Using Task Farming to Optimise a Street-Scale Resolution Air Quality Model of the West Midlands (UK)
Abstract
:1. Introduction
2. Methodology
2.1. ADMS-Urban Model
2.2. Run-Time Optimisation Using Task Farming
2.3. Case Study
2.3.1. Emissions
Point Sources
Road Sources
Grid Sources
- SNAP 01—Combustion in Energy Production and Transformation (energyprod);
- SNAP02—Combustion in Commercial, Industrial, Residential and Agriculture (domcom);
- SNAP03—Combustion in Industry (indcom);
- SNAP04—Production Processes (indproc);
- SNAP05—Extraction and Distribution of Fossil Fuels (offshore);
- SNAP06—Solvent Use (solvents);
- SNAP07—Road Transport (roadtrans);
- SNAP08—Other Transport and Mobile Machinery (othertrans);
- SNAP09—Waste Treatment and Disposal (waste);
- SNAP10—Agriculture, Forestry and Landuse Change (agric);
- SNAP11—Nature (nature).
2.3.2. Time Varying Factors
2.3.3. Background Data
2.3.4. Meteorological Data
2.3.5. Advanced Canyon and Urban Canopy Files
2.3.6. Spatial Splitting
3. Results
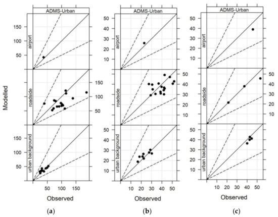
3.1. Receptor Run: Model Evaluation
3.1.1. NOx and Chemistry
3.1.2. PM10 and PM2.5
3.2. Contour Run: Air Quality Maps
3.2.1. Annual Air Quality Map
3.2.2. Projected Air Quality Map for Health
3.2.3. Percentile Air Quality Map
3.2.4. Air Quality Maps over Temporal Subsets
4. Discussion
5. Conclusions
Author Contributions
Funding
Institutional Review Board Statement
Data Availability Statement
Acknowledgments
Conflicts of Interest
Appendix A




References
- WHO. Available online: https://www.who.int/news-room/fact-sheets/detail/ambient-(outdoor)-air-quality-and-health (accessed on 11 January 2021).
- Xu, J.; Srivastava, D.; Wu, X.; Hou, S.; Vu, T.V.; Liu, D.; Sun, Y.; Vlachou, A.; Moschos, V.; Salazar, V.; et al. An evaluation of source apportionment of fine OC and PM 2.5 by multiple methods: APHH-Beijing campaigns as a case study. Faraday Discuss. 2020, 226, 290–313. [Google Scholar] [CrossRef]
- Gordon, T.; Balakrishnan, K.; Dey, S.; Rajagopalan, S.; Thornburg, J.; Thurston, G.; Agrawal, A.; Collman, G.; Guleria, R.; Limaye, S.; et al. Air pollution health research priorities for India: Perspectives of the Indo-US Communities of Researchers. Environ. Int. 2018, 119, 100–108. [Google Scholar] [CrossRef]
- UK_gov. Available online: https://assets.publishing.service.gov.uk/government/uploads/system/uploads/attachment_data/file/633270/air-quality-plan-detail.pdf (accessed on 11 January 2021).
- Hu, F.P.; Guo, Y.M. Health impacts of air pollution in China. Front. Environ. Sci. Eng. 2021, 15, 1–18. [Google Scholar] [CrossRef]
- WHO. Available online: https://www.who.int/phe/publications/air-pollution-global-assessment/en/ (accessed on 11 January 2021).
- Shaddick, G.; Thomas, M.L.; Mudu, P.; Ruggeri, G.; Gumy, S. Half the world’s population are exposed to increasing air pollution. Npj Clim. Atmos. Sci. 2020, 3, 1–5. [Google Scholar] [CrossRef]
- WHO. Available online: https://www.who.int/teams/environment-climate-change-and-health/air-quality-and-health/ambient-air-pollution (accessed on 11 January 2021).
- COMEAP. Available online: https://www.gov.uk/government/publications/nitrogen-dioxide-effects-on-mortality/associations-of-long-term-average-concentrations-of-nitrogen-dioxide-with-mortality-2018-comeap-summary (accessed on 24 May 2021).
- McLaren, J.; Williams, I.D. The impact of communicating information about air pollution events on public health. Sci. Total Environ. 2015, 538, 478–491. [Google Scholar] [CrossRef] [PubMed]
- Delmas, M.A.; Kohli, A. Can Apps Make Air Pollution Visible? Learning About Health Impacts Through Engagement with Air Quality Information. J. Bus. Ethics 2020, 161, 279–302. [Google Scholar] [CrossRef] [Green Version]
- Defra. Available online: https://uk-air.defra.gov.uk/networks/network-info?view=aurn (accessed on 18 June 2019).
- Wesseling, J.; de Ruiter, H.; Blokhuis, C.; Drukker, D.; Weijers, E.; Volten, H.; Vonk, J.; Gast, L.; Voogt, M.; Zandveld, P.; et al. Development and Implementation of a Platform for Public Information on Air Quality, Sensor Measurements, and Citizen Science. Atmosphere 2019, 10, 445. [Google Scholar] [CrossRef] [Green Version]
- Samad, A.; Vogt, U. Mobile air quality measurements using bicycle to obtain spatial distribution and high temporal resolution in and around the city center of Stuttgart. Atmos. Environ. 2021, 244, 117915. [Google Scholar] [CrossRef]
- Elen, B.; Peters, J.; Van Poppel, M.; Bleux, N.; Theunis, J.; Reggente, M.; Standaert, A. The Aeroflex: A Bicycle for Mobile Air Quality Measurements. Sensors 2013, 13, 221–240. [Google Scholar] [CrossRef]
- Hagemann, R.; Corsmeier, U.; Kottmeier, C.; Rinke, R.; Wieser, A.; Vogel, B. Spatial variability of particle number concentrations and NOx in the Karlsruhe (Germany) area obtained with the. mobile laboratory ‘AERO-TRAM’. Atmos. Environ. 2014, 94, 341–352. [Google Scholar] [CrossRef] [Green Version]
- de Vries, J.; Loenen, E.; Mijling, B.; van der Meulen, W.; van der Meer, A. Satellite and Local Measurements Based Services for Air Quality Improvement. Asian J. Atmos. Environ. 2019, 13, 39–44. [Google Scholar] [CrossRef]
- EEA. Available online: https://www.eea.europa.eu/publications/fairmode (accessed on 25 February 2021).
- EUR-Lex. Available online: https://eur-lex.europa.eu/legal-content/EN/TXT/?uri=celex%3A32008L0050 (accessed on 25 February 2021).
- AIR-EIA. Available online: http://www.ess.co.at/AIR-EIA/LECTURES/L001.html (accessed on 25 February 2021).
- Lamb, R.G.; Seinfeld, J.H. Mathematical modeling of urban air pollution. General theory. Environ. Sci. Technol. 1973, 7, 253–261. [Google Scholar] [CrossRef] [PubMed]
- Pasquill, F. The Estimation of The Dispersion of Windborne Material. Meteorol. Mag. 1961, 90, 33–40. [Google Scholar]
- Pasquill, F. Some observed properties of medium-scale diffusion in the atmosphere. Q. J. R. Meteorol. Soc. 1962, 88, 70–79. [Google Scholar] [CrossRef]
- SCOPE. Available online: https://storage.googleapis.com/carnegie-dge-scope-mirror/SCOPE_30/SCOPE_30_2.28_Piver_635-650.pdf (accessed on 25 February 2021).
- Liu, M.-K.; Seinfeld, J.H. On the validity of grid and trajectory models of urban air pollution. Atmos. Environ. 1975, 9, 555–574. [Google Scholar] [CrossRef]
- Friedlander, S.K.; Seinfeld, J.H. Dynamic model of photochemical smog. Environ. Sci. Technol. 1969, 3, 1175–1181. [Google Scholar] [CrossRef]
- Fisher, B.E.A. The long range transport of sulphur dioxide. Atmos. Environ. 1975, 9, 1063–1070. [Google Scholar] [CrossRef]
- El-Harbawi, M. Air quality modelling, simulation, and computational methods: A review. Environ. Rev. 2013, 21, 149–179. [Google Scholar] [CrossRef]
- Russo, A.; Raischel, F.; Lind, P.G. Air quality prediction using optimal neural networks with stochastic variables. Atmos. Environ. 2013, 79, 822–830. [Google Scholar] [CrossRef] [Green Version]
- Voukantsis, D.; Karatzas, K.; Kukkonen, J.; Räsänen, T.; Karppinen, A.; Kolehmainen, M. Intercomparison of air quality data using principal component analysis, and forecasting of PM₁₀ and PM₂.₅ concentrations using artificial neural networks, in Thessaloniki and Helsinki. Sci. Total Environ. 2011, 409, 1266–1276. [Google Scholar] [CrossRef]
- Gardner, M.W.; Dorling, S.R. Artificial neural networks (the multilayer perceptron)—A review of applications in the atmospheric sciences. Atmos. Environ. 1998, 32, 2627–2636. [Google Scholar] [CrossRef]
- Thunis, P.; Miranda, A.; Baldasano, J.M.; Blond, N.; Douros, J.; Graff, A.; Janssen, S.; Juda-Rezler, K.; Karvosenoja, N.; Maffeis, G.; et al. Overview of current regional and local scale air quality modelling practices: Assessment and planning tools in the EU. Environ. Sci. Policy 2016, 65, 13–21. [Google Scholar] [CrossRef]
- Carnevale, C.; Finzi, G.; Guariso, G.; Pisoni, E.; Volta, M. Surrogate models to compute optimal air quality planning policies at a regional scale. Environ. Modell. Softw. 2012, 34, 44–50. [Google Scholar] [CrossRef]
- Skamarock, W.C.; Klemp, J.B. A time-split nonhydrostatic atmospheric model for weather research and forecasting applications. J. Comput. Phys. 2008, 227, 3465–3485. [Google Scholar] [CrossRef]
- Chemel, C.; Fisher, B.E.A.; Kong, X.; Francis, X.V.; Sokhi, R.S.; Good, N.; Collins, W.J.; Folberth, G.A. Application of chemical transport model CMAQ to policy decisions regarding PM2.5 in the UK. Atmos. Environ. 2014, 82, 410–417. [Google Scholar] [CrossRef] [Green Version]
- Grell, G.A.; Peckham, S.E.; Schmitz, R.; McKeen, S.A.; Frost, G.; Skamarock, W.C.; Eder, B. Fully coupled "online" chemistry within the WRF model. Atmos. Environ. 2005, 39, 6957–6975. [Google Scholar] [CrossRef]
- Hu, J.L.; Li, X.; Huang, L.; Ying, Q.; Zhang, Q.; Zhao, B.; Wang, S.X.; Zhang, H.L. Ensemble prediction of air quality using the WRF/CMAQ model system for health effect studies in China. Atmos. Chem. Phys. 2017, 17, 13103–13118. [Google Scholar] [CrossRef] [Green Version]
- San Jose, R.; Perez, J.L.; Perez, L.; Barras, R.M.G. Effects of climate change on the health of citizens modelling urban weather and air pollution. Energy 2018, 165, 53–62. [Google Scholar] [CrossRef]
- Liu, H.; Deng, Y.; Lu, C.; Zhang, X.; Yang, X.; Song, D.; Tan, Q. A CMAQ-based Study on Evaluation of Achievements of Measures on Ozone Pollution Prevention and Control in Summer 2017 in Chengdu. IOP Conf. Ser. Earth Environ. Sci. 2020, 610, 012015. [Google Scholar] [CrossRef]
- Cheng, F.Y.; Feng, C.Y.; Yang, Z.M.; Hsu, C.H.; Chan, K.W.; Lee, C.Y.; Chang, S.C. Evaluation of real-time PM2.5 forecasts with the WRF-CMAQ modeling system and weather-pattern-dependent bias-adjusted PM2.5 forecasts in Taiwan. Atmos. Environ. 2021, 244, 117909. [Google Scholar] [CrossRef]
- Zlatev, Z.; Brandt, J.; Builtjes, P.J.H.; Carmichael, G.; Dimov, I.; Dongarra, J.; Dop, H.V.; Georgiev, K.; Hass, H.; José, R.S. Large Scale Computations in Air Pollution Modelling, 1st ed.; Springer: Dordrecht, The Netherlands, 1999; pp. 1173–1184. [Google Scholar]
- Dabdub, D.; Seinfeld, J.H. Air quality modeling on massively parallel computers. Atmos. Environ. 1994, 28, 1679–1687. [Google Scholar] [CrossRef]
- Dagum, L.; Menon, R. OpenMP: An industry standard API for shared-memory programming. IEEE Comput. Sci. Eng. 1998, 5, 46–55. [Google Scholar] [CrossRef] [Green Version]
- Sunderam, V.S. PVM: A framework for parallel distributed computing. Concurr. Pract. Exper. 1990, 2, 315–339. [Google Scholar] [CrossRef]
- Aoyama, Y.; Nakano, J. RS/6000 SP: Practical MPI Programming; International Technical Support Organisation, IBM Corporation: Austin, TX, USA, 1999; pp. 11–37. [Google Scholar]
- Kolodziej, J.; Pop, F.; Dobre, C. Modeling and Simulation in HPC and Cloud Systems; Springer International Publishing: Cham, Switzerland, 2018; pp. 45–57. [Google Scholar]
- Delic, G. Exploring parallel processing opportunities in AERMOD. In Proceedings of the 15th Annual CMAS Conference, Chapel Hill, NC, USA, 24–26 October 2016. [Google Scholar]
- Owen, B.; Edmunds, H.A.; Carruthers, D.J.; Singles, R.J. Prediction of total oxides of nitrogen and nitrogen dioxide concentrations in a large urban area using a new generation urban scale dispersion model with integral chemistry model. Atmos. Environ. 2000, 34, 397–406. [Google Scholar] [CrossRef]
- Hood, C.; MacKenzie, I.; Stocker, J.; Johnson, K.; Carruthers, D.; Vieno, M.; Doherty, R. Air quality simulations for London using a coupled regional-to-local modelling system. Atmos. Chem. Phys. 2018, 18, 11221–11245. [Google Scholar] [CrossRef] [Green Version]
- Hood, C.; Carruthers, D.; Seaton, M.; Stocker, J.; Johnson, K. Urban canopy flow field and advanced street canyon modelling in ADMS-Urban. In Proceedings of the 16th International Conference on Harmonisation, Varna, Bulgaria, 8–11 September 2014; pp. 8–11. [Google Scholar]
- Hood, C.; Stocker, J.; Seaton, M.; Johnson, K.; O’Neill, J.; Thorne, L.; Carruthers, D. Comprehensive evaluation of an advanced street canyon air pollution model. J. Air Waste Manag. Assoc. 2021, 71, 247–267. [Google Scholar] [CrossRef] [PubMed]
- Biggart, M.; Stocker, J.; Doherty, R.M.; Wild, O.; Hollaway, M.; Carruthers, D.; Li, J.; Zhang, Q.; Wu, R.L.; Kotthaus, S.; et al. Street-scale air quality modelling for Beijing during a winter 2016 measurement campaign. Atmos. Chem. Phys. 2020, 20, 2755–2780. [Google Scholar] [CrossRef] [Green Version]
- WM-Air. Available online: https://wm-air.org.uk/ (accessed on 10 May 2021).
- CERC. Available online: http://www.cerc.co.uk/environmental-software/assets/data/doc_techspec/P10_01.P12_01.pdf (accessed on 26 March 2021).
- CERC. Available online: http://www.cerc.co.uk/environmental-software/assets/data/doc_techspec/P31_01.pdf (accessed on 26 March 2021).
- CERC. Available online: http://www.cerc.co.uk/environmental-software/assets/data/doc_techspec/P18_03.pdf (accessed on 26 March 2021).
- Venkatram, A.; Karamchandani, P.; Pai, P.; Goldstein, R. The development and application of a simplified ozone modeling system (SOMS). Atmos. Environ. 1994, 28, 3665–3678. [Google Scholar] [CrossRef]
- Stocker, J.; Ellis, A.; Smith, S.; Carruthers, D.; Venkatram, A.; Dale, W.; Attree, M. A review of dispersion modelling of agricultural emissions with non-point sources. Int. J. Environ. Pollut. 2017, 62, 247–263. [Google Scholar] [CrossRef]
- NAEI. 2019. Available online: http://naei.beis.gov.uk/data (accessed on 18 July 2019).
- Airviro. Available online: http://80.229.174.184/iairviro/ (accessed on 31 October 2018).
- PRISM. 2019. Available online: https://www.tfwm.org.uk/strategy/data-insight/transport-modelling/about-prism (accessed on 22 July 2019).
- BCC_Report. 2018. Available online: https://www.birmingham.gov.uk/download/downloads/id/11353/aq3_-_birmingham_caz_fbc_report-_air_quality_v3_4-12-18.pdf+&cd=1&hl=zh-CN&ct=clnk&gl=uk (accessed on 1 October 2019).
- BCC. Available online: https://www.birmingham.gov.uk/info/20076/pollution/1763/a_clean_air_zone_for_birmingham (accessed on 2 May 2021).
- Remix. Available online: platform.remix.com (accessed on 9 April 2019).
- Simpson, D.; Benedictow, A.; Berge, H.; Bergström, R.; Emberson, L.D.; Fagerli, H.; Flechard, C.R.; Hayman, G.D.; Gauss, M.; Jonson, J.E.; et al. The EMEP MSC-W chemical transport model—Technical description. Atmos. Chem. Phys. 2012, 12, 7825–7865. [Google Scholar] [CrossRef] [Green Version]
- EMEP. Available online: https://www.emep.int/ (accessed on 17 May 2021).
- ECCAD. Available online: https://eccad.aeris-data.fr/ (accessed on 19 May 2021).
- EFT. Available online: https://laqm.defra.gov.uk/review-and-assessment/tools/emissions-factors-toolkit.html (accessed on 12 August 2019).
- Defra. Available online: https://uk-air.defra.gov.uk/data/laqm-background-home (accessed on 18 June 2019).
- CEDA. Available online: http://data.ceda.ac.uk/badc (accessed on 14 January 2019).
- Digimap. Available online: https://digimap.edina.ac.uk (accessed on 28 May 2019).
- Jackson, M.; Hood, C.; Johnson, C.; Johnson, K. Calculation of Urban Morphology Parameterisations for London for use with the ADMS-Urban Dispersion Model. Int. J. Adv. Remote Sens. GIS 2016, 5, 1678–1687. [Google Scholar] [CrossRef] [Green Version]
- CERC. ADMS-Urban User Guide Version 5.0. Available online: https://www.cerc.co.uk/environmental-software/assets/data/doc_userguides/CERC_ADMS-Urban5.0_User_Guide.pdf (accessed on 26 March 2021).
- Stidworthy, A.; Jackson, M.; Johnson, K.; Carruthers, D.; Stocker, J. Evaluation of local and regional air quality forecasts for London. Int. J. Environ. Pollut. 2018, 64, 178–191. [Google Scholar] [CrossRef]
- Defra. Available online: https://uk-air.defra.gov.uk/assets/documents/Air_Quality_Objectives_Update.pdf (accessed on 10 May 2021).
- HIghwaysEngland. Available online: https://highwaysengland.co.uk/our-work/air-quality/air-quality-speed-limit-trials/ (accessed on 10 May 2021).
- Reis, S.; Liška, T.; Vieno, M.; Carnell, E.J.; Beck, R.; Clemens, T.; Dragosits, U.; Tomlinson, S.J.; Leaver, D.; Heal, M.R. The influence of residential and workday population mobility on exposure to air pollution in the UK. Environ. Int. 2018, 121, 803–813. [Google Scholar] [CrossRef] [PubMed]











| Group 1 | NO2 | NOx | VOC | PM10 | PM2.5 | SO2 |
|---|---|---|---|---|---|---|
| Major Roads | 3165 | 16,740 | 502 | 985 | 460 | 24 |
| Point Sources | 148 | 2951 | 1441 | 318 | 230 | 153 |
| SNAP01 energyprod | 20 | 400 | 4 | 6 | 6 | 106 |
| SNAP02 domcom | 150 | 3000 | 1801 | 1826 | 1775 | 994 |
| SNAP03 indcom | 165 | 3294 | 46 | 248 | 243 | 660 |
| SNAP04 indproc | 1 | 24 | 411 | 1773 | 197 | 20 |
| SNAP05 offshore | 0 | 0 | 1746 | 0 | 0 | 0 |
| SNAP06 solvents | 0 | 3 | 18,140 | 552 | 233 | 2 |
| SNAP07 Minor Roads | 2025 | 10,830 | 1362 | 586 | 314 | 50 |
| SNAP08 othertrans | 530 | 6620 | 2135 | 368 | 403 | 59 |
| SNAP09 waste | 3 | 57 | 251 | 129 | 119 | 3 |
| SNAP10 agric | 4 | 84 | 1049 | 194 | 40 | 0 |
| SNAP11 nature | 0 | 4 | 721 | 89 | 82 | 0 |
| Pollutant | Site Type | nSites | Obs (μg m−3) | Mod (μg m−3) | Fb | Fac2 | NMSE | R |
|---|---|---|---|---|---|---|---|---|
| NOx | roadside | 16 | 96.6 | 75.8 | −0.24 | 0.62 | 1.03 | 0.58 |
| Nox | urban background | 9 | 38.2 | 39.4 | 0.03 | 0.74 | 1.24 | 0.63 |
| NO2 | roadside | 17 | 39.0 | 36.0 | −0.08 | 0.76 | 0.32 | 0.59 |
| NO2 | urban background | 8 | 23.7 | 25.0 | 0.06 | 0.81 | 0.32 | 0.71 |
| O3 | roadside | 3 | 34.3 | 33.8 | −0.01 | 0.73 | 0.17 | 0.80 |
| O3 | urban background | 4 | 42.5 | 40.0 | −0.06 | 0.79 | 0.12 | 0.83 |
| PM10 | roadside | 8 | 15.6 | 17.1 | 0.09 | 0.78 | 0.43 | 0.48 |
| PM10 | urban background | 3 | 13.9 | 15.6 | 0.12 | 0.79 | 0.43 | 0.50 |
| PM2.5 | roadside | 3 | 13.4 | 11.8 | −0.13 | 0.76 | 0.53 | 0.61 |
| PM2.5 | urban background | 3 | 10.7 | 10.3 | −0.03 | 0.74 | 0.50 | 0.66 |
Publisher’s Note: MDPI stays neutral with regard to jurisdictional claims in published maps and institutional affiliations. |
© 2021 by the authors. Licensee MDPI, Basel, Switzerland. This article is an open access article distributed under the terms and conditions of the Creative Commons Attribution (CC BY) license (https://creativecommons.org/licenses/by/4.0/).
Share and Cite
Zhong, J.; Hood, C.; Johnson, K.; Stocker, J.; Handley, J.; Wolstencroft, M.; Mazzeo, A.; Cai, X.; Bloss, W.J. Using Task Farming to Optimise a Street-Scale Resolution Air Quality Model of the West Midlands (UK). Atmosphere 2021, 12, 983. https://doi.org/10.3390/atmos12080983
Zhong J, Hood C, Johnson K, Stocker J, Handley J, Wolstencroft M, Mazzeo A, Cai X, Bloss WJ. Using Task Farming to Optimise a Street-Scale Resolution Air Quality Model of the West Midlands (UK). Atmosphere. 2021; 12(8):983. https://doi.org/10.3390/atmos12080983
Chicago/Turabian StyleZhong, Jian, Christina Hood, Kate Johnson, Jenny Stocker, Jonathan Handley, Mark Wolstencroft, Andrea Mazzeo, Xiaoming Cai, and William James Bloss. 2021. "Using Task Farming to Optimise a Street-Scale Resolution Air Quality Model of the West Midlands (UK)" Atmosphere 12, no. 8: 983. https://doi.org/10.3390/atmos12080983
APA StyleZhong, J., Hood, C., Johnson, K., Stocker, J., Handley, J., Wolstencroft, M., Mazzeo, A., Cai, X., & Bloss, W. J. (2021). Using Task Farming to Optimise a Street-Scale Resolution Air Quality Model of the West Midlands (UK). Atmosphere, 12(8), 983. https://doi.org/10.3390/atmos12080983

