Next Article in Journal
Model Performance Differences in Fine-Mode Nitrate Aerosol during Wintertime over Japan in the J-STREAM Model Inter-Comparison Study
Next Article in Special Issue
Nanoparticle Number Concentration in the Air in Relation to the Time of the Year and Time of the Day
Previous Article in Journal
Source Characteristics of Atmospheric CO2 and CH4 in a Northeastern Highland Area of South Korea
Previous Article in Special Issue
Detailed Assessment of the Effects of Meteorological Conditions on PM10 Concentrations in the Northeastern Part of the Czech Republic
 
 
Font Type:
Arial Georgia Verdana
Font Size:
Aa Aa Aa
Line Spacing:
Column Width:
Background:
Article

Air Quality in Brno City Parks

1
Transport Research Centre, Lisenska 33a, 636 00 Brno, Czech Republic
2
Department of Agrochemistry, Soil Science, Microbiology and Plant Nutrition, Faculty of AgriSciences, Mendel University in Brno, Zemedelska 1, 613 00 Brno, Czech Republic
3
Institute of Chemistry and Technology of Environmental Protection, Brno University of Technology, Faculty of Chemistry, Purkynova 118, 621 00 Brno, Czech Republic
*
Author to whom correspondence should be addressed.
Atmosphere 2020, 11(5), 510; https://doi.org/10.3390/atmos11050510
Submission received: 30 March 2020 / Revised: 11 May 2020 / Accepted: 12 May 2020 / Published: 15 May 2020
(This article belongs to the Special Issue Ambient Air Quality in the Czech Republic)

Abstract

Parks embody an important element of urban infrastructure and a basic type of public space that shapes the overall character of a city. They form a counterweight to built-up areas and public spaces with paved surfaces. In this context, parks compensate for the lack of natural, open landscapes in cities and thus have a fundamental impact on the quality of life of their inhabitants. For this reason, it is important to consider the quality of the environment in urban parks, air quality in particular. Concentrations of gaseous pollutants, namely, nitric oxide (NO), nitrogen dioxide (NO2), and ozone (O3), were measured in parks of Brno, the second-largest city in the Czech Republic. Relevant concentration values of PM10 solids were determined continuously via the nephelometric method, followed by gravimetric method-based validation. The results obtained through the measurement of wind direction, wind speed, temperature, and relative humidity were used to identify potential sources of air pollution in parks. The “openair” and “openairmaps” packages from the OpenSource software R v. 3.6.2 were employed to analyze the effect of meteorological conditions on air pollution. Local polar concentration maps found use in localizing the most serious sources of air pollution within urban parks. The outcomes of the analyses show that the prevailing amount of the pollution determined at the measuring point most likely originates from the crossroads near the sampled localities. At the monitored spots, the maximum concentrations of pollutants are reached especially during the morning rush hour. The detailed time and spatial course of air pollution in the urban parks were indicated in the respective concentration maps capturing individual pollutants. Significantly increased concentrations of nitrogen oxides were established in a locality situated near a busy road (with the traffic intensity of 33,000 vehicles/d); this scenario generally applied to colder weather. The highest PM10 concentrations were measured at the same location and at an average temperature that proved to be the lowest within the entire set of measurements. In the main city park, unlike other localities, higher concentrations of PM10 were measured in warmer weather; such an effect was probably caused by the park being used to host barbecue parties.

1. Introduction

Urban green spaces, namely, city parks, are very often considered localities providing the best air quality in a city, and thus they become frequently targeted by citizens seeking relaxation and active recreation. However, there are very few studies supporting this generally accepted claim.
Xing et al. [1,2,3] noticed improved air quality in small urban parks within a distance from surrounding streets due to the dispersion of air pollutants within park areas. Importantly in this context, trees can reduce wind speed and potentially trap pollutants. Most available studies point to a reduction of PM concentration levels inside city parks. Von Schneidemesser [4] stated that suitably distributed greenery can decrease the concentration of PMs by 20%, down to relative ambient average concentrations. Ou et al. [5] monitored PM2.5 and PM10 mass concentrations during the fall of 2018, identifying a significant drop in both PM10 and PM2.5 levels close to parks. A decrease of 23% in the total mass of PM2.5 in a national park compared to an urban area is presented in paper [6]. Zhu et al. [7] analyzed the impact exerted by different types of plant communities on ambient PM10 and PM2.5 concentrations by using a spatial model. The results showed that differences in the levels of ambient PM concentrations among plant communities resulted from their composition and also other factors, including height (significantly lower ambient PM concentrations were recorded near small plants, namely, ones of less than 1 m), leaf area, or distance from the pollution source or edge of the park. Greenery increases the efficiency of reduction in ambient PM concentrations; however, this capability markedly depends on the season of the year. A significant decrease of PM2.5 concentrations in La Carolina, a large city park in Ecuador, was described in [8]. Otosen et al. [9] measured differences in PM1.0, PM2.5, PM10, NO2, and CO concentrations in front of and behind vegetation barriers along roads (hedges during dormancy and the vegetative period). This type of greenery can mitigate the effects of air pollution generated by traffic, and, truly, a decrease in PM concentrations was measured. Contrariwise, no impact on the concentration of gasses was determined. In a relevant study by Abhijith and Kumar [10], the concentrations of PM10, PM2.5, PM1.0, and black carbon were established in close vicinity of the three types of green infrastructure. The influence of separate hedges or shrubs, separate trees, and a mixture of trees and hedges/shrubs was assessed when located at different distances from a road, namely, at very close (<1 m from the road) and more remote (>2 m from the road) spots. The most prominent reductions were recorded in a mixture of trees and hedges under close distance conditions and in separate hedges positioned more remotely. An assessment of various PM fractions showed that separate hedges and a combination of trees and hedges decrease fine particle concentrations behind the green barrier. Relevant analyses then indicated a reduction of vehicle-related particles (i.e., those containing iron and its oxides, Ba, Cr, Mn) in the background of the green infrastructure, as compared to the front area. A similar paper on green infrastructure barriers, Mori et al. [11], characterized measurements of PMs sized between 0.2 µm and 100 µm. The authors described a reduction in PM particles at different distances from the road (measured by passive samplers), proposing that the actual results are influenced by different planting densities in two different green vegetation types of two heights.
Air pollution and human health, as well as green infrastructure and human health, are often studied together. Linking green infrastructure with air quality and human health is an aspect of interest for Kumar et al., who, in a corresponding review [12], concluded that although urban vegetation can bring health benefits, the knowledge of its wider applicability in efforts to reduce air pollution remains overly insufficient and must be further refined. Almedia et al. [13] discussed differences in pollutant concentrations (PM10, NO2, and O3) between schools near roads in urban areas and schools adjacent to forests and roads in the same environment. The results correlate with respiratory problems exhibited by children within all areas of interest. The PM10 and NO2 concentrations proved to be higher at points closer to roads with intense traffic flows and lower at spots near parks with dense vegetation. Sheridan et al. [14] focused on NOx concentrations in the city of London, especially in parks and playgrounds, finding dangerously high levels of NO2 at all places of interest (playgrounds, parks, and gardens), those open to the influx of the pollutant in particular. Lingberg et al. [15] described a reduction of air pollution in parks within the city of Gothenburg, Sweden; they emphasized the “park effect”, namely, the assumption that parks embody a considerably cleaner local environment thanks to an interaction of two effects: dilution (the distance effect) and deposition. Trees and other vegetation can absorb and capture air pollutants, thus improving the air quality in cities. Due to a lack of local-scale information, the impact of urban parks and forest vegetation on the levels of nitrogen dioxide (NO2) and ground-level ozone (O3) were studied in Baltimore, USA. Yli-Pelkonen et al. [16] concluded that O3 concentrations were significantly lower in tree-covered habitats than in open ones. Conversely, NO2 concentrations did not differ significantly between tree-covered and open habitats, meaning that it is again necessary to stress the choice and variability of greenery. Hewitt et al. [17] discussed several options of how to improve air quality by using different types of green infrastructure, introducing a novel conceptual framework as policy guidance; the authors’ interpretation of the problem includes a flow chart to aid decision-making as regards the “green infrastructure to improve urban air quality”.
Air pollution poses a major risk to human health, causing premature deaths and potentially reducing the quality of life. Quantifying the role of vegetation in curbing air pollution concentrations is an important step. Most current methods to calculate pollution cutback procedures are static and thus represent neither atmospheric transport of pollutants nor pollutants and meteorology interaction. The focus on urban parks as a tool to facilitate air purification and climate regulation embodies the basis of articles by Vieira et al. [18] and Mexia et al. [19]. These authors concluded that ecosystem service strongly depends on the vegetation type; thus, for example, air purification is more pronounced in mixed forest, and carbon reduction is influenced by tree density. Further, Jones et al. [20] developed a method to calculate health benefits directly from changes in pollutant (including PM2.5, NO2, SO2, and O3) concentrations, exploiting an atmospheric chemistry transport model.
In our paper, the concentrations of PM10 solids were determined continuously, by utilizing the nephelometric method followed by gravimetric method-based validation. To identify potential sources of air pollution in parks, we evaluated the air quality within the local environment via correlation with measurements of wind direction, wind speed, temperature, and relative humidity. The “openair” and “openairmaps” packages from the OpenSource software R were employed to analyze the effects of wind on air pollution. Local polar concentration maps found application in locating the directions of wind coming from the most serious air pollution sources. Sampling and analyses were performed to confirm the assumption that the main sources of the pollution at the measuring point are most likely the roads and/or crossroads near the sampled localities.
Due to the information gap concerning air quality in city parks, the goal of our study was to obtain data on air pollution in urban parks and associated details relevant to the relationship between this pollution and meteorological parameters, prominently including temperature, wind speed, and wind direction; in this context, our efforts also involved comparing these data with pollution around the parks. Based on the findings, we then aimed to estimate the sources of air pollution in the monitored parks.

2. Method

2.1. Sampling

The sampling was carried out in three pre-selected city parks in Brno, the Czech Republic; two of the parks are located in areas with a high traffic impact (near main roads), while one is found in a low traffic load environment (a small park inside a courtyard). The main city park of Lužánky exhibits the largest surface area of all the monitored parks, and it is located near the city center, surrounded by roads with heavy traffic. Two air quality monitoring spots were positioned in the park: one place in the middle of the area, and the other on the edge of the park, near a playground and the traffic-laden roads. This park is frequently visited and used for sports and leisure activities, including picnics.
The Koliště park is adjacent to a road with heavy traffic (33,000 cars/d). It occupies a large walking-friendly area, and there is a very popular restaurant in the middle of the park. However, due to the traffic-laden road, the location is not a popular target for sports, children’s activities, or picnics. The air quality was measured near a junction of two main roads.
Tyršův sad is a very small park in the city center, situated inside a courtyard. This park is mostly used only for short walks, especially with dogs. The air quality measurement was performed in the middle of the area.
The devices were installed together at the place of interest.

2.2. Instrumentation

The NO, NO2, O3, and PM10 concentrations were determined by using two Airpointer units (Recordum Messtechnik GmbH, Austria). These devices measure pollutant concentrations via separate modules utilizing type-approved reference methods (NO2/NOX, O3) classified as relevant by the EU, WHO, US-EPA, and other competent responsible organizations worldwide.
The measurement principle to define the levels of NO2/NOx is chemiluminescence (EN14211). The Airpointer NOX module was equipped with a delay loop to measure NO and NO2 from the same sample. An external calibration gas with a concentration of 425 ppb NO in N2 (SIAD, Italy) was employed to periodically check the span point.
The O3 measurement principally exploits UV absorption (EN 14625); for the given purpose, an internal ozone generator to allow regular span point checking was applied.
The parameters are calibrated annually by the Slovak Hydrometeorological Institute.
The Airpointer PM10 module utilizes nephelometry for measuring solid particles’ concentrations. Gravimetric measurements of PM10 concentrations executed within 24 h intervals were carried out to calibrate the nephelometric method. Sequential samplers SVEN LECKEL SEQ 47/50-CD (Sven Leckel Ingenieurbüro GmbH, Germany) were employed for the calibration. The particles were collected on cellulose nitrate filters with the porosity of 1.2 µm (Merck, Germany) and weighed on a Mettler Toledo MX/A microbalance.
The meteorological parameters (air temperature, relative humidity, air pressure, wind speed, and wind direction) were measured by using a compact meteorological station integrated with the Airpointer. These parameters are regularly calibrated by the Czech Metrology Institute.
The data from the Airpointer were downloaded as CSV files and saved in the form of Microsoft Excel files (XLSX). The concentrations measured in ppb were converted to concentrations in µg m−3. The medians, upper and lower quartiles, and other percentiles for the monitored pollutants, temperature, relative humidity, and wind speed were calculated in MS Excel. The results were then processed by the Origin program (OriginLab, USA) to yield graphs. The dependencies of and relationships between the pollutant concentrations on the wind speed and direction were processed via the "openair" and "openairmaps" packages of OpenSource program R [21,22]. The package "openairmaps" supports “openair” for plotting on various maps. The maps include those available via the “ggmap” package, e.g., Google Maps, and leaflet ones to facilitate plotting bivariate polar plots. Our research utilized the "Esri.WorldImagery" map source and the "Non-parametric Wind Regression" (NWR) technique to display the concentration maps as bivariate polar plots.

2.3. Measurement Conditions and Positioning of Instruments

The concentrations of PM10 and also those of the gaseous pollutants NO, NO2, and O3 in three parks within the city of Brno, the Czech Republic, were measured in one-minute intervals. The same scenario was applied to the meteorological conditions, namely, air temperature (T), relative humidity (RH), air pressure (p), wind speed (WS), and wind direction (WD). The NO2 and PM10 measurements at automated air pollution monitoring stations operated by the Czech Hydrometeorological Institute were employed for comparing the measurement results with those acquired at a heavy traffic locality (Údolní, the Hot Spot) and background localities (Arboretum—the natural city background station, and Dětská nemocnice—the commercial city background station). Table 1 and Table 2 show the geographic coordinates of the localities and display the time intervals of the measurement.
Figure 1, Figure 2 and Figure 3 show the positions of the measurement devices at the sampling sites. The devices were secured against theft with chains and connected to a power supply with a cable. The progress of the measurement was checked via an Internet connection through a SIM card.
Figure 4 shows the location of the sampling sites on a map of Brno.

2.4. PM10 Calibration

As nephelometric measurements are performed in one-minute intervals, the conversion factor was calculated for each 24 h measurement interval according to the formula
f = P M 10 g r a v P M 10 n e p h ¯
where
  • P M 10 g r a v is the gravimetric PM10 concentration over 24 h (µg/m3), and
  • P M 10 n e p h ¯ is the average nephelometric PM10 concentration over 24 h (µg/m3)
The calculated emission factor is discontinuous, and was thus smoothed by the function
F a c t o r = f i + f i + 1 f i 2 × t g h p × t t d a y × f l o o r t + t d a y 2 t d a y + 1 ,
where
  • Factor is the smoothed conversion factor in time t
  • fi is the conversion factor for the ith day
  • fi+1 is the conversion factor for the (i + 1)th day
  • p is the smoothing parameter (p = 0.004)
  • t is the time from the start of the measurement (minutes)
  • tday is the length of the day (minutes)
  • floor() is the rounding down function
  • tgh[] is the hyperbolic tangent function
The PM10 concentration was calculated for every minute by the function
P M 10 = F a c t o r × P M 10 n e p h .
An example of the factors’ calculation for the site Tyršův sad is shown in Figure 5.

3. Results and Discussion

Each measurement at a park is represented by a dataset with 20,160 observations, and the measurement at the Koliště road locality is represented by a dataset with 25,920 observations. Therefore, the results were summarized as percentiles and mean values to be calculated in MS Excel. Table 3 shows the intervals in which 90% of the measured values are considered for each parameter.
The results of the measurements at the automatic air pollution monitoring stations were used to compare the air pollution concentrations in the parks and their vicinity. The hourly averages of the NO2 and PM10 concentrations were compared, as the data are measured in hourly intervals. The results are shown in Table 4.
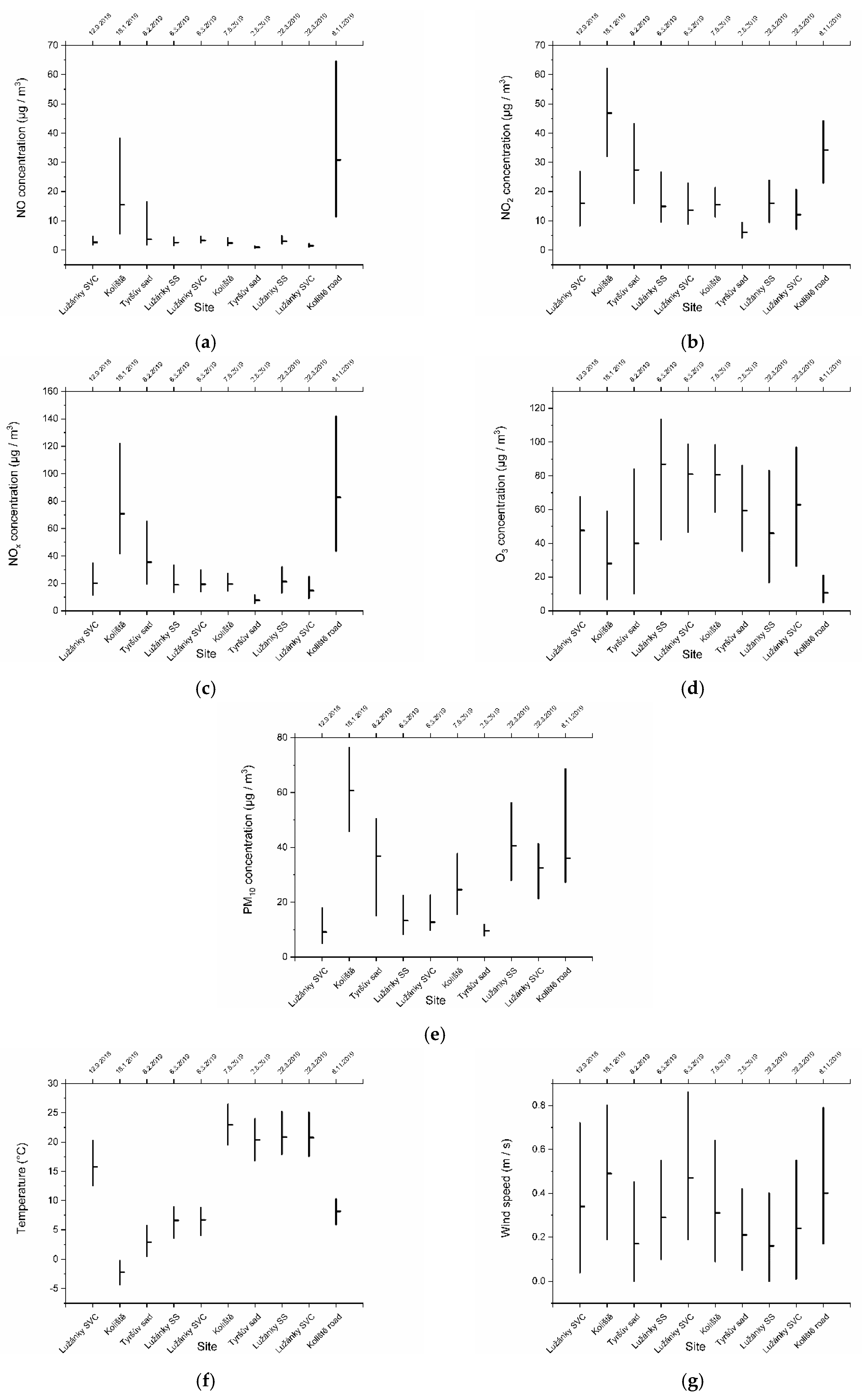
Figure 6 compares the individual mean values (medians) of the measured pollutant concentrations and meteorological parameters. The dispersions of these values are represented through the upper and lower quartiles, an interpretation that is more plausible than that rendered via the mean and standard deviations because the data have an asymmetric statistical distribution. This is also clearly seen in Figure 6: the vertical lines, whose length represents the size of the first and the third quartiles, are not identically long.
The highest NO concentrations were measured in the immediate vicinity of the road adjacent to the Koliště park and then directly in the park; in both cases, the measurement was performed during a cold season (January, November). Similarly, the highest NO2 concentrations were determined next to the road adjacent to the Koliště park and directly in the park (but also in Tyršův sad); in all of the cases, the measurement was carried out during a cold season (January, November, February). The highest total concentrations of nitrogen oxides (NOx) were acquired, as in the NO, in the immediate vicinity of the road adjacent to the Koliště park and directly in the park, during a cold season (January, November). The highest O3 concentrations were measured in springtime, the lowest one in winter. The solid particles detected at Lužánky SVC and Lužánky SS exhibited a higher concentration in August than in the colder months (March, September), which is not a normal effect. This deviation arises from the fact that, in these localities, people often gather for barbecue parties and use the parks’ public cooking facilities during the summer months, whereas the other parks are not frequented for this purpose.
Figure 6f,g shows also the differences between the speeds and variations between the temperatures at the sampling sites, respectively. The March, February, and January temperatures reached significantly lower than the September, August, and June ones.
Figure 7a compares graphically the NO2 air pollution in the parks, with the pollution measured at the reference stations, while Figure 7b displays, in the same manner, the air pollution caused by PM10. The individual measurement campaigns are separated by the red lines. As can be seen, the air pollution in the parks, with the exception of the Koliště park for PM10, was lower than that at the traffic locality, and the pollution at the background localities approached the value. The exception concerning the Koliště park was probably due to the fact that this area is relatively narrow compared to Lužánky; thus, in wintertime, when the vegetation is leafless, it provides less from the dust generated on the nearby busy roads. Moreover, it is obvious from the representation that the parks ensure better air protection from nitrogen oxides than against dust.
The average concentrations of the measured pollutants were compared with the legal limits [23,24], Table 5. The excess values are marked in pink.
It is possible to claim that in most localities the NOx limit for ecosystems and vegetation protection was exceeded, except for Lužánky SVC in March and August 2019, Tyršův sad in August 2019, and Koliště in June 2019. The NO2 concentration reached beyond the human health protection limit only in January 2019, when the lowest average temperature of all measurement campaigns was recorded. The PM10 concentrations exceeded the same limit only at Koliště in January 2019, Koliště road in November 2019, and Lužánky SS in August 2019.
The analysis of the relationship between the individual pollutants’ concentrations, wind speed, and wind direction was utilized to identify the places from which the highest pollutant concentrations reached the sampling site. The concentration scale of the measured pollutants is shown in Figure 12.
The color scale shown in Figure 8 expresses concentrations depending on wind direction (angle coordinate) and wind speed (radius coordinate). Figure 9, Figure 10, Figure 11, Figure 12, Figure 13, Figure 14, Figure 15, Figure 16, Figure 17, Figure 18 introduce the concentration polar maps of the measured pollutants at all of the localities.
Figure 9a,b shows that the highest concentrations of nitrogen oxides were measured with an east wind blowing from the adjacent road. Under the east to northwest wind direction, the lowest ozone concentrations were measured (Figure 9d). The lowest PM10 concentration was obtained in north and south winds, meaning that transport embodies the most likely source of the nitrogen oxides; there is a larger amount of PM10 sources; and, probably, the activities pursued within the area contribute to the dust circulation in the park (Figure 9c).
Figure 10a,b shows that the highest concentrations of nitrogen oxides were measured with east and west winds blowing from the adjacent road and the opposite side. The impact of traffic on the road west of the park, which had not manifested itself in January, probably shows here. From the south through the east to the northwest, the lowest ozone concentrations were measured (Figure 10d). The highest PM10 concentrations were acquired in calm weather.
Figure 11a–c shows that the highest concentrations of nitrogen oxides and PM10 were measured with northwest wind blowing in the direction of the vehicles traveling towards the Airpointer along the near lane of the road. At the same wind direction, we measured the lowest concentrations of O3 (Figure 11d), meaning that both the oxides of nitrogen and the PM10 had most likely originated from traffic in this case.
Figure 12a indicates that the highest NO concentrations were measured with a east wind. The highest NO2 concentrations were determined in eastern wind directions, namely, from the south to the north, similarly to PM10 (Figure 12b,c). At low wind speeds, we acquired the lowest O3 concentrations of the (Figure 12d), meaning that both the NO2 and the PM10 had probably been generated by similar sources. The NO had most likely originated from the traffic on the road east of the park.
Figure 13a indicates that the highest NO concentrations were measured with a north wind, similarly to the situation in Figure 14. The highest NO2 concentrations were acquired under eastern wind directions, namely, from the south to the north, similarly to PM10 (Figure 13b,c). This scenario resembles that represented in Figure 16. In eastern wind directions, we measured the lowest O3 concentrations (Figure 13d). The NO had probably originated from the traffic on the road north of the park.
Figure 14b shows that the highest NO2 concentrations were measured under northern wind directions (Figure 14b). In western to northern wind directions, we established the lowest concentrations of O3 (Figure 14d). The nitrogen oxides had probably originated from the traffic on the road north of the park. The PM10 concentrations did not exhibit any significant relationship to the wind direction in this case.
Figure 15a–c indicates that the highest NO, NO2, and PM10 concentrations were measured under a northeastern wind direction. In the same wind directions, we acquired the lowest concentrations of O3 (Figure 15d). Both the nitrogen oxides and the PM10 had probably been generated by the traffic on the crossroads to the northeast of the park.
Figure 16 displays a situation similar to that shown in Figure 15. It clearly follows from the images in both of the figures that, at the Lužánky SS locality, the traffic pollution (NO) is contained by the Svojsík srub building. At the Lužánky SVC site (Figure 12, Figure 13 and Figure 14), conversely, the NO source is blocked by the Leisure Center from the west.
There are no significant transport-based air pollution sources near Tyršův sad; the air pollution at this location can be rather generated by long-distance transfer or, especially in wintertime, PM10 from local heating. Figure 17 shows the pollution from eastern directions, and Figure 18 displays the ambiguous situation at the site.
As outlined above, the problem of reducing PM concentrations in urban parks has been discussed in diverse papers, e.g., [4,5,6]. Other articles analyzed the impact of urban greenery on NOx, NO2 [14], and O3 [16]. In this study, the outcomes presented within the referenced research reports are followed and developed through such procedural approaches as monitoring the influence of wind and air temperature on pollutant concentrations. The measurements have shown that, in addition to vegetation, seasonal changes of meteorological conditions and human activities in parks embody a substantial aspect modifying the local situation, as observed at Lužánky park in August 2019. The obtained results have confirmed the conclusions proposed by Kumar et al. [12], namely, that progressive steps need to be taken to bring further knowledge in the field. The relationships between O3, NO, and NO2 were studied by Han et al. [25]; interestingly, the outcomes of our research resemble Han et al.’s findings in suggesting that, as regards the study area(s), the daily NO cycle initiated by flue gas emissions from motor vehicles and continued by the related conversion of the pollutant into NO2, had a major impact on the regular ozone process. The daily course of concentrations in these pollutants was similar, too.

4. Conclusions

In four 14-day campaigns, concentrations of NO, NO2, PM10, and O3 were measured at five diverse locations, of which four were enclosed within Brno parks and one set at a road adjacent to a park. Compared to the average values, significantly higher nitrogen oxide concentrations were determined at the monitored spots of Koliště and Koliště-road in colder weather. Both of the locations are situated near a busy road exhibiting a traffic intensity of 33,000 vehicles/d. In terms of PM10, the highest concentrations were obtained at Koliště park, with an average air temperature that proved to be the lowest among the values adopted for the other measurements. At Lužánky park, the PM10 concentrations measured in warmer weather reached higher than those acquired during colder periods—an effect probably caused by the park being a popular public barbecue place. Using the "openairmaps" software package, we determined the directions pointing to the main sources of pollution at the individual spots. Based on this procedure, it was estimated that the main air pollution sources affecting the parks lie in the adjacent roads and crossroads. In some cases, however, human activities of people in the parks (barbecue) can also be regarded as important or semi-critical. By extension, we established that the overall surface layout, prominently including buildings in the park, can locally shield the impact of traffic on the air quality. Interestingly, the air quality in the parks approached that of the urban background locations, except for Koliště park, which, due to its shape and proximity to a very busy road, showed the characteristics of a regular traffic location.

Author Contributions

Conceptualization, J.H. (Jiří Huzlík); Data curation, J.H. (Jitka Hegrová) and K.E.; Formal analysis, J.H. (Jiří Huzlík), J.H. (Jitka Hegrová) and K.E.; Funding acquisition, J.H. (Jitka Hegrová) and M.B.; Investigation, J.H. (Jiří Huzlík) and R.L.; Methodology, J.H. (Jiří Huzlík), J.H. (Jitka Hegrová), R.L. and M.B.; Project administration, J.H. (Jitka Hegrová), R.L. and M.B.; Resources, J.H. (Jiří Huzlík), J.H. (Jitka Hegrová) and K.E.; Supervision, J.H. (Jitka Hegrová), R.L. and M.B.; Validation, J.H. (Jiří Huzlík), J.H. (Jitka Hegrová) and R.L.; Visualization, J.H. (Jiří Huzlík) and R.L.; Writing—original draft, J.H. (Jiří Huzlík) and R.L.; Writing—review & editing, J.H. (Jiří Huzlík), J.H. (Jitka Hegrová), K.E. and R.L. All authors have read and agreed to the published version of the manuscript.

Funding

This article was produced under support from the Technology Agency of the Czech Republic within the ÉTA framework, project TL01000286, on the research infrastructure acquired from the Operational Programme Research and Development for Innovations (CZ.1.05/2.1.00/03.0064).

Conflicts of Interest

The authors declare no conflicts of interest. The funders had no role in the designing of the study; in the collection, analyses, or interpretation of the data; in the writing of the manuscript; or in the decision to publish the results.

References and Note

  1. Xing, Y.; Brimblecombe, P. Urban park layout and exposure to traffic-derived air pollutants. Landsc. Urban Plan. 2020, 194, 103682. [Google Scholar] [CrossRef]
  2. Xing, Y.; Brimblecombe, P. Trees and parks as, the lungs of cities. Urban For. Urban Green. 2020, 48, 126552. [Google Scholar] [CrossRef]
  3. Xing, Y.; Brimblecombe, P. Role of vegetation in deposition and dispersion of air pollution in urban parks. Atmos. Environ. 2019, 201, 73–83. [Google Scholar] [CrossRef]
  4. Von Schneidemesser, E.; Steinmar, K.; Weatherhead, E.C.; Bonn, B.; Gerwig, H.; Quedenau, J. Air pollution at human scales in an urban environment: Impact of local environment and vehicles on particle number concentrations. Sci. Total Environ. 2019, 688, 691–700. [Google Scholar] [CrossRef]
  5. Qu, H.; Lu, X.; Liu, L.; Ye, Y. Effects of traffic and urban parks on PM10 and PM2.5 mass concentrations. Energy Sour. Part A Recover. Util. Environ. Eff. 2019, 1–13. [Google Scholar] [CrossRef]
  6. Kang, S.; Kang, T.; Park, T.; Park, G.; Lee, J.; Hong, J.-W.; Hong, J.; Lee, J.; Lee, T. Characterization of Aerosol Composition, Concentration, and Sources in Bukhansan National Park, Korea. J. Korean Soc. Atmos. Environ. 2018, 34, 457–468. [Google Scholar] [CrossRef]
  7. Zhu, C.; Przybysz, A.; Chen, Y.; Guo, H.; Chen, Y.; Zeng, Y. Effect of spatial heterogeneity of plant communities on air PM10 and PM2.5 in an urban forest park in Wuhan, China. Urban For. Urban Green. 2019, 46, 126487. [Google Scholar] [CrossRef]
  8. Hernandez, W.; Mendez, A.; Diaz-Marquez, A.M.; Zalakeviciute, R.; Zalakeviciute, R.; Marquez, D. Robust Analysis of PM2.5 Concentration Measurements in the Ecuadorian Park La Carolina. Sensors 2019, 19, 4648. [Google Scholar] [CrossRef]
  9. Ottosen, T.-B.; Kumar, P. The influence of the vegetation cycle on the mitigation of air pollution by a deciduous roadside hedge. Sustain. Cities Soc. 2020, 53, 101919. [Google Scholar] [CrossRef]
  10. Abhijith, K.; Kumar, P. Field investigations for evaluating green infrastructure effects on air quality in open-road conditions. Atmos. Environ. 2019, 201, 132–147. [Google Scholar] [CrossRef]
  11. Mori, J.; Fini, A.; Galimberti, M.; Ginepro, M.; Burchi, G.; Massa, D.; Ferrini, F. Air pollution deposition on a roadside vegetation barrier in a Mediterranean environment: Combined effect of evergreen shrub species and planting density. Sci. Total Environ. 2018, 643, 725–737. [Google Scholar] [CrossRef] [PubMed]
  12. Kumar, P.; Druckman, A.; Gallagher, J.; Gatersleben, B.; Allison, S.; Eisenman, T.S.; Hoang, U.; Hama, S.; Tiwari, A.; Sharma, A.; et al. The nexus between air pollution, green infrastructure and human health. Environ. Int. 2019, 133, 105181. [Google Scholar] [CrossRef] [PubMed]
  13. Almeida, L.D.O.E.; Favaro, A.; Raimundo-Costa, W.; Anhê, A.C.B.M.; Ferreira, D.C.; Blanes-Vidal, V.; Senhuk, A.P.M.D.S. Influence of urban forest on traffic air pollution and children respiratory health. Environ. Monit. Assess. 2020, 192, 175. [Google Scholar] [CrossRef] [PubMed]
  14. Sheridan, C.E.; Roscoe, C.J.; Gulliver, J.; De Preux, L.; Fecht, D. Inequalities in Exposure to Nitrogen Dioxide in Parks and Playgrounds in Greater London. Int. J. Environ. Res. Public Health 2019, 16, 3194. [Google Scholar] [CrossRef] [PubMed]
  15. Klingberg, J.; Broberg, M.C.; Strandberg, B.; Thorsson, P.; Pleijel, H. Influence of urban vegetation on air pollution and noise exposure—A case study in Gothenburg, Sweden. Sci. Total Environ. 2017, 599, 1728–1739. [Google Scholar] [CrossRef]
  16. Yli-Pelkonen, V.; Scott, A.A.; Viippola, V.; Setälä, H.M. Trees in urban parks and forests reduce O3, but not NO2 concentrations in Baltimore, MD, USA. Atmos. Environ. 2017, 167, 73–80. [Google Scholar] [CrossRef]
  17. Hewitt, C.N.; Ashworth, K.; MacKenzie, R. Using green infrastructure to improve urban air quality (GI4AQ). Ambio 2019, 49, 62–73. [Google Scholar] [CrossRef] [PubMed]
  18. Vieira, J.; Matos, P.; Mexia, T.; Silva, P.; Lopes, N.; Freitas, C.; Correia, O.; Santos-Reis, M.; Branquinho, C.; Pinho, P. Green spaces are not all the same for the provision of air purification and climate regulation services: The case of urban parks. Environ. Res. 2018, 160, 306–313. [Google Scholar] [CrossRef]
  19. Mexia, T.; Vieira, J.; Príncipe, A.; Anjos, A.; Silva, P.; Lopes, N.; Freitas, C.; Santos-Reis, M.; Correia, O.; Branquinho, C.; et al. Ecosystem services: Urban parks under a magnifying glass. Environ. Res. 2018, 160, 469–478. [Google Scholar] [CrossRef]
  20. Jones, L.; Vieno, M.; Fitch, A.; Carnell, E.J.; Steadman, C.; Cryle, P.; Holland, M.; Nemitz, E.; Morton, D.; Hall, J.; et al. Urban natural capital accounts: Developing a novel approach to quantify air pollution removal by vegetation. J. Environ. Econ. Policy 2019, 8, 413–428. [Google Scholar] [CrossRef]
  21. Anonymous. The R Project for Statistical Computing. Available online: http://www.r-project.org/ (accessed on 13 February 2012).
  22. Carslaw, D.; Ropkins, K. Openair—An R package for air quality data analysis. Environ. Model. Softw. 2012, 27, 52–61. [Google Scholar] [CrossRef]
  23. Directive 2008/50/EC of the European Parliament and of the Council of 21 May 2008 on ambient air quality and cleaner air for Europe. Available online: https://eur-lex.europa.eu/legal-content/en/ALL/?uri=CELEX%3A32008L0050 (accessed on 12 May 2020).
  24. Act 201/2012 Coll. Of the Czech Republic of 2 May 2012 on Air Protection.
  25. Han, S.; Bian, H.; Feng, Y.; Liu, A.; Li, X.; Zeng, F.; Zhang, X. Analysis of the Relationship between O3, NO and NO2 in Tianjin, China. Aerosol Air Qual. Res. 2011, 11, 128–139. [Google Scholar] [CrossRef]
Figure 1. The devices at Tyršův sad.
Figure 1. The devices at Tyršův sad.
Atmosphere 11 00510 g001
Figure 2. The devices at Lužánky: (a) Svojsík’s Cabin; (b) Leisure Centre.
Figure 2. The devices at Lužánky: (a) Svojsík’s Cabin; (b) Leisure Centre.
Atmosphere 11 00510 g002
Figure 3. The devices at Koliště: (a) Inside the park; (b) at the adjacent roadway.
Figure 3. The devices at Koliště: (a) Inside the park; (b) at the adjacent roadway.
Atmosphere 11 00510 g003
Figure 4. The sampling (yellow marks) and reference (green marks) localities.
Figure 4. The sampling (yellow marks) and reference (green marks) localities.
Atmosphere 11 00510 g004
Figure 5. A comparison of the factors for the locality Tyršův sad from 2.8.2019 7:00:00 to 16.8.2019 6:59:00.
Figure 5. A comparison of the factors for the locality Tyršův sad from 2.8.2019 7:00:00 to 16.8.2019 6:59:00.
Atmosphere 11 00510 g005
Figure 6. The NO (a), NO2 (b), NOx (c), O3 (d), and PM10 (e) concentrations and temperature (f) plus wind speed (g) measured in the parks: the medians and quartiles.
Figure 6. The NO (a), NO2 (b), NOx (c), O3 (d), and PM10 (e) concentrations and temperature (f) plus wind speed (g) measured in the parks: the medians and quartiles.
Atmosphere 11 00510 g006
Figure 7. The NO2 (a) and PM10 (b) concentrations in the parks and at the automated air pollution monitoring sites.
Figure 7. The NO2 (a) and PM10 (b) concentrations in the parks and at the automated air pollution monitoring sites.
Atmosphere 11 00510 g007
Figure 8. The concentration scale for the “openmaps” graphs.
Figure 8. The concentration scale for the “openmaps” graphs.
Atmosphere 11 00510 g008
Figure 9. The NO (a), NO2 (b), PM10 (c), and O3 (d) concentration relationships to the wind speed and direction at Koliště; sampling started on 18.1.2019 7:00.
Figure 9. The NO (a), NO2 (b), PM10 (c), and O3 (d) concentration relationships to the wind speed and direction at Koliště; sampling started on 18.1.2019 7:00.
Atmosphere 11 00510 g009
Figure 10. The NO (a), NO2 (b), PM10 (c), and O3 (d) concentration relationships to the wind speed and direction at Koliště; sampling started on 7.6.2019 7:00.
Figure 10. The NO (a), NO2 (b), PM10 (c), and O3 (d) concentration relationships to the wind speed and direction at Koliště; sampling started on 7.6.2019 7:00.
Atmosphere 11 00510 g010
Figure 11. The NO (a), NO2 (b), PM10 (c), and O3 (d) concentration relationships to the wind speed and direction at Koliště road; sampling started on 8.11.2019 0:00.
Figure 11. The NO (a), NO2 (b), PM10 (c), and O3 (d) concentration relationships to the wind speed and direction at Koliště road; sampling started on 8.11.2019 0:00.
Atmosphere 11 00510 g011
Figure 12. The NO (a), NO2 (b), PM10 (c), and O3 (d) concentration relationships to the wind speed and direction at Lužánky SVC; sampling started on 12.9.2018 12:00.
Figure 12. The NO (a), NO2 (b), PM10 (c), and O3 (d) concentration relationships to the wind speed and direction at Lužánky SVC; sampling started on 12.9.2018 12:00.
Atmosphere 11 00510 g012
Figure 13. The NO (a), NO2 (b), PM10 (c), and O3 (d) concentration relationships to the wind speed and direction at Lužánky SVC; sampling started on 6.3.2019 7:00.
Figure 13. The NO (a), NO2 (b), PM10 (c), and O3 (d) concentration relationships to the wind speed and direction at Lužánky SVC; sampling started on 6.3.2019 7:00.
Atmosphere 11 00510 g013
Figure 14. The NO (a), NO2 (b), PM10 (c), and O3 (d) concentration relationships to the wind speed and direction at Lužánky SVC; sampling started on 22.8.2019 7:00.
Figure 14. The NO (a), NO2 (b), PM10 (c), and O3 (d) concentration relationships to the wind speed and direction at Lužánky SVC; sampling started on 22.8.2019 7:00.
Atmosphere 11 00510 g014
Figure 15. The NO (a), NO2 (b), PM10 (c), and O3 (d) concentration relationships to the wind speed and direction at Lužánky SS; sampling started on 6.3.2019 7:00.
Figure 15. The NO (a), NO2 (b), PM10 (c), and O3 (d) concentration relationships to the wind speed and direction at Lužánky SS; sampling started on 6.3.2019 7:00.
Atmosphere 11 00510 g015
Figure 16. The NO (a), NO2 (b), PM10 (c), and O3 (d) concentration relationships to the wind speed and direction at Lužánky SS; sampling started on 22.8.2019 7:00.
Figure 16. The NO (a), NO2 (b), PM10 (c), and O3 (d) concentration relationships to the wind speed and direction at Lužánky SS; sampling started on 22.8.2019 7:00.
Atmosphere 11 00510 g016
Figure 17. The NO (a), NO2 (b), PM10 (c), and O3 (d) concentration relationships to the wind speed and direction at Tyršův sad; sampling started on 8.2.2019 7:00.
Figure 17. The NO (a), NO2 (b), PM10 (c), and O3 (d) concentration relationships to the wind speed and direction at Tyršův sad; sampling started on 8.2.2019 7:00.
Atmosphere 11 00510 g017
Figure 18. The NO (a), NO2 (b), PM10 (c), and O3 (d) concentration relationships to the wind speed and direction at Tyršův sad; sampling started on 2.8.2019 7:00.
Figure 18. The NO (a), NO2 (b), PM10 (c), and O3 (d) concentration relationships to the wind speed and direction at Tyršův sad; sampling started on 2.8.2019 7:00.
Atmosphere 11 00510 g018
Table 1. The geographic coordinates of the measured localities.
Table 1. The geographic coordinates of the measured localities.
Sampling LocalityLatitude ° NLongitude ° E
Tyršův sad49.202712816.6023589
Lužánky SS 149.208338916.6077778
Lužánky SVC 249.206579216.6069417
Koliště49.196689216.6145658
Koliště road 349.197010016.6147853
Úvoz Hot Spot49.198089716.5936431
Arboretum49.216087216.6138364
Dětská nemocnice49.202724416.6162872
1 Site Svojsík’s Cabin. 2 Site Leisure Centre. 3 Site alongside an adjacent roadway.
Table 2. The measurement times related to the localities.
Table 2. The measurement times related to the localities.
Campaign
Start
Campaign
End
Lužánky SS 1Lužánky SVC 2Tyršův SadKolištěÚvozDětská n.ArboretumKoliště Road 3
12.9.2018 12:0026.9.2018 11:59 x
18.1.2019 7:001.2.2019 6:59 xxxx
8.2.2019 7:0022.2.2019 6:59 x xxx
6.3.2019 7:0020.3.2019 6:59xx xxx
7.6.2019 7:0021.6.2019 6:59 xxxx
2.8.2019 7:0016.8.2019 6:59 x
22.8.2019 7:005.9.2019 6:59xx
8.11.2019 0:0025.11.2019 23:59 x
1 Site Svojsík’s Cabin. 2 Site Leisure Centre. 3 Site alongside an adjacent roadway.
Table 3. The measurement results: the 0.05 and 0.95 percentiles of the measured parameters.
Table 3. The measurement results: the 0.05 and 0.95 percentiles of the measured parameters.
SiteStartPercentileNO
µg/m3
NO2
µg/m3
NOx
µg/m3
PM10
µg/m3
O3
µg/m3
T
°C
RH
%
WS
m/s
Tyršův sad8.2.2019 7:000.050.928.9010.894.053.42−1.1655.500.00
0.95133.5476.87286.1775.44116.789.5692.330.90
Tyršův sad2.8.2019 7:000.050.502.773.996.0517.4313.9640.540.00
0.954.8018.6625.0917.05102.2128.2294.270.80
Lužánky SVC12.9.2018 12:000.051.234.106.673.101.015.5244.480.00
0.9540.7454.41114.9029.45100.4725.91100.001.52
Lužánky SVC6.3.2019 7:000.052.133.436.957.655.480.5342.930.00
0.9521.7150.4386.0733.21112.6712.90100.001.61
Lužánky SVC22.8.2019 7:000.050.744.426.0311.285.4911.4141.590.00
0.9518.2339.6867.5253.80116.8029.2893.921.14
Lužánky SS6.3.2019 7:000.051.184.676.844.642.75−0.1543.380.00
0.9538.4255.78115.5035.88130.5312.9093.551.15
Lužánky SS22.8.2019 7:000.051.556.529.5616.271.7711.7641.540.00
0.9529.2740.7386.3178.20112.0429.62100.000.82
Koliště18.1.2019 7:000.051.2217.6720.2624.194.46−8.6858.530.00
0.95136.7287.80291.13134.1381.961.5892.781.38
Koliště7.6.2019 7:000.050.927.069.856.0619.3916.3743.150.00
0.958.1236.2048.4655.14122.9430.4499.101.25
Koliště road8.11.2019 0:000.051.8511.3415.0021.612.962.3473.240.00
0.95153.8861.53288.6093.2634.3012.3694.731.74
Table 4. The results of the measurement at the Automated Air Pollution Monitoring Stations—the 0.05 and 0.95 percentiles of the measured concentrations.
Table 4. The results of the measurement at the Automated Air Pollution Monitoring Stations—the 0.05 and 0.95 percentiles of the measured concentrations.
Automated Air Pollution Monitoring StationStartPercentileNO2
µg/m3
PM10
µg/m3
Úvoz18.1.2019 7:000.0523.0124.75
0.9586.46119.25
Arboretum18.1.2019 7:000.0513.6013.55
0.9560.65101.23
Dětská nemocnice18.1.2019 7:000.0513.6013.75
0.9579.80108.00
Úvoz8.2.2019 7:000.0519.178.75
0.9582.0891.75
Arboretum8.2.2019 7:000.0512.958.20
0.9553.2376.00
Dětská nemocnice8.2.2019 7:000.0510.908.00
0.9580.9076.50
Úvoz6.3.2019 7:000.058.432.00
0.9567.2967.25
Arboretum6.3.2019 7:000.056.042.50
0.9540.8827.65
Dětská nemocnice6.3.2019 7:000.053.393.00
0.9554.7228.00
Úvoz7.6.2019 7:000.059.8410.00
0.9575.1644.00
Arboretum7.6.2019 7:000.054.808.58
0.9526.6736.90
Dětská nemocnice7.6.2019 7:000.053.408.00
0.9546.7040.25
Table 5. The average concentrations from the measured localities as compared with the legal limits.
Table 5. The average concentrations from the measured localities as compared with the legal limits.
SiteMeasurement StartNO2NOxPM10O3NO2PM10O3
µg·m−3µg·m−3µg·m−3mg·m−3Count 4
Lužánky SVC12.9.2018 12:0020.5232.7412.0144.95000
Lužánky SVC6.3.2019 7:0018.4128.9616.6071.44000
Lužánky SVC22.8.2019 7:0016.0122.2233.5761.48023
Lužánky SS6.3.2019 7:0020.4633.6516.1677.100020
Lužánky SS22.8.2019 7:0018.5330.3143.4650.46040
Koliště18.1.2019 7:0048.89100.9766.6034.470110
Koliště7.6.2019 7:0017.6622.9427.1677.510014
Koliště road8.11.2019 0:0034.67108.8347.7214.13040
Tyršův sad8.2.2019 7:0032.9567.6136.2048.78040
Tyršův sad2.8.2019 7:007.8610.1810.2059.95000
Legal limits
Annual average limit40 130 240 1
Day average limit 1 50
Day average count 1 35
Hourly average limit 2 200
Hourly average count 2 18
Max 8 h average limit 3 120
Max 8 h average count 3 25
1 Human health protection. 2 Ecosystems and vegetation protection. 3 Limit for tropospheric ozone. 4 Count of legal limit excess instances.

Share and Cite

MDPI and ACS Style

Huzlík, J.; Hegrová, J.; Effenberger, K.; Ličbinský, R.; Brtnický, M. Air Quality in Brno City Parks. Atmosphere 2020, 11, 510. https://doi.org/10.3390/atmos11050510

AMA Style

Huzlík J, Hegrová J, Effenberger K, Ličbinský R, Brtnický M. Air Quality in Brno City Parks. Atmosphere. 2020; 11(5):510. https://doi.org/10.3390/atmos11050510

Chicago/Turabian Style

Huzlík, Jiří, Jitka Hegrová, Karel Effenberger, Roman Ličbinský, and Martin Brtnický. 2020. "Air Quality in Brno City Parks" Atmosphere 11, no. 5: 510. https://doi.org/10.3390/atmos11050510

APA Style

Huzlík, J., Hegrová, J., Effenberger, K., Ličbinský, R., & Brtnický, M. (2020). Air Quality in Brno City Parks. Atmosphere, 11(5), 510. https://doi.org/10.3390/atmos11050510

Note that from the first issue of 2016, this journal uses article numbers instead of page numbers. See further details here.

Article Metrics

Back to TopTop