl. Ecol. 2005, 186–188. [Google Scholar]
- Li, H.; Ma, L. Analysis of the annual distribution and inter-annual variation of precipitation in Qinghai Lake Basin. Water Conserv. Sci. Technol. Econ. 2014, 20, 80–81. [Google Scholar]
- Cao, G.; Xu, X.; Long, R.; Wang, Q.; Wang, C.; Du, Y.; Zhao, X. Methane emissions by alpine plant communities in the Tibetan Plateau. Biol. Lett. 2008, 4, 681–684. [Google Scholar] [CrossRef] [Green Version]
- Zhang, J.; Peng, C.; Zhu, Q.; Xue, W.; Shen, Y.; Yang, Y.; Shi, G.; Shi, S.; Wang, M. Temperature sensitivity of soil carbon dioxide and nitrous oxide emissions in mountain forest and meadow ecosystems in China. Atmos. Environ. 2016, 142, 340–350. [Google Scholar] [CrossRef]
- Wu, X.; Zang, S.; Ma, D.; Ren, J.; Li, H.; Zhao, G. Greenhouse gas fluxes from forest soils in permafrost regions of Daxinganling Mountains. Acta Geogr. Sin. 2020, 75, 2319–2331. [Google Scholar]
- Cai, Z.; Arvin, M. The influence of soil moisture status on CH4 oxidation, N2O and CO2 emissions. Soil 1999, 289–294+298. [Google Scholar]
- Li, P.; Wei, W.; Lang, M. Short-term effects of different moisture on greenhouse gas emissions from sandy loam soil in semi-arid areas. J. Agric. Environ. Sci. 2021, 40, 1124–1132. [Google Scholar]
- Xiaoai, C. Research on Greenhouse Gas Emission Flux during the Thawing Period of Wetland in the Riverside Zone of the Grassland Region; Inner Mongolia University: Hohhot, China, 2019. [Google Scholar]
- Liyan, Z.; Bingrui, J.; Guangsheng, Z.; Wei, Z.; Yu, W. Carbon exchange and its regulation mechanism in the growing season of China’s northern prime-leaf forest. Chin. J. Appl. Ecol. 2010, 21, 2449–2456. [Google Scholar]
- Liu, R.; Hu, H.; Suter, H.; Hayden, H.L.; He, J.; Mele, P.; Chen, D. Nitrification Is a primary driverof nitrous oxide production in laboratory microcosms from different land-use soils. Front. Microbiol. 2016, 7, 1373–1383. [Google Scholar] [CrossRef] [PubMed] [Green Version]
- Cheng, G.; Liu, T.; Wang, G.; Duan, L.; Li, D. Effects of rainfall and litter on soil greenhouse gas fluxes of artificial poplar forests. J. Agric. Environ. Sci. 2019, 38, 1398–1407. [Google Scholar]






| Treatment | 22 May | 10 June | 20 June | 10 July | 20 July | 11 August | |
|---|---|---|---|---|---|---|---|
| CO2 flux | CK | 159.50 ± 26.04 b | 8.51 ± 6.72 c | 326.57 ± 21.94 a | 101.95 ± 21.94 b | 90.51 ± 14.33 b | 1.77 ± 21.56 c |
| +25% | 174.98 ± 29.04 ab | 23.89 ± 22.08 b | 237.90 ± 66.48 a | 132.82 ± 39.67 ab | 45.64 ± 37.90 b | 23.48 ± 4.00 b | |
| −25% | 94.58 ± 19.30 b | 6.28 ± 2.12 d | 180.97 ± 28.50 a | 22.54 ± 15.35 cd | −7.06 ± 8.79 d | 76.29 ± 17.94 d | |
| +75% | 172.40 ± 36.45 b | −4.27 ± 13.64 c | 290.66 ± 25.31 a | 159.84 ± 28.88 b | 49.30 ± 10.79 c | 35.62 ± 13.17 c | |
| −75% | 119.36 ± 30.15 b | 25.17 ± 8.35 c | 212.34 ± 21.80 a | 114.23 ± 11.00 b | 44.22 ± 20.25 bc | 43.18 ± 5.67 bc | |
| CH4 flux | CK | 4.23 ± 17.55 a | −22.33 ± 10.98 a | −4.31 ± 1.64 a | −6.10 ± 3.91 a | −0.73 ± 2.40 a | −68.58 ± 63.10 a |
| +25% | 26.29 ± 23.54 a | −16.87 ± 14.43 a | −3.39 ± 0.76 a | −1.21 ± 2.52 a | 46.47 ± 22.04 a | 4.68 ± 1.96 a | |
| −25% | 1.34 ± 29.12 b | −3.79 ± 1.14 b | 0.24 ± 5.95 b | −10.91 ± 5.57 b | 59.71 ± 30.96 b | 212.76 ± 50.81 a | |
| +75% | −3.22 ± 17.81 a | −2.10 ± 2.30 a | −30.99 ± 20.34 a | −4.92 ± 2.66 a | −0.01 ± 7.72 a | 6.71 ± 2.67 a | |
| −75% | 22.66 ± 29.97 a | −4.19 ± 1.18 a | −1.28 ± 1.29 a | −2.19 ± 1.13 a | 5.40 ± 3.48 a | 17.65 ± 3.74 | |
| N2O flux | CK | 2.69 ± 2.86 a | 1.07 ± 2.99 a | 8.31 ± 7.92 a | −4.89 ± 4.20 a | −6.10 ± 2.76 a | −1.96 ± 1.54 a |
| +25% | 0.44 ± 0.85 a | 5.35 ± 3.43 a | 7.70 ± 4.14 a | 4.17 ± 2.94 a | −4.06 ± 2.64 a | 1.63 ± 2.66 a | |
| −25% | 2.07 ± 0.80 a | 5.07 ± 5.47 a | 1.03 ± 4.37 a | 3.97 ± 4.98 a | −3.08 ± 1.24 a | 1.77 ± 1.30 a | |
| +75% | 2.43 ± 1.35 ab | 8.85 ± 3.74 a | 7.88 ± 3.34 a | −6.44 ± 4.60 b | −1.18 ± 1.94 ab | −1.85 ± 0.92 ab | |
| −75% | −1.68 ± 1.43 a | −5.04 ± 2.84 a | 4.27 ± 3.01 a | 0.61 ± 3.22 a | −0.98 ± 1.77 a | −0.68 ± 1.88 a |
| Treatment | Dominant Plant | Vegetation Cover/% | Vegetation Height/cm | Vegetation Surface Thickness/cm |
|---|---|---|---|---|
| CK | Stipa sareptana, Carex moorcroftii, Elymus nutans Griseb | 55 | 25.1–45.4 | 1.1 |
| +25% | Stipa sareptana, Allium przewalskianum | 65 | 20.2–50.3 | 1.0 |
| −25% | Thermopsis lanceolate, Leymus secalinus, Elymus nutans Griseb, Allium przewalskianum | 57 | 30.5–85.2 | 0.8 |
| +75% | Stipa sareptana, Asparagus cochinchinensis | 60 | 13.8–48.5 | 1.2 |
| −75% | Leymus secalinus, Elymus nutans Griseb, Melissitus ruthenicus | 55 | 1.3–29.6 | 0.6 |
| Treatment | Month | Conductivity | pH | Aboveground Biomass | Underground Biomass | Soil Total Nitrogen | Soil Total Carbon |
|---|---|---|---|---|---|---|---|
| CK | May | 77.93 ± 0.81 b | 8.82 ± 0.03 c | 0.09 ± 0.01 a | 0.005 ± 0.001 a | 1.03 ± 0.09 a | 22.66 ± 0.33 a |
| June | 153.37 ± 3.95 a | 8.72 ± 0.01 c | 0.22 ± 0.02 b | 0.01 ± 0.001 a | 1.00 ± 0.02 b | 7.11 ± 0.47 b | |
| July | 208 ± 2.88 b | 8.83 ± 0.01 a | 0.27 ± 0.07 b | 0.02 ± 0.004 a | 0.83 ± 0.10 ab | 27.67 ± 2.23 a | |
| August | 367.5 ± 5.12 c | 9.02 ± 0.01 b | 0.14 ± 0.01 a | 0.01 ± 0.001 a | 0.93 ± 0.02 a | 23.29 ± 3.12 a | |
| +25% | May | 58.27 ± 0.79 d | 9.10 ± 0.02 ab | 0.17 ± 0.02 a | 0.006 ± 0.002 a | 1.17 ± 0.09 a | 23.25 ± 0.76 a |
| June | 110.13 ± 0.76 b | 9.07 ± 0.01 a | 0.61 ± 0.01 a | 0.02 ± 0.001 a | 1.24 ± 0.13 b | 6.77 ± 0.47 b | |
| July | 79.47 ± 1.36 d | 8.88 ± 0.01 a | 0.82 ± 0.08 a | 0.01 ± 0.002 a | 0.66 ± 0.22 bc | 27.61 ± 1.24 a | |
| August | 546.77 ± 5.19 b | 9.03 ± 0.01 b | 0.48 ± 0.07 a | 0.01 ± 0.0002 a | 0.72 ± 0.03 a | 28.91 ± 2.65 a | |
| −25% | May | 87.90 ± 1.14 a | 9.08 ± 0.01 b | 0.14 ± 0.05 a | 0.005 ± 0.001 a | 0.93 ± 0.02 a | 25.76 ± 3.00 a |
| June | 86.87 ± 0.56 c | 9.02 ± 0.01 a | 0.32 ± 0.07 b | 0.02 ± 0.0004 a | 0.88 ± 0.07 b | 6.65 ± 0.85 b | |
| July | 94.13 ± 1.12 c | 8.93 ± 0.02 a | 0.57 ± 0.12 ab | 0.02 ± 0.002 | 0.24 ± 0.09 c | 26.89 ± 1.46 a | |
| August | 651.63 ± 0.56 a | 8.92 ± 0.04 c | 0.56 ± 0.21 a | 0.01 ± 0.003 a | 0.07 ± 0.02 b | 27.49 ± 0.17 a | |
| +75% | May | 61.53 ± 0.53 c | 9.20 ± 0.03 a | 0.20 ± 0.05 a | 0.005 ± 0.002 a | 1.36 ± 0.22 a | 21.30 ± 0.38 a |
| June | 87.43 ± 0.52 c | 8.95 ± 0.02 b | 0.41 ± 0.04 b | 0.02 ± 0.002 a | 1.62 ± 0.12 a | 7.96 ± 1.71 b | |
| July | 92.77 ± 1.66 c | 9.03 ± 0.01 a | 0.46 ± 0.03 b | 0.02 ± 0.002 a | 1.16 ± 0.09 a | 24.52 ± 0.44 a | |
| August | 186.20 ± 1.23 e | 8.87 ± 0.01 c | 0.53 ± 0.16 a | 0.006 ± 0.002 a | 0.80 ± 0.20 a | 30.54 ± 1.64 a | |
| −75% | May | 78.3 ± 0.57 b | 9.12 ± 0.01 ab | 0.17 ± 0.02 a | 0.004 ± 0.001 a | 0.91 ± 0.03 a | 17.19 ± 1.60 a |
| June | 72.5 ± 0.90 d | 8.93 ± 0.01 b | 0.24 ± 0.04 b | 0.01 ± 0.002 a | 0.92 ± 0.03 b | 20.40 ± 2.50 a | |
| July | 226.07 ± 4.51 a | 9.00 ± 0.07 a | 0.32 ± 0.03 b | 0.02 ± 0.001 a | 0.48 ± 0.10 bc | 23.78 ± 0.56 a | |
| August | 235.67 ± 2.18 d | 9.15 ± 0.02 a | 0.34 ± 0.11 a | 0.01 ± 0.002 a | 0.07 ± 0.01 b | 27.30 ± 0.08 a |
Publisher’s Note: MDPI stays neutral with regard to jurisdictional claims in published maps and institutional affiliations. |
© 2022 by the authors. Licensee MDPI, Basel, Switzerland. This article is an open access article distributed under the terms and conditions of the Creative Commons Attribution (CC BY) license (https://creativecommons.org/licenses/by/4.0/).
Share and Cite
Yang, Z.; Chen, K.; Liu, F.; Che, Z. Effects of Rainfall on the Characteristics of Soil Greenhouse Gas Emissions in the Wetland of Qinghai Lake. Atmosphere 2022, 13, 129. https://doi.org/10.3390/atmos13010129
Yang Z, Chen K, Liu F, Che Z. Effects of Rainfall on the Characteristics of Soil Greenhouse Gas Emissions in the Wetland of Qinghai Lake. Atmosphere. 2022; 13(1):129. https://doi.org/10.3390/atmos13010129
Chicago/Turabian StyleYang, Ziwei, Kelong Chen, Fumei Liu, and Zihan Che. 2022. "Effects of Rainfall on the Characteristics of Soil Greenhouse Gas Emissions in the Wetland of Qinghai Lake" Atmosphere 13, no. 1: 129. https://doi.org/10.3390/atmos13010129
APA StyleYang, Z., Chen, K., Liu, F., & Che, Z. (2022). Effects of Rainfall on the Characteristics of Soil Greenhouse Gas Emissions in the Wetland of Qinghai Lake. Atmosphere, 13(1), 129. https://doi.org/10.3390/atmos13010129

