Challenges to the Adaptation of Double Cropping Agricultural Systems in Brazil under Changes in Climate and Land Cover
Abstract
1. Introduction
2. Experiments
2.1. Study Area
2.2. Climate Scenarios and Input Data
2.3. Double Cropping Simulation and Crops Sowing Dates and Cultivars
2.4. Crop Model Description
2.5. Quantification of Climate Change Effects on Maize Off-Season
2.6. Evaluation of the Viability of Double Cropping System in the Future
3. Results
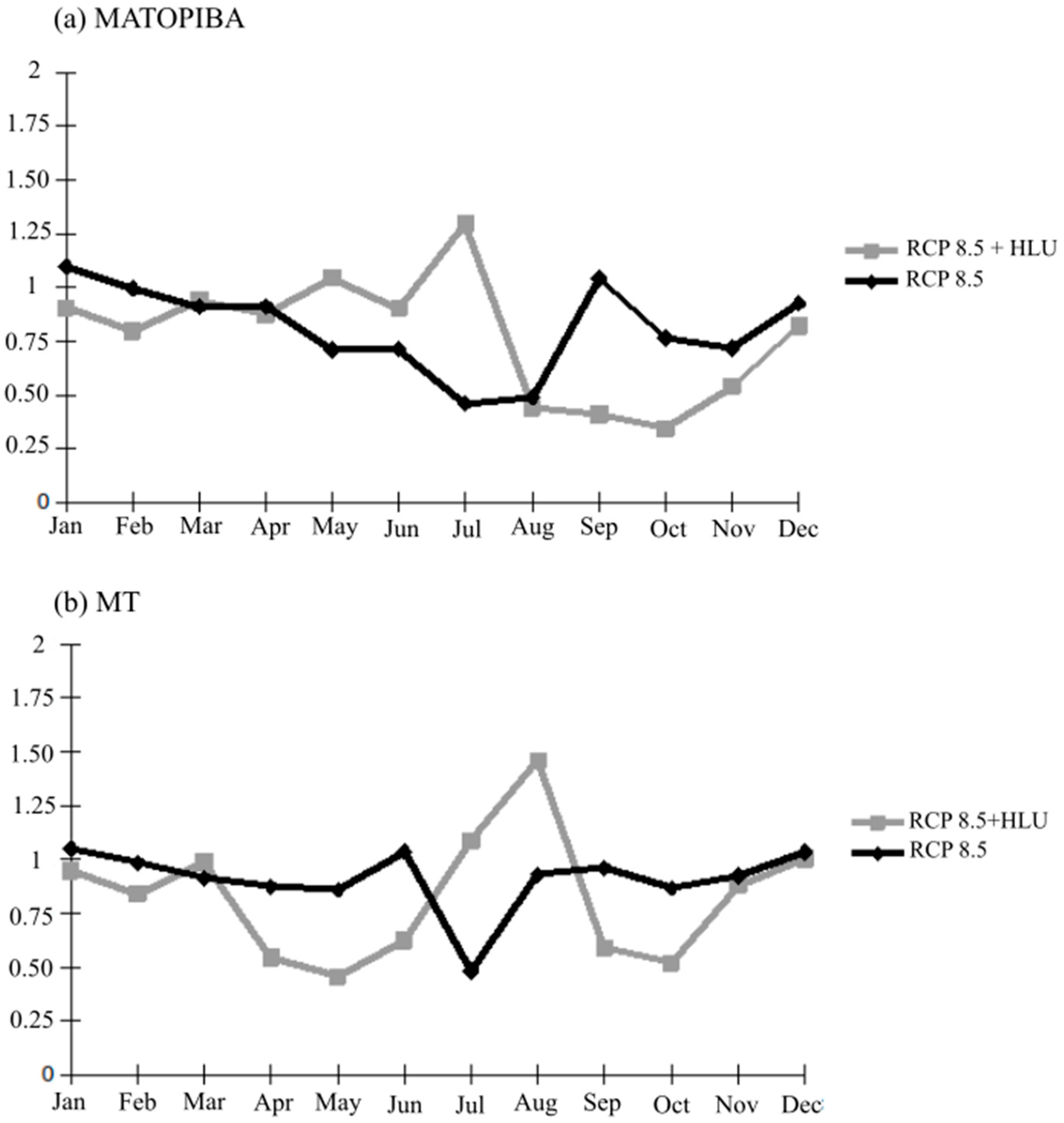
3.1. Effects of Climate Change on Maize Off-Season Yield
3.2. Effects of Climate Change on the Viability of Double Cropping in the Future
4. Discussion
5. Conclusions
Supplementary Materials
Author Contributions
Funding
Conflicts of Interest
References
- FAOSTAT. Available online: http://www.fao.org/faostat/en/#rankings/countries_by_commodity (accessed on 20 June 2020).
- CONAB. Série Histórica das Safras. Available online: https://www.conab.gov.br/info-agro/safras/serie-historica-das-safras (accessed on 10 June 2020).
- Arvor, D.; Dubreuil, V.; Ronchail, J.; Simões, M.; Funatsu, B.M. Spatial patterns of rainfall regimes related to levels of double cropping agriculture systems in Mato Grosso (Brazil). Int. J. Climatol. 2014, 34, 2622–2633. [Google Scholar] [CrossRef]
- Pires, G.F.; Abrahão, G.M.; Brumatti, L.M.; Oliveira, L.J.C.; Costa, M.H.; Liddicoat, S.; Kato, E.; Ladle, R.J. Increased climate risk in Brazilian double cropping agriculture systems: Implications for land use in Northern Brazil. Agric. For. Meteorol. 2016, 228–229, 286–298. [Google Scholar] [CrossRef]
- Abrahão, G.M.; Costa, M.H. Evolution of rain and photoperiod limitations on the soybean growing season in Brazil: The rise (and possible fall) of double-cropping systems. Agric. For. Meteorol. 2018, 256–257, 32–45. [Google Scholar] [CrossRef]
- Borém, A.; Galvão, J.C.C.; Pimentel, M.A. Milho: Do Plantio a Colheita, 1st ed.; UFV: Minas Gerais, Brazil, 2015. [Google Scholar]
- Heinemann, A.B.; Dingkuhn, M.; Luquet, D.; Combres, J.C.; Chapman, S. Characterization of drought stress environments for upland rice and maize in central Brazil. Euphytica 2008, 162, 395–410. [Google Scholar] [CrossRef]
- Garcia, R.A.; Ceccon, G.; Sutier, G.A.D.S.; dos Santos, A.L.F. Soybean-corn succession according to seeding date. Pesqui. Agropecu. Bras. 2018, 53, 22–29. [Google Scholar] [CrossRef]
- Nóia Júnior, R.D.S.; Sentelhas, P.C. Soybean-maize succession in Brazil: Impacts of sowing dates on climate variability, yields and economic profitability. Eur. J. Agron. 2019, 103, 140–151. [Google Scholar] [CrossRef]
- Leite-Filho, A.T.; Pontes, V.Y.D.S.; Costa, M.H. Effects of deforestation on the onset of the rainy season and the duration of dry spells in southern Amazonia. J. Geophys. Res. Atmos. 2019. [Google Scholar] [CrossRef]
- Costa, M.H.; Fleck, L.C.; Cohn, A.S.; Abrahão, G.M.; Brando, P.M.; Coe, M.T.; Fu, R.; Lawrence, D.; Pires, G.F.; Pousa, R.; et al. Climate risks to Amazon agriculture suggest a rationale to conserve local ecosystems. Front. Ecol. Environ. 2019, 584–590. [Google Scholar] [CrossRef]
- Zilli, M.; Scarabello, M.; Soterroni, A.C.; Valin, H.; Mosnier, A.; Leclère, D.; Havlík, P.; Kraxner, F.; Lopes, M.A.; Ramos, F.M. The impact of climate change on Brazil’s agriculture. Sci. Total Environ. 2020, 740, 139384. [Google Scholar] [CrossRef]
- Marengo, J.A.; Liebmann, B.; Kousky, V.E.; Filizola, N.P.; Wainer, I.C. Onset and End of the Rainy Season in the Brazilian Amazon Basin. J. Clim. 2001, 14, 833–852. [Google Scholar] [CrossRef]
- Boisier, J.P.; Ciais, P.; Ducharne, A.; Guimberteau, M. Projected strengthening of Amazonian dry season by constrained climate model simulations. Nat. Clim. Chang. 2015, 5, 656–660. [Google Scholar] [CrossRef]
- Debortoli, N.S.; Dubreuil, V.; Hirota, M.; Filho, S.R.; Lindoso, D.P.; Nabucet, J. Detecting deforestation impacts in Southern Amazonia rainfall using rain gauges. Int. J. Climatol. 2017, 37, 2889–2900. [Google Scholar] [CrossRef]
- Souza, C.M.; Shimbo, J.Z.; Rosa, M.R.; Parente, L.L.; Alencar, A.A.; Rudorff, B.F.T.; Hasenack, H.; Matsumoto, M.; Ferreira, L.G.; Souza-Filho, P.W.M.; et al. Reconstructing three decades of land use and land cover changes in brazilian biomes with landsat archive and earth engine. Remote Sens. 2020, 12, 2735. [Google Scholar] [CrossRef]
- Fu, R.; Yin, L.; Li, W.; Arias, P.A.; Dickinson, R.E.; Huang, L.; Chakraborty, S.; Fernandes, K.; Liebmann, B.; Fisher, R.; et al. Increased dry-season length over southern Amazonia in recent decades and its implication for future climate projection. Proc. Natl. Acad. Sci. USA 2013, 110, 18110–18115. [Google Scholar] [CrossRef]
- Andrea, M.C.D.S.; Dallacort, R.; Barbieri, J.D.; Tieppo, R.C. Impacts of Future Climate Predictions on Second Season Maize in an Agrosystem on a Biome Transition Region in Mato Grosso State. Rev. Bras. Meteorol. 2019, 34, 335–347. [Google Scholar] [CrossRef]
- Spera, S.A.; Winter, J.M.; Partridge, T.F. Brazilian maize yields negatively affected by climate after land clearing. Nat. Sustain. 2020, 3. [Google Scholar] [CrossRef]
- Hampf, A.C.; Stella, T.; Berg-Mohnicke, M.; Kawohl, T.; Kilian, M.; Nendel, C. Future yields of double-cropping systems in the Southern Amazon, Brazil, under climate change and technological development. Agric. Syst. 2020, 177. [Google Scholar] [CrossRef]
- Andrea, M.C.D.S.; Dallacort, R.; Tieppo, R.C.; Barbieri, J.D. Assessment of climate change impact on double-cropping systems. SN Appl. Sci. 2020, 2, 1–13. [Google Scholar] [CrossRef]
- MAPA Projeções do Agronegócio: Brasil 2018/19 a 2028/29 Projeções de Longo Prazo; Ministério da Agricultura Pecuária e Abastecimento, MAPA: Brasília, Brasil, 2019; ISBN 9788579911279.
- Instituto Nacional de Pesquisas Espaciais (INPE). Coordenação Geral de Observação da Terra. Programa de Monitoramento da Amazônia e Demais Biomas. Available online: http://terrabrasilis.dpi.inpe.br (accessed on 10 June 2020).
- Dias, L.C.P.; Pimenta, F.M.; Santos, A.B.; Costa, M.H.; Ladle, R.J. Patterns of land use, extensification, and intensification of Brazilian agriculture. Glob. Chang. Biol. 2016, 22, 2887–2903. [Google Scholar] [CrossRef]
- Instituto Brasileiro de Geografia e Estatística (IBGE). Sistema IBGE de Recuperação Automática—Sidra. Available online: www.sidra.ibge.gov.br (accessed on 10 June 2020).
- Riahi, K.; Rao, S.; Krey, V.; Cho, C.; Chirkov, V.; Fischer, G.; Kindermann, G.; Nakicenovic, N.; Rafaj, P. RCP 8.5-A scenario of comparatively high greenhouse gas emissions. Clim. Chang. 2011, 109, 33–57. [Google Scholar] [CrossRef]
- Brovkin, V.; Boysen, L.; Arora, V.K.; Boisier, J.P.; Cadule, P.; Chini, L.; Claussen, M.; Friedlingstein, P.; Gayler, V.; Van den Hurk, B.J.J.M.; et al. Effect of anthropogenic land-use and land-cover changes on climate and land carbon storage in CMIP5 projections for the twenty-first century. J. Clim. 2013, 26, 6859–6881. [Google Scholar] [CrossRef]
- Pires, G.F.; Costa, M.H. Deforestation causes different subregional effects on the Amazon bioclimatic equilibrium. Geophys. Res. Lett. 2013, 40, 3618–3623. [Google Scholar] [CrossRef]
- CONAB Acompanhamento de Safra Brasileiro—Grãos: Décimo Segundo Levantamento, Setembro 2016—Safra 2015/2016; Companhia Nacional de Abastecimento: Brasília, Brazil, 2016.
- Dionizio, E.A.; Costa, M.H.; De Almeida Castanho, A.D.; Pires, G.F.; Marimon, B.S.; Marimon-Junior, B.H.; Lenza, E.; Pimenta, F.M.; Yang, X.; Jain, A.K. Influence of climate variability, fire and phosphorus limitation on vegetation structure and dynamics of the Amazon-Cerrado border. Biogeosciences 2018, 15, 919–936. [Google Scholar] [CrossRef]
- Broedel, E.; Von Randow, C.; Cuartas, L.A.; Nobre, A.D.; de Araújo, A.C.; Kruijt, B.; Tourigny, E.; Cândido, L.A.; Hodnett, M.; Tomasella, J. Simulation of Surface Fluxes in Two Distinct Environments along a Topographic Gradient in a Central Amazonian Forest using the INtegrated LAND Surface Model. Hydrol. Earth Syst. Sci. Discuss. 2017, 1–49. [Google Scholar] [CrossRef]
- Anderson de Castro, A.; Cuartas, L.A.; Coe, M.T.; Von Randow, C.; Castanho, A.; Ovando, A.; Nobre, A.D.; Koumrouyan, A.; Sampaio, G.; Costa, M.H. Coupling the terrestrial hydrology model with biogeochemistry to the integrated LAND surface model: Amazon Basin applications. Hydrol. Sci. J. 2018, 63, 1954–1966. [Google Scholar] [CrossRef]
- Kucharik, C.J. Evaluation of a Process-Based Agro-Ecosystem Model (Agro-IBIS) across the U.S. Corn Belt: Simulations of the Interannual Variability in Maize Yield. Earth Interact. 2003, 7, 1–33. [Google Scholar] [CrossRef]
- Arvor, D.; Meirelles, M.; Dubreuil, V.; Begue, A.; Shimabukuro, Y.E. Analyzing the agricultural transition in Mato Grosso, Brazil, using satellite-derived indices. Appl. Geogr. 2012, 32, 702–713. [Google Scholar]
- FAOSTAT. Available online: http://www.fao.org/faostat/en/#data/PP (accessed on 20 August 2018).
- Rosenzweig, C.; Iglesias, A.; Yang, X.B.; Epstein, P.R.; Chivian, E. Implications for food production, plant diseases, and pests. Glob. Chang. Hum. Health 2001, 2, 90–104. [Google Scholar] [CrossRef]
- Bassu, S.; Brisson, N.; Durand, J.L.; Boote, K.; Lizaso, J.; Jones, J.W.; Rosenzweig, C.; Ruane, A.C.; Adam, M.; Baron, C.; et al. How do various maize crop models vary in their responses to climate change factors? Glob. Chang. Biol. 2014, 20, 2301–2320. [Google Scholar] [CrossRef]
- MATO GROSSO. INSTRUÇÃO NORMATIVA CONJUNTA SEDEC/INDEA-MT No. 002/2015. Dispõe Sobre as Medidas Fitossanitárias Para Prevenção e Controle da Ferrugem Asiática da Soja no Estado de Mato Grosso; Estado de Mato Grosso: Cuiabá, Brazil, 2015. [Google Scholar]
- TOCANTINS PORTARIA, no. 164, de 02 de MAIO DE 2016; Agência de defesa agropecuária do estado do Tocantins, Adapec: Palmas, Brazil, 2016.
- MARANHÃO PORTARIA, no. 143 de 12 de ABRIL de 2013; Agência Estadual de Defesa Agropecuária do Estado do Maranhão, AGED: São Luís, Brazil, 2013.
- BAHIA PORTARIA, no. 235 de 15 de AGOSTO DE 2017. Dispõe Sobre as Datas do Vazio Sanitário, Plantio e Colheita de Soja no Estado da Bahia; Agência Estadual de Defesa Agropecuária da Bahia, ADAB: Salvador, Brazsil, 2017.
- PIAUÍ PORTARIA, no. 15204—09/2018—DGADAPI, de 20 de FEVEREIRO de 2018; Agência de Defesa Agropecuária do Estado do Piauí, ADAPI: Teresina, Brazil, 2018.
- Costa, M.H.; Pires, G.F. Effects of Amazon and Central Brazil deforestation scenarios on the duration of the dry season in the arc of deforestation. Int. J. Climatol. 2010, 30, 1970–1979. [Google Scholar] [CrossRef]
- Llano, M.P.; Vargas, W. Climate characteristics and their relationship with soybean and maize yields in Argentina, Brazil and the United States. Int. J. Climatol. 2016, 36, 1471–1483. [Google Scholar] [CrossRef]
- Debortoli, N.S.; Dubreuil, V.; Funatsu, B.; Delahaye, F.; de Oliveira, C.H.; Rodrigues-Filho, S.; Saito, C.H.; Fetter, R. Rainfall patterns in the Southern Amazon: A chronological perspective (1971–2010). Clim. Chang. 2015, 132, 251–264. [Google Scholar] [CrossRef]
- Oliveira, L.J.C.; Costa, M.H.; Soares-Filho, B.S.; Coe, M.T. Large-scale expansion of agriculture in Amazonia may be a no-win scenario. Environ. Res. Lett. 2013, 8, 024021. [Google Scholar] [CrossRef]
- Strand, J.; Soares-Filho, B.; Costa, M.H.; Oliveira, U.; Ribeiro, S.C.; Pires, G.F.; Oliveira, A.; Rajão, R.; May, P.; van der Hoff, R.; et al. Spatially explicit valuation of the Brazilian Amazon Forest’s Ecosystem Services. Nat. Sustain. 2018, 1, 657–664. [Google Scholar] [CrossRef]
- Lawrence, D.; Vandecar, K. Effects of tropical deforestation on climate and agriculture. Nat. Clim. Chang. 2015, 5, 27–36. [Google Scholar] [CrossRef]
- Soares-Filho, B.; Rajão, R. Traditional conservation strategies still the best option. Nat. Sustain. 2018, 1, 608–610. [Google Scholar] [CrossRef]
- Zalles, V.; Hansen, M.C.; Potapov, P.V.; Stehman, S.V.; Tyukavina, A.; Pickens, A.; Song, X.; Adusei, B.; Okpa, C.; Aguilar, R.; et al. Near doubling of Brazil’s intensive row crop area since 2000. Proc. Natl. Acad. Sci. USA 2018, 1–8. [Google Scholar] [CrossRef]
- MAPA. Projeções do Agronegócio—Brasil 2017/18 a 2027/28; Ministério da Agricultura Pecuária e Abastecimento, MAPA: Brasília, Brazil, 2018; Volume 9, pp. 1–114. [Google Scholar]
- Soterroni, A.C.; Ramos, F.M.; Mosnier, A.; Fargione, J.; Andrade, P.R.; Baumgarten, L.; Pirker, J.; Obersteiner, M.; Kraxner, F.; Câmara, G.; et al. Expanding the Soy Moratorium to Brazil’s Cerrado. Sci. Adv. 2019, 5, eaav7336. [Google Scholar] [CrossRef]
- Nepstad, L.S.; Gerber, J.S.; Hill, J.D.; Dias, L.C.P.; Costa, M.H.; West, P.C. Pathways for recent Cerrado soybean expansion: Extending the soy moratorium and implementing integrated crop livestock systems with soybeans. Environ. Res. Lett. 2019, 14. [Google Scholar] [CrossRef]







Publisher’s Note: MDPI stays neutral with regard to jurisdictional claims in published maps and institutional affiliations. |
© 2020 by the authors. Licensee MDPI, Basel, Switzerland. This article is an open access article distributed under the terms and conditions of the Creative Commons Attribution (CC BY) license (http://creativecommons.org/licenses/by/4.0/).
Share and Cite
Brumatti, L.M.; Pires, G.F.; Santos, A.B. Challenges to the Adaptation of Double Cropping Agricultural Systems in Brazil under Changes in Climate and Land Cover. Atmosphere 2020, 11, 1310. https://doi.org/10.3390/atmos11121310
Brumatti LM, Pires GF, Santos AB. Challenges to the Adaptation of Double Cropping Agricultural Systems in Brazil under Changes in Climate and Land Cover. Atmosphere. 2020; 11(12):1310. https://doi.org/10.3390/atmos11121310
Chicago/Turabian StyleBrumatti, Livia Maria, Gabrielle Ferreira Pires, and Ana Beatriz Santos. 2020. "Challenges to the Adaptation of Double Cropping Agricultural Systems in Brazil under Changes in Climate and Land Cover" Atmosphere 11, no. 12: 1310. https://doi.org/10.3390/atmos11121310
APA StyleBrumatti, L. M., Pires, G. F., & Santos, A. B. (2020). Challenges to the Adaptation of Double Cropping Agricultural Systems in Brazil under Changes in Climate and Land Cover. Atmosphere, 11(12), 1310. https://doi.org/10.3390/atmos11121310

