Characteristic of the Regional Rainy Season Onset over Vietnam: Tailoring to Agricultural Application
Abstract
1. Introduction
2. The Agroclimatic Setting of Vietnam
3. Dataset
4. Methodology
4.1. Defining Agronomic Rainy Season Onset Based on Local-Scale Climatic Conditions
4.2. Search Window for Onset Definition
5. Results and Discussion
5.1. Spatiotemporal Characteristics of Regional Onset Date
5.2. Temporal Changes of Regional Onset Date
5.3. Teleconnection between El Niño-Southern Oscillation (ENSO) and Regional Onset Date
6. Concluding Remarks
- -
- Rainy season onset date varies across the agroclimatic zone. For the Northern and Southern zones, the zonal mean of rainy season onset dates is primarily in May which associated with summer monsoon system. Due to their unique topography and position on the border of interacting monsoon systems, Central Coast and South Central coast have rainy season onset in late August.
- -
- The zonal spatial variability of onset dates, defined as the standard deviation zonal mean onset dates across all grid points in a given agroclimatic zone, varies from 4 to 8 days within each agroclimatic zone. However, the variability is lower in a single dominant monsoon regime (northern and southern zones) and higher in latitudinally extended zones on the border of monsoon regimes (Central Coast and South Central Coast).
- -
- The interannual variation in rainy season onset date is approximately two weeks (11 to 14 days) across all agroclimatic zones of Vietnam. This is result suggest that the prediction of rainy season onset is highly challenging work due to such high temporal variation.
- -
- The trend analysis for the zonal onset dates of each agroclimatic zone has been analyzed by using the Mann–Kendall (MK) Test to gather with Sen’s Slope Estimator for the entire 31-year period and each decade. The rainy season onset date is significantly trended earlier in the Central Coast and South Central Coast zones. For 1990s (second decade) the zonal mean onset date shifted later in the northwest and earlier in the central highlands at 90% significance level.
- -
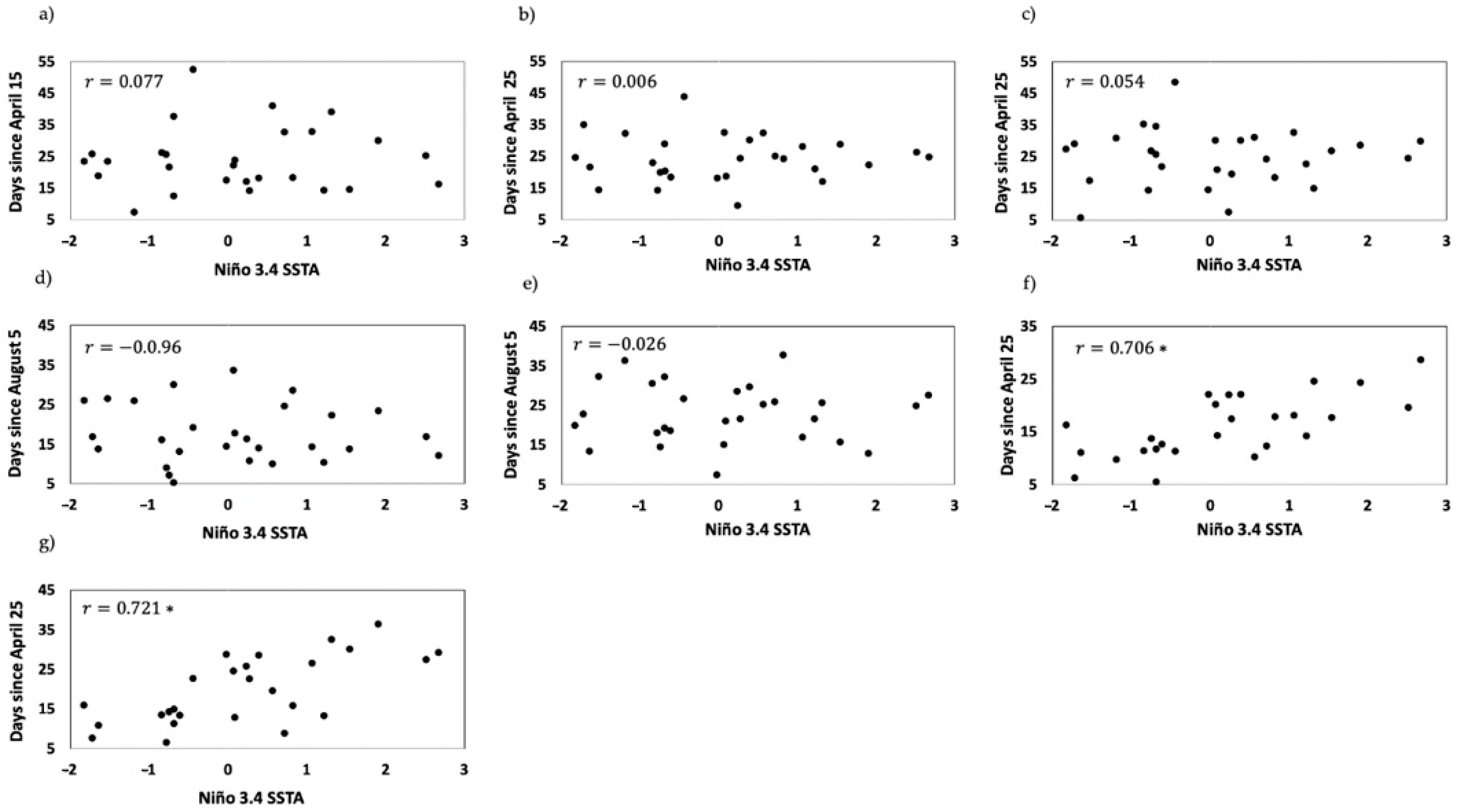
- The teleconnections between Niño 3.4 SSTA for Dec–Jan–Feb season and onset date in the Central Highlands and South zones are found (positive) to be statistically significant at 95% level. This finding suggests the potential of seasonal prediction of rainy season onset date in these zones with respect to preceding ENSO events.
Author Contributions
Funding
Institutional Review Board Statement
Informed Consent Statement
Data Availability Statement
Acknowledgments
Conflicts of Interest
References
- Laux, P.; Kunstmann, H.; Bárdossy, A. Predicting the regional onset of the rainy season in West Africa. Int. J. Clim. 2008, 28, 329–342. [Google Scholar] [CrossRef]
- Robertson, A.W.; Acharya, N.; Goddard, L.; Pattanaik, D.R.; Sahai, A.K.; Singh, K.K.; Ghosh, K.; Agarwal, A.; Buizer, J.L. Subseasonal forecasts of the 2018 Indian summer monsoon over Bihar. J. Geophys. Res. Atmos. 2019, 121, 13861–13875. [Google Scholar] [CrossRef]
- Ati, O.F.; Stigter, C.J.; Oladipo, E.O. A comparison of methods to determine the onset of the growing season in northern Nigeria. Int. J. Clim. 2002, 22, 731–742. [Google Scholar] [CrossRef]
- Bombardier, R.J.; Moron, V.; Goodnight, J.S. Detection, variability, and predictability of monsoon onset and withdrawal dates: A review. Int. J. Climatol 2020, 40, 641–667. [Google Scholar] [CrossRef]
- Moron, V.; Robertson, A.W. Interannual variability of Indian summer monsoon rainfall onset date at local scale. Int. J. Clim. 2014, 34, 1050–1061. [Google Scholar] [CrossRef]
- Tran, V.S.; Boyd, W.B.; Slavich, P.; Mai Van, T. Agriculture and climate change: Perceptions of provincial officials in Vietnam. J. Basic Appl. Sci. 2015, 11, 487–500. [Google Scholar] [CrossRef]
- Nguyen, T.T.N.; Roehrig, F.; Grosjean, G.; Tran, D.N.; Vu, T.M. Climate Smart Agriculture in Vietnam; CSA Country Profiles for Asia Series; International Center for Tropical Agriculture (CIAT); The Food and Agriculture Organization: Hanoi, Vietnam, 2017; p. 28. Available online: https://hdl.handle.net/10568/96227 (accessed on 7 December 2017).
- Thanh, P.X.; Fontaine, B.; Philippon, N. Onset of the summer monsoon over the southern Vietnam and its predictability. Theor. Appl. Clim. 2010, 99, 105–113. [Google Scholar] [CrossRef][Green Version]
- Pham-Thanh, H.; van der Linden, R.; Ngo-Duc, T.; Nguyen-Dang, Q.; Fink, A.H.; Phan-Van, T. Predictability of the rainy season onset date in Central Highlands of Vietnam. Int. J. Clim. 2019, 40, 3072–3086. [Google Scholar] [CrossRef]
- Nguyen-Le, D.; Matsumoto, J.; Ngo-Duc, T. Climatological onset date of summer monsoon in Vietnam. Int. J. Clim. 2014, 34, 3237–3250. [Google Scholar] [CrossRef]
- Chen, T.-C.; Tsay, J.-D.; Yen, M.-C.; Matsumoto, J. Interannual variation of the late fall rainfall in Central Vietnam. J. Clim. 2012, 25, 392–413. [Google Scholar] [CrossRef]
- Nguyen-Xuan, T.; Ngo-Duc, T.; Kamimera, H.; Trinh-Tuan, L.; Matsumoto, J.; Inoue, T.; Phan-Van, T. The Vietnam gridded precipitation (VnGP) dataset: Construction and validation. Sci. Online Lett. Atmos. SOLA 2016, 12, 291–296. [Google Scholar] [CrossRef]
- Nguyen, D.M.; Nguyen, V.T. Definition of new summer monsoon index for Vietnam region. Vietnam. J. Sci. Technol. Eng. 2018, 60, 90–96. [Google Scholar] [CrossRef]
- Reynolds, R.W.; Rayner, N.A.; Smith, T.M.; Stokes, D.C.; Wang, W. An improved in situ and satellite SST analysis for climate. J. Clim. 2002, 15, 1609–1625. [Google Scholar] [CrossRef]
- Kendall, M.G. Rank Correlation Measures; Charles Griffin: London, UK, 1975; pp. 25–55. [Google Scholar]
- Sen, P.K. Estimates of the regression coefficient based on Kendall’s tau. J. Amer. Stat. Assoc. 1968, 63, 1379–1389. [Google Scholar] [CrossRef]
- Gobin, A.; Nguyen, H.T.; Pham, V.Q.; Pham, H.T.T. Heavy rainfall patterns in Vietnam and their relation with ENSO cycles. Int. J. Clim. 2016, 36, 1686–1699. [Google Scholar] [CrossRef]
- Duc, H.N.; Bang, H.Q.; Quang, N.X. Influence of the Pacific and Indian Ocean climate drivers on the rainfall in Vietnam. Int. J. Clim. 2018, 38, 5717–5732. [Google Scholar] [CrossRef]
- Santoso, A.; McPhaden, M.J.; Cai, W. The defining characteristics of ENSO extremes and the Strong 2015/2016 El Niño. Rev. Geophys. 2017, 55, 1079–1129. [Google Scholar] [CrossRef]





| Zone | Mean Onset Date | Spatial Variability (Days) | Interannual Variability (Days) | 
|---|---|---|---|
| 1 | May 9 | 4.5 | 13.5 | 
| 2 | May 20 | 6.4 | 13.4 | 
| 3 | May 21 | 5.4 | 13.2 | 
| 4 | Aug 24 | 8.1 | 14.1 | 
| 5 | Aug 29 | 7.1 | 14.5 | 
| 6 | May 11 | 5.4 | 11.5 | 
| 7 | May 14 | 5.2 | 13.3 | 
| Publisher’s Note: MDPI stays neutral with regard to jurisdictional claims in published maps and institutional affiliations. | 
© 2021 by the authors. Licensee MDPI, Basel, Switzerland. This article is an open access article distributed under the terms and conditions of the Creative Commons Attribution (CC BY) license (http://creativecommons.org/licenses/by/4.0/).
Share and Cite
Acharya, N.; Bennett, E. Characteristic of the Regional Rainy Season Onset over Vietnam: Tailoring to Agricultural Application. Atmosphere 2021, 12, 198. https://doi.org/10.3390/atmos12020198
Acharya N, Bennett E. Characteristic of the Regional Rainy Season Onset over Vietnam: Tailoring to Agricultural Application. Atmosphere. 2021; 12(2):198. https://doi.org/10.3390/atmos12020198
Chicago/Turabian StyleAcharya, Nachiketa, and Elva Bennett. 2021. "Characteristic of the Regional Rainy Season Onset over Vietnam: Tailoring to Agricultural Application" Atmosphere 12, no. 2: 198. https://doi.org/10.3390/atmos12020198
APA StyleAcharya, N., & Bennett, E. (2021). Characteristic of the Regional Rainy Season Onset over Vietnam: Tailoring to Agricultural Application. Atmosphere, 12(2), 198. https://doi.org/10.3390/atmos12020198
 
         
                                                


 
       