Comparative Numerical Study of PM2.5 in Exit-and-Entrance Areas Associated with Transboundary Transport over China, Japan, and Korea
Abstract
:1. Introduction
2. Models and Monitoring Sites
2.1. Modeling Framework of the LTP Project
2.2. Observation Sites in the Exit-and-Entrance Areas
2.3. Emission Data Used
3. Results
3.1. Meteorological Fields and SO2 and NOx Gas Species
3.2. Concentrations of PM2.5 and Its Chemical Components
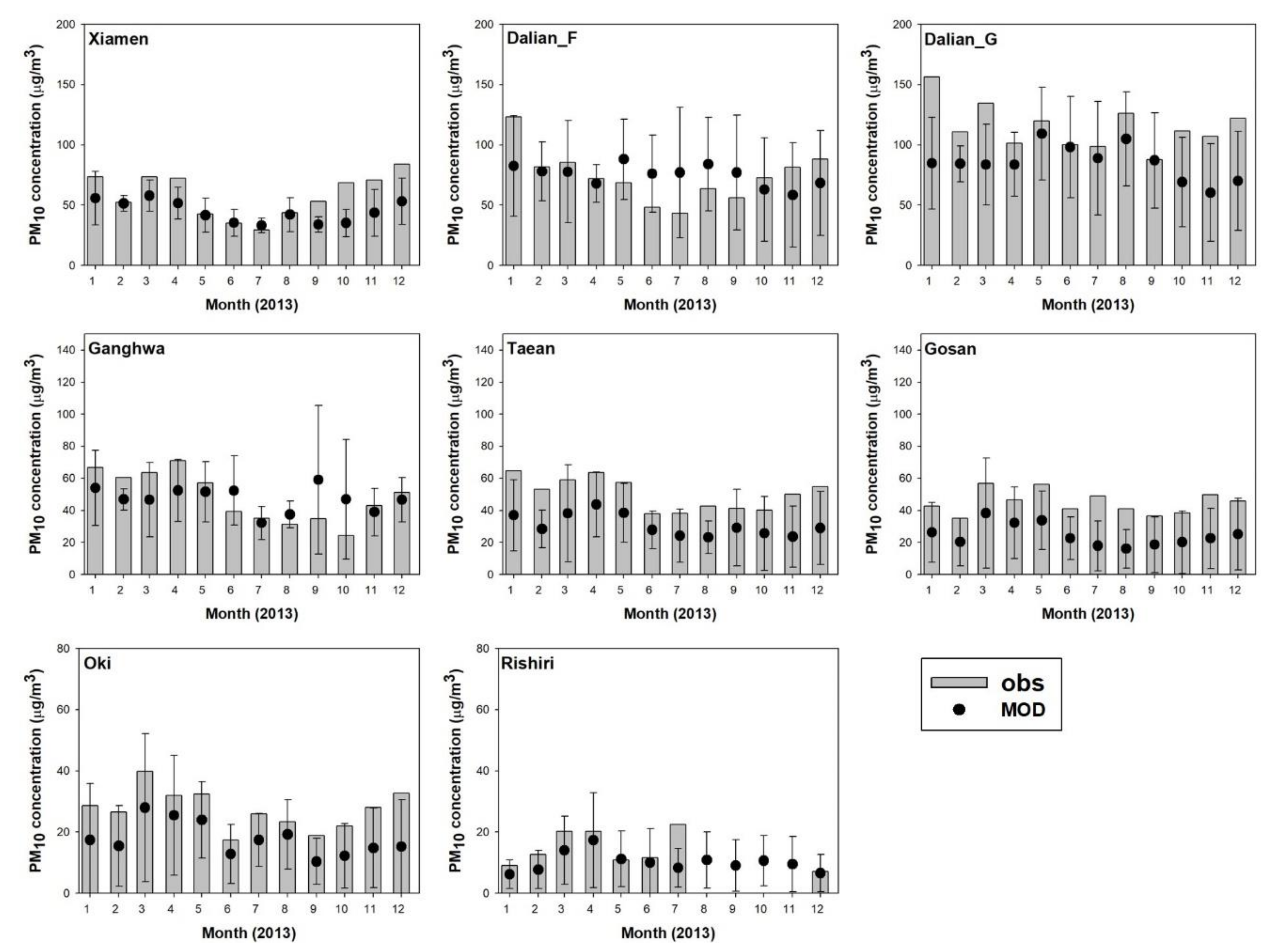
3.3. Model Validation against Observations over Exit-and-Entrance Areas
4. Discussion on PM2.5 Characteristics over Exit-and-Entrance Areas
5. Summary and Conclusions
Supplementary Materials
Author Contributions
Funding
Institutional Review Board Statement
Informed Consent Statement
Data Availability Statement
Acknowledgments
Conflicts of Interest
References
- Chiashi, A.; Lee, S.; Pollitt, H.; Chewpreecha, U.; Vercoulen, P.; He, Y.; Xu, B. Transboundary PM Air Pollution and Its Impact on Health in East Asia. In Energy, Environmental and Economic Sustainability in East Asia: Policies and Institutional Reforms; Lee, S., Pollitt, H., Fujikawa, K., Eds.; Routledge: London, UK, 2019. [Google Scholar]
- Kim, C.-H.; Park, S.-Y.; Kim, Y.-J.; Chang, L.-S.; Song, S.-K.; Moon, Y.-S.; Song, C.-K. A Numerical Study on Indicators of Long-range Transport Potential for Anthropogenic Particle Matter over Northeast Asia. Atmos. Environ. 2012, 58, 35–44. [Google Scholar] [CrossRef]
- Latza, U.; Gerdes, S.; Baur, X. Effects of Nitrogen Dioxide on Human Health: Systematic Review of Experimental and Epidemiological Studies Conducted between 2002 and 2006. Int. J. Hyg Environ. Health 2009, 212, 271–287. [Google Scholar] [CrossRef] [PubMed]
- Sunyer, J.; Basagana, X.; Belmonte, J.; Anto, J.M. Effect of Nitrogen Dioxide and Ozone on the Risk of Dying in Patients with Severe Asthma. Thorax Int. J. Respir. Med. 2002, 57, 687–693. [Google Scholar] [CrossRef] [PubMed] [Green Version]
- Vedal, S.; Brauer, M.; White, R.; Petkau, J. Air Pollution and Daily Mortality in a City with Low Levels of Pollution. Environ. Health Perspect. 2003, 111, 45–52. [Google Scholar] [CrossRef] [Green Version]
- Li, Z.; Chen, H.; Cribb, M.; Dickerson, R.; Holben, B.; Li, C.; Lu, D.; Luo, Y.; Maring, H.; Shi, G.; et al. Preface to Special Section on East Asian Studies of Tropospheric Aerosols: An International Regional Experiment (EASTAIRE). J. Geophys. Res. Atmos. 2007, 112, D22S00. [Google Scholar] [CrossRef] [Green Version]
- Lee, H.-J.; Jo, H.-Y.; Park, S.-Y.; Jo, Y.-J.; Jeon, W.; Ahn, J.-Y.; Kim, C.-H. A Case Study of the Transport/Transformation of Air Pollutants over the Yellow Sea during the MAPS 2015 Campaign. J. Geophys. Res. Atmos. 2019, 124, 6532–6553. [Google Scholar] [CrossRef]
- Choi, K.-C.; Lee, J.-J.; Bae, C.-H.; Kim, C.-H.; Chang, L.-S.; Ban, S.-J.; Lee, S.-J.; Kim, J.; Woo, J.-H. Assessment of Transboundary Ozone Contribution toward South Korea Using Multiple Source-receptor Modeling Technique. Atmos. Environ. 2014, 92, 118–129. [Google Scholar] [CrossRef]
- Kim, C.-H.; Chang, L.-S.; Kim, J.-S.; Meng, F.; Kajino, M.; Ueda, H.; Zhang, Y.; Son, H.-Y.; He, Y.; Xu, J.; et al. Long-term Simulations of the Sulfur Concentrations over the China, Japan and Korea: A Model Comparison Study. Asia Pac. J. Atmos. Sci. 2011, 47, 399–411. [Google Scholar] [CrossRef]
- Kim, C.-H.; Chang, L.-S.; Meng, F.; Kajino, M.; Ueda, H.; Zhang, Y.; Son, H.-Y.; Lee, J.-J.; He, Y.; Xu, J.; et al. Sulfur Deposition Simulations over China, Japan and Korea: A Model Intercomparison Study for Abating Sulfur Emission. Environ. Sci. Pollut. Res. 2012, 19, 4073–4089. [Google Scholar] [CrossRef]
- Park, I.-S.; Choi, W.-J.; Lee, T.-Y.; Lee, S.-J.; Han, J.-S.; Kim, C.-H. Simulation of long-range transport of air pollutants over Northeast Asia using a comprehensive acid deposition model. Atmos. Environ. 2005, 39, 4075–4085. [Google Scholar] [CrossRef]
- Jin, Y.; Andersson, H.; Zhang, S. Air Pollution Control Policies in China: A Retrospective and Prospects. Int. J. Environ. Res. Public Health 2016, 13, 1219. [Google Scholar] [CrossRef] [Green Version]
- Zhang, L.; Brook, J.R.; Vet, R. A revised parameterization for gaseous dry deposition in air-quality models. Atmos. Chem. Phys. 2003, 3, 2067–2082. [Google Scholar] [CrossRef] [Green Version]
- An, J.; Ueda, H.; Wang, Z.; Matsuda, K.; Kajino, M.; Cheng, X. Simulations of Monthly Mean Nitrate Concentrations in Precipitation over East Asia. Atmos. Environ. 2002, 36, 4159–4171. [Google Scholar] [CrossRef]
- Byun, D.W.; Ching, J.K.S. Science Algorithms of the EPA Models-3 Community Multiscale Air Quality (CMAQ) Modeling System; EPA Report; EPA/600/R-99/030; EPA: Washington, DC, USA, 1999. [Google Scholar]
- ENVIRON. CAMx User’s Guide Version 6.2; Environ International Corporation: Novato, CA, USA, 2015. [Google Scholar]
- Han, Z.; Ueda, H.; Sakurai, T. Model Study on Acidifying Wet Deposition in East Asia during Wintertime. Atmos. Environ. 2006, 40, 2360–2373. [Google Scholar] [CrossRef]
- Kajino, M.; Inomata, Y.; Sato, K.; Ueda, H.; Han, Z.; An, J.; Katata, G.; Deushi, M.; Maki, T.; Oshima, N.; et al. Development of the RAQM2 Aerosol Chemical Transport Model and Predictions of the Northeast Asian Aerosol Mass, Size, Chemistry, and Mixing Type. Atmos. Chem. Phys. 2012, 12, 11833–11856. [Google Scholar] [CrossRef] [Green Version]
- Wei Wang, C.B.; Duda, M.; Dudhia, J.; Gill, D.; Kavulich, M.; Keene, K.; Chen, M.; Lin, H.; Michalakes, J.; Rizvi, S.; et al. ARW Version 3 Modeling System User’s Guide; NCAR: Boulder, CO, USA, 2016. [Google Scholar]
- Saito, K.; Ishida, J.; Aranami, K.; Hara, T.; Segawa, T.; Narita, M.; Honda, Y. Nonhydrostatic Atmospheric Models and Operational Development at JMA. J. Meteorol. Soc. Jpn. 2007, 85B, 271–304. [Google Scholar] [CrossRef] [Green Version]
- Kim, C.-H.; Lee, H.-J.; Kang, J.-E.; Jo, H.-Y.; Park, S.-Y.; Jo, Y.-J.; Lee, J.-J.; Yang, G.-H.; Park, T.; Lee, T. Meteorological Overview and Signatures of Long-range Transport Processes during the MAPS-Seoul 2015 Campaign. Aerosol Air Qual. Res. 2018, 18, 2173–2184. [Google Scholar] [CrossRef] [Green Version]
- Kurokawa, J.; Ohara, T.; Morikawa, T.; Hanayama, S.; Janssens Maenhout, G.; Fukui, T.; Kawashima, K.; Akimoto, H. Emissions of Air Pollutants and Greenhouse Gases over Asian Regions during 2000–2008: Regional Emission Inventory in Asia (REAS) Version 2. Atmos. Chem. Phys. 2013, 13, 11019–11058. [Google Scholar] [CrossRef] [Green Version]
- Giglio, L.; Randerson, J.T.; van der Werf, G.R.; Kasibhatla, P.S.; Collatz, G.J.; Morton, D.C.; DeFries, R.S. Assessing Variability and Long-term Trends in Burned Area by Merging Multiple Satellite Fire Products. Biogeosciences 2010, 7, 1171–1186. [Google Scholar] [CrossRef] [Green Version]
- Volkamer, R.; Jimenez, J.L.; Martini, F.S.; Dzepina, K.; Zhang, Q.; Salcedo, D.; Molina, L.T.; Worsnop, D.R.; Molina, M.J. Secondary Organic Aerosol Formation from Anthropogenic Air Pollution: Rapid and Higher Than Expected. Geophys. Res. Lett. 2006, 33, L17811. [Google Scholar] [CrossRef] [Green Version]
- Yang, G.-H.; Jo, Y.-J.; Lee, H.-J.; Song, C.-K.; Kim, C.-H. Numerical Sensitivity Tests of Volatile Organic Compounds Emission to PM2.5 Formation during Heat Wave Period in 2018 in Two Southeast Korean Cities. Atmosphere 2020, 11, 331. [Google Scholar] [CrossRef] [Green Version]
- Li, B.; Zhang, J.; Zhao, Y.; Yuan, S.; Zhao, Q.; Shen, G.; Wu, H. Seasonal Variation of Urban Carbonaceous Aerosols in a Typical City Nanjing in Yangtze River Delta, China. Atmos. Environ. 2015, 106, 223–231. [Google Scholar] [CrossRef]
- Zhou, J.; Xiong, Y.; Xing, Z.; Deng, J.; Du, K. Characterizing and Sourcing Ambient PM2.5 over Key Emission Regions in China II: Organic Molecular Markers and CMB Modeling. Atmos. Environ. 2017, 163, 57–64. [Google Scholar] [CrossRef]
- Bhave, P.V.; Pouliot, G.A.; Zheng, M. Diagnostic Model Evaluation for Carbonaceous PM2.5 Using Organic Markers Measured in the Southeastern U.S. Environ. Sci. Technol. 2007, 41, 1577–1583. [Google Scholar] [CrossRef]
- Carlton, A.G.; Bhave, P.V.; Napelenok, S.L.; Edney, E.O.; Sarwar, G.; Pinder, R.W.; Houyoux, M. Model Representation of Secondary Organic Aerosol in CMAQv4.7. Environ. Sci. Technol. 2010, 44, 8553–8560. [Google Scholar] [CrossRef]
- Henze, D.K.; Seinfeld, J.H. Global Secondary Organic Aerosol from Isoprene Oxidation. Geophys. Res. Lett. 2006, 33, L09812. [Google Scholar] [CrossRef] [Green Version]
- Yu, S.; Bhave, P.V.; Dennis, R.L.; Mathur, R. Seasonal and Regional Variations of Primary and Secondary Organic Aerosols over the Continental United States: Semi-empirical Estimates and Model Evaluation. Environ. Sci. Technol. 2007, 41, 4690–4697. [Google Scholar] [CrossRef]
- Zhang, Q.; Jimenez, J.L.; Worsnop, D.R.; Canagaratna, M. A Case Study of Urban Particle Acidity and Its Influence on Secondary Organic Aerosol. Environ. Sci. Technol. 2007, 41, 3213–3219. [Google Scholar] [CrossRef]
- Lee, H.-J.; Jo, H.-Y.; Song, C.-H.; Jo, Y.-J.; Park, S.-Y.; Kim, C.-H. Sensitivity of Simulated PM2.5 Concentrations over Northeast Asia to Different Secondary Organic Aerosol Modules during the KORUS-AQ Campaign. Atmosphere 2020, 11, 1004. [Google Scholar] [CrossRef]
- Bond, T.C.; Doherty, S.J.; Fahey, D.W.; Forster, P.M.; Berntsen, T.; DeAngelo, B.J.; Flanner, M.G.; Ghan, S.; Karcher, B.; Koch, D.; et al. Bounding the Role of Black Carbon in the Climate System: A Scientific Assessment. J. Geophys. Res. 2013, 118, 5380–5552. [Google Scholar] [CrossRef]
- Jo, Y.-J.; Lee, H.-J.; Jo, H.-Y.; Woo, J.-H.; Kim, Y.; Lee, T.; Heo, G.; Park, S.-M.; Jung, D.; Park, J.; et al. Changes in Inorganic Aerosol Compositions over the Yellow Sea Area from Impact of Chinese Emissions Mitigation. Atmos. Res. 2020, 240, 104948. [Google Scholar] [CrossRef]
- McKeen, S.A.; Liu, S.C. Hydrocarbon Ratios and Photochemical History of Air Masses. Geophys. Res. Lett. 1993, 20, 2363–2366. [Google Scholar] [CrossRef]
- Wang, Y.; Zeng, T. On Tracer Correlations in the Troposphere: The Case of Ethane and Propane. J. Geophys. Res. 2004, 109, D24306. [Google Scholar] [CrossRef]
- Liu, Z.R.; Gao, W.K.; Yu, Y.C.; Hu, B.; Xin, J.Y.; Sun, Y.; Wang, L.L.; Wang, G.H.; Bi, X.H.; Zhang, G.H.; et al. Characteristics of PM2.5 Mass Concentrations and Chemical Species in Urban and Background Areas of China: Emerging Results from the CARE-China Network. Atmos. Chem. Phys. 2018, 18, 8849–8871. [Google Scholar] [CrossRef] [Green Version]
- Ji, D.; Gao, M.; Maenhaut, W.; He, J.; Wu, C.; Cheng, L.; Gao, W.; Sun, Y.; Sun, J.; Xin, J.; et al. The Carbonaceous Aerosol Levels Still Remain a Challenge in the Beijing-Tianjin-Hebei Region of China: Insights from Continuous High Temporal Resolution Measurements in Multiple Cities. Environ. Int. 2019, 126, 171–183. [Google Scholar] [CrossRef] [PubMed]
- Ye, Z.; Li, Q.; Ma, S.; Zhou, Q.; Gu, Y.; Su, Y.; Chen, Y.; Chen, H.; Wang, J.; Ge, X. Summertime Day-night Differences of PM2.5 Components (Inorganic Ions, OC, EC, WSOC, WSON, HULIS, and PAHs) in Changzhou, China. Atmosphere 2017, 8, 189. [Google Scholar] [CrossRef] [Green Version]
- Zhao, B.; Wang, S.; Donahue, N.M.; Jathar, S.H.; Huang, X.; Wu, W.; Hao, J.; Robinson, A.L. Quantifying the Effect of Organic Aerosol Aging and Intermediate-volatility Emissions on Regional-scale Aerosol Pollution in China. Sci. Rep. 2016, 6, 28815. [Google Scholar] [CrossRef] [PubMed] [Green Version]
- Krotkov, N.A.; McLinden, C.A.; Li, C.; Lamsal, L.N.; Celarier, E.A.; Marchenko, S.V.; Swartz, W.H.; Bucsela, E.J.; Joiner, J.; Duncan, B.N.; et al. Aura OMI Observations of Regional SO2 and NO2 Pollution Changes from 2005 to 2015. Atmos. Chem. Phys. 2016, 16, 4605–4629. [Google Scholar] [CrossRef] [Green Version]
- Liu, F.; Zhang, Q.; van der Ronald, J.; Zheng, B.; Tong, D.; Yan, L.; Zheng, Y.; He, K. Recent Reduction in NOx Emissions over China: Synthesis of Satellite Observations and Emission Inventories. Environ. Res. Lett. 2016, 11, 114002. [Google Scholar] [CrossRef] [Green Version]
- Zhang, J.; Reid, J.S.; Alfaro-Contreras, R.; Xian, P. Has China Been Exporting Less Particulate Air Pollution over the Past Decade? Geophys. Res. Lett. 2017, 44, 2941–2948. [Google Scholar] [CrossRef]
- Zhao, B.; Jiang, J.H.; Gu, Y.; Diner, D.; Worden, J.; Liou, K.N.; Su, H.; Xing, J.; Garay, M.; Huang, L. Decadal-scale Trends in Regional Aerosol Particle Properties and Their Linkage to Emission Changes. Environ. Res. Lett. 2017, 12, 054021. [Google Scholar] [CrossRef]
- Zheng, B.; Tong, D.; Li, M.; Liu, F.; Hong, C.; Geng, G.; Li, H.; Li, X.; Peng, L.; Qi, J.; et al. Trends in China’s Anthropogenic Emissions since 2010 as the Consequence of Clean Air Actions. Atmos. Chem. Phys. 2018, 18, 14095–14111. [Google Scholar] [CrossRef] [Green Version]
- Gu, X.; Bao, F.; Cheng, T.; Chen, H.; Wang, Y.; Guo, H. The Impacts of Regional Transport and Meteorological Factors on Aerosol Optical Depth over Beijing, 1980–2014. Sci. Rep. 2018, 8, 5113. [Google Scholar] [CrossRef] [Green Version]
- Li, J. Pollution Trends in China from 2000 to 2017: A Multi-sensor View from Space. Remote Sens. 2020, 12, 208. [Google Scholar] [CrossRef] [Green Version]
- Tian, M.; Wang, H.B.; Chen, Y.; Zhang, L.M.; Shi, G.M.; Liu, Y.; Yu, J.Y.; Zhai, C.Z.; Wang, J.; Yang, F.M. Highly Time-resolved Characterization of Water-soluble Inorganic Ions in PM2.5 in a Humid and Acidic Mega City in Sichuan Basin, China. Sci. Total Environ. 2017, 580, 224–234. [Google Scholar] [CrossRef]
- Tian, M.; Liu, Y.; Yang, F.; Zhang, L.; Peng, C.; Chen, Y.; Shi, G.; Wang, H.; Luo, B.; Jiang, C.; et al. Increasing Importance of Nitrate Formation for Heavy Aerosol Pollution in Two Megacities in Sichuan Basin, Southwest China. Environ. Pollut. 2019, 250, 898–905. [Google Scholar] [CrossRef]
- Wang, J.; Zhao, B.; Wang, S.; Yang, F.; Xing, J.; Morawska, L.; Ding, A.; Kulmala, M.; Kerminen, V.-M.; Kujansuu, J.; et al. Particulate Matter Pollution over China and the Effects of Control Policies. Sci. Total Environ. 2017, 584, 426–447. [Google Scholar] [CrossRef]
- Yang, F.; Tan, J.; Zhao, Q.; Du, Z.; He, K.; Ma, Y.; Duan, F.; Chen, G.; Zhao, Q. Characteristics of PM2.5 Speciation in Representative Megacities and Across China. Atmos. Chem. Phys. 2011, 11, 5207–5219. [Google Scholar] [CrossRef] [Green Version]
- Li, H.; Zhang, Q.; Zheng, B.; Chen, C.; Wu, N.; Guo, H.; Zhang, Y.; Zheng, Y.; Li, X.; He, K. Nitrate-driven Urban Haze Pollution during Summertime over the North China Plain. Atmos. Chem. Phys. 2018, 18, 5293–5306. [Google Scholar] [CrossRef] [Green Version]
- Yang, T.; Sun, Y.; Zhang, W.; Wang, Z.; Liu, X.; Fu, P.; Wang, X. Evolutionary Processes and Sources of High-nitrate Haze Episodes over Beijing, Spring. J. Environ. Sci. 2017, 54, 142–151. [Google Scholar] [CrossRef]
- Fisher, J.A.; Jacob, D.J.; Wang, Q.; Bahreini, R.; Carouge, C.C.; Cubison, M.J.; Dibb, J.E.; Diehl, T.; Jimenez, J.L.; Leibensperger, E.M.; et al. Sources, Distribution, and Acidity of Sulfate-ammonium Aerosol in the Arctic in Winter-spring. Atmos. Environ. 2011, 45, 7301–7318. [Google Scholar] [CrossRef] [Green Version]
- Dinar, E.; Anttila, T.; Rudich, Y. CCN Activity and Hygroscopic Growth of Organic Aerosols Following Reactive Uptake of Ammonia. Environ. Sci. Technol. 2008, 42, 793–799. [Google Scholar] [CrossRef] [PubMed]
- Mensah, A.A.; Buchholz, A.; Mentel, T.F.; Tillmann, R.; Kiendler-Scharr, A. Aerosol Mass Spectrometric Measurements of Stable Crystal Hydrates of Oxalates and Inferred Relative Ionization Efficiency of Water. J. Aerosol Sci. 2011, 42, 11–19. [Google Scholar] [CrossRef]
- Pathak, R.K.; Wu, W.S.; Wang, T. Summertime PM2.5 Ionic Species in Four Major Cities of China: Nitrate Formation in an Ammonia-deficient Atmosphere. Atmos. Chem. Phys. 2009, 9, 1711–1722. [Google Scholar] [CrossRef] [Green Version]
- Pinder, R.W.; Dennis, R.L.; Bhave, P.V. Observable Indicators of the Sensitivity of PM2.5 Nitrate to Emission Reductions-part I: Derivation of the Adjusted Gas Ratio and Applicability at Regulatory-relevant Time Scales. Atmos. Environ. 2008, 42, 1275–1286. [Google Scholar] [CrossRef]
- Dennis, R.L.; Bhave, P.V.; Pinder, R.W. Observable Indicators of the Sensitivity of PM2.5 Nitrate to Emission Reductions—Part II: Sensitivity to Errors in Total Ammonia and Total Nitrate of the CMAQ-predicted Non-linear Effect of SO2 Emission Reductions. Atmos. Environ. 2008, 42, 1287–1300. [Google Scholar] [CrossRef]
- Wang, J.; Xu, J.; He, Y.; Chen, Y.; Meng, F. Long Range Transport of Nitrate in the Low Atmosphere over Northeast Asia. Atmos. Environ. 2016, 144, 315–324. [Google Scholar] [CrossRef]









| China | Japan | Korea | |
|---|---|---|---|
| Air quality model | CAMx | RAQM2 | CMAQ |
| Model domain | 20–50° N, 100–150° E | ||
| Map projection | Lambert conformal projection | ||
| Model run | Off-line run | ||
| Vertical coordinate | σ coordinate | Terrain following | Terrain following |
| Horizontal resolution | 36 km (220 × 140 grids) | ||
| Vertical layers | 14 | 20 | 23 |
| Gas phase chemistry | SAPRC 99 mechanism (common to three models) | ||
| Chemical species | 93 reactions, 36 species with 11 photochemistry | ||
| Aqueous chemistry | RADM Chemistry | ||
| Dry deposition | Wesely’s method | Modified by Zhang et al. (2003) [13] | RADM module |
| Wet deposition | RADM module | Kajino et al.(2012) [18] | RADM module |
| Aerosol thermodynamics | ISORROPIA | ISORROPIA2 | AERO5 |
| Emission | REAS + MEIC | CREATE-2013 | CREATE-2013 |
| Vertical Diffusivity | Brost’s method | 1.5 order TKE | ACM2 |
| Meteorological Model | WRF | NHM | WRF |
| Basic equation | Compressible/non-hydrostatic equation | ||
| Horizontal resolution | 36 km (220 × 140 grids) | ||
| Horizontal grid | Arakawa-B | Arakawa-C | Arakawa-C |
| Domain structure | Non-nested grid structure for all three models | ||
| Vertical coordinate | Terrain following pressure | Terrain following height | Terrain following height |
| Vertical layers | 34 | 50 | 43 |
| Data assimilation | FDDA | JCDAS | FDDA |
| Cumulus parameterization | Kain-Fritsch scheme | Arakawa-Shubert scheme | Kain-Fritsch scheme |
| TKE closure | 1.5-order TKE | MYNN2 | 1.5-order TKE |
| PBL scheme | YSU PBL scheme | MYNN2 | YSU PBL scheme |
| Microphysics | WSM3 | Mixed-phase 2-moment | WSM3 |
| Radiation | RRTM Longwave radiation scheme (common to three models) | ||
| Soil layer | 5-layer soil model | 5-layer soil model | Multi-layer soil model |
| Land use type | USGS EROS (13 categories) | EROS (12 categories) | USGS EROS (13 categories) |
| Sites | Model | RMSE | NMB | NME | FB | FE |
|---|---|---|---|---|---|---|
| Dalian (Fujiazhuang) | CAMx | 41.43 | −0.35 | 0.42 | −0.02 | 0.03 |
| RAQM2 | 50.78 | 0.67 | 0.69 | 0.01 | 0.02 | |
| CMAQ | 16.17 | −0.13 | 0.16 | −0.01 | 0.01 | |
| Xiamen (Hongwen) | CAMx | 27.39 | −0.24 | 0.42 | −0.01 | 0.02 |
| RAQM2 | 9.39 | −0.02 | 0.16 | −0.00 | 0.01 | |
| CMAQ | 24.07 | −0.32 | 0.33 | −0.01 | 0.01 | |
| Oki | CAMx | 21.57 | −0.65 | 0.66 | −0.04 | 0.04 |
| RAQM2 | 7.54 | 0.20 | 0.22 | 0.01 | 0.01 | |
| CMAQ | 20.34 | −0.71 | 0.72 | −0.03 | 0.03 | |
| Rishiri | CAMx | 10.67 | −0.59 | 0.64 | −0.06 | 0.07 |
| RAQM2 | 9.05 | 0.58 | 0.58 | 0.02 | 0.02 | |
| CMAQ | 4.71 | −0.31 | 0.32 | −0.01 | 0.02 | |
| Ganghwa | CAMx | 19.82 | −0.25 | 0.31 | −0.01 | 0.02 |
| RAQM2 | 32.73 | 0.64 | 0.68 | 0.01 | 0.02 | |
| CMAQ | 14.22 | −0.18 | 0.26 | −0.07 | 0.01 | |
| Gosan | CAMx | 36.05 | −0.69 | 0.69 | −0.04 | 0.04 |
| RAQM2 | 8.05 | 0.05 | 0.19 | 0.00 | 0.01 | |
| CMAQ | 26.79 | −0.56 | 0.57 | −0.02 | 0.02 | |
| Taean | CAMx | 33.98 | −0.54 | 0.55 | −0.03 | 0.03 |
| RAQM2 | 7.92 | 0.11 | 0.22 | 0.00 | 0.01 | |
| CMAQ | 28.16 | −0.53 | 0.53 | −0.02 | 0.03 |
Publisher’s Note: MDPI stays neutral with regard to jurisdictional claims in published maps and institutional affiliations. |
© 2021 by the authors. Licensee MDPI, Basel, Switzerland. This article is an open access article distributed under the terms and conditions of the Creative Commons Attribution (CC BY) license (https://creativecommons.org/licenses/by/4.0/).
Share and Cite
Kim, C.-H.; Meng, F.; Kajino, M.; Lim, J.; Tang, W.; Lee, J.-J.; Kiriyama, Y.; Woo, J.-H.; Sato, K.; Kitada, T.; et al. Comparative Numerical Study of PM2.5 in Exit-and-Entrance Areas Associated with Transboundary Transport over China, Japan, and Korea. Atmosphere 2021, 12, 469. https://doi.org/10.3390/atmos12040469
Kim C-H, Meng F, Kajino M, Lim J, Tang W, Lee J-J, Kiriyama Y, Woo J-H, Sato K, Kitada T, et al. Comparative Numerical Study of PM2.5 in Exit-and-Entrance Areas Associated with Transboundary Transport over China, Japan, and Korea. Atmosphere. 2021; 12(4):469. https://doi.org/10.3390/atmos12040469
Chicago/Turabian StyleKim, Cheol-Hee, Fan Meng, Mizuo Kajino, Jaehyun Lim, Wei Tang, Jong-Jae Lee, Yusuke Kiriyama, Jung-Hun Woo, Keiichi Sato, Toshihiro Kitada, and et al. 2021. "Comparative Numerical Study of PM2.5 in Exit-and-Entrance Areas Associated with Transboundary Transport over China, Japan, and Korea" Atmosphere 12, no. 4: 469. https://doi.org/10.3390/atmos12040469
APA StyleKim, C.-H., Meng, F., Kajino, M., Lim, J., Tang, W., Lee, J.-J., Kiriyama, Y., Woo, J.-H., Sato, K., Kitada, T., Minoura, H., Kim, J., Lee, K.-B., Roh, S., Jo, H.-Y., & Jo, Y.-J. (2021). Comparative Numerical Study of PM2.5 in Exit-and-Entrance Areas Associated with Transboundary Transport over China, Japan, and Korea. Atmosphere, 12(4), 469. https://doi.org/10.3390/atmos12040469

