Remote Impacts from El Niño and La Niña on Climate Variables and Major Crops Production in Coastal Bangladesh
Abstract
:1. Introduction
2. Materials and Methods
2.1. Study Area
2.2. Major Cropping Seasons
2.3. Selection of ENSO Events
2.4. Calculation of GDD
2.5. Impact on Crops
2.6. Data Sources and Statistical Analysis
3. Results
3.1. Variation in Monthly and Annual Temperature and Rainfall Composite
3.1.1. Monthly Variations
3.1.2. Annual Variations
3.2. Variation of Seasonal Temperature and Rainfall due to ENSO Events
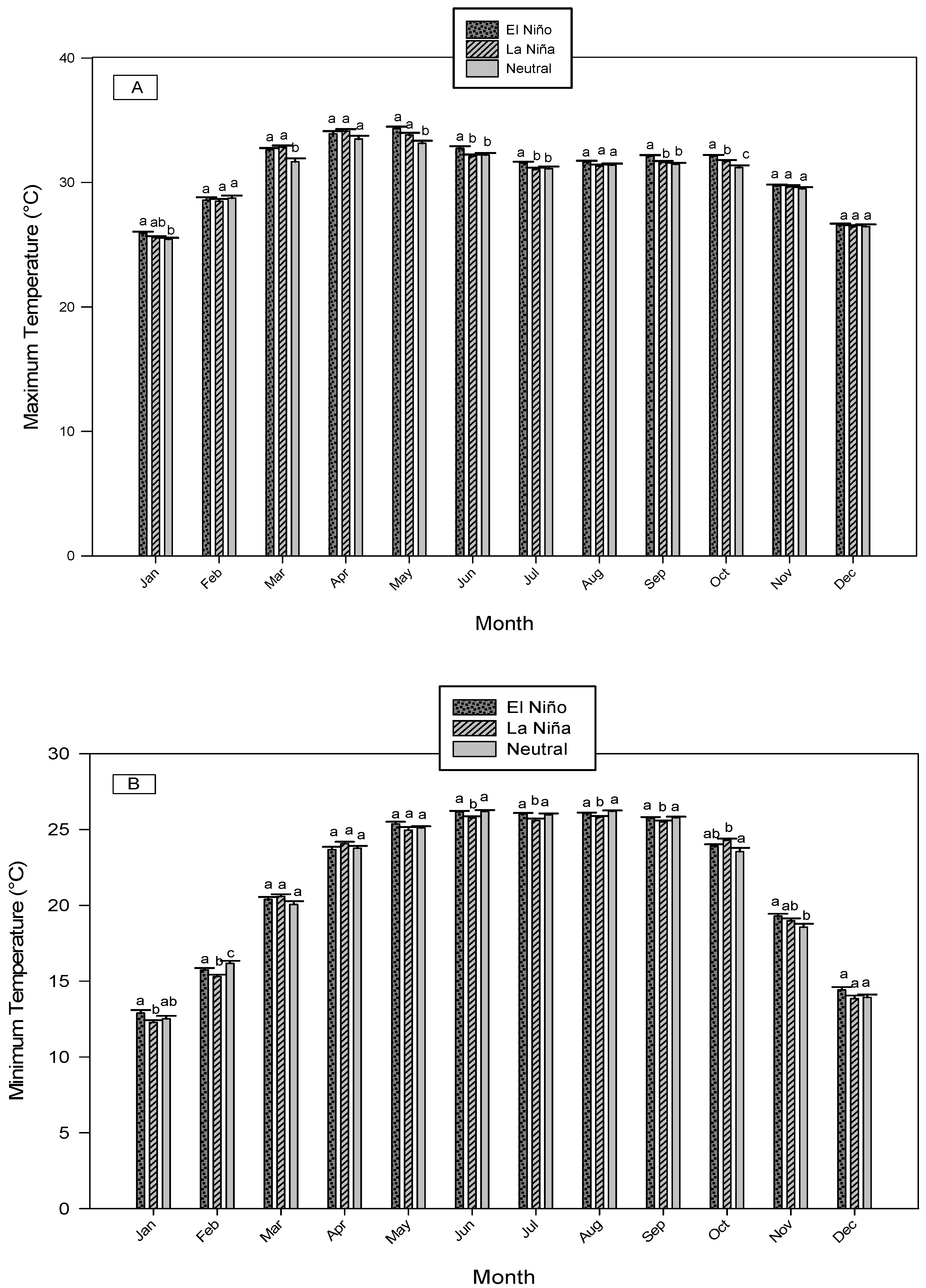
3.2.1. Minimum and Maximum Temperature Composite
3.2.2. Rainfall Composite
3.3. Variation in GDD and on Crop Growth Duration
3.3.1. Growing Degree Day (GDD)
3.3.2. Crop Growth Duration and Yield
4. Discussion
| Crops (Growing Season) | ENSO Events | Start Date and Duration of the Growth Phase | Possible Impacts | References | ||||
|---|---|---|---|---|---|---|---|---|
| Seedling | Vegetative | Flowering | Maturity | Total | ||||
| Local Aus rice | Neutral | 1-Mar (56) | 26-Apr (65) | 30-Jun (25) | 25-Jul (25) | 171 | [53] | |
| El Niño | 1-Mar (55) | 25-Apr (65) | 30-Jun (25) | 23-Jul (25) | 170 | Similar to neutral | ||
| La Niña | 1-Mar (52) | 22-Apr (64) | 25-Jun (24) | 19-Jul (25) | 165 | Reduce grain yield | ||
| Local transplant Aman | Neutral | 1-Jul (47) | 17-Aug (63) | 19-Oct (27) | 15-Nov (34) | 171 | ||
| El Niño | 1-Jul (48) | 18-Aug (63) | 20-Oct (27) | 16-Nov (38) | 176 | Delay Rabi crop planting May face cyclones | ||
| La Niña | 1-Jul (47) | 17-Aug (62) | 18-Oct (26) | 13-Nov (34) | 169 | Similar to neutral | ||
| Aman (HYV) | Neutral | 16-Jun (46) | 1-Aug (60) | 30-Sep (23) | 23-Oct (27) | 156 | ||
| El Niño | 16-Jun (46) | 1-Aug (61) | 1-Oct (23) | 23-Oct (29) | 159 | Delay Rabi crop planting May face cyclones | ||
| La Niña | 16-Jun (46) | 1-Aug (60) | 1-Oct (22) | 21-Oct (26) | 154 | Reduce grain yield | ||
| Local Boro | Neutral | 16-Nov (61) | 16-Jan (68) | 25-Mar (19) | 13-Apr (18) | 166 | ||
| El Niño | 16-Nov (63) | 18-Jan (69) | 27-Mar (19) | 15-Apr (18) | 169 | Crop may be affected with flood. May face cyclones | [47] | |
| La Niña | 16-Nov (60) | 15-Jan (69) | 24-Mar (18) | 11-Apr (17) | 164 | Reduce grain yield | ||
| Boro (HYV)/Hybrid | Neutral | 1-Dec (61) | 31-Jan (57) | 29-Mar (17) | 15-Apr (17) | 152 | ||
| El Niño | 1-Dec (63) | 2-Feb (57) | 30-Mar (17) | 16-Apr (17) | 154 | Crop may be affected with flood | [35] | |
| La Niña | 1-Dec (61) | 31-Jan (56) | 27-Mar (17) | 13-Apr (15) | 149 | Reduce grain yield | ||
| Wheat (Rabi) | Neutral | 1-Dec (50) | 20-Jan (54) | 15-Mar (15) | 30-Mar (14) | 133 | ||
| El Niño | 1-Dec (52) | 22-Jan (55) | 17-Mar (15) | 1-Apr (14) | 136 | May reduce grain yield due high temperature induced to spikelet sterility | [54] | |
| La Niña | 1-Dec (50) | 20-Jan (54) | 14-Mar (14) | 28-Mar (14) | 132 | Similar to neutral | ||
| Maize (Rabi) | Neutral | 1-Dec (68) | 7-Feb (61) | 9-Apr (19) | 28-Apr (18) | 166 | ||
| El Niño | 1-Dec (71) | 10-Feb (60) | 10-Apr (19) | 29-Apr (18) | 168 | Yield reduction to due to lodging and flooding | ||
| La Niña | 1-Dec (68) | 7-Feb (60) | 7-Apr (18) | 25-Apr (17) | 163 | Early harvesting but may reduce yield | [48] | |
| Lentil (Rabi) | Neutral | 16-Nov (34) | 20-Dec (55) | 13-Feb (16) | 29-Feb (14) | 119 | ||
| El Niño | 16-Nov (36) | 20-Dec (60) | 18-Feb (15) | 4-Mar (14) | 125 | Yield increase provided no additional disease pressure | ||
| La Niña | 16-Nov (34) | 20-Dec (56) | 14-Feb (16) | 2-Mar (13) | 119 | Similar to neutral | ||
| Green gram (Rabi) | Neutral | 1-Jan (55) | 25-Feb (49) | 15-Apr (16) | 1-May (16) | 136 | ||
| El Niño | 1-Jan (58) | 28-Feb (47) | 15-Apr (17) | 2-May (15) | 137 | Yield reduction to due to lodging and flooding | ||
| La Niña | 1-Jan (57) | 27-Feb (46) | 13-Apr (15) | 27-Apr (15) | 133 | Early harvesting but may reduce yield | [48] | |
| Grass pea (Rabi) | Neutral | 16-Nov (42) | 28-Dec (61) | 27-Feb (17) | 16-Mar (15) | 135 | ||
| El Niño | 16-Nov (45) | 31-Dec (63) | 3-Mar (16) | 19-Mar (14) | 138 | Yield reduction to due to lodging and flooding | [35,47] | |
| La Niña | 16-Nov (42) | 28-Dec (63) | 29-Feb (16) | 15-Mar (14) | 135 | |||
| Sesame (Rabi) | Neutral | 1-Sep (31) | 2-Oct (44) | 15-Nov (20) | 5-Dec (27) | 122 | ||
| El Niño | 1-Sep (31) | 2-Oct (44) | 15-Nov (22) | 6-Dec (30) | 127 | Yield reduction to due to lodging and flooding | [47] | |
| La Niña | 1-Sep (31) | 2-Oct (44) | 14-Nov (20) | 4-Dec (27) | 122 | |||
| Sesame (Kharif) | Neutral | 1-Feb (44) | 17-Mar (46) | 2-May (16) | 18-May (16) | 122 | ||
| El Niño | 1-Feb (46) | 18-Mar (45) | 2-May (15) | 17-May (16) | 122 | |||
| La Niña | 1-Feb (44) | 16-Mar (43) | 28-Apr (15) | 13-May (15) | 117 | Early harvesting but may reduce yield | [48] | |
| Rape and Mustard (Rabi) | Neutral | 16-Nov (27) | 13-Dec (50) | 1-Feb (14) | 15-Feb (14) | 105 | ||
| El Niño | 16-Nov (29) | 15-Dec (51) | 4-Feb (16) | 20-Feb (13) | 109 | Yield increase but experience early climatic hazards | [47] | |
| La Niña | 16-Nov (28) | 14-Dec (49) | 1-Feb (15) | 16-Feb (14) | 106 | |||
| Groundnut (Rabi) | Neutral | 16-Nov (61) | 16-Jan (68) | 25-Mar (19) | 13-Apr (18) | 166 | ||
| El Niño | 16-Nov (63) | 18-Jan (69) | 27-Mar (19) | 15-Apr (18) | 169 | Yield reduction due to pollination failure and fruit setting while may face natural hazards (flooding) | [47] | |
| La Niña | 16-Nov (60) | 15-Jan (69) | 24-Mar (18) | 11-Apr (17) | 164 | Early harvesting but may sacrifice yield | [48] | |
| Groundnut (Kharif) | Neutral | 16-Jun (46) | 1-Aug (59) | 29-Sep (24) | 23-Oct (25) | 154 | ||
| El Niño | 16-Jun (46) | 1-Aug (61) | 1-Oct (23) | 24-Oct (27) | 157 | May increase yield | [48] | |
| La Niña | 16-Jun (45) | 31-Jul (60) | 29-Sep (22) | 21-Oct (26) | 153 | |||
| Chili (Rabi) | Neutral | 16-Nov (34) | 20-Dec (56) | 14-Feb (15) | 1-Mar (15) | 120 | ||
| El Niño | 16-Nov (36) | 22-Dec (59) | 19-Feb (15) | 5-Mar (13) | 123 | Increase risk of experiencing climatic hazards | [47] | |
| La Niña | 16-Nov (34) | 20-Dec (57) | 15-Feb (16) | 2-Mar (13) | 120 | |||
| Onion/Garlic (Rabi) | Neutral | 16-Nov (60) | 15-Jan (68) | 24-Mar (20) | 13-Apr (18) | 166 | ||
| El Niño | 16-Nov (63) | 18-Jan (69) | 27-Mar (18) | 14-Apr (18) | 169 | Increase risk of experiencing climatic hazards | [47] | |
| La Niña | 16-Nov (60) | 15-Jan (69) | 24-Mar (18) | 11-Apr (17) | 164 | |||
5. Conclusions
Supplementary Materials
Author Contributions
Funding
Institutional Review Board Statement
Informed Consent Statement
Data Availability Statement
Conflicts of Interest
References
- Brönnimann, S. Impact of El Niño–Southern oscillation on European climate. Rev. Geophys. 2007, 45, RG3003. [Google Scholar] [CrossRef] [Green Version]
- Sarachik, E.S.; Cane, M.A. The El Nino-Southern Oscillation Phenomenon; Cambridge University Press: Cambridge, UK, 2010. [Google Scholar]
- Zhang, W.; Li, H.; Stuecker, M.F.; Jin, F.-F.; Turner, A.G. A new understanding of El Niño’s impact over East Asia: Dominance of the ENSO combination mode. J. Clim. 2016, 29, 4347–4359. [Google Scholar] [CrossRef]
- McPhaden, M.J. El Nino and La Nina: Causes and global consequences. Glob. Environ. Change. 2002, 1, 1–17. [Google Scholar]
- Ashok, K.; Behera, S.K.; Rao, S.A.; Weng, H.; Yamagata, T. El Niño Modoki and its possible teleconnection. J. Geophys. Res. 2007, 112. [Google Scholar] [CrossRef]
- Kao, H.-Y.; Yu, J.-Y. Contrasting eastern-Pacific and central-Pacific types of ENSO. J. Clim. 2009, 22, 615–632. [Google Scholar] [CrossRef]
- Kug, J.-S.; Jin, F.-F.; An, S.-I. Two types of El Niño events: Cold tongue El Niño and warm pool El Niño. J. Clim. 2009, 22, 1499–1515. [Google Scholar] [CrossRef]
- Yu, J.-Y.; Kim, S.T. Relationships between Extratropical Sea Level Pressure Variations and the Central Pacific and Eastern Pacific Types of ENSO. J. Clim. 2011, 24, 708–720. [Google Scholar] [CrossRef]
- Kim, H.-M.; Webster, P.J.; Curry, J.A. Impact of shifting patterns of Pacific Ocean warming on North Atlantic tropical cyclones. Science 2009, 325, 77–80. [Google Scholar] [CrossRef] [PubMed]
- Weng, H.; Behera, S.K.; Yamagata, T. Anomalous winter climate conditions in the Pacific rim during recent El Niño Modoki and El Niño events. Clim. Dyn. 2009, 32, 663–674. [Google Scholar] [CrossRef]
- Yeh, S.W.; Kirtman, B.P. On the relationship between the interannual and decadal SST variability in the North Pacific and tropical Pacific Ocean. J. Geophys. Res. Atmos. 2003, 108, 4344. [Google Scholar] [CrossRef] [Green Version]
- Sentelhas, P.; Pereira, A. El Niño–Southern Oscillation and Its Impacts on Local Climate and Sugarcane Yield in Brazil. Sugar Tech. 2019, 21, 976–985. [Google Scholar] [CrossRef]
- Pandey, V.; Misra, A.; Yadav, S. Impact of El-Nino and La-Nina on Indian Climate and Crop Production. In Climate Change and Agriculture in India: Impact and Adaptation; Springer: Cham, Switzerland, 2019; pp. 11–20. [Google Scholar]
- Lakhraj-Govender, R.; Grab, S.W. Assessing the impact of El Niño–Southern Oscillation on South African temperatures during austral summer. Int. J. Climatol. 2019, 39, 143–156. [Google Scholar] [CrossRef] [Green Version]
- Hua, S.; Jing, T.; Jingfeng, H.; Pei, G.; Zhibo, Z.; Jianwu, W. Hybrid Causality Analysis of ENSO’s Global Impacts on Climate Variables Based on Data-Driven Analytics and Climate Model Simulation. Front. Earth Sci. 2019, 7, 233. [Google Scholar] [CrossRef]
- Pheakdey, D.V.; Xuan, T.D.; Khanh, T.D. Influence of climate factors on rice yields in Cambodia. AIMS Geosci. 2017, 3, 561–575. [Google Scholar] [CrossRef]
- Rishma, C.; Katpatal, Y.B. Variability in rainfall and vegetation density as a response to ENSO events: A case study in Venna river basin of central India. J. Agrometeorol. 2016, 18, 300–305. [Google Scholar]
- Wahiduzzaman, M.; Luo, J.-J. A statistical analysis on the contribution of El Niño–Southern Oscillation to the rainfall and temperature over Bangladesh. Meteorol. Atmos. Phys 2020, 133, 55–68. [Google Scholar] [CrossRef]
- Davey, M.K.; Brookshaw, A.; Ineson, S. The probability of the impact of ENSO on precipitation and near-surface temperature. Clim. Risk Manag. 2014, 1, 5–24. [Google Scholar] [CrossRef] [Green Version]
- Zaroug, M.A.; Eltahir, E.A.; Giorgi, F. Droughts and floods over the upper catchment of the Blue Nile and their connections to the timing of El Niño and La Niña events. Hydrol. Earth Syst. Sci. 2014, 18, 1239–1249. [Google Scholar] [CrossRef] [Green Version]
- Tong, J.; Qiang, Z.; Deming, Z.; Yijin, W. Yangtze floods and droughts (China) and teleconnections with ENSO activities (1470–2003). Quat. Int. 2006, 144, 29–37. [Google Scholar] [CrossRef]
- Li, R.C.Y.; Zhou, W. Changes in Western Pacific Tropical Cyclones Associated with the El Niño–Southern Oscillation Cycle. J. Clim. 2012, 25, 5864–5878. [Google Scholar] [CrossRef]
- Sikder, R.; Xiaoying, J. Climate change impact and agriculture of Bangladesh. Environ. Earth Sci. 2014, 4, 35–40. [Google Scholar]
- Hossain, M.S.; Qian, L.; Arshad, M.; Shahid, S.; Fahad, S.; Akhter, J. Climate change and crop farming in Bangladesh: An analysis of economic impacts. Int. J. Clim. Chang. Str. 2019, 11, 424–440. [Google Scholar] [CrossRef]
- Naylor, R.L.; Falcon, W.P.; Rochberg, D.; Wada, N. Using El Nino/Southern Oscillation climate data to predict rice production in Indonesia. Clim. Change 2001, 50, 255–265. [Google Scholar] [CrossRef]
- Yuan, C.; Yamagata, T. Impacts of IOD, ENSO and ENSO Modoki on the Australian Winter Wheat Yields in Recent Decades. Sci. Rep. 2015, 5, 17252. [Google Scholar] [CrossRef] [Green Version]
- Kim, M.-K.; McCarl, B.A. The agricultural value of information on the North Atlantic oscillation: Yield and economic effects. Clim. Change 2005, 71, 117–139. [Google Scholar] [CrossRef]
- Ray, D.K.; Gerber, J.S.; MacDonald, G.K.; West, P.C. Climate variation explains a third of global crop yield variability. Nat. Commun. 2015, 6, 5989. [Google Scholar] [CrossRef] [PubMed] [Green Version]
- Rahman, M.A.; Kang, S.; Nagabhatla, N.; Macnee, R. Impacts of temperature and rainfall variation on rice productivity in major ecosystems of Bangladesh. Agric. Food Secur. 2017, 6, 10. [Google Scholar] [CrossRef] [Green Version]
- Zhang, Z.; Liu, X.; Wang, P.; Shuai, J.; Chen, Y.; Song, X.; Tao, F. The heat deficit index depicts the responses of rice yield to climate change in the northeastern three provinces of China. Reg. Environ. Change. 2014, 14, 27–38. [Google Scholar] [CrossRef]
- Grigorieva, E.; Matzarakis, A.; de Freitas, C. Analysis of growing degree-days as a climate impact indicator in a region with extreme annual air temperature amplitude. Clim. Res. 2010, 42, 143–154. [Google Scholar] [CrossRef] [Green Version]
- Spinoni, J.; Vogt, J.; Barbosa, P. European degree-day climatologies and trends for the period 1951–2011. Int. J. Climatol. 2015, 35, 25–36. [Google Scholar] [CrossRef] [Green Version]
- Asseng, S.; Foster, I.A.N.; Turner, N.C. The impact of temperature variability on wheat yields. Global Change Biol. 2011, 17, 997–1012. [Google Scholar] [CrossRef]
- Chowdhury, M. The El Niño -Southern Oscillation (ENSO) and seasonal flooding? Bangladesh. Theor. Appl. Climatol. 2003, 76, 105–124. [Google Scholar] [CrossRef]
- Pervez, M.S.; Henebry, G.M. Spatial and seasonal responses of precipitation in the Ganges and Brahmaputra river basins to ENSO and Indian Ocean dipole modes: Implications for flooding and drought. Nat. Hazards Earth Syst. Sci. 2015, 2, 147–162. [Google Scholar] [CrossRef] [Green Version]
- McMaster, G.S.; Wilhelm, W.W. Growing degree-days: One equation, two interpretations. Agric. For. Meteorol. 1997, 87, 291–300. [Google Scholar] [CrossRef] [Green Version]
- Acharjee, T.K.; van Halsema, G.; Ludwig, F.; Hellegers, P. Declining trends of water requirements of dry season Boro rice in the north-west Bangladesh. Agric. Water Manag. 2017, 180, 148–159. [Google Scholar] [CrossRef]
- Mahmood, R. Impacts of air temperature variations on the boro rice phenology in Bangladesh: Implications for irrigation requirements. Agric. For. Meteoro. 1997, 84, 233–247. [Google Scholar] [CrossRef]
- Rahman, M.S.; Sharma, N.; Khatun, A.; Saleque, M.A. Growing degree days for Boro rice varieties. Bangladesh Rice J. 2010, 15, 77–80. [Google Scholar]
- Li, Y.; Li, X.; Yu, J.; Liu, F. Effect of the transgenerational exposure to elevated CO2 on the drought response of winter wheat: Stomatal control and water use efficiency. Environ. Exp. Bot. 2017, 136, 78–84. [Google Scholar] [CrossRef]
- Krishnan, P.; Ramakrishnan, B.; Reddy, K.R.; Reddy, V.R. Chapter three—High-Temperature Effects on Rice Growth, Yield, and Grain Quality. In Advances in Agronomy; Sparks, D.L., Ed.; Academic Press: Cambridge, MA, USA, 2011; Volume 111, pp. 87–206. [Google Scholar]
- Jagadish, S.; Craufurd, P.; Wheeler, T. High temperature stress and spikelet fertility in rice (Oryza sativa L.). J. Exp. Bot. 2007, 58, 1627–1635. [Google Scholar] [CrossRef] [Green Version]
- BBS (Bangladesh Bureau of Statistics). Yearbook of Agricultural Statistics-2017; Statistics and Informatics Division (SID), Ministry of Planning, Government of the People’s Republic of Bangladesh: Dhaka, Bangladesh, 2018.
- Fogt, R.L.; Bromwich, D.H.; Hines, K.M. Understanding the SAM influence on the South Pacific ENSO teleconnection. Clim. Dyn. 2011, 36, 1555–1576. [Google Scholar] [CrossRef] [Green Version]
- Hossain, E.; Alam, S.S.; Imam, K.H.; Hoque, M.M. The Assessment of El Nino Impacts and Responses: Strategies for the 1997–98 El Nino Event in Bangladesh; Bangladesh Public Administration Training Centre: Dhaka, Bangladesh, 2000.
- Ahmed, M.K.; Alam, M.S.; Yousuf, A.H.M.; Islam, M.M. A long-term trend in precipitation of different spatial regions of Bangladesh and its teleconnections with El Niño/Southern Oscillation and Indian Ocean Dipole. Theor. Appl. Climatol. 2017, 129, 473–486. [Google Scholar] [CrossRef]
- Islam, M.N.; Parvez, M.P. Predicting the El Niño and La Niño impact on the coastal zones at the Bay of Bengal and the likelihood of weather patterns in Bangladesh. Model. Earth Syst. Environ. 2020, 6, 1823–1839. [Google Scholar] [CrossRef]
- Mix, K.; Rast, W.; Lopes, V.L. Increases in Growing Degree Days in the Alpine Desert of the San Luis Valley, Colorado. Water Air Soil Pollut. 2010, 205, 289. [Google Scholar] [CrossRef]
- Iqbal, M.J.; Ali, Z.U.; Ali, S.S. Agroclimatic modelling for estimation of wheat production in the Punjab Province, Pakistan. Proc. Pak. Acad. Sci. 2012, 49, 241–249. [Google Scholar]
- Fraisse, C.W.; Bellow, J.; Brown, C. Degree Days: Heating, Cooling, and Growing; Agricultural and Biological Engineering Department, University of Florida: Gainesville, FL, USA, 2011. [Google Scholar]
- Miller, P.; Lanier, W.; Brandt, S. Using growing degree days to predict plant stages. In Ag/Extension Communications Coordinator, Communications Services; Montana State University-Bozeman: Bozeman, MO, USA, 2001. [Google Scholar]
- Acharjee, T.K.; van Halsema, G.; Ludwig, F.; Hellegers, P.; Supit, I. Shifting planting date of Boro rice as a climate change adaptation strategy to reduce water use. Agric. Syst. 2019, 168, 131–143. [Google Scholar] [CrossRef]
- Li, R.; Li, M.; Ashraf, U.; Liu, S.; Zhang, J. Exploring the Relationships Between Yield and Yield-Related Traits for Rice Varieties Released in China From 1978 to 2017. Front. Plant Sci. 2019, 10, 543. [Google Scholar] [CrossRef] [PubMed] [Green Version]
- Begum, F.; Nessa, A. Effects of temperature on some physiological traits of wheat. J. Bangladesh Acad. Sci. 2014, 38, 103–110. [Google Scholar] [CrossRef] [Green Version]
- Anannya, A.M. Understanding the Impact of El Niño and La Niña on Bangladesh’s Crop Production and Disaster Management Plan. Master’s Thesis, Norwegian University of Life Sciences, As, Norway, 2018. [Google Scholar]








| ENSO Events | Years |
|---|---|
| El Niño | 1951, 1957, 1958, 1963, 1966, 1982, 1987, 1992, 1997, 2002 and 2015 |
| La Niña | 1955, 1971, 1974, 1975, 1989, 1999, 2000, 2008 and 2011 |
| Neutral | 1960, 1961, 1962, 1967, 1981, 1990, 1993 and 2013 |
Publisher’s Note: MDPI stays neutral with regard to jurisdictional claims in published maps and institutional affiliations. |
© 2021 by the authors. Licensee MDPI, Basel, Switzerland. This article is an open access article distributed under the terms and conditions of the Creative Commons Attribution (CC BY) license (https://creativecommons.org/licenses/by/4.0/).
Share and Cite
Sattar, M.A.; Mia, S.; Shanta, A.A.; Biswas, A.K.M.A.A.; Ludwig, F. Remote Impacts from El Niño and La Niña on Climate Variables and Major Crops Production in Coastal Bangladesh. Atmosphere 2021, 12, 1449. https://doi.org/10.3390/atmos12111449
Sattar MA, Mia S, Shanta AA, Biswas AKMAA, Ludwig F. Remote Impacts from El Niño and La Niña on Climate Variables and Major Crops Production in Coastal Bangladesh. Atmosphere. 2021; 12(11):1449. https://doi.org/10.3390/atmos12111449
Chicago/Turabian StyleSattar, Md. Abdus, Shamim Mia, Afroza Akter Shanta, A. K. M. Abdul Ahad Biswas, and Fulco Ludwig. 2021. "Remote Impacts from El Niño and La Niña on Climate Variables and Major Crops Production in Coastal Bangladesh" Atmosphere 12, no. 11: 1449. https://doi.org/10.3390/atmos12111449
APA StyleSattar, M. A., Mia, S., Shanta, A. A., Biswas, A. K. M. A. A., & Ludwig, F. (2021). Remote Impacts from El Niño and La Niña on Climate Variables and Major Crops Production in Coastal Bangladesh. Atmosphere, 12(11), 1449. https://doi.org/10.3390/atmos12111449

