Characterization of Urban New Particle Formation in Amman—Jordan
Abstract
1. Introduction
2. Materials and Methods
2.1. Aerosol Measurements and Experimental Setup
2.2. Characterization of New Particle Formation
2.2.1. Classification Scheme
2.2.2. Estimation of the Growth Rate and Formation Rate
2.2.3. Condensable Vapor
2.2.4. Multi-Lognormal Fitting of the Particle Number Size Distribution
2.3. Supporting Data
2.3.1. Weather Conditions
2.3.2. Back Trajectories
3. Results and Discussion
3.1. An Overview of the Mean Concentrations
3.2. Frequency of New Particle Formation (NPF) Events
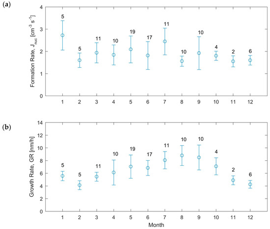
3.3. Characterization of the NPF Events
4. Conclusions
Supplementary Materials
Author Contributions
Funding
Acknowledgments
Conflicts of Interest
References
- Pope, C.A., III; Burnett, R.T.; Thun, M.J.; Calle, E.E.; Krewski, D.; Ito, K.; Thurnston, G.D. Lung cancer, cardiopulmonary mortality, and long-term exposure to fine particulate air pollution. JAMA 2002, 287, 1132–1140. [Google Scholar] [CrossRef] [PubMed]
- Künzli, N.; Kaiser, R.; Medina, S.; Studnicka, M.; Chanel, O.; Filliger, P.; Herry, M.; Horak, F., Jr.; Puybonnieux–Texier, V.; Quenel, P.; et al. Public-health impact of outdoor and traffic–related air pollution: A European assessment. Lancet 2000, 356, 795–801. [Google Scholar] [CrossRef]
- Samet, J.; Dominici, F.C.; Coursac, I.; Zeger, S. Fine particulate air pollution and mortality in 20 U.S. cities, 1987–1994. N. Engl. J. Med. 2000, 343, 1742–1749. [Google Scholar] [CrossRef] [PubMed]
- Atkinson, R.W.; Bremner, S.A.; Anderson, H.R.; Strachan, D.P.; Bland, J.M.; Ponce de Leon, A. Short–term associations between emergency hospital admissions for respiratory and cardiovascular disease and outdoor air pollution in London. Arch. Environ. Health 1999, 54, 398–411. [Google Scholar] [CrossRef] [PubMed]
- IPCC. Climate Change 2013: The Physical Science Basis. Contribution of Working Group I to the Fifth Assessment Report of the Intergovernmental Panel on Climate Change; Cambridge University Press: Cambridge, UK, 2013. [Google Scholar]
- Lohmann, U.; Feichter, J. Global indirect aerosol effects: A review. Atmos. Chem. Phys. 2005, 5, 715–737. [Google Scholar] [CrossRef]
- Haywood, J.M.; Boucher, O. Estimates of the direct and indirect radiative forcing due to tropospheric aerosols: A review. Rev. Goephys. 2000, 38, 513–543. [Google Scholar] [CrossRef]
- Spracklen, D.V.; Carslaw, K.S.; Kulmala, M.; Kerminen, V.M.; Sihto, S.L.; Riipinen, I.; Merikanto, J.; Mann, G.W.; Chipperfield, M.P.; Wiedensohler, A. Contribution of particle formation to global cloud condensation nuclei concentrations. Geophy. Res. Lett. 2008, 35, 6. [Google Scholar] [CrossRef]
- Merikanto, J.; Spracklen, D.; Mann, G.; Pickering, S.; Carslaw, K. Impact of nucleation on global CCN. Atmos. Chem. Phys. 2009, 9, 8601–8616. [Google Scholar] [CrossRef]
- Kerminen, V.M.; Paramonov, M.; Anttila, T.; Riipinen, I.; Fountoukis, C.; Korhonen, H.; Asmi, E.; Laakso, L.; Lihavainen, H.; Swietlicki, E.; et al. Cloud condensation nuclei production associated with atmospheric nucleation: A synthesis based on existing literature and new results. Atmos. Chem. Phys. 2012, 12, 12037–12059. [Google Scholar] [CrossRef]
- Hoffman, D.J. Twenty years of balloon–borne tropospheric aerosol measurements at Laramie, Wyoming. J. Geophys. Res. 1993, 98D, 12753–12766. [Google Scholar] [CrossRef]
- Perry, K.D.; Hobbs, P.V. Further evidence for particle nucleation in clean air adjacent to marine cumulus clouds. J. Geophys. Res. 1994, 99D, 22803–22818. [Google Scholar] [CrossRef]
- Hoppel, W.A.; Frick, G.M.; Fitzgerald, J.W.; Larson, R.E. Marine boundary layer measurements of new particle formation and the effects nonprecipitating clouds have on aerosol size distribution. J. Geophys. Res. 1994, 99D, 14443–14459. [Google Scholar] [CrossRef]
- Clarke, A.D.; Davis, D.; Kapustin, V.N.; Eisele, F.; Chen, G.; Paluch, I.; Lenschow, D.; Bandy, A.R.; Thornton, D.; Moore, K.; et al. Particle nucleation in the tropical boundary layer and its coupling to marine sulfur sources. Science 1998, 282, 89–92. [Google Scholar] [CrossRef] [PubMed]
- Clarke, A.D.; Kapustin, V.N.; Eisele, F.L.; Weber, R.J.; McMurry, P.H. Particle production near marine clouds: Sulfuric acid and predictions from classical binary nucleation. Geophys. Res. Lett. 1999, 26, 2425–2428. [Google Scholar] [CrossRef]
- Clarke, A.D.; Eisele, F.; Kapustin, V.N.; Moore, K.; Tanner, D.; Mauldin, L.; Litchy, M.; Lienert, B.; Carroll, M.A.; Albercook, G. Nucleation in the equatorial free troposphere: Favorable environments during PEM-tropics. J. Geophys. Res. 1999, 104D, 5735–5744. [Google Scholar] [CrossRef]
- Nyeki, S.; Kalberer, M.; Lugauer, M.; Weingartner, E.; Petzold, A.; Schröder, F.; Colbeck, I.; Baltensperger, U. Condensation Nuclei (CN) and ultrafine CN in the free troposphere to 12 km: A case study over the Jungfraujoch high–alpine research station. Geophys. Res. Lett. 1999, 14, 2195–2198. [Google Scholar] [CrossRef]
- Keil, A.; Wendisch, M. Bursts of Aitken mode and ultrafine particles observed at the top of continental boundary layer clouds. J. Aerosol Sci. 2001, 32, 649–660. [Google Scholar] [CrossRef]
- Weber, R.J.; Moore, K.; Kapustin, V.; Clarke, A.; Mauldin, R.L.; Kosciuch, E.; Cantrell, C.; Eisele, F.; Andersson, B.; Thornhill, L. Nucleation in the equatorial pacific during PEM tropics B: Enhanced boundary layer H2SO4 but no particle production. J. Geophys. Res. 2001, 106D, 32767–32776. [Google Scholar] [CrossRef]
- Twohy, C.H.; Clement, C.F.; Gandrud, B.W.; Weinheimer, A.J.; Campos, T.L.; Baumgardner, D.; Brune, W.H.; Faloona, I.; Sachse, G.W.; Vay, S.A.; et al. Deep convection as a source of new particles in the midlatitude upper troposphere. J. Geophys. Res. 2002, 107D. [Google Scholar] [CrossRef]
- Weber, R.J.; McMurry, P.H.; Eisele, F.L.; Tanner, J. Measurement of expected nucleation precursor species and 3–500-nm diameter particles at Mauna Loa observatory, Hawaii. J. Atmos. Sci. 1995, 52, 2242–2257. [Google Scholar] [CrossRef]
- Weber, R.J.; Marti, J.J.; McMurry, P.H.; Eisele, F.L.; Tanner, D.J.; Jefferson, A. Measured atmospheric new particle formation rates: Implications for nucleation mechanisms. Chem. Eng. Comm. 1996, 151, 53–64. [Google Scholar] [CrossRef]
- Weber, R.J.; Marti, J.J.; McMurry, P.H.; Eisele, F.L.; Tanner, D.J.; Jefferson, A. Measurements of new particle formation and ultrafine particle growth rates at a clean continental site. J. Geophys. Res. 1997, 102D, 4375–4385. [Google Scholar] [CrossRef]
- Venzac, H.; Sellegri, K.; Laj, P. Nucleation events detected at the high altitude site of the Puy de Dôme Research Station, France. Boreal Environ. Res. 2007, 12, 345–360. [Google Scholar]
- Mäkelä, J.M.; Aalto, P.; Jokinen, V.; Pohja, T.; Nissinen, A.; Palmroth, S.; Markkanen, T.; Seitsonen, K.; Lihavainen, H.; Kulmala, M. Observations of ultrafine aerosol particle formation and growth in boreal forest. Geophys. Res. Lett. 1997, 24, 1219–1222. [Google Scholar] [CrossRef]
- Kulmala, M.; Vehkamäki, H.; Petäjä, T.; Dal Maso, M.; Lauri, A.; Kerminen, V.M.; Birmili, W.; McMurry, P.H. Formation and growth rates of ultrafine atmospheric particles: A review of observations. J. Aerosol Sci. 2004, 35, 143–176. [Google Scholar] [CrossRef]
- Kulmala, M.; Riipinen, I.; Sipilä, M.; Manninen, H.E.; Petäjä, T.; Junninen, H.; Dal Maso, M.; Mordas, G.; Mirme, A.; Vana, M.; et al. Toward Direct Measurement of Atmospheric Nucleation. Science 2007, 318, 89–92. [Google Scholar] [CrossRef]
- Vehkamäki, H.; Dal Maso, M.; Hussein, T.; Flanagan, R.; Hyvärinen, A.; Lauros, J.; Merikanto, J.; Mönkkönen, P.; Pihlatie, M.; Salminen, K.; et al. Atmospheric particle formation events at Värriö measurement station in Finnish Lapland 1998–2002. Atmos. Chem. Phys. 2004, 4, 2015–2023. [Google Scholar] [CrossRef]
- Sipilä, M.; Berndt, T.; Petäjä, T.; Brus, D.; Vanhanen, J.; Stratmann, F.; Patokoski, J.; Mauldin, R.L.; Hyvärinen, A.P.; Lihavainen, H.; et al. The Role of Sulfuric Acid in Atmospheric Nucleation. Science 2010, 327, 1243–1246. [Google Scholar] [CrossRef]
- Birmili, W.; Wiedensohler, A. New particle formation in the continental boundary layer: Meteorological and gas phase parameter influence. Geophys. Res. Lett. 2000, 27, 3325–3328. [Google Scholar] [CrossRef]
- Birmili, W.; Berresheim, H.; Plass-Dülmer, C.; Elste, T.; Gilge, S.; Wiedensohler, A.; Uhrner, U. The Hohenpeissenberg aerosol formation experiment (HAFEX): A long-term study including size-resolved aerosol, H2SO4, OH, and monoterpenes measurements. Atmos. Chem. Phys. 2003, 3, 361–376. [Google Scholar] [CrossRef]
- Woo, K.S.; Chen, D.R.; Pui, D.Y.H.; McMurry, P.H. Measurements of Atlanta aerosol size distributions: Observations of ultrafine particle events. Aerosol Sci. Tech. 2001, 34, 75–87. [Google Scholar] [CrossRef]
- Stanier, C.O.; Khlystov, A.Y.; Pandis, S.N. Investigation of nucleation bursts during the Pittsburgh air quality study. In Abstracts of the Sixth International Aerosol Conference; AGU: Washington, DC, USA, 2002; pp. 1291–1292. [Google Scholar]
- Shi, Q. Continuous Measurements of 3 nm to 10 m Aerosol Size Distributions in St. Louis. Master’s Thesis, University of Minnesota, Minneapolis, MN, USA, 2003. [Google Scholar]
- Petäjä, T.; Kerminen, V.M.; Dal Maso, M.; Junninen, H.; Koponen, I.K.; Hussein, T.; Aalto, P.P.; Ronopoulos, S.; Robin, D.; Hämeri, K.; et al. Sub-micron atmospheric aerosols in the surroundings of Marseille and Athens: physical characterization and new particle formation. Atmos. Chem. Phys. 2007, 7, 2705–2720. [Google Scholar] [CrossRef]
- Qian, S.; Sakurai, S.; McMurry, P.H. Characteristics of regional nucleation events in urban East St. Louis. Atmos. Environ. 2007, 41, 4119–4127. [Google Scholar] [CrossRef]
- Kerminen, V.M.; Chen, X.; Vakkari, V.; Petäjä, T.; Kulmala, M.; Bianchi, F. Atmospheric new particle formation and growth: Review of field observations. Environ. Res. Lett. 2018, 13, 103003. [Google Scholar] [CrossRef]
- Yao, L.; Garmash, O.; Bianchi, F.; Zheng, J.; Yan, C.; Kontkanen, J.; Junninen, H.; Mazon, S.B.; Ehn, M.; Paasonen, P.; et al. Atmospheric new particle formation from sulfuric acid and amines in a Chinese megacity. Science 2018, 361, 278–281. [Google Scholar] [CrossRef]
- Chu, B.; Kerminen, V.M.; Bianchi, F.; Yan, C.; Petäjä, T.; Kulmala, M. Atmospheric new particle formation in China. Atmos. Chem. Phys. 2019, 19, 115–138. [Google Scholar] [CrossRef]
- Hussein, T.; Martikainen, J.; Junninen, H.; Sogacheva, L.; Wagner, R.; Dal Maso, M.; Riipinen, I.; Aalto, P.P.; Kulmala, M. Observation of Regional New Particle Formation in the Urban Atmosphere. Tellus B 2008, 60, 509–521. [Google Scholar] [CrossRef]
- Salma, I.; Borsos, T.; Weidinger, T.; Alato, P.; Hussein, T.; Dal Maso, M.; Kulmala, M. Production, growth and properties of ultrafine atmospheric aerosol particles in an urban environment. Atmos. Chem. Phys. 2011, 11, 1339–1353. [Google Scholar] [CrossRef]
- O’Dowd, C.D.; McFiggans, G.; Greasey, D.J.; Pirjola, L.; Hoell, C.; Smith, M.H.; Allan, B.J.; Plane, J.M.C.; Heard, D.E.; Lee, J.D.; et al. On the photochemical production of new particles in the coastal boundary layer. Geophys. Res. Lett. 1999, 26, 1707–1710. [Google Scholar] [CrossRef]
- Kalkavouras, P.; Bossioli, E.; Bezantakos, S.; Bougiatioti, A.; Kalivitis, N.; Stavroulas, I.; Kouvarakis, G.; Protonotariou, A.P.; Dandou, A.; Biskos, G.; et al. New particle formation in the southern Aegean Sea during the Etesians: Importance for CCN production and cloud droplet number. Atmos. Chem. Phys. 2017, 17, 175–192. [Google Scholar] [CrossRef]
- Berland, K.; Rose, C.; Pey, J.; Culot, A.; Freney, E.; Kalivitis, N.; Kouvarakis, G.; Cerro, J.C.; Mallet, M.; Sartelet, K.; et al. Spatial extent of new particle formation events over the Mediterranean Basin from multiple ground-based and airborne measurements. Atmos. Chem. Phys. 2017, 17, 9567–9583. [Google Scholar] [CrossRef]
- Debevec, C.; Sauvage, S.; Gros, V.; Sellegri, K.; Sciare, J.; Pikridas, M.; Stavroulas, I.; Leonardis, T.; Gaudion, V.; Depelchin, L.; et al. Driving parameters of biogenic volatile organic compounds and consequences on new particle formation observed at an eastern Mediterranean background site. Atmos. Chem. Phys. 2018, 18, 14297–14325. [Google Scholar] [CrossRef]
- Kalivitis, N.; Kerminen, V.M.; Kouvarakis, G.; Stavroulas, I.; Tzitzikalaki, E.; Kalkavouras, P.; Daskalakis, N.; Myriokefalitakis, S.; Bougiatioti, A.; Manninen, H.E.; et al. Formation and growth of atmospheric nanoparticles in the Eastern Mediterranean: results from long-term measurements and process simulations. Atmos. Chem. Phys. 2019, 19, 2671–2686. [Google Scholar] [CrossRef]
- Majdi, M.; Sartelet, K.; Lanzafame, G.M.; Couvidat, F.; Kim, Y.; Chrit, M.; Turquety, S. Precursors and formation of secondary organic aerosols from wildfires in the Euro-Mediterranean region. Atmos. Chem. Phys. 2019, 19, 5543–5569. [Google Scholar] [CrossRef]
- Gong, X.; Wex, H.; Müller, T.; Wiedensohler, A.; Höhler, K.; Kandler, K.; Ma, N.; Dietel, B.; Schiebel, T.; Möhler, O.; et al. Characterization of aerosol properties at Cyprus, focusing on cloud condensation nuclei and ice-nucleating particles. Atmos. Chem. Phys. 2019, 19, 10883–10900. [Google Scholar] [CrossRef]
- Kopanakis, I.; Chatoutsidou, S.E.; Torseth, K.; Glytsos, T.; Lazaridis, M. Particle number size distribution in the eastern Mediterranean: Formation and growth rates of ultrafine airborne atmospheric particles. Atmos. Environ. 2013, 77, 790–802. [Google Scholar] [CrossRef]
- Alonso-Blanco, E.; Gómez-Moreno, F.J.; Núñez, L.; Pujadas, M.; Cusack, M.; Artíñano, B. Aerosol particle shrinkage event phenomenology in a South European suburban area during 2009–2015. Atmos. Environ. 2017, 160, 154–164. [Google Scholar] [CrossRef]
- Hakala, S.; Alghamdi, M.A.; Paasonen, P.; Vakkari, V.; Khoder, M.; Neitola, K.; Dada, L.; Abdelmaksoud, A.S.; Al-Jeelani, H.; Shabbaj, I.I.; et al. New particle formation, growth and apparent shrinkage at a rural background site in western Saudi Arabia. Atmos. Chem. Phys. 2019, 19, 10537–10555. [Google Scholar] [CrossRef]
- Lihavainen, H.; Alghamdi, M.A.; Hyvärinen, A.P.; Hussein, T.; Aaltonen, V.; Abdelmaksoud, A.S.; Al-Jeelani, H.; Almazroui, M.; Almehmadi, F.M.; Al Zawad, F.M.; et al. Aerosols Physical properties at Hada Al Sham, Western Saudi Arabia. Atmos. Environ. 2016, 135, 109–117. [Google Scholar] [CrossRef]
- Han, Y.; Iwamoto, Y.; Nakayama, T.; Kawamura, K.; Hussein, T.; Mochida, M. Observation of new particle formation over a mid-latitude forest facing the North Pacific. Atmos. Environ. 2013, 64, 77–84. [Google Scholar] [CrossRef]
- Deng, Y.; Kagami, S.; Ogawa, S.; Kawana, K.; Nakayama, T.; Kubodera, R.; Adachi, K.; Hussein, T.; Miyazaki, Y.; Mochida, M. Hygroscopicity of organic aerosols and their contributions to CCN concentrations over a mid-latitude forest in Japan. J. Geophys. Res.: Atmos. 2018, 123, 9703–9723. [Google Scholar]
- Siingh, D.; Gautam, A.S.; Buchunde, P.S.; Kamra, A.K. Classification of the new particle formation events observed at a tropical site, Pune, India. Atmos. Environ. 2018, 190, 10–22. [Google Scholar] [CrossRef]
- Jun, Y.S.; Jeong, C.H.; Sabaliauskas, K.; Leaitch, W.R.; Evans, G.J. A year–long comparison of particle formation events at paired urban and rural locations. Atmos. Poll. Res. 2014, 5, 447–454. [Google Scholar] [CrossRef]
- Lyu, X.P.; Guo, H.; Cheng, H.R.; Wang, D.W. New particle formation and growth at a suburban site and a background site in Hong Kong. Chemosphere 2018, 193, 664–674. [Google Scholar] [CrossRef]
- Betha, R.; Spracklen, D.V.; Balasubramanian, R. Observations of new aerosol particle formation in a tropical urban atmosphere. Atmos. Environ. 2013, 71, 340–351. [Google Scholar] [CrossRef]
- Kanawade, V.P.; Tripathi, S.N.; Siingh, D.; Gautam, A.S.; Srivastava, A.K.; Kamra, A.K.; Soni, V.K.; Sethi, V. Observations of new particle formation at two distinct Indian subcontinental urban locations. Atmos. Environ. 2014, 96, 370–379. [Google Scholar] [CrossRef]
- Wonaschütz, A.; Demattio, A.; Wagner, R.; Burkart, J.; Zíkova, N.; Vodicka, P.; Ludwig, W.; Steiner, G.; Schwarz, J.; Hitzenberger, R. Seasonality of new particle formation in Vienna, Austria—Influence of air mass origin and aerosol chemical composition. Atmos. Environ. 2015, 118, 118–126. [Google Scholar] [CrossRef]
- Zhu, Y.; Sabaliauskas, K.; Liu, X.; Meng, H.; Gao, H.; Jeong, C.-H.; Evans, G.J.; Yao, X. Comparative analysis of new particle formation events in less and severely polluted urban atmosphere. Atmos. Environ. 2014, 98, 655–664. [Google Scholar] [CrossRef]
- An, J.; Wang, H.; Shen, L.; Zhu, B.; Zou, J.; Gao, J.; Kang, H. Characteristics of new particle formation events in Nanjing, China: Effect of water-soluble ions. Atmos. Environ. 2015, 108, 32–40. [Google Scholar] [CrossRef]
- Gao, J.; Chai, F.; Wang, T.; Wang, W. Particle number size distribution and new particle formation (NPF) in Lanzhou, Western China. Particuology 2011, 9, 611–618. [Google Scholar] [CrossRef]
- Hussein, T.; Junninen, H.; Tunved, P.; Kristensson, A.; Dal Maso, M.; Riipinen, I.; Aalto, P.P.; Hansson, H.-C.; Swietlicki, E.; Kulmala, M. Time-span and spatial-scale of regional new particle formation events over Finland and Southern Finland. Atmos. Chem. Phys. 2009, 9, 4699–4716. [Google Scholar] [CrossRef]
- Kim, Y.; Yoon, S.-C.; Kim, S.-W.; Kim, K.-Y.; Lim, H.-C.; Ryu, J. Observation of new particle formation and growth events in Asian continental outflow. Atmos. Environ. 2013, 64, 160–168. [Google Scholar] [CrossRef]
- Salma, I.; Németh, Z. Dynamic and timing properties of new aerosol particle formation and consecutive growth events. Atmos. Chem. Phys. 2019, 19, 5835–5852. [Google Scholar] [CrossRef]
- Salma, I.; Németh, Z.; Kerminen, V.-M.; Aalto, P.; Nieminen, T.; Weidinger, T.; Molnár, Á.; Imre, K.; Kulmala, M. Regional effect on urban atmospheric nucleation. Atmos. Chem. Phys. 2016, 16, 8715–8728. [Google Scholar] [CrossRef]
- Salma, I.; Németh, Z.; Weidinger, T.; Kovács, B.; Kristóf, G. Measurement, growth types and shrinkage of newly formed aerosol particles at an urban research platform. Atmos. Chem. Phys. 2016, 16, 7837–7851. [Google Scholar] [CrossRef]
- Crippa, P.; Pryor, S.C. Spatial and temporal scales of new particle formation events in eastern North America. Atmos. Environ. 2013, 75, 257–264. [Google Scholar] [CrossRef]
- Németh, Z.; Rosati, B.; Zíková, N.; Salma, I.; Bozó, L.; de España, C.D.; Schwarz, J.; Ždímal, V.; Wonaschütz, A. Comparison of atmospheric new particle formation events in three Central European cities. Atmos. Environ. 2018, 178, 191–197. [Google Scholar] [CrossRef]
- Sihto, S.-L.; Kulmala, M.; Kerminen, V.-M.; Maso, M.D.; Petäjä, T.; Riipinen, I.; Korhonen, H.; Arnold, F.; Janson, R.; Boy, M.J.A.C.; et al. Atmospheric sulphuric acid and aerosol formation: implications from atmospheric measurements for nucleation and early growth mechanisms. Atmos. Chem. Phys. 2006, 6, 4079–4091. [Google Scholar] [CrossRef]
- Riccobono, F.; Rondo, L.; Sipila, M.; Barmet, P.; Curtius, J.; Dommen, J.; Ehn, M.; Ehrhart, S.; Kulmala, M.; Kurten, A.; et al. Contribution of sulfuric acid and oxidized organic compounds to particle formation and growth. Atmos. Chem. Phys. 2012, 12, 9427–9439. [Google Scholar] [CrossRef]
- Kirkby, J.; Duplissy, J.; Sengupta, K.; Frege, C.; Gordon, H.; Williamson, C.; Heinritzi, M.; Simon, M.; Yan, C.; Almeida, J.; et al. Ion-induced nucleation of pure biogenic particles. Nature 2016, 533, 521–526. [Google Scholar] [CrossRef]
- Lehtipalo, K.; Yan, C.; Dada, L.; Bianchi, F.; Xiao, M.; Wagner, R.; Stolzenburg, D.; Ahonen, L.R.; Amorim, A.; Baccarini, A.; et al. Multicomponent new particle formation from sulfuric acid, ammonia, and biogenic vapors. Sci. Adv. 2018, 4, eaau5363. [Google Scholar] [CrossRef] [PubMed]
- Kulmala, M.; Petaja, T.; Nieminen, T.; Sipila, M.; Manninen, H.E.; Lehtipalo, K.; Dal Maso, M.; Aalto, P.P.; Junninen, H.; Paasonen, P.; et al. Measurement of the nucleation of atmospheric aerosol particles. Nat. Protoc. 2012, 7, 1651–1667. [Google Scholar] [CrossRef] [PubMed]
- Nieminen, T.; Kerminen, V.M.; Petäjä, T.; Aalto, P.P.; Arshinov, M.; Asmi, E.; Baltensperger, U.; Beddows, D.C.S.; Beukes, J.P.; Collins, D.; et al. Global analysis of continental boundary layer new particle formation based on long-term measurements. Atmos. Chem. Phys. 2018, 18, 14737–14756. [Google Scholar] [CrossRef]
- Pikridas, M.; Riipinen, I.; Hildebrandt, L.; Kostenidou, E.; Manninen, H.; Mihalopoulos, N.; Kalivitis, N.; Burkhart, J.F.; Stohl, A.; Kulmala, M.; et al. New particle formation at a remote site in the eastern Mediterranean. J. Geophys. Res. Atmos. 2012, 117, D12205. [Google Scholar] [CrossRef]
- Cusack, M.; Alastuey, A.; Querol, X.S. Case studies of new particle formation and evaporation processes in the western Mediterranean regional background. Atmospheric Enviro. 2013, 81, 651–659. [Google Scholar] [CrossRef]
- Hussein, T.; Dada, L.; Hakala, S.; Petäjä, T.; Kulmala, M. Urban Aerosols Particle Size Characterization in Eastern Mediterranean Conditions. Atmosphere 2019, 10, 710. [Google Scholar] [CrossRef]
- Hussein, T.; Saleh, S.S.A.; dos Santos, V.N.; Abdullah, H.; Boor, B.E. Black Carbon and Particulate Matter Concentrations in Eastern Mediterranean Urban Conditions—An Assessment Based on Integrated Stationary and Mobile Observations. Atmosphere 2019, 10, 323. [Google Scholar] [CrossRef]
- Saleh, S.S.A.; Shilbayeh, Z.; Alkattan, H.; Al-Refie, M.R.; Jaghbeir, O.; Hussein, T. Temporal Variations of Submicron Particle Number Concentrations at an Urban Background Site in Amman—Jordan. Jordan J. Earth Environ. Sci. 2019, 10, 37–44. [Google Scholar]
- Hussein, T.; Sogacheva, L.; Petäjä, T. Accumulation and Coarse Modes Particle Concentrations during Dew Formation and Precipitation. Aerosol Air Qual. Res. 2018, 18, 2929–2938. [Google Scholar] [CrossRef]
- Hussein, T.; Juwhari, H.; Al Kuisi, M.; Alkattan, H.; Lahlouh, B.; Al-Hunaiti, A. Accumulation and Coarse Modes Aerosols Concentrations and Carbonaceous Contents in the Urban Background Atmosphere in Amman—Jordan. Arab. J. Geosci. 2018, 11, 617. [Google Scholar] [CrossRef]
- Hussein, T.; Betar, A. Size-Fractionated Number and Mass Concentrations in the Urban Background Atmosphere during Spring 2014 in Amman—Jordan. Jordan J. Phys. 2017, 10, 51–60. [Google Scholar]
- Hussein, T.; Boor, B.E.; dos Santos, V.N.; Kangasluoma, J.; Petäjä, T.; Lihavainen, H. Mobile Aerosol Measurement in the Eastern Mediterranean—A Utilization of Portable Instruments. Aerosol Air Qual. Res. 2017, 17, 1875–1886. [Google Scholar] [CrossRef]
- Hussein, T.; Halayka, M.; Abu Al-Ruz, R.; Abdullah, H.; Mølgaard, B.; Petäjä, T. Fine Particle Number Concentrations in Amman and Zarqa during Spring 2014. Jordan J. Phys. 2016, 9, 31–46. [Google Scholar]
- Hussein, T.; Abu Al-Ruz, R.; Petäjä, T.; Junninen, H.; Arafah, D.-E.; Hämeri, K.; Kulmala, M. Local air pollution versus short–range transported dust episodes: A comparative study for submicron particle number concentration. Aerosol Air Qual. Res. 2011, 11, 109–119. [Google Scholar] [CrossRef]
- Heintzenberg, J.; Wehner, B.; Birmili, W. "How to find bananas in the atmospheric aerosol": New approach for analyzing atmospheric nucleation and growth events. Tellus B 2007, 59, 273–282. [Google Scholar] [CrossRef]
- Dal Maso, M.; Kulmala, M.; Riipinen, I.; Wagner, R.; Hussein, T.; Aalto, P.P.; Lehtinen, K.E.J. Formation and growth of fresh atmospheric aerosols: eight years of aerosol size distribution data from SMEAR II, Hyytiälä, Finland. Boreal Environ. Res. 2005, 10, 323–336. [Google Scholar]
- Lehtinen, K.; Kulmala, M. A model for particle formation and growth in the atmosphere with molecular resolution in size. Atmos. Chem. Phys. 2003, 3, 251–258. [Google Scholar] [CrossRef]
- Kulmala, M.; Dal Maso, M.; Mäkelä, J.M.; Pirjola, L.; Väkevä, M.; Aalto, P.; Miikkulainen, P.; Hämeri, K.; O’Dowd, C.D. On the formation, growth and composition of nucleation mode particles. Tellus B 2001, 53B, 479–490. [Google Scholar] [CrossRef]
- Mäkelä, J.M.; Dal Maso, M.; Pirjola, L.; Keronen, P.; Laakso, L.; Kulmala, M.; Laaksonen, A. Characteristics of the atmospheric particle formation events observed at a boreal forest site in southern Finland. Boreal Env. Res. 2000, 5, 299–313. [Google Scholar]
- Fuchs, N.A. The Mechanics of Aerosols; Dover Publication: New York, NY, USA, 1964. [Google Scholar]
- Whitby, K.H. The physical characteristics of sulfur aerosols. Atmos. Environ. 1978, 12, 135–159. [Google Scholar] [CrossRef]
- Seinfeld, H.S.; Pandis, S.N. Atmospheric Chemistry and Physics: From Air Pollution to Climate Change, 2nd ed.; John Wiley & Sons: New York, NY, USA, 1998. [Google Scholar]
- Hussein, T.; Dal Maso, M.; Petäjä, T.; Koponen, I.K.; Paatero, P.; Aalto, P.P.; Hämeri, K.; Kulmala, M. Evaluation of an automatic algorithm for fitting the particle number size distributions. Boreal Environ. Res. 2005, 10, 337–355. [Google Scholar]
- Draxler, R.; Hess, G.D. Description of the HYSPLIT_4 Modeling System; NOAA Tech. Memo. ERL ARL-224: Maryland, MD, USA, 1997. [Google Scholar]
- Draxler, R.; Stunder, B.; Rolph, G.; Stein, A.; Taylor, A. HYSPLIT4 User’s Guide. Available online: http://www.arl.noaa.gov/documents/reports/hysplit_user_guide.pdf (accessed on 8 January 2020).
- Stein, A.F.; Draxler, R.; Rolph, G.D.; Stunder, B.J.B.; Cohen, M.D.; Ngan, F. Noaa’s hysplit atmospheric transport and dispersion modeling system. Bull. Am. Meteorol. Soc. 2015, 96, 2059–2077. [Google Scholar] [CrossRef]
- Olin, M.; Kuuluvainen, H.; Aurela, M.; Kalliokoski, J.; Kuittinen, N.; Isotalo, M.; Timonen, H.J.; Niemi, J.V.; Rönkkö, T.; Dal Maso, M. Traffic-originated nanocluster emission exceeds H2SO4-driven photochemical new particle formation in an urban area. Atmos. Chem. Phys. Discuss. 2020, 20, 1–13. [Google Scholar] [CrossRef]
- Young, L.H.; Lee, S.-H.; Kanawade, V.P.; Hsiao, T.-C.; Lee, Y.L.; Hwang, B.-F.; Liou, Y.-J.; Hsu, H.-T.; Tsai, P.-J. New particle growth and shrinkage observed in subtropical environments. Atmos. Chem. Phys. 2013, 13, 547–564. [Google Scholar]
- Nilsson, E.D.; Kulmala, M. The potential for atmospheric mixing processes to enhance the binary nucleation rate. J. Geophys. Res. 1998, 103, 1381–1389. [Google Scholar] [CrossRef]
- Hamdi, M.R.; Bdour, A.; Tarawneh, Z. Diesel quality in Jordan: impacts and industrial emissions on urban air quality. Environ. Eng. Sci. 2008, 25, 1333–1343. [Google Scholar] [CrossRef]
- Lee, S.-H.; Gordon, H.; Yu, H.; Lehtipalo, K.; Haley, R.; Li, Y.; Zhang, R. New Particle Formation in the Atmosphere: From Molecular Clusters to Global Climate. J. Geophys. Res. Atmos. 2019, 124, 7098–7146. [Google Scholar] [CrossRef]
- Dai, L.; Wang, H.; Zhou, L.; An, J.; Tang, L.; Lu, C.; Yan, W.; Liu, R.; Kong, S.; Chen, M.; et al. Regional and local new particle formation events observed in the Yangtze River Delta region, China. J. Geophys. Res. Atmos. 2017, 122, 2389–2402. [Google Scholar] [CrossRef]
- Erupe, M.E.; Benson, D.R.; Li, J.; Young, L.-H.; Verheggen, B.; Al-Refai, M.; Tahboub, O.; Cunningham, V.; Frimpong, F.; Viggiano, A.A.; et al. Correlation of aerosol nucleation rate with sulfuric acid and ammonia in Kent Ohio: an atmospheric observation. J. Geophys. Res. 2010, 115, D23216. [Google Scholar] [CrossRef]
- Kulmala, M.; Petäjä, T.; Mönkkänen, P.; Koponen, I.K.; Dal Maso, M.; Aalto, P.P.; Lehtinen, K.E.J.; Kerminen, V.-M. On the growth of nucleation mode particles: source rates of condensable vapour in polluted and clean environments. Atmos. Chem. Phys. 2005, 5, 409–416. [Google Scholar] [CrossRef]







| Year | Month | Event | Und. | Non-Event | Bad/Missing | ||
|---|---|---|---|---|---|---|---|
| Type I | Type II | Total | |||||
| 2017 | January | 5 | 0 | 5 | 8 | 17 | 1 |
| February | 2 | 3 | 5 | 5 | 15 | 3 | |
| March | 7 | 4 | 11 | 6 | 14 | 0 | |
| April | 9 | 1 | 10 | 9 | 6 | 5 | |
| May | 8 | 11 | 19 | 8 | 4 | 0 | |
| June | 6 | 11 | 17 | 8 | 5 | 0 | |
| July | 3 | 8 | 11 | 15 | 3 | 2 | |
| 2016 | August | 2 | 8 | 10 | 12 | 5 | 4 |
| September | 4 | 6 | 10 | 9 | 9 | 2 | |
| October | 4 | 0 | 4 | 5 | 15 | 7 | |
| November | 2 | 0 | 2 | 3 | 14 | 11 | |
| December | 3 | 3 | 6 | 3 | 18 | 4 | |
| Year | Month | J10 | GR | CS | Q | ||||
|---|---|---|---|---|---|---|---|---|---|
| Mean | Stdev | Mean | Stdev | Mean | Stdev | Mean | Stdev | ||
| 2017 | January | 2.7 | 1.3 | 5.6 | 1.5 | 13.3 | 5.0 | 4.6 | 1.1 |
| February | 1.6 | 0.7 | 4.1 | 1.4 | 11.8 | 4.6 | 3.4 | 1.6 | |
| March | 1.9 | 0.9 | 5.5 | 1.4 | 10.8 | 3.3 | 3.3 | 0.8 | |
| April | 1.8 | 0.9 | 6.1 | 3.9 | 8.3 | 2.1 | 4.2 | 3.1 | |
| May | 2.1 | 1.2 | 7.0 | 3.7 | 6.9 | 1.4 | 3.7 | 2.1 | |
| June | 1.8 | 1.2 | 6.8 | 2.4 | 6.4 | 1.1 | 3.6 | 1.6 | |
| July | 2.4 | 1.2 | 8.1 | 2.7 | 7.5 | 1.2 | 5.0 | 1.6 | |
| 2016 | August | 1.6 | 0.5 | 8.8 | 3.1 | 9.0 | 1.6 | 6.9 | 2.1 |
| September | 1.9 | 1.5 | 8.5 | 3.9 | 8.7 | 0.7 | 6.4 | 3.0 | |
| October | 1.8 | 0.4 | 7.1 | 2.7 | 10.3 | 1.8 | 4.6 | 1.4 | |
| November | 1.6 | 0.5 | 4.9 | 1.4 | 14.8 | 3.2 | 3.1 | 0.7 | |
| December | 1.6 | 0.4 | 4.3 | 1.2 | 13.9 | 5.2 | 2.6 | 1.0 | |
© 2020 by the authors. Licensee MDPI, Basel, Switzerland. This article is an open access article distributed under the terms and conditions of the Creative Commons Attribution (CC BY) license (http://creativecommons.org/licenses/by/4.0/).
Share and Cite
Hussein, T.; Atashi, N.; Sogacheva, L.; Hakala, S.; Dada, L.; Petäjä, T.; Kulmala, M. Characterization of Urban New Particle Formation in Amman—Jordan. Atmosphere 2020, 11, 79. https://doi.org/10.3390/atmos11010079
Hussein T, Atashi N, Sogacheva L, Hakala S, Dada L, Petäjä T, Kulmala M. Characterization of Urban New Particle Formation in Amman—Jordan. Atmosphere. 2020; 11(1):79. https://doi.org/10.3390/atmos11010079
Chicago/Turabian StyleHussein, Tareq, Nahid Atashi, Larisa Sogacheva, Simo Hakala, Lubna Dada, Tuukka Petäjä, and Markku Kulmala. 2020. "Characterization of Urban New Particle Formation in Amman—Jordan" Atmosphere 11, no. 1: 79. https://doi.org/10.3390/atmos11010079
APA StyleHussein, T., Atashi, N., Sogacheva, L., Hakala, S., Dada, L., Petäjä, T., & Kulmala, M. (2020). Characterization of Urban New Particle Formation in Amman—Jordan. Atmosphere, 11(1), 79. https://doi.org/10.3390/atmos11010079

