Influence of Climate Variability on Soybean Yield in MATOPIBA, Brazil
Abstract
1. Introduction
2. Material and Methods
2.1. Study Area
2.2. Dataset
2.2.1. Meteorological Data
2.2.2. Soil Data
2.2.3. Crop Data
2.3. Methods
2.3.1. Meteorological Data
2.3.2. Crop Simulation Model
2.3.3. Assessment of Modeling Performance
3. Results
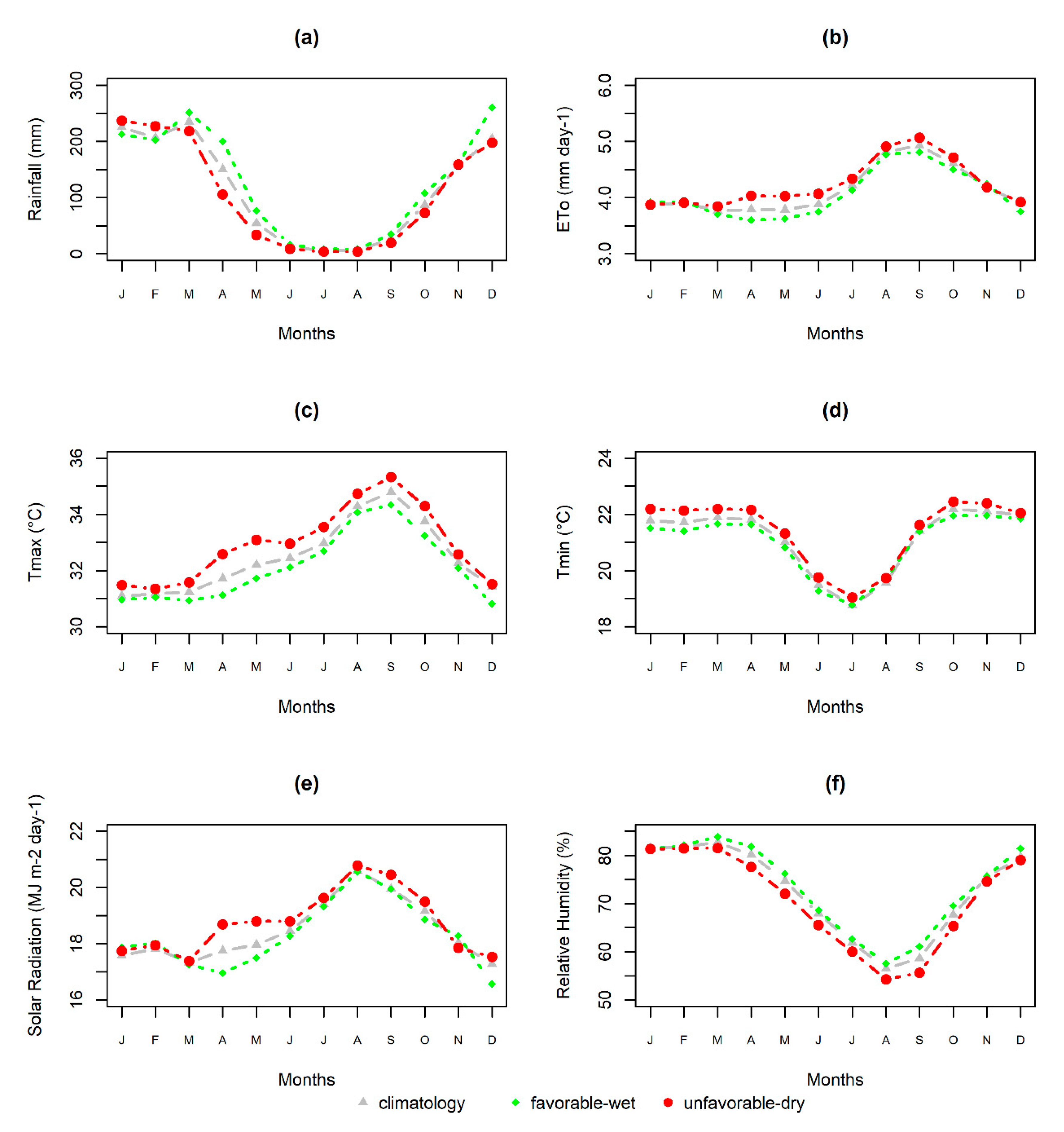
3.1. Monthly Analysis of Meteorological Variables
3.2. Differences between Scenarios
3.3. Interannual Variability and Linear Trend
3.4. Soybean Agroclimatic Risk in the MATOPIBA Region
3.5. Soybean Yield
4. Discussion
5. Conclusions
Author Contributions
Funding
Acknowledgments
Conflicts of Interest
References
- Mercau, J.L.; Dardanelli, J.L.; Collino, D.J.; Adriani, J.M.; Irogoyen, A.; Satorre, E.H. Predicting on–farm soybean yields in the pampas using CROPGRO–soybean. Field Crops Res. 2007, 100, 200–209. [Google Scholar] [CrossRef]
- Taherzadeh, O.; Caro, D. Drivers of water and land use embodied in international soybean trade. J. Clean. Prod. 2019, 223, 83–93. [Google Scholar] [CrossRef]
- Rizzo, G.; Baroni, L. Soy, soy Foods and Their Role in Vegetarian Diets. Nutrients 2018, 10, 43. [Google Scholar] [CrossRef] [PubMed]
- St–Marseille, A.F.G.; Bourgeois, G.; Brodeur, J.; Mimee, B. Simulating the impacts of climate change on soybean cyst nemoted and distribution of soybean. Agric. For. Meteorol. 2019, 264, 178–187. [Google Scholar] [CrossRef]
- Alvares, C.A.; Stape, J.L.; Sentelhas, P.C.; de Moraes, G.; Leonardo, J.; Sparovek, G. Köppens climate classification map for Brazil. Meteorol. Z. 2014, 22, 711–728. [Google Scholar] [CrossRef]
- Alliprandini, L.F.; Abatti, C.; Bertagnolli, P.F.; Cavassim, J.E.; Gabe, H.L.; Kurek, A.; Matsumoto, M.N.; Oliveira, M.A.R.; Pitol, C.; Prado, L.C.; et al. Understanding soybean maturity groups in Brazil: Environment, cultivar classification and stability. Crop Sci. 2009, 49, 801–808. [Google Scholar] [CrossRef]
- Conab—Companhia Nacional de Abastecimento. Acompanhamento da Safra Brasileira de Grãos, Safra 2018/19—Oitavo Levantamento. 2009; pp. 1–135. Available online: https://www.conab.gov.br/info–agro/safras/graos/boletim–da–safra–de–graos (accessed on 28 October 2019).
- Anderson, M.C.; Zolin, C.A.; Sentelhas, P.C.; Hain, C.R.; Semmens, K.; Yilmaz, M.T.; Gao, F.; Otkin, J.A.; Tetrault, R. The Evaporative Stress Index as an indicator of agricultural drought in Brazil: An assessment based on crop yield impacts. Remote Sens. Environ. 2016, 174, 82–99. [Google Scholar] [CrossRef]
- Spera, S.A.; Galford, G.L.; Coe, M.T.; Macedo, M.N.; Mustard, J.F. Land–use change affects water recycling in Brazil’s last agricultural frontier. Glob. Chang. Biol. 2016, 22, 3405–3413. [Google Scholar] [CrossRef]
- Araújo, M.L.S.; Sano, E.E.; Bolfe, É.L.; Santos, J.R.N.; Santos, J.L.; Silva, F.B. Spatiotemporal dynamics of soybean crop in the Matopiba region, Brazil (1990–2015). Land Use Policy 2019, 80, 57–67. [Google Scholar] [CrossRef]
- Bhatia, V.S.; Singh, P.; Wani, S.P.; Chauhan, G.S.; Kesava Rao, A.V.R.; Mishra, A.K.; Srinivas, K. Analysis of potential yields and yield gaps of rainfed soybean in India using CROPGRO–Soybean model. Agric. For. Meteorol. 2008, 148, 1252–1265. [Google Scholar] [CrossRef]
- Assad, E.D.; Marin, F.R.; Evangelista, S.R.; Pilau, F.G.; Farias, J.R.B.; Pinto, H.S.; Zullo Júnior, J. Sistema de previsão da safra de soja para o Brasil. Pesquisa Agropecuária Brasileira 2007, 42, 615–625. [Google Scholar] [CrossRef]
- Rodrigues, R.Á.; Pedrini, J.E.; Fraisse, C.W.; Fernandes, J.M.C.; Justino, F.B.; Heinemann, A.B.; Costa, L.C.; Vale, F.X.R. Utilization of the cropgro–soybean model to estimate yield loss caused by Asian rust in cultivars with different cycle. Bragantia 2012, 71, 308–317. [Google Scholar] [CrossRef]
- Pinto, H.S.; Assad, E.D. Aquecimento Global e a Nova Geografia da Produção Agrícola no Brasil. 2008. Available online: https://www.agritempo.gov.br/climaeagricultura/CLIMA_E_AGRICULTURA_BRASIL_300908_FINAL.pdf (accessed on 27 January 2018).
- Kayano, M.T.; Andreoli, R.V. Relations of South American summer rainfall interannual variations with the Pacific Decadal Oscillation. Int. J. Climatol. 2007, 27, 531–540. [Google Scholar] [CrossRef]
- Marengo, J.A.; Bernasconi, M. Regional differences in aridity/drought conditions over Northeast Brazil: Present state and future projections. Clim. Chang. 2015, 129, 103–115. [Google Scholar] [CrossRef]
- Costa, D.D.; Pereira, T.A.S.; Fragoso, C.R., Jr.; Madani, K.; Uvo, C.B. Understanding drought dynamics during dry season in Eastern Northeast Brazil. Front. Earth Sci. 2016, 4, 69. [Google Scholar] [CrossRef]
- Rau, P.; Bourrel, L.; Labat, D.; Melo, P.; Dewitte, B.; Frappart, F.; Lavado, W.; Felipe, O. Regionalization of rainfall over the Peruvian Pacific slope and coast. Int. J. Climatol. 2016, 37, 143–158. [Google Scholar] [CrossRef]
- Farooq, M.; Wahid, A.; Kobayashi, N.; Fujita, D.; Basra, S.M.A. Plant drought stress: Effects, mechanisms and management. Agron. Sustain. Dev. 2009, 29, 185–212. [Google Scholar] [CrossRef]
- Carleton, T.A.; Hsiang, S.M. Social and economic impacts of climate. Science 2016, 353, 9837. [Google Scholar] [CrossRef]
- Liang, X.Z.; Wu, Y.; Chambers, R.G.; Schmoldt, D.L.; Gao, W.; Liu, C.; Liu, Y.A.; Sun, C.; Kennedy, J.A. Determining climate effects on US total agricultural productivity. Proc. Natl. Acad. Sci. USA 2017, 114, 2285–2292. [Google Scholar] [CrossRef]
- Grimm, A.M. The El Niño impact on the summer monsoon in Brazil: Regional processes versus remote influences. J. Clim. 2003, 16, 263–280. [Google Scholar] [CrossRef]
- Ferreira, D.B.; Rao, V.B. Recent climate variability and its impacts on yields in Southern Brazil. Theor. Appl. Climatol. 2011, 105, 83–97. [Google Scholar]
- Penalba, O.C.; Rivera, J.A. Precipitation response to El Niño/La Niña events in southern South America—emphasis in regional drought occurrences. Adv. Geosci. 2016, 42, 1–14. [Google Scholar] [CrossRef]
- Moura, M.M.; dos Santos, A.R.; Pezzopane, J.E.M.; Alexandre, R.S.; da Silva, S.F.; Pimentel, S.M.; de Andrade, M.S.S.; Silva, F.G.R.; Branco, E.R.F.; Moreira, T.R.; et al. Relation of El Niño and La Niña phenomena to precipitation, evapotranspiration and temperature in the Amazon basin. Sci. Total Environ. 2019, 651, 1639–1651. [Google Scholar] [CrossRef] [PubMed]
- Souza, E.B.; Kayano, M.T.; Ambrizzi, T. Intraseasonal and submonthly variability over the Eastern Amazon and Northeast Brazil during the autumn rainy season. Theor. Appl. Climatol. 2005, 81, 177–191. [Google Scholar] [CrossRef]
- Tedeschi, R.G.; Grimm, M.; Cavalcanti, I.F.A. Influence of Central and East ENSO on precipitation and its extreme events in SouthAmerica during austral autumn and winter. Int. J. Climatol. 2016, 36, 4797–4814. [Google Scholar] [CrossRef]
- Timmermann, A.; An, S.I.; Kug, J.S.; Jin, F.F.; Cai, W.; Capotondi, A.; Cobb, K.M.; Lengaigne, M.; McPhaden, M.J.; Stuecker, M.F.; et al. El Niño—Southern Oscillation complexity. Nature 2018, 559, 535–545. [Google Scholar] [CrossRef]
- Gelcer, E.; Fraisse, C.W.; Dzotsi, K.; Hu, Z.; Mendes, R.; Zotarelli, L. Effects of El Niño Southern Oscillation on the space–time variability of Agricultural Reference Index for Drought in midlatitudes. Agric. For. Meteorol. 2013, 174–175, 110–128. [Google Scholar] [CrossRef]
- Gelcer, E.; Fraisse, C.W.; Zotarelli, L.; Stevensd, F.R.; Perondi, D.; Barreto, D.D.; Malia, H.A.; Ecole, C.C.; Montone, V.; Southworth, J. Influence of El Niño–Southern oscillation (ENSO) on agroclimatic zoning for tomato in Mozambique. Agric. For. Meteorol. 2018, 248, 316–328. [Google Scholar] [CrossRef]
- Ramirez–Rodrigues, M.; Asseng, S.; Fraisse, C.; Stefanova, L.; Eisenkolbi, A. Tailoring wheat management to ENSO phases for increased wheat production in Paraguay. Clim. Risk Manag. 2014, 3, 24–38. [Google Scholar] [CrossRef][Green Version]
- Woli, P.; Ortiz, B.V.; Johnson, J.; Hoogenboom, G. El Niño–Southern Oscillation effects on winter wheat in the Southeastern United States. Agron. J. 2015, 107, 2193–2204. [Google Scholar]
- Sinclair, T.R.; Messina, C.D.; Beatty, A.; Samples, M. Assessment across the United States of the benefits of altered soybean drought traits. Agron. J. 2010, 102, 475–482. [Google Scholar] [CrossRef]
- Boote, K.J. Improving soybean cultivars for adaptation to climate change and climate variability. In Crop Adaptation to Climate Change; Yadav, S.S., Redden, R.J., Hatfield, R.J., Lotze–Campen, J.L., Hall, H., Eds.; Wiley–Blackwell: West Sussex, UK, 2011; pp. 370–395. [Google Scholar]
- Silva, E.H.F.M. Simulações de Cenários Agrícolas Futuros Para a Cultura da Soja no Brasil, Com Base em Projeções de Mudanças Climáticas. Master’s Thesis, Universidade de São Paulo—Escola Superior de Agricultura “Luiz de Queiroz”, Piracicaba, Brazil, 2018; 95p. [Google Scholar]
- Battisti, R.; Sentelhas, P.C.; Boote, K.J.; De, G.M.; Câmara, S.; Farias, J.R.B.; Basso, C.J. Assessment of soybean yield with altered water–related genetic improvement traits under climate change in southern Brazil. Eur. J. Agron. 2017, 83, 1–14. [Google Scholar] [CrossRef]
- Battisti, R.; Sentelhas, P.C. Characterizing Brazilian soybean–growing regions by water deficit patterns. Field Crops Res. 2019, 240, 95–105. [Google Scholar] [CrossRef]
- Teixeira, W.W.R.; Battisti, R.; Sentelhas, P.C.; Moraes, M.D.; Oliveira Junior, A. Uncertainty assessment of soya bean yield gaps using DSSAT–CSM–CROPGROSoybeancalibrated by cultivar maturity groups. J. Agron. Crop. Sci. 2019, 1–12. [Google Scholar] [CrossRef]
- Hu, M.; Wiatrak, P. Effect of planting date on soybean growth, yield, and grain quality: Review. Agron. J. 2012, 104, 785–790. [Google Scholar] [CrossRef]
- Pierozan Junior, C.; Kawakami, J.; Schwarz, K.; Umburanas, R.C.; Del Conte, M.V.; Müller, M.M.L. Sowing dates and soybean cultivars influence seed yield, oil and protein contents in subtropical environment. J. Agric. Sci. 2017, 9, 188. [Google Scholar]
- Blain, G.C.; Kayano, M.T.; Sentelhas, P.C.; Lulu, J. Possible influences of pacific decadal oscillation in the ten day based radio between actual and potential evapotranspiration in the region of Campinas, São Paulo State, Brazil. Bragantia 2009, 68, 797–805. [Google Scholar] [CrossRef]
- Da Rocha, R.P.; Reboita, M.S.; Dutra, L.M.M.; Llopart, M.P.; Coppola, E. Variability associated with ENSO: Present and future climate projections of RegCM4 for South America–CORDEX domain. Clim. Chang. 2014, 125, 95–109. [Google Scholar] [CrossRef]
- Erasmi, S.; Schucknecht, A.; Barbosa, M.; Matschullat, J. Vegetation greenness in Northeastern Brazil and its relation to ENSO warm events. Remote Sens. 2014, 6, 3041–3058. [Google Scholar] [CrossRef]
- Nóia Junior, R.D.S.; Sentelhas, P.C. Soybean–maize off–season double crop system in Brazil as affected by El Niño Southern Oscillation phases. Agric. Syst. 2019, 173, 254–267. [Google Scholar] [CrossRef]
- Ruíz-Nogueira, B.; Boote, K.J.; Sau, F. Calibration and use of CROPGRO-soybean model for improving soybean management under rainfed conditions. Agric. Syst. 2001, 68, 151–173. [Google Scholar] [CrossRef]
- Specht, J.E.; Chase, K.; Macrander, M.; Graef, G.L.; Chung, J.; Markwell, J.P.; Germann, M.; Orf, J.H.; Lark, K.G. Soybean response to water: A QTL analysis of drought tolerance. Crop Sci. 2001, 41, 493–509. [Google Scholar] [CrossRef]
- Sentelhas, P.C.; Battisti, R.; Câmara, G.M.S.; Farias, J.R.B.; Hampf, A.; Nendel, C. The soybean yield gap in Brazil—Magnitude, causes and possible solutions for a sustainable production. J. Agric. Sci. 2015, 153, 1394–1411. [Google Scholar] [CrossRef]
- Kao, W.Y.; Forseth, I.N. Responses of gas Exchange and phototropic leaf orientation in soybean to soil water availability, leaf water potential, air temperature, and photosynthetic photon flux. Environ. Exp. Bot. 1992, 32, 153–161. [Google Scholar] [CrossRef]
- Casaroli, D.; Fagan, E.B.; Simon, J.; Medeiros, S.P.; Manfron, P.A.; Dourado Neto, D.; Van Lier, W.D.J.; Muller, L.; Martin, T.N. Radiação solar e aspectos fisiológicos na cultura de soja: Uma revisão. Revista da FZVA 2007, 14, 102–120. [Google Scholar]
- Gilbert, M.E.; Holbrook, N.M.; Zwieniecki, M.A.; Sadok, W.; Sinclair, T.R. Field confirmation of genetic variation in soybean transpiration response to vapor pressure deficit and photosynthetic compensation. Field Crops Res. 2011, 124, 85–92. [Google Scholar] [CrossRef]
- Farias, J.R.B.; Neumaier, N.; Nepomuceno, A.L. Soja. In Monteiro, JEBA Agrometeorologia dos Cultivos: O Fator Meteorológico na Produção Agrícola; INMET: Brasília, Brazil, 2009; pp. 261–278. [Google Scholar]
- Battisti, R.; Sentelhas, P.C.; Pascoalino, J.A.L.; Sako, H.; de Sá Dantas, J.P.; Moraes, M.F. Soybean yield gap in the areas of yield contest in Brazil. Int. J. Plant Prod. 2018. [Google Scholar] [CrossRef]
- Nóia Júnior, R.D.S.; Sentelhas, P.C. Soybean–maize succession in Brazil: Impacts of sowing dates on climate variability, yields and economic profitability. Eur. J. Agron. 2019, 103. [Google Scholar] [CrossRef]
- Farias, J.R.B.; Assad, E.D.; Almeida, I.R.; Evangelista, B.A.; Lazzaratto, C.; Neumaier, N.; Nepomuceno, A.L. Caracterização de risco de déficit hídrico nas regiões produtoras de soja no Brasil. Rev. Bras. Agromet. 2001, 9, 415–421. [Google Scholar]
- Cunha, G.R.; Barni, N.A.; Haas, J.C.; Maluf, J.R.T.; Matzenauer, R.; Pasinato, A.; Pimentel, M.B.M.; Pires, J.L.F. Zoneamento agrícola e época de semeadura para soja no Rio Grande do Sul. Rev. Bras. Agromet. 2001, 9, 446–459. [Google Scholar]
- Ribeiro, C.A.D.; Pezzopane, J.R.M.; Pezzopane, J.E.M.; Loos, R. Delimitação de microrregiões agroclimáticas e suas relações com o potencial produtivo da cultura do eucalipto. Floresta 2011, 41, 779–786. [Google Scholar]
- Silva, V.P.R.; Oliveira, S.D.; Santos, C.A.C.; Silva, M.T. Risco climático da cana–de–açúcar cultivada na região Nordeste do Brasil. Revista Brasileira de Engenharia Agrícola e Ambiental 2013, 17, 180–189. [Google Scholar]
- Miranda, E.E.; Magalhães, L.A.; Carvalho, C.A. Proposta de delimitação territorial do Matopiba. Nota técnica 1. EMBRAPA. Grupo de Inteligência Territorial Estratégica (GITE). 2014. Available online: https://www.embrapa.br/gite/publicacoes/NT1_DelimitacaoMatopiba.pdf (accessed on 19 March 2019).
- Salvador, M.A.; Brito, J.I.B. Trend of annual temperature and frequency of extreme events in the MATOPIBA region of Brazil. Theor. Appl. Climatol. 2018, 133, 253–261. [Google Scholar] [CrossRef]
- Magalhães, L.A.; Miranda, E.E. MATOPIBA: Quadro Natural. Nota técnica 5. EMBRAPA. Grupo de Inteligência Territorial Estratégica (GITE). 2014. Available online: https://www.embrapa.br/gite/publicacoes/NT5_Matopiba_Quadro_Natural.pdf (accessed on 19 March 2019).
- Xavier, A.C.; King, C.W.; Scanlon, B.R. Daily gridded meteorological variables in Brazil (1980–2013). Int. J. Climatol. 2016, 36, 2644–2659. [Google Scholar]
- Battisti, R.; Bender, F.D.; Sentelhas, P.C. Assessment of different gridded weather data for soybean yield simulations in Brazil. Theor. Appl. Climatol. 2018, 1–11. [Google Scholar] [CrossRef]
- Vianna, M.S.; Sentelhas, P.C. Simulação do risco de deficit hídrico em regiões de expansão do cultivo de cana–de–açúcar no Brasil. Pesquisa Agropecuária Brasileira 2014, 49, 237–246. [Google Scholar]
- Cavassim, J.E.; Filho, J.C.B.; Alliprandini, L.F.; de Oliveira, R.A.; Daros, E.; Guerra, E.P. Stability of soybean genotypes and their classification into relative maturity groups in Brazil. Am. J. Plant Sci. 2013, 4, 2060–2069. [Google Scholar]
- Sentelhas, P.C.; Battisti, R.; Sako, H.; Zeni, R.; Rodrigues, L.A. Clima e Produtividade da Soja: Variabilidade Climática Como Fator Controlador da Produtividade. Boletim de Pesquisa, 2017/2018. 2018. Available online: https://edisciplinas.usp.br/mod/resource/view.php?id=2221718 (accessed on 26 April 2019).
- Embrapa—Empresa Brasileira de Pesquisas Agropecuárias. Tecnologias de Produção de Soja—Região Central do Brasil 2014. Embrapa Soja. 2013. Available online: http://ainfo.cnptia.embrapa.br/digital/bitstream/item/95489/1/SP–16–online.pdf (accessed on 24 August 2019).
- Battisti, R.; Sentelhas, P.C.; Boote, K.J. Inter–comparison of performance of soybean crop simulation models and their ensemble in southern Brazil. Field Crops Res. 2017, 200, 28–37. [Google Scholar] [CrossRef]
- Boote, K.J.; Jones, J.W.; Batchelor, W.D.; Nafziger, E.D.; Myers, O. Genetic coefficients in the CROPGRO–Soybean model: Link to field performance and genomics. Agron. J. 2003, 95, 32–51. [Google Scholar]
- Pezzi, L.P.; Cavalcanti, I.F.A. The relative importance of ENSO and tropical Atlantic sea surface temperature anomalies for seasonal precipitation over South America: A numerical study. Clim. Dyn. 2001, 17, 205–212. [Google Scholar]
- Kayano, M.T.; Andreoli, R.V.; Souza, R. Evolving anomalous SST patterns leading to ENSO extremes: Relations between the tropical Pacific and Atlantic Oceans and the influence on the South American rainfall. Int. J. Climatol. 2011, 31, 1119–1134. [Google Scholar] [CrossRef]
- Kayano, M.T.; Andreoli, R.V.; Souza, R. Relations between ENSO and the South Atlantic SST modes and their effects on the South American rainfall. Int. J. Climatol. 2012. [Google Scholar] [CrossRef]
- Mutti, P.R.; Abreu, L.P.; Andrade, L.M.B.; Spyrides, M.H.C.; Lima, C.K.; de Oliveira, C.P.; Dubreuil, V.; Bezerra, B.G. A detailed framework for the characterization of rainfall climatology in semiarid watersheds. Theor. Appl. Climatol. 2019, 109–125. [Google Scholar] [CrossRef]
- Dunn, O.J. Multiple Comparisons Using Rank Sums. Technometrics 1964, 6, 241. [Google Scholar] [CrossRef]
- Hollander, M.; Wolfe, D.A.; Chicken, E. Nonparametric Statistical Methods; John Wiley & Sons: Hoboken, NJ, USA, 2013; Volume 751. [Google Scholar]
- Hoogenboom, G.; Jones, J.W.; Wilkens, P.W.; Batchelor, W.D.; Bowen, W.T.; Hunt, L.A.; Pickering, N.B.; Singh, U.; Godwin, D.C.; Baer, B.; et al. Crop Models; DSSAT Version 3; Tsuji, G.Y., Uehara, G., Balas, S., Eds.; University of Hawaii: Honolulu, HI, USA, 1994; pp. 95–244. [Google Scholar]
- Jones, J.; Hoogenboom, G.; Porter, C.; Boote, K.; Batchelor, W.; Hunt, L.; Wilkens, P.; Singh, U.; Gijsman, A.; Ritchie, J. The DSSAT cropping system model. Eur. J. Agron. 2003, 18, 235–265. [Google Scholar] [CrossRef]
- Boote, K.J.; Jones, J.W.; Pickering, N.B. Potential uses and limitations of crop models. Agron. J. 1998, 88, 704–716. [Google Scholar] [CrossRef]
- Irmak, A.; Jones, J.W.; Mavromatis, T.; Welcj, S.M.; Boote, K.J.; Wilkerson, G.G. Evaluating Methods for Simulating Soybean Cultivar Responses Using Cross Validation. Agron. J. 2000, 92, 1140–1449. [Google Scholar] [CrossRef]
- Alagarswamy, G.; Singh, P.; Hoogenboom, G.; Wani, S.P.; Pathak, P.; Virmani, S.M. Evaluating and application of the CROPGRO–Soybean simulation model in a VerticInceptisol. Agric. Syst. 2000, 63, 19–32. [Google Scholar] [CrossRef]
- Dallacort, R.; Freitas, P.S.L.; Faria, R.T.; Gonçalves, A.C.A.; Rezende, R.; Bertonha, A. Utilização do modelo Cropgrp–soybean na determinação das melhores épocas de semeadura da cultura da soja, na região de Palotina, Estado do Paraná. Acta Sci. Agron. 2006, 28, 583–589. [Google Scholar] [CrossRef][Green Version]
- Salmerón, M.; Purcell, L.C. Simplifying the prediction of phenology with the DSSAT–CROPGRO–soybean model based on relative maturity group and determinacy. Agric. Syst. 2016, 148, 178–187. [Google Scholar] [CrossRef]
- Ritchie, J.T. Soil water balance and plant water stress. In Understanding Options of Agricultural Production; Tsuji, G.Y., Hoogenboom, G., Thornton, K., Eds.; Kluwer Academic Publishers and International Consortium for Agricultural Systems Applications: Dordrecht, The Netherlands, 1998; pp. 41–53. [Google Scholar] [CrossRef]
- Suleiman, A.A.; Ritchie, J.T. Modeling soil water redistribution during–stage evaporation. Soil Sci. Soc. Am. J. 2003, 67, 377–386. [Google Scholar] [CrossRef]
- Soil Conservation Service (SCS). National Engineering Handbook; Hydrology Section 4; Soil Conservation Service, U.S.D.A.: Washington, DC, USA, 1972; Chapter 4/10. [Google Scholar]
- Boote, K.J.; Pickering, N.B. Modeling photosynthesis of row crop canopies. Hort. Sci. 1994, 29, 1423–1434. [Google Scholar] [CrossRef]
- Doorenbos, J.; Pruitt, W.D. Guidelines for Predicting Crop Water Requirements; Food and Agriculture Organization of the United Nations: Rome, Italy, 1977; p. 24. [Google Scholar]
- Allen, G.R.; Pereira, L.S.; Raes, D.; Smith, M. Crop Evapotranspiration–Guidelines for Computing Crop Water Requirements; Food and Agriculture Organization of the United Nations: Rome, Italy, 1998; p. 56. [Google Scholar]
- Embrapa—Empresa Brasileira de Pesquisas Agropecuárias. Sistema de Produção de Soja; EMBRAPA: Londrina, Brazil, 2011. [Google Scholar]
- Doorenbos, J.; Kassam, A.H. Yield Response to Water; FAO Irrigation and Drainage Paper Series; Series ID 1979, 33; FAO: Rome, Italy, 1979; 139p. [Google Scholar]
- Verdin, J.; Klaver, R. Grid–cell–based crop water accounting for famine early warning system. Hydol. Process. 2012, 16, 1617–6130. [Google Scholar] [CrossRef]
- Senay, G.B.; Verdin, J.P.; Rowland, J. Developing an operational rangeland water requirement satisfaction index. Int. J. Remote Sens. 2011, 32, 6047–6053. [Google Scholar] [CrossRef]
- Moeletsi, M.E.; Walker, S. A simple agroclimatic index to delineate suitable growing areas for rainfed maize production in the Free Province of South Africa. Agric. For. Meteorol. 2012, 162–163, 63–70. [Google Scholar] [CrossRef]
- Assad, E.D.; Martins, S.C.; Beltrão, N.E.M.; Pinto, H.S. Impacts of climate change on the agricultural zoning of climate risk for cotton cultivation in Brazil. Pesquisa Agropecuária Brasileira 2013, 48, 1–8. [Google Scholar] [CrossRef]
- Massignam, A.M.; Pandolfo, C.; Santi, A.; Caramori, P.H.; Vicari, M.B. Impact of climate change on climatic zoning of common bean in the South of Brazil. Agrometeros 2017, 25, 313–321. [Google Scholar] [CrossRef]
- Tarnavsky, E.; Chavez, E.; Boogaard, H. Agro–meteorological risks to maize production in Tanzania: Sensitivity of an adapted Water Requirements Satisfaction Index (WRSI) model to rainfall. Int. J. Appl. Earth Obs. Geoinf. 2018, 73, 77–87. [Google Scholar] [CrossRef]
- Fehr, W.R.; Caviness, C.E. Stages of soybean development. Spec. Rep. 1977, 80, 2–11. [Google Scholar]
- Neumaier, N.; Nepomuceno, A.L.; Farias, J.R.B.; Oya, T. Estresses de ordem ecofisiológica. In Estresses em Soja; Bonato, E.R., Ed.; Embrapa Trigo: Passo Fundo, Brazil, 2000; pp. 45–64. [Google Scholar]
- Brevedan, R.E.; Egli, D.B. Short periods of water stress during seed filling, leaf senescence, and yield of soybean. Crop Sci. 2003, 43, 2083–2088. [Google Scholar] [CrossRef]
- Farias, J.R.B.; Nepomuceno, A.L.; Neumaier, N. Ecofisiologia da soja. Londrina, Embrapa Soja. 2007. Available online: http://ainfo.cnptia.embrapa.br/digital/bitstream/CNPSO–2009–09/27615/1/circtec48.pdf (accessed on 14 November 2019).
- Bezerra, B.G.; Bezerra, J.R.C.; Silva, B.B.; Santos, C.A.C. Surface energy exchange and evapotranspiration from cotton crop under full irrigation conditions in the Rio Grande do Norte State, Brazilian Semi–Arid. Bragantia 2015, 74, 120–128. [Google Scholar]
- Steinmetz, S.; Reyniers, F.N.; Forest, F. Evaluation of the climatic risk on upland rice in Brazil. In Colloque Resistance a la RecherchesemMillien Intertropical: QuellesRecherches and Yield Pour le Moyen Terme? Dakar. Proceedings; CIRAD: Paris, France, 1985; pp. 43–54. [Google Scholar]
- Mapa—Ministério da Agricultura, Pecuária e Abastecimento [Documento Eletrônico]. Risco Agrícola—Zoneamento Agrícola de Risco Climático. 2018. Available online: http://www.agricultura.gov.br/politica–agricola/zoneamentoagricola (accessed on 16 June 2019).
- Krause, P.; Boyle, D.P.; Base, F. Comparison of different efficiency criteria for hidrological model assessment. Adv. Geosci. 2005, 5, 89–95. [Google Scholar]
- Salmerón, M.; Purcell, L.C.; Vories, E.D.; Shannon, G. Simulation of genotype–by–environment interactions on irrigated soybean yields in the U.S. Midsouth. Agric. Syst. 2017, 150, 120–129. [Google Scholar] [CrossRef]
- Cunha, A.P.M.A.; Tomasella, J.; Ribeiro–Neto, G.G.; Brown, M.; Garcia, S.R.; Brito, S.B.; Carvalho, M.A. Changes in the spatial–temporal patterns of droughts in the Brazilian Northeast. Atmos. Sci. Lett. 2018, 19, 855. [Google Scholar]
- Oliveira, P.T.; Santos e Silva, C.M.; Lima, K.C. Climatology and trend analysis of extreme precipitation in subregions of Northeast Brazil. Theor. Appl. Climatol. 2017, 130, 77–90. [Google Scholar]
- Da Silva, P.E.; Santos e Silva, C.M.; Spyrides, M.H.C.; Andrade, L.M.B. Precipitation and air temperature extremes in the Amazon and northeast Brazil. Int. J. Climatol. 2019, 39, 579–595. [Google Scholar]
- Blain, G.C. Considerações estatísticas relativas a seis séries mensais de temperatura do ar da secretaria de agricultura e abastecimento do estado de São Paulo. Revista Brasileira Meteorologia 2011, 26, 279–296. [Google Scholar]
- Avila, L.F.; Mello, C.R.; Yanagi, S.N.M.; Sacramento Neto, O.B. Tendências de temperaturas mínimas e máximas do ar no Estado de Minas Gerais. Pesquisa Agropecuária Brasileira 2014, 49, 247–256. [Google Scholar]
- Mavi, H.S.; Tupper, G.J. Agrometeorology: Principles and Applications of Climate Studies in Agriculture; Food Products Press: New York, NY, USA, 2004; 364p. [Google Scholar]
- Bezerra, B.G.; Silva, L.; Santos e Silva, C.M.; Carvalho, G.G. Changes of precipitation extremes indices in São Francisco River Basin, Brazil from 1947 to 2012. Theor. Appl. Climatol. 2019, 135, 565–576. [Google Scholar]
- Barni, N.A.; Matzenauer, R. Ampliação do calendário de semeadura da soja no Rio Grande do Sul pelo uso de cultivares adaptados aos distintos ambientes. Pesquisa Agropecuária Gaúcha 2000, 6, 189–203. [Google Scholar]
- Waha, K.; Van Bussel, L.G.J.; Müller, C.; Bondeau, A. Climate–driven simulation of global crop sowing dates. Glob. Ecol. Biog. 2012, 21, 247–259. [Google Scholar] [CrossRef]
- Heinemann, A.B.; Ramirez–Villegas, J.; Souza, T.L.P.O.; Didonet, A.D.; Di Stefano, J.G.; Boote, K.J.; Jarvis, A. Drought impact on rainfed common bean production areas in Brazil. Agric. For. Meteorol. 2016, 225, 57–74. [Google Scholar] [CrossRef]
- Spangler, K.R.; Lynch, A.H.; Spera, S.A. Precipitation drivers of cropping frequency in the Brazilian cerrado: Evidence and implications for decision–making. Weather Clim. Soc. 2017, 9, 201–213. [Google Scholar] [CrossRef]
- Aceituno, P. On the functioning of the Southern Oscillation in the South American sector. Surface climate, Mon. Weather Rev. 1988, 116, 505–524. [Google Scholar]
- Rao, V.B.; Hada, K. Characteristics of rainfall over Brazil: Annual and variations and connections with the Southern Oscillation. Theor. Appl. Climatol. 1990, 42, 81–91. [Google Scholar]
- Battisti, R.; Sentelhas, P.C. New agroclimatic approach for soybean dates recommendation: A case study. Revista Brasileira de Engenharia Agrícola e Ambiental 2014, 18, 1149–1156. [Google Scholar] [CrossRef]
- Li, D.; Li, H.; Qiao, Y.; Wang, Y.; Cai, Z.; Dong, B.; Shi, C.; Liu, Y.; Li, X.; Liu, M. Effects of elevated CO2 on the growth, seed yield, and water use efficiency of soybean (Glycine max (L.) Merr.) under drought stress. Agric. Water Manag. 2013, 129, 105–112. [Google Scholar] [CrossRef]
- Marengo, J.A.; Alves, L.M.; Alvala, R.C.S.; Cunha, A.P.; Brito, S.; Moraes, O.L.L. Climatic characteristics of the 2010–2016 drought in the semiarid Northeast Brazil region. Anais da Academia Brasileira de Ciências 2018, 90, 1973–1985. [Google Scholar] [CrossRef]
- Kayano, M.T.; Andreoli, R.V. Relationships between rainfall anomalies over northeastern Brazil and the El Nino–Southern Oscillation. J. Geophys. Res. 2006, 111, D13101. [Google Scholar] [CrossRef]
- Puteh, A.B.; ThuZar, M.; Mondal, M.M.A.; Abdllah, N.A.P.B.; Halim, M.R.A. Soybean [Glycine max (L.) Merril] seed yield response to high temperatures stress during reproductive growth stages. Aust. J. Crop Sci. 2013, 10, 1472–1479. [Google Scholar]
- Nóia Júnior, R.S.; do Amaral, G.C.; Pezzopane, J.E.M.; Toledo, J.V.; Xavier, T.M.T. Ecophysiology of C3 and C4 plants in terms of responses to extreme soil temperatures. Theor. Exp. Plant Physiol. 2018, 7, 261–274. [Google Scholar] [CrossRef]
- Zhu, X.; Troy, T.J. Agriculturally Relevant Climate Extremes and Their Trends in the World’s Major Growing Regions. Earth’s Future 2018, 6, 656–672. [Google Scholar] [CrossRef]
- Evangelista, B.A.; Silva, F.A.M.; Silva Neto, S.P. Uso das informações agrometeorológicas no monitoramento das culturas agrícolas, tendo como referência a soja. In Anuário. ABRASEM; Becker & Peske: Pelotas, Brazil, 2013; pp. 38–42. [Google Scholar]
- Sinclair, T.R.; Purcell, L.C.; King, C.A.; Sneller, C.H.; Chen, P.; Vadez, V. Drought tolerance and yield increase of soybean resulting from improved symbiotic N2 fixation. Field Crops Res. 2007, 101, 68–71. [Google Scholar] [CrossRef]
- Van Roekel, R.J.; Purcell, L.C.; Salmerón, M. Physiologicaland management factors contributing to soybean potential yield. Field Crops Res. 2015, 182, 86–97. [Google Scholar] [CrossRef]
- Bao, Y.; Hoogenboom, G.; Mcclendon, R.W.; Paz, J.O. Potential for rainfed soybean production in the south–eastern USA underclimate change based on the CSM–CROPGRO–soybean model. J. Agric. Sci. 2015, 153, 798–824. [Google Scholar] [CrossRef]









| Depth | PWP | SFC | SBS | RGF | SHC | SOD | OCB | CLA | SIL | PHW | CEC |
|---|---|---|---|---|---|---|---|---|---|---|---|
| cm | - | cm3 cm−3 | - | - | cm h−1 | g cm−3 | - | % | - | cmolc kg−1 | |
| YELLOW LATOSOL | |||||||||||
| 0–20 | 0.144 | 0.309 | 0.452 | 1.0 | 1.02 | 1.30 | 3.14 | 15.0 | 7.0 | 5.7 | 9.0 |
| 20–40 | 0.069 | 0.219 | 0.399 | 0.6 | 2.63 | 1.50 | 1.57 | 22.0 | 6.0 | 5.9 | 5.0 |
| 40–60 | 0.154 | 0.289 | 0.418 | 0.4 | 0.85 | 1.48 | 1.57 | 31.0 | 5.0 | 6.0 | 3.0 |
| Trait | Coefficients | Definition a/Units |
|---|---|---|
| CSDL | 13.0 | Critical short day length below which reproductive development progresses with no daylength effect (for short day plants)/(h) |
| PPSEN | 0.369 | Slope of the relative response of development to photoperiod with time (positive for short day plants)/(1/h) |
| EM-FL | 24.7 | Time between plant emergence and flower appearance (R1)/(ph. days b) |
| FL-SH | 6.5 | Time between first flower and first pod (R3)/(ph. days) |
| FL-SD | 18.5 | Time between first flower and first seed (R5)/(ph. days) |
| SD-PM | 30.0 | Time between first seed (R5) and physiological maturity (R7)/(ph. days) |
| FL-LF | 26.0 | Time between first flower (R1) and end of leaf expansion/(ph. days) |
| LFMAX | 1.12 | Maximum leaf photosynthesis rate at 30 °C, 350 ppm CO2, and high light/(mg CO2, m−2 s−1). |
| SLAVR | 340 | Specific leaf area of cultivar under standard growth conditions/(cm2 g−1) |
| SIZLF | 185 | Maximum size of full leaf (three leaflets)/(cm2) |
| XFRT | 1.00 | Maximum fraction of daily growth that is partitioned to seed-shell |
| WTPSD | 0.21 | Maximum potential weight per seed/(g) |
| SFDUR | 23.0 | Seed filling duration for pod cohort at standard growth conditions/(ph. days) |
| SDPDV | 2.3 | Average seed per pod under standard growing conditions/(no. pod−1) |
| PODUR | 12.0 | Time required for cultivar to reach final pod load under optimal conditions/(ph. days) |
| THRSH | 74.0 | Threshing percentage, the maximum ratio of (seed)/(seed + shell) at maturity |
| SDPRO | 0.40 | Fraction protein in seeds/(g(protein)/g(seed)) |
| SDLIP | 0.20 | Fraction oil in seeds/(g(oil)/g(seed)) |
| FL-VS | 26.0 | Time from first flower to last leaf on main stem (photothermal days) |
| RHGHT | 1.00 | Relative height of this ecotype in comparison to the standard height per node defined in the species file |
| WRSI Range | Categories of Climate Risks |
|---|---|
| WRSI > 0.65 | Favorable, low risk |
| 0.55 ≤ WRSI ≤ 0.65 | Intermediary, medium risk |
| WRSI < 0.55 | Unfavorable, high risk |
| Variables | Scenarios | ||
|---|---|---|---|
| Climatology | Favorable (Wet) | Unfavorable (Dry) | |
| Rs (MJ m−2 day−1) | 17.86 ± 1.37 | 17.72 ± 1.29 x | 18.15 ± 1.39 |
| Rainfall (mm) | 1388.35 ± 131.78 | 1480.60± 141.54 x | 1335.19± 135.44 |
| ETo (mm day−1) | 4.01 ± 0.40 | 4.00 ± 0.44 | 4.09 ± 0.41 |
| Tmax (°C) | 31.83 ± 1.18 | 31.57 ± 1.23 b,y | 32.18 ± 122 b |
| Tmin (°C) | 21.93 ± 0.43 | 21.73 ± 0.38 b,y | 22.18 ± 0.41 b |
| RH (%) | 78.44 ± 5.80 | 78.75 ± 6.66 x | 77.18 ± 6.05 |
| Variables | Z-Test | Coef. Angular | p-Value |
|---|---|---|---|
| RS (MJ m−2 day−1) | 0.590 | 4.920 | <0.001 |
| RAINFALL (mm) | 0.001 | 0.010 | 0.988 |
| ETO (mm day−1) | 0.500 | 4.150 | <0.001 |
| TMAX (°C) | 0.430 | 3.630 | <0.001 |
| TMIN (°C) | 0.410 | 3.410 | <0.001 |
| RH (%) | −0.500 | −4.220 | <0.001 |
| Locations | Ms | Mo | r | Bias | RMSE |
|---|---|---|---|---|---|
| Climatology | |||||
| Grajaú (MA) | 2550 | 2223 | 0.80 | −21 | 224.3 |
| Uruçuí (PI) | 2194 | 2108 | 0.78 | 117 | 310.5 |
| São Desidério (BA) | 2027 | 1986 | 0.81 | 38 | 282.6 |
| Figueirópolis (TO) | 2256 | 2146 | 0.81 | 152 | 68.4 |
| Favorable-Wet | |||||
| Grajaú (MA) | 2605 | 2460 | 0.95 | −113 | 187.8 |
| Uruçuí (PI) | 2316 | 2301 | 0.98 | −15 | 78.3 |
| São Desidério (BA) | 2115 | 2061 | 0.98 | 140 | 57.6 |
| Figueirópolis (TO) | 2609 | 2298 | 0.93 | 140 | 104.4 |
| Unfavorable-Dry | |||||
| Grajaú (MA) | 2372 | 2219 | 0.92 | 153 | 242.0 |
| Uruçuí (PI) | 2048 | 2029 | 0.93 | 121 | 198.0 |
| São Desidério (BA) | 1951 | 1935 | 0.84 | −161 | 144.1 |
| Figueirópolis (TO) | 2397 | 2159 | 0.98 | 113 | 59.6 |
Publisher’s Note: MDPI stays neutral with regard to jurisdictional claims in published maps and institutional affiliations. |
© 2020 by the authors. Licensee MDPI, Basel, Switzerland. This article is an open access article distributed under the terms and conditions of the Creative Commons Attribution (CC BY) license (http://creativecommons.org/licenses/by/4.0/).
Share and Cite
Reis, L.; Santos e Silva, C.M.; Bezerra, B.; Mutti, P.; Spyrides, M.H.; Silva, P.; Magalhães, T.; Ferreira, R.; Rodrigues, D.; Andrade, L. Influence of Climate Variability on Soybean Yield in MATOPIBA, Brazil. Atmosphere 2020, 11, 1130. https://doi.org/10.3390/atmos11101130
Reis L, Santos e Silva CM, Bezerra B, Mutti P, Spyrides MH, Silva P, Magalhães T, Ferreira R, Rodrigues D, Andrade L. Influence of Climate Variability on Soybean Yield in MATOPIBA, Brazil. Atmosphere. 2020; 11(10):1130. https://doi.org/10.3390/atmos11101130
Chicago/Turabian StyleReis, Layara, Cláudio Moisés Santos e Silva, Bergson Bezerra, Pedro Mutti, Maria Helena Spyrides, Pollyanne Silva, Thaynar Magalhães, Rosaria Ferreira, Daniele Rodrigues, and Lara Andrade. 2020. "Influence of Climate Variability on Soybean Yield in MATOPIBA, Brazil" Atmosphere 11, no. 10: 1130. https://doi.org/10.3390/atmos11101130
APA StyleReis, L., Santos e Silva, C. M., Bezerra, B., Mutti, P., Spyrides, M. H., Silva, P., Magalhães, T., Ferreira, R., Rodrigues, D., & Andrade, L. (2020). Influence of Climate Variability on Soybean Yield in MATOPIBA, Brazil. Atmosphere, 11(10), 1130. https://doi.org/10.3390/atmos11101130

