The Lightning Jump Algorithm for Nowcasting Convective Rainfall in Catalonia
Abstract
1. Introduction
2. Data and Methodology
2.1. Area of Study
2.2. Data
2.2.1. Automatic Weather Station Network
2.2.2. Lightning Location System
2.2.3. XRAD: Radar Network
2.3. Methodology
- (i)
- Accumulated precipitation/day 3 mm
- (ii)
- Number of CG flashes/day 25
- Hourly precipitation: The process starts selecting those pixels with hourly precipitation > 40 mm in the QPE fields combining radar and rain gauges. The size of the pixels is 1 × 1 km2. Those pixels with QPE under this threshold are labeled as null, maintaining only the regions exceeding the cited value. From here, we define as an event (or QPE cell) each one of those pixel regions with rainfall exceeding 40 mm/h in the estimation product generated by combining radar and AWS data. The process of event selection is presented in the top panels and the left one at the bottom of Figure 2. All the consecutive pixels in a rainfall cell were grouped, defining the area and centroid. The equation of the mass centroid allowed the calculation of the centroid position (, ) (see Equations (1) and (2), where is the estimated precipitation at the ith pixel and and are the coordinates of the same pixel). Once the area of the rain cell is estimated, it is possible to determine the time when the maximum rainfall has occurred. The analysis of the reflectivity field allows finding the time, searching for the best correlation in space between the convective cell and the QPE region centroid. The time gap between consecutive imagery was 6 min. The central and right bottom panels of Figure 2 show an example of the procedure. In the presented case, the time of the maximum intensity for the QPE Areas C1 and C2 was 10:00 and 10:36, respectively.
- Relationship between hourly precipitation with LJ or without LJ (woLJ): For each event considered in the previous step, the QPE cells were selected and searched for the presence or not of one or more closed LJ. To link both phenomena (QPE cell and LJ), they must occur in a spatial distance < 50 km and a temporal range < 150 min. Those thresholds from the authors’ experience in 4 years of operational application of the algorithm were selected. Although not usual, it is possible to detect some LJ warnings in thunderstorms that have been produced 2 h or more before the occurrence of the event at the ground. Besides, the LJ notification is registered before (some minutes) the rainfall rate peak, in some particular cases. Continuing with the same situation of Figure 2 and Figure 3 shows the QPE cells C1, C2, and C3 and the LJ L1, L2, and L3 (in all events, the time on the right or at the bottom indicates the time of the maximum rainfall or the occurrence of the LJ, respectively). In the example of the figure, L2 and C3 are related. C3 initially was associated with two LJ, L2 and L3. Both warnings agreed with the restriction of distance, but only the first one verified the condition of time. On the other hand, L1 and L3 and C1 and C2 were independent phenomena because they were not supported by the time and space criteria. It is necessary to clarify that one LJ can be associated with more than one cell if both verify the previous rules. Once all the QPE cells of the full period have been labeled as LJ or woLJ, it is possible to start the other steps of the analysis. We classified the cells into three categories. First, were those cells associated with at least one LJ (in Figure 3, cell C3). refers to those QPE cells that took place during events with LJ, but they could not be linked with any warning because some of the spatial and time constraints were not verified (cells C1 and C2 in the same figure). Finally, occurred without any LJ on the same day. The first part of the analysis considered this classification (Section 3.1 and Section 3.2). On the other hand, a unique class () included the and categories in the last part of the study (Section 3.3 and Section 3.4). This change was because it only mattered if an LJ-cell relationship in the forecasting tasks existed or not.
- Characteristics of lightning activity: All the lightning recorded at a distance less than 50 km with respect to the precipitation’s centroid and 2 h before and after the maximum rainfall value were selected (see Figure 4). The number of IC, +CG, and –CG flashes was calculated for each QPE system, to observe the annual and monthly behavior and to compare the number of flashes between systems with and without LJ.
- Characteristics of weather radar detected convective cells: A similar criterion as used in Point 3 (characteristics of lightning activity) was applied to the radar characteristics (Figure 5). The convective cells selected in the study needed to be detected closer than 25 km with respect to the QPE centroid’s point and, also, a maximum of 2 h or later before the maximum rainfall instant. Through this selection, different radar parameters were studied such as TOP (maximum height of the thunderstorm), VIL (Vertical Integrated Liquid), and the height centroid (that is, the altitude where the mass center of the thunderstorm was located, considering the reflectivity instead of the mass), among others.
- Monthly and spatial distribution of the precipitation: The last step of the present analysis resulted in the monthly and spatial distribution of the QPE cells, to make a better characterization of them. In this case, both groups (with and without LJ) were analyzed. Furthermore, we evaluated the capability of the LJ for forecasting heavy rain events for the same time distributions, by means of different skill scores.
3. Results
3.1. Monthly, Hourly, and Spatial Distribution of the Events
3.2. Monthly Distribution of Flashes Associated with QPE Cells
3.3. Radar Parameters of Thunderstorms Associated with Events
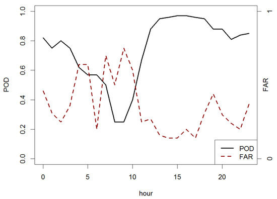
3.4. Validation of the LJ as a Tool to Forecast Heavy Rainfall
4. Discussion
5. Conclusions
Author Contributions
Funding
Acknowledgments
Conflicts of Interest
Abbreviations
| LJ | Lightning Jump |
| POD | Probability Of Detection |
| FAR | False Alarm Ratio |
| IC | Intra-Cloud flash |
| CG | Cloud-to-Ground flash |
| TOP | Radar echo Top |
| VIL | Vertical Integrated Liquid |
| UTC | Coordinated Universal Time |
| LT | Lead Time |
| SMC | Servei Meteorològic de Catalunya (Meteorological Service of Catalonia) |
| XEMA | Xarxa d’Estacions Meteorològiques Automàtiques (Automatic Weather Station Network) |
| AWS | Automatic Weather Station |
| XDDE | Xarxa de Detectors de Descàrregues Elèctriques (Lightning Location System Network) |
| DE | Detection Efficiency |
| LF | Low Frequency |
| VHF | Very High Frequency |
| XRAD | Xarxa de Radar de Catalunya (Catalan Radar Network) |
| QPE | Quantitative Precipitating Estimation |
References
- Dimitrova, T.; Mitzeva, R.; Betz, H.D.; Zhelev, H.; Diebel, S. Lightning behavior during the lifetime of severe thunderstorms. Geophys. Res 2011, 103, 13979–14000. [Google Scholar]
- Steiger, S.M.; Orville, R.E.; Carey, L.D. Total lightning signatures of thunderstorm intensity over north Texas. Part II: Mesoscale convective systems. Mon. Weather Rev. 2007, 135, 3303–3324. [Google Scholar] [CrossRef]
- Goodman, S.J.; Blakeslee, R.; Christian, H.; Koshak, W.; Bailey, J.; Hall, J.; McCaul, E.; Buechler, D.; Darden, C.; Burks, J.; et al. The North Alabama lightning mapping array: Recent severe storm observations and future prospects. Atmos. Res. 2005, 76, 423–437. [Google Scholar] [CrossRef]
- Farnell, C.; Rigo, T.; Pineda, N. Lightning jump as a nowcast predictor: Application to severe weather events in Catalonia. Atmos. Res. 2017, 183, 130–141. [Google Scholar] [CrossRef]
- Farnell, C.; Rigo, T.; Pineda, N. Exploring radar and lightning variables associated with the Lightning Jump. Can we predict the size of the hail? Atmos. Res. 2018, 202, 175–186. [Google Scholar] [CrossRef]
- Williams, E.; Boldi, B.; Matlin, A.; Weber, M.; Hodanish, S.; Sharp, D.; Goodman, S.; Raghavan, R.; Buechler, D. The behavior of total lightning activity in severe Florida thunderstorms. Atmos. Res. 1999, 51, 245–265. [Google Scholar] [CrossRef]
- Darden, C.B.; Nadler, D.J.; Carcione, B.C.; Blakeslee, R.J.; Stano, G.T.; Buechler, D.E. Utilizing total lightning information to diagnose convective trends. Bull. Am. Meteorol. Soc. 2010, 91, 167–176. [Google Scholar] [CrossRef]
- Fehr, T.; Dotzek, N.; Höller, H. Comparison of lightning activity and radar-retrieved microphysical properties in EULINOX storms. Atmos. Res. 2005, 76, 167–189. [Google Scholar] [CrossRef]
- Kane, R.J. Correlating lightning to severe local storms in the northeastern United States. Weather Forecast. 1991, 6, 3–12. [Google Scholar] [CrossRef]
- Lang, T.J.; Rutledge, S.A.; Dye, J.E.; Venticinque, M.; Laroche, P.; Defer, E. Anomalously low negative cloud-to-ground lightning flash rates in intense convective storms observed during STERAO-A. Mon. Weather Rev. 2000, 128, 160–173. [Google Scholar] [CrossRef]
- Schultz, C.J.; Petersen, W.A.; Carey, L.D. Lightning and severe weather: A comparison between total and cloud-to-ground lightning trends. Weather Forecast. 2011, 26, 744–755. [Google Scholar] [CrossRef]
- Tessendorf, S.A.; Rutledge, S.A.; Wiens, K.C. Radar and lightning observations of normal and inverted polarity multicellular storms from STEPS. Mon. Weather Rev. 2007, 135, 3682–3706. [Google Scholar] [CrossRef]
- Carey, L.D.; Rutledge, S.A. Electrical and multiparameter radar observations of a severe hailstorm. J. Geophys. Res. Atmos. 1998, 103, 13979–14000. [Google Scholar] [CrossRef]
- Deierling, W.; Petersen, W.A.; Latham, J.; Ellis, S.; Christian, H.J. The relationship between lightning activity and ice fluxes in thunderstorms. J. Geophys. Res. Atmos. 2008, 113. [Google Scholar] [CrossRef]
- Wiens, K.C.; Rutledge, S.A.; Tessendorf, S.A. The 29 June 2000 supercell observed during STEPS. Part II: Lightning and charge structure. J. Atmos. Sci. 2005, 62, 4151–4177. [Google Scholar] [CrossRef]
- Carey, L.D.; Schultz, E.V.; Schultz, C.J.; Deierling, W.; Petersen, W.A.; Bain, A.L.; Pickering, K.E. An Evaluation of Relationships between Radar-Inferred Kinematic and Microphysical Parameters and Lightning Flash Rates in Alabama Storms. Atmosphere 2019, 10, 796. [Google Scholar] [CrossRef]
- Ramis, C.; Arús, J.; López, J.M.; Mestres, A.M. Two cases of severe weather in Catalonia (Spain): An observational study. Meteorol. Appl. 1997, 4, 207–217. [Google Scholar] [CrossRef]
- Pineda, N.; Bech, J.; Rigo, T.; Montanyà, J. A Mediterranean nocturnal heavy rainfall and tornadic event. Part II: Total lightning analysis. Atmos. Res. 2011, 100, 638–648. [Google Scholar] [CrossRef]
- Koutroulis, A.; Grillakis, M.; Tsanis, I.; Kotroni, V.; Lagouvardos, K. Lightning activity, rainfall and flash flooding–occasional or interrelated events? A case study in the island of Crete. Nat. Hazards Earth Syst. Sci. 2012, 12, 881–891. [Google Scholar] [CrossRef]
- Iordanidou, V.; Koutroulis, A.; Tsanis, I. Investigating the relationship of lightning activity and rainfall: A case study for Crete Island. Atmos. Res. 2016, 172, 16–27. [Google Scholar] [CrossRef]
- Wu, F.; Cui, X.; Zhang, D.L.; Qiao, L. The relationship of lightning activity and short-duration rainfall events during warm seasons over the Beijing metropolitan region. Atmos. Res. 2017, 195, 31–43. [Google Scholar] [CrossRef]
- Liu, C.; Cecil, D.J.; Zipser, E.J.; Kronfeld, K.; Robertson, R. Relationships between lightning flash rates and radar reflectivity vertical structures in thunderstorms over the tropics and subtropics. J. Geophys. Res. Atmos. 2012, 117. [Google Scholar] [CrossRef]
- Basarab, B.; Rutledge, S.; Fuchs, B. An improved lightning flash rate parameterization developed from Colorado DC3 thunderstorm data for use in cloud-resolving chemical transport models. J. Geophys. Res. Atmos. 2015, 120, 9481–9499. [Google Scholar] [CrossRef]
- Tippett, M.K.; Koshak, W.J. A baseline for the predictability of US cloud-to-ground lightning. Geophys. Res. Lett. 2018, 45, 10–719. [Google Scholar] [CrossRef]
- Romps, D.M.; Seeley, J.T.; Vollaro, D.; Molinari, J. Projected increase in lightning strikes in the United States due to global warming. Science 2014, 346, 851–854. [Google Scholar] [CrossRef] [PubMed]
- Wu, F.; Cui, X.; Zhang, D.L. A lightning-based nowcast-warning approach for short-duration rainfall events: Development and testing over Beijing during the warm seasons of 2006–2007. Atmos. Res. 2018, 205, 2–17. [Google Scholar] [CrossRef]
- Illingworth, A.; Latham, J. Calculations of electric field growth, field structure and charge distributions in thunderstorms. Q. J. R. Meteorol. Soc. 1977, 103, 281–295. [Google Scholar] [CrossRef]
- Takahashi, T. Riming electrification as a charge generation mechanism in thunderstorms. J. Atmos. Sci. 1978, 35, 1536–1548. [Google Scholar] [CrossRef]
- Lamb, D. Rain production in convective storms. In Severe Convective Storms; Springer: Berlin, Germany, 2001; pp. 299–321. [Google Scholar]
- Pineda, N.; Rigo, T.; Bech, J.; Soler, X. Lightning and precipitation relationship in summer thunderstorms: Case studies in the North Western Mediterranean region. Atmos. Res. 2007, 85, 159–170. [Google Scholar] [CrossRef]
- Rigo, T.; Pineda, N.; Bech, J. Analysis of warm season thunderstorms using an object-oriented tracking method based on radar and total lightning data. Nat. Hazards Earth Syst. Sci. 2010, 10, 1881–1893. [Google Scholar] [CrossRef]
- Aran, M.; Sairouni, A.; Bech, J.; Toda, J.; Rigo, T.; Cunillera, J.; Moré, J. Pilot project for intensive surveillance of hail events in Terres de Ponent (Lleida). Atmos. Res. 2007, 83, 315–335. [Google Scholar] [CrossRef]
- del Moral, A.; Rigo, T.; Llasat, M.C. A radar-based centroid tracking algorithm for severe weather surveillance: Identifying split/merge processes in convective systems. Atmos. Res. 2018, 213, 110–120. [Google Scholar] [CrossRef]
- Barnolas, M.; Rigo, T.; Llasat, M. Characteristics of 2-D convective structures in Catalonia (NE Spain): An analysis using radar data and GIS. Hydrol. Earth Syst. Sci. 2010, 14, 129–139. [Google Scholar] [CrossRef]
- Llasat, M.C.; Marcos, R.; Turco, M.; Gilabert, J.; Llasat-Botija, M. Trends in flash flood events versus convective precipitation in the Mediterranean region: The case of Catalonia. J. Hydrol. 2016, 541, 24–37. [Google Scholar] [CrossRef]
- Rigo, T.; Llasat, M.C. Analysis of mesoscale convective systems in Catalonia using meteorological radar for the period 1996–2000. Atmos. Res. 2007, 83, 458–472. [Google Scholar] [CrossRef]
- Rigo, T.; Berenguer, M.; del Carmen Llasat, M. An improved analysis of mesoscale convective systems in the western Mediterranean using weather radar. Atmos. Res. 2019, 227, 147–156. [Google Scholar] [CrossRef]
- Mateo, J.; Ballart, D.; Brucet, C.; Aran, M.; Bech, J. A study of a heavy rainfall event and a tornado outbreak during the passage of a squall line over Catalonia. Atmos. Res. 2009, 93, 131–146. [Google Scholar] [CrossRef]
- Llabrés-Brustenga, A.; Rius, A.; Rodríguez-Solà, R.; Casas-Castillo, M.C.; Redaño, A. Quality control process of the daily rainfall series available in Catalonia from 1855 to the present. Theor. Appl. Climatol. 2019, 137, 2715–2729. [Google Scholar] [CrossRef]
- Lojou, J.Y.; Cummins, K.L. Total lightning mapping using both VHF interferometry and time-of-arrival techniques. In Proceedings of the International Conference on Lightning Protection, Kanazawa, Japan, 18–22 September 2006; pp. 391–396. [Google Scholar]
- Lojou, J.Y.; Murphy, M.J.; Holle, R.L.; Demetriades, N. Nowcasting of thunderstorms using VHF measurements. In Lightning: Principles, Instruments and Applications; Betz, H.-D., Schumann, U., Laroche, P., Eds.; Springer: Dordrecht, The Netherlands, 2009; pp. 253–270. [Google Scholar]
- Cummins, K.L.; Murphy, M.J.; Bardo, E.A.; Hiscox, W.L.; Pyle, R.B.; Pifer, A.E. A combined TOA/MDF technology upgrade of the US National Lightning Detection Network. J. Geophys. Res. Atmos. 1998, 103, 9035–9044. [Google Scholar] [CrossRef]
- Montanyà, J.; Van der Velde, O.; March, V.; Romero, D.; Solà, G.; Pineda, N. High-speed video of lightning and x-ray pulses during the 2009–2010 observation campaigns in northeastern Spain. Atmos. Res. 2012, 117, 91–98. [Google Scholar] [CrossRef]
- Pineda, N.; Montanyà, J. Lightning detection in Spain: The particular case of Catalonia. In Lightning: Principles, Instruments and Applications; Springer: Dordrecht, The Netherlands, 2009; pp. 161–185. [Google Scholar]
- Montanyà, J.; Pineda, N.; March, V.; Illa, A.; Romero, D.; Solà, G. Experimental evaluation of the Catalan lightning detection network. In Proceedings of the 19th International Lightning Detection Conference, Tucson, AZ, USA, 24–25 April 2006. [Google Scholar]
- Trapero, L.; Bech, J.; Rigo, T.; Pineda, N.; Forcadell, D. Uncertainty of precipitation estimates in convective events by the Meteorological Service of Catalonia radar network. Atmos. Res. 2009, 93, 408–418. [Google Scholar] [CrossRef]
- Altube, P.; Bech, J.; Argemí, O.; Rigo, T. Quality control of antenna alignment and receiver calibration using the sun: Adaptation to midrange weather radar observations at low elevation angles. J. Atmos. Ocean. Technol. 2015, 32, 927–942. [Google Scholar] [CrossRef]
- Heinselman, P.L.; Priegnitz, D.L.; Manross, K.L.; Smith, T.M.; Adams, R.W. Rapid sampling of severe storms by the national weather radar testbed phased array radar. Weather Forecast. 2008, 23, 808–824. [Google Scholar] [CrossRef]
- Przybylinski, R.W. The bow echo: Observations, numerical simulations, and severe weather detection methods. Weather Forecast. 1995, 10, 203–218. [Google Scholar] [CrossRef]
- Velasco-Forero, C.A.; Sempere-Torres, D.; Cassiraga, E.F.; Gómez-Hernández, J.J. A non-parametric automatic blending methodology to estimate rainfall fields from rain gauge and radar data. Adv. Water Resour. 2009, 32, 986–1002. [Google Scholar] [CrossRef]
- Rigo, T.; Llasat, M.C. Forecasting hailfall using parameters for convective cells identified by radar. Atmos. Res. 2016, 169, 366–376. [Google Scholar] [CrossRef]
- Pineda, N.; Soler, S.T.; Vilaclara, E. Aproximació a la Climatologia de Llamps a Catalunya: Anàlisi de les Dades de l’SMC per al Període 2004–2008; Generalitat de Catalunya, Departament de Territori i Sostenibilitat: Barcelona, Spain, 2011. [Google Scholar]
- Farnell, C.; Rigo, T. The Lightning Jump, The Campaign “Pick Up The Stone” in 2018, and a Climatological Analysis for Catalonia for the period 2006–2018. Tethys J. Mediterr. Meteorol. Climatol. Submitt. 2020, in press. [Google Scholar]
- Albrecht, R.I.; Goodman, S.J.; Buechler, D.E.; Blakeslee, R.J.; Christian, H.J. Where are the lightning hotspots on Earth? Bull. Am. Meteorol. Soc. 2016, 97, 2051–2068. [Google Scholar] [CrossRef]
- Morales Rodriguez, C. Thunderstorm efficiency regimes in South America as observed by STARNET and TRMM. J. Geophys. Res. Atmos. 2019, 124, 11428–11451. [Google Scholar] [CrossRef]
- Capozzi, V.; Montopoli, M.; Mazzarella, V.; Marra, A.C.; Roberto, N.; Panegrossi, G.; Dietrich, S.; Budillon, G. Multi-Variable Classification Approach for the Detection of Lightning Activity Using a Low-Cost and Portable X Band Radar. Remote Sens. 2018, 10, 1797. [Google Scholar] [CrossRef]
- Doswell III, C.A.; Brooks, H.E.; Maddox, R.A. Flash flood forecasting: An ingredients-based methodology. Weather Forecast. 1996, 11, 560–581. [Google Scholar] [CrossRef]
- del Moral, A.; del Carmen Llasat, M.; Rigo, T. Connecting flash flood events with radar-derived convective storm characteristics on the northwestern Mediterranean coast: Knowing the present for better future scenarios adaptation. Atmos. Res. 2020, 238, 104863. [Google Scholar] [CrossRef]
- Wilks, D.S. Statistical Methods in the Atmospheric Sciences; Academic Press: Cambridge, MA, USA, 2011; Volume 100. [Google Scholar]
- Cortès, M.; Llasat, M.C.; Gilabert, J.; Llasat-Botija, M.; Turco, M.; Marcos, R.; Vide, J.P.M.; Falcón, L. Towards a better understanding of the evolution of the flood risk in Mediterranean urban areas: The case of Barcelona. Nat. Hazards 2018, 93, 39–60. [Google Scholar] [CrossRef]
- Cortés Simo, M.; Turco, M.; Ward, P.J.; Sánchez Espigares, J.A.; Alfieri, L.; Llasat Botija, C. Changes in flood damage with global warming on the eastern coast of Spain. Nat. Hazards Earth Syst. Sci. 2019, 19, 2855–2877. [Google Scholar] [CrossRef]
- Petrucci, O.; Aceto, L.; Bianchi, C.; Bigot, V.; Brázdil, R.; Pereira, S.; Kahraman, A.; Kılıç, Ö.; Kotroni, V.; Llasat, M.C.; et al. Flood fatalities in Europe, 1980–2018: Variability, features, and lessons to learn. Water 2019, 11, 1682. [Google Scholar] [CrossRef]
- Llasat, M.; Puigcerver, M. Total rainfall and convective rainfall in Catalonia, Spain. Int. J. Climatol. J. R. Meteorol. Soc. 1997, 17, 1683–1695. [Google Scholar] [CrossRef]
- Ballart, D.; Figuerola, F.; Aran, M.; Rigo, T. Analysis of warm convective rain events in Catalonia. In Proceedings of the 11th Plinius Conference on Mediterranean Storms, Martín Barcelona, Spain, 7–10 September 2009. [Google Scholar]
- León, F.; Carretero Porris, O. Tropical-like heavy convective rains over the Spanish Mediterranean regions: A radar-based perspective. In Proceedings of the 30th International Conference on Radar Meteorology, Munich, Germany, 19–24 July 2001; Volume 30, p. 253. [Google Scholar]
- Bech, J.; Rigo, T.; Pineda, N.; Segalà, S.; Vilaclara, E.; Sánchez-Diezma, R.; Sempere, D.; Velasco, E. Implementation of the EHIMI software package in the weather radar operational chain of the catalan meteorological service. In Proceedings of the 32nd International Conference on Radar Meteorology, Alburquerque, NM, USA, 23–29 October 2005. [Google Scholar]












| Day | CG Flashes > 25 | ||
|---|---|---|---|
| QPE > 3 mm | YES | NO | |
| YES | rainy, convective | rainy, but not convective | |
| NO | dry, convective | dry, non-convective | |
© 2020 by the authors. Licensee MDPI, Basel, Switzerland. This article is an open access article distributed under the terms and conditions of the Creative Commons Attribution (CC BY) license (http://creativecommons.org/licenses/by/4.0/).
Share and Cite
Farnell, C.; Rigo, T. The Lightning Jump Algorithm for Nowcasting Convective Rainfall in Catalonia. Atmosphere 2020, 11, 397. https://doi.org/10.3390/atmos11040397
Farnell C, Rigo T. The Lightning Jump Algorithm for Nowcasting Convective Rainfall in Catalonia. Atmosphere. 2020; 11(4):397. https://doi.org/10.3390/atmos11040397
Chicago/Turabian StyleFarnell, Carme, and Tomeu Rigo. 2020. "The Lightning Jump Algorithm for Nowcasting Convective Rainfall in Catalonia" Atmosphere 11, no. 4: 397. https://doi.org/10.3390/atmos11040397
APA StyleFarnell, C., & Rigo, T. (2020). The Lightning Jump Algorithm for Nowcasting Convective Rainfall in Catalonia. Atmosphere, 11(4), 397. https://doi.org/10.3390/atmos11040397

