Stratosphere–Troposphere Exchange and O3 Variability in the Lower Stratosphere and Upper Troposphere over the Irene SHADOZ Site, South Africa
Abstract
1. Introduction
2. Method and Data
2.1. Ozonesondes
2.2. MERRA-2 Potential Vorticity
2.3. Data Processing
3. Results and Discussion
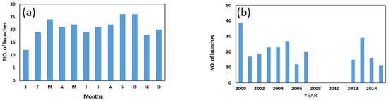
3.1. High O3 Events
3.2. Case Studies on High Ozone Events
3.3. Dynamical Context Using MIMOSA Model
3.4. Ozone Decline in Lower Stratosphere
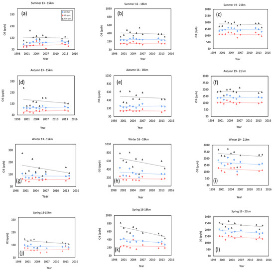
3.4.1. Annual Changes at Different Altitudes
3.4.2. Seasonal Changes at Different Altitudes
4. Summary and Conclusions
Author Contributions
Funding
Acknowledgments
Conflicts of Interest
References
- Bekki, S.; Lefevre, F. Stratospheric ozone: History and concepts and interactions with climate. Eur. Phys. J. Conf. 2009, 1, 113–136. [Google Scholar] [CrossRef]
- Farman, J.C.; Gardiner, B.G.; Shanklin, J.D. Large losses of total ozone in Antarctica reveal seasonal CLOX/NOX interaction. Nature 1985, 315, 207–210. [Google Scholar] [CrossRef]
- Morrisette, P.M. The evolution of policy responses to tratospheric ozone depletion. Nat. Res. J. 1989, 29, 793–820. [Google Scholar]
- Rowland, F.S.; Molina, M.J. Chlorofluoromethanes in environment. Rev. Geophys. 1975, 13, 1–35. [Google Scholar] [CrossRef]
- Mäder, J.A.; Staehelin, J.; Peter, T.; Brunner, D.; Rieder, H.E.; Stahel, W.A. Evidence for the effectiveness of the Montreal Protocol to protect the ozone layer. Atmos. Chem. Phys. 2010, 10, 12161–12171. [Google Scholar] [CrossRef]
- Scientific assessment of ozone depletion: 2010. In Global Ozone Research and Monitoring Project-Report No. 52; World Meteorological Organization (WMO): Geneva, Switzerland, 2011; p. 516.
- Bodeker, G.E.; Scott, J.C.; Kresher, K.; McKenzie, R.L. Global Ozone Trends in Potential Vorticity Coordinates Using TOMS and GOMEE Inter-Compared Against the Dobson network. J. Geophys. Res. 2001, 106, 23029–23042. [Google Scholar] [CrossRef]
- Scientific assessment of ozone depletion (2014). In Global Ozone Research and Monitoring Project Report; World Meteorological Organization (WMO): Geneva, Switzerland, 2014; p. 416.
- Ball, W.T.; Alsing, J.; Mortlock, D.J.; Rozanov, E.V.; Tummon, F.; Haigh, J.D. Reconciling differences in stratospheric ozone composites. Atmos. Chem. Phys. 2017, 17, 12269–12302. [Google Scholar] [CrossRef]
- Ball, W.T.; Alsing, J.; Mortlock, D.J.; Staehelin, J.; Haigh, J.D.; Peter, T.; Tummon, F.; Stübi, R.; Stenke, A.; Anderson, J.; et al. Evidence for a continuous decline in lower stratospheric ozone offsetting ozone layer recovery. Atmos. Chem. Phys. 2018, 18, 1379–1394. [Google Scholar] [CrossRef]
- Seinfeld, J.H.; Pandis, S.N. From Air Pollution to Climate Change; John Wiley and Sons: New York, NY, USA, 1998; p. 1326. [Google Scholar]
- Haagen-Smit, A.J. Chemistry and physiology of Los Angeles smog. Ind. Eng. Chem. 1952, 44, 1342–1346. [Google Scholar] [CrossRef]
- El Amraoui, L.; Atti´e, J.L.; Semane, N.; Claeyman, M.; Peuch, V.-H.; Warner, J.; Ricaud, P.; Cammas, J.-P.; Piacentini, A.; Josse, B.; et al. Midlatitude stratosphere—Troposphere exchange as diagnosed by MLS O3 and MOPITT CO assimilated fields. Atmos. Chem. Phys. 2010, 10, 2175–2194. [Google Scholar] [CrossRef]
- Diab, R.D.; Thompson, A.M.; Mari, K.; Ramsay, L.; Coetzee, G.J.R. Tropospheric ozone climatology over Irene, South Africa from 1990 to 1994 and 1998 to 2000. J. Geophys. Res. 2004, 109, JD00479. [Google Scholar] [CrossRef]
- Ziemke, J.R.; Chandra, S.; Duncan, B.N.; Froidevaux, L.; Bhartia, P.K.; Levelt, P.F.; Waters, J.W. Tropospheric ozone determined from Aura OMI and MLS: Evaluation of measurements and comparison with the Global Modeling Initiative’s Chemical Transport Model. J. Geophys. Res.-Atmos. 2006, 111, D19303. [Google Scholar] [CrossRef]
- Ziemke, J.R.; Chandra, S.; Labow, G.J.; Bhartia, P.K.; Fridevaux, L.; Witte, J.C. A global Climatology of Tropospheric and Stratospheric Ozone Derived from AURA OMI and MLS Measurements. Atmos. Chem. Phys. 2011, 11, 9237–9251. [Google Scholar] [CrossRef]
- Sivakumar, V.; Bencherif, H.; Begue, N.; Thompson, A.M. Tropopause characteristics and variability from 11 years of SHADOZ Observations in the Southern Tropics and Subtropics. J. Appl. Meteorol. Clim. 2011, 50, 1403–1416. [Google Scholar] [CrossRef]
- Thompson, A.M.; Miller, S.K.; Tilmes, S.; Kollonige, D.W.; Witte, J.C.; Oltmans, S.J.; Johnson, B.J.; Fujiwara, M.; Schmidlin, F.J.; Coetzee, G.J.R.; et al. Southern Hemisphere Additional Ozonesondes (SHADOZ) ozone climatology (2005–2009): Tropospheric and tropical tropopause layer (TTL) profiles with comparisons to OMI–based ozone products. J. Geophys. Res.-Atmos. 2012, 17, D23301. [Google Scholar] [CrossRef]
- Poulida, O.; Dickerson, R.R.; Heymsfield, A. Stratosphere—Troposphere exchange in a midlatitude mesoscale con– vective complex. 1. Observations. J. Geophys. Res. 1996, 101, 6823–6836. [Google Scholar] [CrossRef]
- Mulumba, J.-P.; Sivakumar, V.; Afullo, T.J.O. Modeling Tropospheric ozone climatology over Irene (South Africa) using retrieved remote sensing and ground-based measured data. J. Geosci. Remote Sens. 2015. [Google Scholar] [CrossRef]
- Ndarana, T.; Waugh, D.W. The link between cut-off lows and Rossby wave breaking in the Southern Hemisphere. Q. J. R. Meteorol. Soc. 2010, 136, 869–885. [Google Scholar] [CrossRef]
- Sun, L.; Chen, G.; Robinson, W.A. The Role of Stratospheric Polar Vortex Breakdown in Southern Hemisphere Climate Trends. BAMS Meteol. Soc. 2014. [Google Scholar] [CrossRef]
- Garfinkel, I.; Hartmann, D.L. The influence of the quasi-biennial oscillation on the troposphere in winter in a Hierachy of Models. Part 1: Simplified dry GCMs. AMS Meteol. Soc. 2011. [Google Scholar] [CrossRef]
- Holton, J.R.; Tan, H.C. The influence of the equatorial quasi–biennial oscillation on the global circulation at 50 mb. J. Atmos. Sci. 1980, 37, 2200–2208. [Google Scholar] [CrossRef]
- Hamilton, K. Effects of an imposed quasi-biennial oscillation in a comprehensive troposphere—stratosphere—mesosphere general circulation model. J. Atmos. Sci. 1998, 55, 2393–2418. [Google Scholar] [CrossRef]
- Baldwin, M.P.; Dunkerton, T.J. Stratospheric harbingers of anomalous weather regimes. Science 2001, 294, 581–584. [Google Scholar] [CrossRef] [PubMed]
- Waugh, D.W.; Polvani, L.M. Climatology of intrusions into the tropical upper troposphere. Geophys. Res. Lett. 2000, 27, 3857–3860. [Google Scholar] [CrossRef]
- Semane, N.; Bencherif, H.; Morel, B.; Hauchecorne, A.; Diab, R.D. An unusual stratospheric ozone decrease in the Southern Hemisphere subtropics linked to isentropic air-mass transport as observed over Irene (25.5 S, 28.1 E) in mid-May 2002. Atmos. Chem. Phys. 2006, 6, 1927–1936. [Google Scholar] [CrossRef]
- Bencherif, H.; Amraoui, L.E.; Kirgis, G.; Leclair De Bellevue, J.; Hauchecorne, A.; Mzé, N.; Portafaix, T.; Pazmino, A.; Goutail, F. Analysis of a rapid increase of stratospheric ozone during late austral summer 2008 over Kerguelen (49.4 S, 70.3 E). Atmos. Chem. Phys. 2011, 11, 363–373. [Google Scholar] [CrossRef]
- Orte, P.F.; Wolfram, E.; Salvador, J.; Mizuno, A.; Bègue, N.; Bencherif, H.; Bali, J.L.; d’Elia, R.; Pazmino, A.; Godin-Beekmann, S.; et al. Analysis of a southern sub-polar short-term ozone variation event using a millimetre-wave radiometer. Ann. Geophys. 2019, 37, 613–629. [Google Scholar] [CrossRef]
- Greenslade, J.W.; Alexander, S.P.; Schofield, R.; Fisher, J.A.; Klekociuk, A.K. Stratospheric ozone intrusion and their impacts on tropospheric ozone. Atmos. Chem. Phys. 2017. [Google Scholar] [CrossRef]
- Helmig, D.; Oltmans, S.J.; Carlson, D.; Lamarque, J.-F.; Jones, A.; Labuschagne, C.; Anlauf, K.; Hayden, K. A review of surface ozone in the polar regions. Atmos. Environ. 2007, 41, 5138–5161. [Google Scholar] [CrossRef]
- Cooper, O.R.; Parrish, D.D.; Ziemke, J.; Balashov, N.V.M.; Cupeiro, M.; Galbally, I.E.; Gilge, S.; Horowitz, L.; Jensen, N.R.; Lamarque, J.-F.; et al. Global distribution and trends of tropospheric ozone: An observation-based review. Elem.: Sci. Anthr. 2014, 2. [Google Scholar] [CrossRef]
- Oltmans, S.J.; Lefohn, A.S.; Shadwick, D.; Harris, J.M.; Scheel, H.E.; Galbally, I.; Tarasick, D.W.; Johnson, B.J.; Brunke, E.-G.; Claude, H.; et al. Recent tropospheric ozone changes—A pattern dominated by slow or no growth. Atmos. Environ. 2013, 67, 331–351. [Google Scholar] [CrossRef]
- Lin, M.; Horowitz, L.W.; Cooper, O.R.; Tarasick, D.; Conley, S.; Iraci, L.T.; Johnson, B.; Leblanc, T.; Petropavlovskikh, I.; Yates, E.L. Revisiting the evidence of increasing springtime ozone mixing ratios in the free troposphere over western North America. Geophys. Res. Lett. 2015, 8719–8728. [Google Scholar] [CrossRef]
- Xu, W.; Lin, W.; Xu, X.; Tang, J.; Huang, J.; Wu, H.; Zhang, X. Long-term trends of surface ozone and its influencing factors at the Mt Waliguan GAW station, China—Part 1: Overall trends and characteristics. Atmos. Chem. Phys. 2016, 16, 6191–6205. [Google Scholar] [CrossRef]
- Granados–Muñoz, M.J.; Leblanc, T. Tropospheric ozone seasonal and long–term variability as seen by LIDAR and surface measurements at the JPL–Table Mountain Facility, California. Atmos. Chem. Phys. 2016, 16, 9299–9319. [Google Scholar] [CrossRef]
- Sivakumar, V.; Ogunniyi, J. Ozone climatology and variability over Irene, South Africa determined by ground based and satellite observations. Part 1: Vertical variations in the troposphere and stratosphere. Atmosfera 2017, 30, 337–353. [Google Scholar] [CrossRef][Green Version]
- Holton, J.R.; Hayenes, P.H.; McInyre, M.E.; Douglass, R.A.; Roodand, R.B.; Pfister, L. Stratosphere—Troposphere exchange. Rev. Geophys. 1995, 33, 403–439. [Google Scholar] [CrossRef]
- National Aeronautics and Space Administration Goddard Space Flight Center. Available online: https://tropo.gsfc.nasa.gov/shadoz/ (accessed on 20 April 2016).
- Newell, R.E.; Browell, E.V.; Davis, D.D.; Liu, S.C. Western Pacific tropospheric ozone and potential vorticity: Implications for Asian pollution. Geophys. Res. Lett. 1997, 24, 2733–2736. [Google Scholar] [CrossRef]
- World Meteorological Organization (WMO). Atmospheric Ozone 1985, Vol. I.; World Meteorological Organization: Geneva, Switzerland, 1986; p. 478. [Google Scholar]
- Shapiro, M.A. Turbulent mixing within tropopause folds as a mechanism for the exchange of chemical constituents between the stratosphere and the troposphere. J. Atmos. Sci. 1980, 37, 994–1004. [Google Scholar] [CrossRef]
- National Aeronautics and Space Administration Goddard Institute for Space Studies website. Available online: https://www.giss.nasa.gov/tools/panoply (accessed on 22 November 2018).
- Tang, Q.; Prather, M.J. Correlating tropospheric column ozone with tropopause folds: The Aura-OMI satellite data. Atmos. Chem. Phys. 2010, 10, 9681–9688. [Google Scholar] [CrossRef]
- Thompson, A.M.; Balashov, J.C.; Coetzee, J.R.C.; Thouret, V.; Posny, F. Tropospheric ozone increases over the southern Africa region: Bellwether for rapid growth in Southern Hemisphere pollution? Atmos. Chem. Phys. 2014, 14, 9855–9869. [Google Scholar] [CrossRef]
- Clain, G.; Baray, J.L.; Delmas, R.; Keckhut, P.; Cammas, J.P. A lagrangian approach to analyse the tropospheric ozone climatology in the tropics: Climatology of stratosphere-troposphere exchange at Reunion Island. Atmos. Environ. 2010, 44, 968–975. [Google Scholar] [CrossRef]
- Stan, C.; Randall, D.A. Potential vorticity as Meridonal coordinate. BAM Meteol. Soc. 2007, 64, 23029–23042. [Google Scholar]
- Hoang, L.P.; Reeder, M.J.; Berry, G.J.; Schwendike, J. Coherent Potential Vorticity Maxima and Their Relationship to Extreme Summer Rainfall in the Australian and North African Tropics. J. South. Hemisph. Earth 2016, 66, 424–441. [Google Scholar] [CrossRef]
- Waugh, D.W.; Polvani, L.M. Stratospheric Polar Vortices, in the Stratosphere: Dynamics, Transport, and Chemistry; Polvani, L.M., Sobel, A.H., Waugh, D.W., Eds.; AGU: Washington, DC, USA, 2013; Volume 190, pp. 43–57. [Google Scholar]
- Tyson, P.D.; Preston-Whyte, R.A. The Weather and Climate of Southern Africa; Oxford Univ. Press: New York, NY, USA, 2000. [Google Scholar]
- Hauchecorne, A.; Godin, S.; Marchand, M.; Heese, B.; Souprayen, C. Quantification of the transport of chemical constituents from the polar vortex to midlatitudes in the lower stratosphere using the high-resolution advection model MIMOSA and effective diffusivity. J. Geophys. Res.: Atmos. 2002, 107, SOL-32. [Google Scholar] [CrossRef]
- Dowdy, A.J.; Vincent, R.A.; Murphy, D.J.; Tsutsumi, M.; Riggin, D.M.; Jarvis, M.J. The large-scale dynamics of the mesosphere—lower thermosphere during the Southern Hemisphere stratospheric warming of 2002. Geophys. Res. Lett. 2004, 31. [Google Scholar] [CrossRef]
- Mbatha, N.; Sivakumar, V.; Malinga, S.B.; Bencherif, H.; Pillay, S.R. Study on the impact of sudden stratosphere warming in the upper mesosphere-lower thermosphere regions using satellite and HF radar measurements. Atmos. Chem. Phys. 2010, 10, 3397–3404. [Google Scholar] [CrossRef]
- Baray, J.L.; Ancellet, G.; Taupin, F.G.; Bessafi, M.; Baldy, S.; Keckhut, P. Subtropical tropopause break as a possible stratospheric source of ozone in the tropical troposphere. J. Atmos. Sol. Terr. Phys. 1998, 60, 27–36. [Google Scholar] [CrossRef]
- Thompson, A.M.; Witte, J.C.; Freiman, M.T.; Phahlane, N.A.; Coetzee, G.J.R. Lusaka, Zambia, during SAFARI–2000: Convergence of local and imported ozone pollution. Geophys. Res. Lett. 2002, 29. [Google Scholar] [CrossRef]
- Bourassa, A.E.; Roth, C.Z.; Zawada, D.J.; Rieger, L.A.; McLinden, C.A.; Degenstein, D.A. Drift corrected Odin-OSIRIS ozone product: Algorithm and updated stratospheric ozone trends. Atmos. Meas. Tech. Discuss. 2017. [Google Scholar] [CrossRef]
- Sofieva, V.; Kyrölä, E.; Laine, M.; Tamminen, J.; Degenstein, D.; Bourassa, A.; Roth, C.; Zawada, D.; Weber, M.; Rozanov, A.; et al. Merged SAGE II, Ozone_cci and OMPS ozone profiles dataset and evaluation of ozone trends in the stratosphere. Atmos. Chem. Phys. Discuss. 2017. [Google Scholar] [CrossRef]
- Steinbrecht, W.; Froidevaux, L.; Fuller, R.; Wang, R.; Anderson, J.; Roth, C.; Bourassa, A.E.; Degenstein, D.A.; Damadeo, R.; Zawodny, J.M.; et al. An update on ozone profile trends for the period 2000 to 2016. Atmos. Chem. Phys. Discuss. 2017, 1–24. [Google Scholar] [CrossRef]
- WMO: Scientific assessment of ozone depletion: 2018. In Global Ozone Research and Monitoring Project-Report; World Meteorological Organization: Geneva, Switzerland, 2018; p. 588.
- Petropavlovskikh, I.; Godin-Beekmann, S.; Hubert, D.; Damadeo, R.; Hassler, B.; Sofieva, V. SPARC/IO3C/GAW, 2019: SPARC/IO3C/GAW Report on Long-term Ozone Trends and Uncertainties in the Stratosphere. Available online: https://www.sparc-climate.org/publications/sparc-reports/sparc-report-no-9/ (accessed on 16 May 2019).
- Wargan, K.; Orbe, C.; Pawson, S.; Ziemke, J.R.; Oman, L.D.; Olsen, M.A.; Coy, L.; Knowland, E.K. Recent decline in extratropical lower stratospheric ozone attributed to circulation changes. Geophys. Res. Lett. 2018, 45. [Google Scholar] [CrossRef]













| Date of the Event | Monthly Composite | Monthly 95th Percentile Composite | Maximum Peak of the Event | Delta Ozone | Altitude of the Event |
|---|---|---|---|---|---|
| 07/08/2002 | 70.00 | 99.00 | 160.50 | 61.50 | 11 |
| 07/07/2004 | 55.68, 67.62 | 74.00, 147.00 | 146.73, 215.51 | 72.73, 68.51 | 9, 11 |
| 15/09/2004 | 79.15 | 103.00 | 144.02 | 41.02 | 9 |
| 26/08/2005 | 71.98 | 99.00 | 171.37 | 72.37 | 11 |
| 12/04/2006 | 58.03 | 110.80 | 120.00 | 9.20 | 11 |
| 08/08/2007 | 58.18 | 99.00 | 105.71 | 6.71 | 9 |
| 10/01/2007 | 74.65 | 93.00 | 110.91 | 17.91 | 11 |
| 31/07/2013 | 60.41 | 90.50 | 121.67 | 31.17 | 10 |
| 16/04/2014 | 50.42 | 72.00 | 81.46 | 9.46 | 9 |
| 25/11/2015 | 91.67 | 134.00 | 162.03 | 28.03 | 10 |
| Date of the Event | Monthly Composite | Monthly 90th Percentile Composite | Maximum Peak of the Event | Delta Ozone | Altitude of the Event |
|---|---|---|---|---|---|
| 07/08/2002 | 70.00 | 96.00 | 160.50 | 64.50 | 11 |
| 27/11/2002 | 87.33 | 99.00 | 117.13 | 18.13 | 9 |
| 03/03/2004 | 64.91 | 82.00 | 87.13 | 5.13 | 9 |
| 07/07/2004 | 55.68, 67.62 | 70.00, 86.00 | 146.73, 215.51 | 76.73, 129.51 | 9, 11 |
| 15/09/2004 | 79.15 | 99.00 | 144.02 | 45.02 | 9 |
| 26/08/2005 | 71.98 | 96.00 | 171.37 | 75.37 | 11 |
| 12/04/2006 | 58.03 | 71.00 | 120.00 | 49.00 | 11 |
| 01/03/2007 | 58.45 | 74.00 | 81.27 | 7.27 | 7 |
| 08/08/2007 | 58.18 | 76.00 | 105.71 | 29.71 | 9 |
| 10/01/2007 | 74.65 | 87.00 | 110.91 | 23.91 | 11 |
| 03/10/2012 | 89.50 | 112.00 | 110.94 | 2.94 | 10 |
| 17/10/2012 | 89.50 | 112.00 | 137.00 | 25.00 | 10 |
| 31/07/2013 | 60.41 | 72.00 | 121.67 | 49.67 | 10 |
| 16/04/2014 | 50.42 | 66.00 | 81.46 | 15.46 | 9 |
| 25/11/2015 | 91.67 | 113.00 | 162.03 | 49.03 | 10 |
| Altitude | Median [ppb/year] | 5th Percentile [ppb/year] | 95th Percentile [ppb/year] |
|---|---|---|---|
| 7–9 km | 0.33 ± 0.57 | 0.19 ± 0.56 | 0.38 ± 0.88 |
| 10–12 km | 0.29 ± 0.58 | −0.08 ± 0.78 | 0.24 ± 1.25 |
| 13–15 km | 0.21 ± 1.04 | 0.47 ± 1.13 | −2.38 ± 3.28 |
| 16–18 km | −2.58 ± 3.90 | −0.59 ± 3.17 | −9.63 ± 9.27 |
| 19–21 km | −6.95 ± 13.07 | −7.04 ± 9.83 | −9.46 ± 18.31 |
| 22–24 km | −16.16 ± 21.83 | −21.19 ± 27.39 | −14.81 ± 21.82 |
| Altitude | Median [ppb/year] | 5th Percentile [ppb/year] | 95th Percentile [ppb/year] |
|---|---|---|---|
| (a). Summer (± indicates the standard deviation) | |||
| 7–9 km | 0.53 ± 0.40 | 0.60 ± 0.58 | 0.23 ± 0.78 |
| 10–12 km | 0.48 ± 0.49 | −0.07 ± 0.66 | 1.09 ± 0.72 |
| 13–15 km | 0.91 ± 1.26 | 0.59 ± 1.47 | −0.59 ± 2.36 |
| 16–18 km | −0.28 ± 1.84 | 0.56 ± 1.96 | −2.08 ± 5.58 |
| 19–21 km | −1.28 ± 8.96 | −4.69 ± 10.01 | −3.39 ± 12.09 |
| 22–24 km | −21.78 ± 17.53 | −25.66 ± 29.31 | −18.00 ± 14.98 |
| (b). Autumn (± indicates the standard deviation) | |||
| 7–9 km | −0.11 ± 0.53 | 0.40 ± 0.34 | 0.68 ± 0.79 |
| 10–12 km | −0.03 ± 0.81 | −0.13 ± 0.61 | 1.17 ± 1.04 |
| 13–15 km | 0.62 ± 0.67 | 1.02 ± 0.81 | −2.50 ± 4.07 |
| 16–18 km | 0.93 ± 2.53 | −0.87 ± 1.69 | −3.77 ± 8.74 |
| 19–21 km | 1.40 ± 8.90 | −2.94 ± 1.06 | −0.99 ± 13.61 |
| 22–24 km | −12.54 ± 19.67 | −13.77 ± 20.90 | −13.59 ± 19.54 |
| (c). Winter (± indicates the standard deviation) | |||
| 7–9 km | 0.85 ± 0.72 | 0.06 ± 0.56 | 1.14 ± 0.94 |
| 10–12 km | 0.14 ± 0.61 | −1.00 ± 0.85 | −0.96 ± 2.03 |
| 13–15 km | −0.18 ± 1.34 | 0.03 ± 0.93 | −4.57 ± 4.89 |
| 16–18 km | −3.85 ± 6.26 | −0.88 ± 3.31 | −14.46 ± 13.17 |
| 19–21 km | −13.30 ± 23.48 | −10.60 ± 18.75 | −16.47 ± 31.56 |
| 22–24 km | −10.14±31.64 | −25.50±34.14 | −8.47 ± 33.79 |
| (d). Spring (± indicates the standard deviation) | |||
| 7–9 km | 0.04 ± 0.57 | -0.30 ± 0.76 | -0.54 ± 1.00 |
| 10–12 km | 0.57 ± 0.42 | 0.90 ± 1.00 | -0.36 ± 1.19 |
| 13–15 km | -0.50 ± 0.88 | 0.24 ± 1.31 | -1.85 ± 1.80 |
| 16–18 km | -7.11 ± 4.99 | -1.15 ± 5.73 | -18.19 ± 9.57 |
| 19–21 km | -14.61 ± 10.94 | -9.93 ± 9.50 | -17.00 ± 15.99 |
| 22–24 km | -20.18 ± 18.49 | -19.83 ± 25.19 | -19.19 ± 18.97 |
© 2020 by the authors. Licensee MDPI, Basel, Switzerland. This article is an open access article distributed under the terms and conditions of the Creative Commons Attribution (CC BY) license (http://creativecommons.org/licenses/by/4.0/).
Share and Cite
Mkololo, T.; Mbatha, N.; Sivakumar, V.; Bègue, N.; Coetzee, G.; Labuschagne, C. Stratosphere–Troposphere Exchange and O3 Variability in the Lower Stratosphere and Upper Troposphere over the Irene SHADOZ Site, South Africa. Atmosphere 2020, 11, 586. https://doi.org/10.3390/atmos11060586
Mkololo T, Mbatha N, Sivakumar V, Bègue N, Coetzee G, Labuschagne C. Stratosphere–Troposphere Exchange and O3 Variability in the Lower Stratosphere and Upper Troposphere over the Irene SHADOZ Site, South Africa. Atmosphere. 2020; 11(6):586. https://doi.org/10.3390/atmos11060586
Chicago/Turabian StyleMkololo, Thumeka, Nkanyiso Mbatha, Venkataraman Sivakumar, Nelson Bègue, Gerrie Coetzee, and Casper Labuschagne. 2020. "Stratosphere–Troposphere Exchange and O3 Variability in the Lower Stratosphere and Upper Troposphere over the Irene SHADOZ Site, South Africa" Atmosphere 11, no. 6: 586. https://doi.org/10.3390/atmos11060586
APA StyleMkololo, T., Mbatha, N., Sivakumar, V., Bègue, N., Coetzee, G., & Labuschagne, C. (2020). Stratosphere–Troposphere Exchange and O3 Variability in the Lower Stratosphere and Upper Troposphere over the Irene SHADOZ Site, South Africa. Atmosphere, 11(6), 586. https://doi.org/10.3390/atmos11060586

