Sensitivity of Microphysical Schemes on the Simulation of Post-Monsoon Tropical Cyclones over the North Indian Ocean
Abstract
1. Introduction
Tropical Cyclone Case Studies
- HudhudOn the morning of 6 October 2014, cyclone Hudhud formed as a low-pressure area (LPA) over BoB. It gradually intensified into a Very Severe Cyclonic Storm (VSCS) in the afternoon of 10 October 2014. It made landfall near Visakhapatnam with a northwestward movement in the morning of 12 October 2014 as VSCS and moved in the same direction. It then gradually weakened into a Well-Marked Low-Pressure Area (WMLA) on the evening of 14th October 2014 over eastern Uttar Pradesh [7];
- NilofarA VSCS Nilofar formed as an LPA over the southeast AS on the morning of 21 October 2014. The cyclone initially moved northwestward on the day of formation and then recurved northeastwards. It exhibited rapid intensification as well as rapid weakening and weakened into a WMLA near the North Gujarat coast on the morning of 31 October 2014 [7];
- KyantCyclone Kyant formed as a depression (D) over east central BoB on 21 October 2016. The track followed by this system is rare in nature as it experienced two re-curvatures during its life period. The rate of intensification was very slow and steady, taking about 4 days to become a cyclonic storm (CS) from the stage of D, and the rate of weakening was rapid as it reduced to a WMLA from the CS stage within 30 hours on the morning of 28 October 2016 [9];
- OckhiCyclone Ockhi formed as an LPA over Andaman Sea on 22 November 2017. There was a rapid intensification during its genesis stage, as it intensified into a CS within 6 hours from the stage of deep depression (DD). While moving west–northwestwards, Ockhi further intensified into a Severe Cyclonic Storm (SCS) over Lakshadweep area in the early morning of 1 December 2017 and VSCS over the southeast AS in the afternoon of the same day. It then moved northwestwards and reached its peak intensity in the afternoon of 2 December 2017. It moved north–northwestwards and then northeastwards, and crossed the south coast of Gujarat between Surat and Dahanu as a WMLA in the early morning of 06 December 2017 [10];
- DayeDaye is the first cyclonic storm formed over the NIO in the month of September after 2005. It formed as a D over the east central of BoB in the afternoon of 19 September 2018. Moving nearly west–northwestwards, it intensified into a DD on the morning of 20 September 2018 and further into a CS in the same day. It made landfall close to Gopalpur as a CS from 1900–2000 h UTC of 20 September 2018. It continued to move west–northwestwards, and weakened into an LPA over south Haryana on the morning of 24 September 2018 [11];
- TitliTitli cyclone formed as an LPA over the southeast BoB on the morning of 7 October 2018. Moving nearly west–northwestwards, it intensified into a DD on the morning of 8 October 2018, and further into a CS around noon on 9 October 2018. It then moved northwestwards, and in the early morning of 10 October 2018, it intensified into an SCS. It then moved north–northwestwards and further intensified into a VSCS around noon of 10 October 2018 and crossed the northern Andhra Pradesh and south Odisha coasts near Palasa from 2300 to 0000 h UTC as a VSCS. Moving further west–northwestwards, it weakened into an SCS around the noon of 11 October 2018 and a CS in the same evening. Under the influence of southwesterly winds, the system recurved northeastwards from 11 p.m., and gradually weakened into an LPA over Gangetic West Bengal and adjoined Bangladesh in the morning of 13 October 2018 [11];
- GajaVSCS Gaja originated from an LPA which formed over the Gulf of Thailand and adjoining Malay Peninsula on the morning of 8 November 2018. Under the favorable conditions, it concentrated into a D over southeast BoB in the morning of 10 November. Moving west–northwestwards, it intensified into a DD in the same evening and further intensified into a CS in the early morning of 11 November 2018. It then moved nearly westwards till early morning of 12 November 2018. Thereafter, it recurved south–southwestwards and followed an anticlockwise looping track till the morning of 13 November 2018. It then moved west–southwestwards and intensified into an SCS southwest BoB on the morning of 15 November 2018 and into a VSCS in the same night. Moving further west–southwestwards, it crossed Tamil Nadu and Puducherry coast between Nagapattinam and Vedaranniyam from 1900 to 2100 h UTC of 16 Nov 2018. Thereafter, it moved nearly westwards, and weakened rapidly into an SCS, CS, and DD over interior Tamil Nadu on 16 November 2018. It then moved west–southwestwards and weakened into a D in the same evening over central Kerala. Moving nearly westwards, it intensified into a DD over southeast AS in the early morning of 17 November 2018. Thereafter, it moved nearly west–northwestwards and crossed Lakshadweep Islands on the afternoon of 17 November 2018, as a DD. It continued to move west-northwestwards and weakened into a D over the same region around noon of 19 November 2018, WMLA in the same night, and an LPA on 21 November 2018 [11];
- PhethaiA SCS Phethai formed as an LPA over the Equatorial Indian Ocean and adjoinined the central parts of south BoB on the evening of 9 December 2018. It was laid as a WMLA over the same area on the morning of 11 December 2018. It continued to be WMLA till the morning of 13 December 2018, and, under favourable conditions, it concentrated into a D over southeast BOB. Moving north–northwestwards, it intensified into a DD over the same area on the same midnight. Continuing to move in the same direction, it intensified into a CS in the evening of the 15th and into an SCS in the afternoon of the 16th. It maintained its intensity of SCS till the early morning of the 17th and weakened into a CS in the same morning. Continuing to move north–northwestwards and then northwards, it crossed the Andhra Pradesh (south of and close to Yanam and 40 km south of Kakinada) coast during the 17th afternoon as a CS. After landfall, the cyclone moved north–northeastwards and weakened rapidly into a DD near the Kakinada coast in the same evening. Continuing to move in the same direction, it again crossed Andhra Pradesh coast near Tuni and weakened into a D over the coastal Andhra Pradesh during the same midnight. It further weakened into a WMLA over the northwest and adjoining west–central BoB and coastal Odisha in the early morning of the 18th, and into an LPA northwest BoB and adjoining Odisha in the same morning [11].
2. ARW Model and Sensitivity Experiments
3. Evaluation Method
4. Results
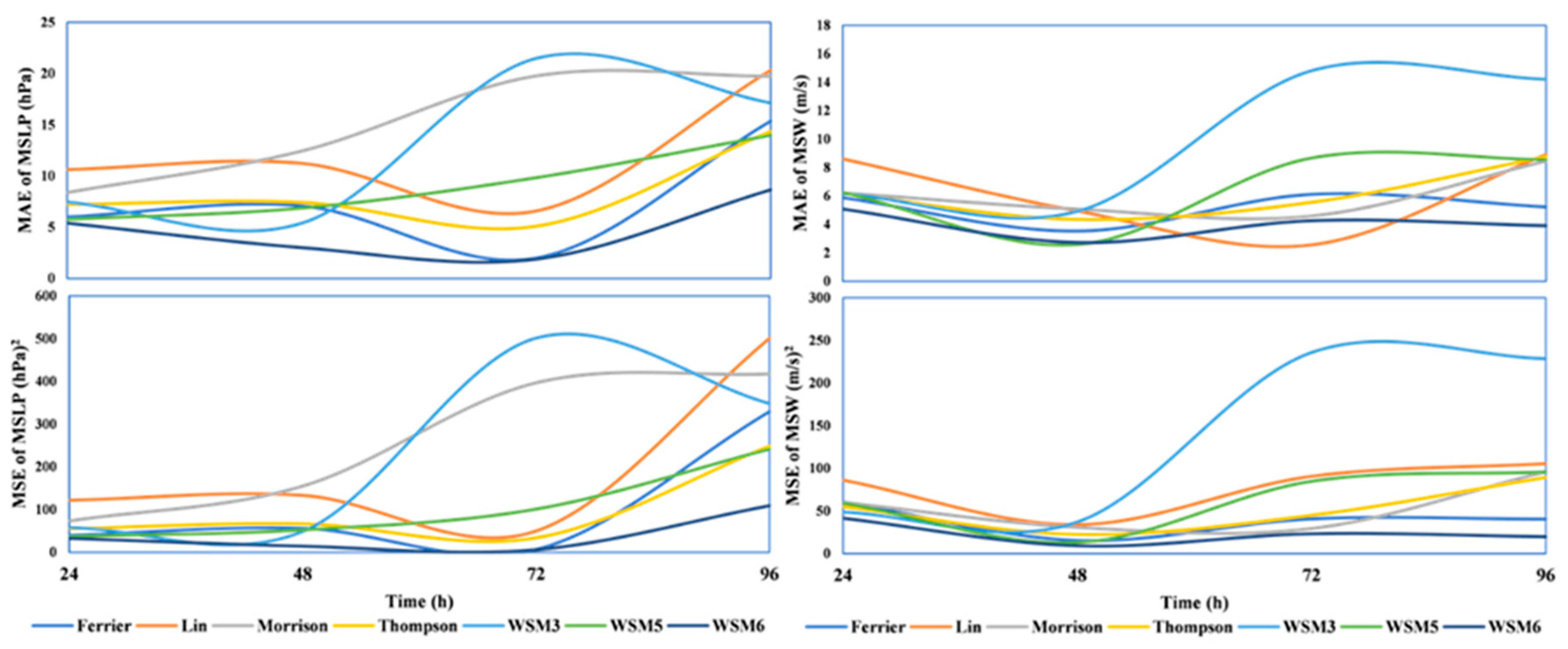
4.1. Track and Intensity Errors
4.2. Skill Score
5. Conclusions
Supplementary Materials
Author Contributions
Funding
Acknowledgments
Conflicts of Interest
References
- Balaji, M.; Chakraborty, A.; Mandal, M. Changes in tropical cyclone activity in north Indian Ocean during satellite era (1981–2014). Int. J. Climatol. 2018, 38, 2819–2837. [Google Scholar] [CrossRef]
- Kreimer, A. Social and economic impacts of natural disasters. Int. Geol. Rev. 2001, 43, 401–405. [Google Scholar] [CrossRef]
- Wahiduzzaman, M.; Oliver, E.C.J.; Wotherspoon, S.J.; Luo, J.J. Seasonal forecasting of tropical cyclones in the North Indian Ocean region: The role of El Niño-Southern Oscillation. Clim. Dyn. 2020, 54, 1571–1589. [Google Scholar] [CrossRef]
- Pattanayak, S.; Mohanty, U.C.; Osuri, K.K. Impact of Parameterization of Physical Processes on Simulation of Track and Intensity of Tropical Cyclone Nargis (2008) with WRF-NMM Model. Sci. World J. 2012, 2012, 1–18. [Google Scholar] [CrossRef][Green Version]
- Ramage Monsoonal influences on the annual variation of tropical cyclone development over the Indian and Pacific Oceans. Mon. Weather Rev. 1974, 102, 745–753. [CrossRef]
- Vishnu, S.; Sanjay, J.; Krishnan, R. Assessment of climatological tropical cyclone activity over the north Indian Ocean in the CORDEX-South Asia regional climate models. Clim. Dyn. 2019, 53, 5101–5118. [Google Scholar] [CrossRef]
- RSMC—Tropical Cyclone. In Report on Cyclonic Disturbances over the North Indian Ocean During 2014; Government of India: New Delhi, India, 2015.
- RSMC—Tropical Cyclone. In Report on Cyclonic Disturbances over the North Indian Ocean During 2015; Government of India: New Delhi, India, 2016.
- RSMC—Tropical Cyclone. In Report on Cyclonic Disturbances over the North Indian Ocean During 2016; Government of India: New Delhi, India, 2017.
- RSMC—Tropical Cyclone. In Report on Cyclonic Disturbances over the North Indian Ocean During 2017; Government of India: New Delhi, India, 2018.
- RSMC—Tropical Cyclone. In Report on Cyclonic Disturbances over the North Indian Ocean During 2018; Government of India: New Delhi, India, 2019.
- Singh, O.P.; Ali Khan, T.M.; Rahman, M.S. Changes in the frequency of tropical cyclones over the North Indian Ocean. Meteorol. Atmos. Phys. 2000, 75, 11–20. [Google Scholar] [CrossRef]
- Mohanty, U.C.; Osuri, K.K.; Pattanayak, S.; Sinha, P. An observational perspective on tropical cyclone activity over Indian seas in a warming environment. Nat. Hazards 2012, 63, 1319–1335. [Google Scholar] [CrossRef]
- Zehr, R.M. Tropical Cyclogenesis in the Western North Pacific. In NOAA Technical Report NESDIS 61; National Oceanic and Atmospheric Administration: Washington, DC, USA, 1992. [Google Scholar]
- Balaguru, K.; Taraphdar, S.; Leung, L.R.; Foltz, G.R. Increase in the intensity of postmonsoon Bay of Bengal tropical cyclones. Geophys. Res. Lett. 2014, 41, 3594–3601. [Google Scholar] [CrossRef]
- Girishkumar, M.S.; Ravichandran, M. The influences of ENSO on tropical cyclone activity in the Bay of Bengal during October-December. J. Geophys. Res. Ocean. 2012, 117, 1–13. [Google Scholar] [CrossRef]
- Mei, W.; Xie, S.P.; Primeau, F.; McWilliams, J.C.; Pasquero, C. Northwestern Pacific typhoon intensity controlled by changes in ocean temperatures. Sci. Adv. 2015, 1, e1500014. [Google Scholar] [CrossRef] [PubMed]
- Bin, W.; Elsberry, R.L.; Yuqing, W.; Liguang, W. Dynamics in Tropical Cyclone Motion: A Review. Chin. J. Atmos. Sci. 1998, 22, 416–434. [Google Scholar]
- Sharmila, S.; Walsh, K.J.E. Impact of large-scale dynamic versus thermodynamic climate conditions on contrasting tropical cyclone genesis frequency. J. Clim. 2017, 30, 8865–8883. [Google Scholar] [CrossRef]
- Deshpande, M.S.; Pattnaik, S.; Salvekar, P.S. Impact of cloud parameterization on the numerical simulation of a super cyclone. Ann. Geophys. 2012, 30, 775–795. [Google Scholar] [CrossRef][Green Version]
- Sandeep, C.P.R.; Krishnamoorthy, C.; Balaji, C. Impact of Cloud Parameterization Schemes on The Simulation of Cyclone Vardah using the WRF Model. Curr. Sci. 2018, 115, 1143. [Google Scholar] [CrossRef]
- Raju, P.V.S.; Potty, J.; Mohanty, U.C. Prediction of severe tropical cyclones over the Bay of Bengal during 2007-2010 using high-resolution mesoscale model. Nat. Hazards 2012, 63, 1361–1374. [Google Scholar] [CrossRef]
- Jandaghian, Z.; Touchaei, A.G.; Akbari, H. Sensitivity analysis of physical parameterizations in WRF for urban climate simulations and heat island mitigation in Montreal. Urban Clim. 2018, 24, 577–599. [Google Scholar] [CrossRef]
- Wang, W.; Seaman, N.L. A comparison study of convective parameterization schemes in a mesoscale model. Mon. Weather Rev. 1997, 125, 252–278. [Google Scholar] [CrossRef]
- Chandrasekar, R.; Balaji, C. Sensitivity of tropical cyclone Jal simulations to physics parameterizations. J. Earth Syst. Sci. 2012, 121, 923–946. [Google Scholar] [CrossRef]
- Raju, P.V.S.; Potty, J.; Mohanty, U.C. Sensitivity of physical parameterizations on prediction of tropical cyclone Nargis over the Bay of Bengal using WRF model. Meteorol. Atmos. Phys. 2011, 113, 125–137. [Google Scholar] [CrossRef]
- Kanase, R.D.; Salvekar, P.S. Impact of physical parameterization schemes on track and intensity of severe cyclonic storms in Bay of Bengal. Meteorol. Atmos. Phys. 2015, 127, 537–559. [Google Scholar] [CrossRef]
- Srinivas, C.V.; Bhaskar Rao, D.V.; Yesubabu, V.; Baskaran, R.; Venkatraman, B. Tropical cyclone predictions over the bay of bengal using the high-resolution advanced research weather research and forecasting (ARW) model. Q. J. R. Meteorol. Soc. 2013, 139, 1810–1825. [Google Scholar] [CrossRef]
- Lakshmi, D.D.; Annapurnaiah, K. Impact of Microphysics Schemes in the Simulation of Cyclone Hudhud using WRF-ARW model. Int. J. Ocean. Oceanogr. 2016, 10, 49–59. [Google Scholar]
- Choudhury, D.; Das, S. The sensitivity to the microphysical schemes on the skill of forecasting the track and intensity of tropical cyclones using WRF-ARW model. J. Earth Syst. Sci. 2017, 126, 57. [Google Scholar] [CrossRef]
- Reddy, M.V.; Prasad, S.B.S.; Krishna, U.V.M.; Reddy, K.K. Effect of cumulus and microphysical parameterizations on the JAL cyclone prediction. Indian J. Radio Space Phys. 2014, 43, 103–123. [Google Scholar]
- Osuri, K.K.; Mohanty, U.C.; Routray, A.; Kulkarni, M.A.; Mohapatra, M. Customization of WRF-ARW model with physical parameterization schemes for the simulation of tropical cyclones over North Indian Ocean. Nat. Hazards 2012, 63, 1337–1359. [Google Scholar] [CrossRef]
- Mahala, B.K.; Mohanty, P.K.; Nayak, B.K. Impact of Microphysics Schemes in the Simulation of Cyclone Phailin using WRF Model. Procedia Eng. 2015, 116, 655–662. [Google Scholar] [CrossRef]
- Skamarock, W.C.; Klemp, J.B.; Dudhia, J.; Gill, D.O.; Zhiquan, L.; Berner, J.; Wang, W.; Powers, J.G.; Duda, M.G.; Barker, D.M.; et al. A Description of the Advanced Research WRF Model Version 4. In NCAR Technical Note NCAR/TN-475+STR; NCAR: Boulder, CO, USA, 2019; p. 145. [Google Scholar]
- Sridhar, V. Tracking the influence of irrigation on land surface fluxes and boundary layer climatology. J. Contemp. Water Res. Educ. 2013, 152, 79–93. [Google Scholar] [CrossRef]
- Sridhar, V.; Anderson, K.A. Human-induced modifications to boundary layer fluxes and their water management implications in a changing climate. Agric. For. Meteorol. 2017, 234, 66–79. [Google Scholar] [CrossRef]
- Lin, Y.-L.; Farley, R.D.; Orville, H.D. Bulk Parameterization of the Snow Field in a Cloud Model. J. Clim. Appl. Meteorol. 1983, 22, 1065–1092. [Google Scholar] [CrossRef]
- Rogers, E.; Black, T.; Ferrier, B.; Lin, Y.; Parrish, D.; DiMego, G. NCEP Meso Eta Analysis and Forecast System: Increase in resolution, new cloud microphysics, modified precipitation assimilation, modified 3DVAR analysis. NWS Tech. Proced. Bull. 2001, 488, 15. [Google Scholar]
- Thompson, G.; Rasmussen, R.M.; Manning, K. Explicit Forecasts of Winter Precipitation Using an Improved Bulk Microphysics Scheme. Part I: Description and Sensitivity Analysis. Mon. Weather Rev. 2004, 132, 519–542. [Google Scholar] [CrossRef]
- Castro, D.M.; Kumar, S.; Rojas, J.L.F.; Alvarez, A.M.; Prado, J.M.V.; Puma, E.V.; Velarde, C.D.C.; Vidal, Y.S. The Impact of Microphysics Parameterization in the Simulation of Two Convective Rainfall Events over the Central Andes of Peru Using WRF-ARW. Atmosphere 2019, 10, 442. [Google Scholar] [CrossRef]
- Morrison, H.; Thompson, G.; Tatarskii, V. Impact of Cloud Microphysics on the Development of Trailing Stratiform Precipitation in a Simulated Squall Line: Comparison of One- and Two-Moment Schemes. Mon. Weather Rev. 2009, 137, 991–1007. [Google Scholar] [CrossRef]
- Hong, S.-Y.; Dudhia, J.; Chen, S.-H. A Revised Approach to Ice Microphysical Processes for the Bulk Parameterization of Clouds and Precipitation. Mon. Weather Rev. 2004, 132, 103–120. [Google Scholar] [CrossRef]
- Hong, S.-Y.; Lim, J.-O.J. The WRF single–moment 6–class microphysics scheme (WSM6). J. Korean Meteorol. Soc. 2006, 42, 129–151. [Google Scholar]
- Li, J.; Ding, C.; Li, F.; Chen, Y. Effects of single- and double-moment microphysics schemes on the intensity of super typhoon Sarika (2016). Atmos. Res. 2020, 238, 104894. [Google Scholar] [CrossRef]
- Park, J.; Cha, D.; Lee, M.K.; Moon, J.; Hahm, S.; Noh, K.; Chan, J.C.L.; Bell, M. Impact of Cloud Microphysics Schemes on Tropical Cyclone Forecast Over the Western North Pacific. J. Geophys. Res. Atmos. 2020, 125, e2019JD032288. [Google Scholar] [CrossRef]
- Mukhopadhyay, P.; Taraphdar, S.; Goswami, B.N. Influence of moist processes on track and intensity forecast of cyclones over the north Indian Ocean. J. Geophys. Res. Atmos. 2011, 116, 1–21. [Google Scholar] [CrossRef]
- Kanase, R.D.; Mukhopadhyay, P.; Salvekar, P.S. Understanding the Role of Cloud and Convective Processes in Simulating the Weaker Tropical Cyclones over Indian Seas. Pure Appl. Geophys. 2014, 172, 1751–1779. [Google Scholar] [CrossRef]
- Maw, K.W.; Min, J. Impacts of Microphysics Schemes and Topography on the Prediction of the Heavy Rainfall in Western Myanmar Associated with Tropical Cyclone ROANU (2016). Adv. Meteorol. 2017, 2017, 1–22. [Google Scholar] [CrossRef]
- Gilmore, M.S.; Straka, J.M.; Rasmussen, E.N. Precipitation uncertainty due to variations in precipitation particle parameters within a simple microphysics scheme. Mon. Weather Rev. 2004, 132, 2610–2627. [Google Scholar] [CrossRef]








| S.No | Period | Cyclone Name | Landfall | Category |
|---|---|---|---|---|
| 1 | 7–17 October 2014 | Hudhud | Visakhapatnam | Very Severe Cyclonic Storm |
| 2 | 25–31 October 2014 | Nilofar | No Landfall | Very Severe Cyclonic Storm |
| 3 | 21–28 October 2016 | Kyant | No Landfall | Cyclonic Storm |
| 4 | 29 November–05 December 2017 | Ockhi | South Gujarat Coast | Very Severe Cyclonic Storm |
| 5 | 19–22 September 2018 | Daye | Gopalpur | Cyclonic Storm |
| 6 | 8–13 October 2018 | Titli | Palasa | Very Severe Cyclonic Storm |
| 7 | 10–19 November 2018 | Gaja | Puducherry | Very Severe Cyclonic Storm |
| 8 | 13–18 December 2018 | Phethai | Yanam | Severe Cyclonic Storm |
| Microphysical Schemes | Mixed Phase Variable Processes |
|---|---|
| Ferrier | Water Vapor (Qv), Cloud Water (Qc), Rain (Qr), Ice (Qi) |
| Lin | Water Vapor, Cloud Water, Rain, Ice, Snow (Qs), and Graupel (Qg) |
| Morrison | Water Vapor, Cloud Water, Rain, Ice, Snow, and Graupel |
| Thompson | Water Vapor, Cloud Water, Rain, Ice, Snow, and Graupel |
| WSM3 | Water Vapor, Cloud Water/Ice and rain/snow |
| WSM5 | Water Vapor, Cloud Water, Rain, Ice, and Snow |
| WSM6 | Water Vapor, Cloud Water, Rain, Ice, Snow, and Graupel |
| Tropical Cyclone | Initial Date: Time (DD-MM-Year: hh) | End Date: Time (DD-MM-Year: hh) | Simulation Period (h) | Maximum Sustained Wind (MSW) (Kt) | Mean Sea Level Pressure (MSLP)(hPa) | Intensity Stages of TCs for Model Initialization |
|---|---|---|---|---|---|---|
| Hudhud | 09-10-2014: 00 | 13-10-2014: 00 Z | 96 | 45 | 990 | Severe Cyclonic Storm (SCS) |
| Nilofar | 27-10-2014: 00 | 31-10-2014: 00 Z | 96 | 55 | 990 | Severe Cyclonic Storm (SCS) |
| Kyant | 23-10-2016: 00 | 27-10-2016: 00 Z | 96 | 20 | 996 | Depression (D) |
| Ockhi | 01-12-2017: 00 | 05-12-2017: 00 Z | 96 | 50 | 992 | Severe Cyclonic Storm (SCS) |
| Daye | 20-09-2018: 00 | 22-09-2018: 00 Z | 48 | 25 | 996 | Depression (D) |
| Titli | 09-10-2018: 00 | 13-10-2018: 00 Z | 96 | 30 | 1000 | Deep Depression (DD) |
| Gaja | 12-11-2018: 00 | 16-11-2018: 00Z | 96 | 40 | 998 | Cyclonic Storm (CS) |
| Phethai | 14-12-2018: 00 | 18-12-2018: 00 Z | 96 | 30 | 1002 | Deep Depression (DD) |
| Cyclone/CMP | Ferrier | Morrison | Thompson | WSM3 | WSM5 | WSM6 |
|---|---|---|---|---|---|---|
| Hudhud | −0.52 | −0.07 | 0.07 | −0.16 | 0.04 | 0.17 |
| Nilofar | 0.13 | 0.08 | 0.08 | 0.18 | 0.17 | 0.14 |
| Kyant | −0.44 | −0.31 | 0.06 | 0.17 | 0.08 | −0.39 |
| Ockhi | −0.54 | −0.12 | 0.07 | −0.04 | −0.04 | 0.35 |
| Daye | −0.09 | −0.16 | 0.04 | 0.19 | 0.08 | 0.01 |
| Titli | 0.49 | 0.28 | 0.37 | 0.21 | 0.01 | 0.58 |
| Gaja | 0.35 | 0.20 | 0.21 | 0.26 | 0.19 | 0.08 |
| Phethai | −0.11 | −0.17 | 0.10 | 0.41 | 0.03 | 0.01 |
| Cyclone/CMP | Ferrier | Morrison | Thompson | WSM3 | WSM5 | WSM6 |
|---|---|---|---|---|---|---|
| Hudhud | 0.33 | 0.18 | 0.10 | −1.33 | 0.00 | 0.43 |
| Nilofar | 0.22 | 0.01 | 0.23 | 0.47 | 0.21 | 0.11 |
| Kyant | 0.15 | 0.26 | 0.66 | 0.70 | 0.61 | 0.53 |
| Ockhi | −0.24 | −0.56 | −0.38 | −0.90 | −0.33 | 0.01 |
| Daye | 0.01 | −0.08 | −0.02 | 0.17 | −0.10 | −0.07 |
| Titli | 0.13 | 0.15 | 0.05 | 0.09 | −0.17 | 0.26 |
| Gaja | 0.62 | 0.61 | 0.33 | −0.16 | 0.18 | 0.14 |
| Phethai | 0.27 | 0.12 | 0.20 | 0.47 | 0.33 | 0.26 |
| Cyclone/CMP | Ferrier | Morrison | Thompson | WSM3 | WSM5 | WSM6 |
|---|---|---|---|---|---|---|
| Hudhud | 0.45 | −0.30 | 0.50 | −0.16 | 0.51 | 0.74 |
| Nilofar | 0.41 | 0.05 | 0.30 | 0.70 | 0.44 | 0.25 |
| Kyant | 0.24 | 0.37 | 0.38 | 0.68 | 0.62 | 0.07 |
| Ockhi | −0.85 | −0.25 | −0.94 | −1.68 | −0.92 | 0.15 |
| Daye | −0.02 | 0.21 | 0.18 | 0.29 | 0.11 | 0.10 |
| Titli | 0.11 | 0.22 | 0.03 | 0.35 | −0.15 | 0.35 |
| Gaja | 0.47 | 0.41 | 0.43 | −0.23 | 0.03 | 0.33 |
| Phethai | 0.23 | 0.10 | 0.31 | 0.40 | 0.28 | 0.20 |
Publisher’s Note: MDPI stays neutral with regard to jurisdictional claims in published maps and institutional affiliations. |
© 2020 by the authors. Licensee MDPI, Basel, Switzerland. This article is an open access article distributed under the terms and conditions of the Creative Commons Attribution (CC BY) license (http://creativecommons.org/licenses/by/4.0/).
Share and Cite
Venkata Rao, G.; Venkata Reddy, K.; Sridhar, V. Sensitivity of Microphysical Schemes on the Simulation of Post-Monsoon Tropical Cyclones over the North Indian Ocean. Atmosphere 2020, 11, 1297. https://doi.org/10.3390/atmos11121297
Venkata Rao G, Venkata Reddy K, Sridhar V. Sensitivity of Microphysical Schemes on the Simulation of Post-Monsoon Tropical Cyclones over the North Indian Ocean. Atmosphere. 2020; 11(12):1297. https://doi.org/10.3390/atmos11121297
Chicago/Turabian StyleVenkata Rao, Gundapuneni, Keesara Venkata Reddy, and Venkataramana Sridhar. 2020. "Sensitivity of Microphysical Schemes on the Simulation of Post-Monsoon Tropical Cyclones over the North Indian Ocean" Atmosphere 11, no. 12: 1297. https://doi.org/10.3390/atmos11121297
APA StyleVenkata Rao, G., Venkata Reddy, K., & Sridhar, V. (2020). Sensitivity of Microphysical Schemes on the Simulation of Post-Monsoon Tropical Cyclones over the North Indian Ocean. Atmosphere, 11(12), 1297. https://doi.org/10.3390/atmos11121297

