Car Wake Flows and Ultrafine Particle Dispersion: From Experiments to Modelling
Abstract
1. Introduction
2. Experimental Facilities and Measurement Techniques
2.1. Experimental Facilities
2.2. Measurement Techniques
2.3. Experimental Conditions, Data Acquisition and Analysis
- For PNC measurements, data acquisition lasted at least 80 s. It is divided in three different phases: (1) determination of the ambient levels (duration ~5 s, no particle generated), (2) particle generation (duration ~10 s until a stabilized level is reached) and (3) measurements (~60 s, PNC levels are recorded). The data rate was 1 Hertz;
- Measurements with a single vehicle: the horizontal step between two points was 10 mm in the close wake (0.09 < x* < 1.94) and 50 mm for 1.94 < x* < 5.65. The vertical step was 5 mm for 0.09 < y* < 1.11, which covers the entire height of the car model. Boundary layer profiles were also determined in the wake of the vehicle for −0.28 < y* < 0.09. Furthermore, additional measurements were made above the rear slant for φ = 25° and 35° to characterize the flow attachment or detachment. Lastly, 4 vertical planes were investigated to cover half width of the vehicle (z* = −0.68, −0.46, −0.23 and 0). Altogether, more than 5700 points were considered;
- Measurements with two vehicles: six inter-vehicle distances (d) were studied. Using dimensionless distances, they were given by D = d/h = 0.93; 1.85; 2.78; 3.70; 4.62 and 5.56. The horizontal step was always 10 mm for D = 0.93, 1.85, 2.78, 3.70 and 4.62. For D = 5.56, it was either 10 mm (0.19 < x* < 2.22) or 20 mm (2.59 < x* < 5.56). In the vertical direction, it was 5 mm for 0 < y* < 1.11. For this configuration with two vehicles, measurements were made at the centreline of the channel (z* = 0) at more than 3700 positions.
3. Results
3.1. Single Vehicle
3.1.1. Wake Flow Dynamics
3.1.2. Particle Dispersion in the Wake of a Single Vehicle
- For φ = 0°, highest levels of PNC are obviously aligned with the tailpipe. High levels of PNC are also revealed in both streamwise and vertical directions. In the vertical direction, particles spread almost over the total height and width of the vehicle but with different magnitudes. Indeed, when they are ejected from the tailpipe, they are entrapped by the recirculation region, which is the largest one in this case. The two counter-rotating vortices appearing in the close wake catch UFP enhancing their dispersion. Similarly, the horizontal turbulent structures disperse the UFP in the transversal direction. The average levels of PNC tend to decrease when the distances in x, y and z directions from the tailpipe increase. In the recirculation region, the horizontal 2D maps of PNC fields show a strong mixing characterized by homogeneous concentrations. Top views of the PNC fields in the wake of the car model reveal their symmetry with respect to z* = 0. This is a first evidence of the strong correlation between the flow topology and the PNC fields;
- For φ = 25°, the PNC fields confirm the strong downwash effect due to the attachment of the flow on the rear slant. The vertical spreading is weaker than for φ = 0° as the recirculation region is less volumic. The horizontal 2D maps of the PNC for different vertical dimensionless positions y* above the bottom indicate a clear dissymmetry depicting the key role of the longitudinal vortices developing from the edges of the car model in this case. One more time, the flow topology is a key parameter influencing the particle dispersion;
- For φ = 35°, the results ascertain the influence of the recirculation region on the particle dispersion. Overall, they are quite close to those observed for φ = 0° as the flow is detached on the rear slant (no downwash effect). From the 2D vertical maps at different z*, the PNC distributions exhibit a homogeneous trend over the height of the vehicle in the close wake with decreasing levels as the distance to the tailpipe increases.
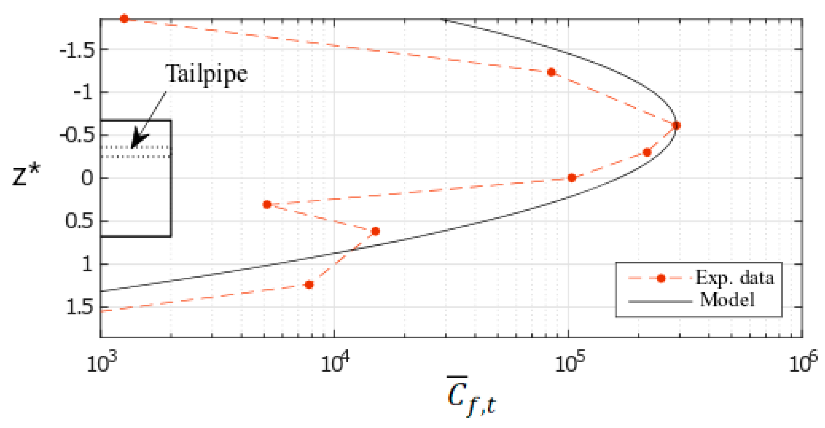
3.1.3. Modelling of the Particle Dispersion in the Wake of a Single Vehicle
- The first one for which the proposed analytical model is accurate and the distribution of the UFP concentration is almost Gaussian. This is observed for φ = 0° (Figure 6);
- The second one for which the model is less accurate as the distribution of the UFP concentration is bimodal (Figure 7): two peaks are highlighted at z* ~ −0.50 and z* ~ 0.50. In this case, it is mostly related to the presence of the two longitudinal vortices (φ = 25°). On the tailpipe side (z* < 0), concentrations are the most important while a second and lower peak is noticed on the opposite half width (z* ~ 0.50). As a consequence, this model tends to overestimate Dz for this configuration.
3.2. Two Vehicles
4. Conclusions and Perspectives
Author Contributions
Funding
Conflicts of Interest
References
- Pasquier, A.; André, M. Considering criteria related to spatial variabilities for the assessment of air pollution from traffic. Transp. Res. Procedia 2017, 25, 3358–3373. [Google Scholar] [CrossRef]
- Int Panis, L.; De Geus, B.; Vandenbulcke, G.; Willems, H.; Degraeuwe, B.; Bleux, N.; Mishra, V.; Thomas, I.; Meeusen, R. Exposure to particulate matter in traffic: A comparison of cyclists and car passengers. Atmos. Environ. 2010, 44, 2263–2270. [Google Scholar] [CrossRef]
- Joodatnia, P.M.; Kumar, P.; Robins, A. The behaviour of traffic produced nanoparticles in a car cabin and resulting exposure rates. Atmos. Environ. 2013, 65, 40–51. [Google Scholar] [CrossRef]
- Knibbs, L.D.; de Dear, R.J. Exposure to ultrafine particles and PM2.5 in four Sydney transport modes. Atmos. Environ. 2010, 44, 3224–3227. [Google Scholar] [CrossRef]
- Knibbs, L.D.; Cole-Hunter, T.; Morawska, L. A review of commuter exposure to ultrafine particles and its health effects. Atmos. Environ. 2011, 45, 2611–2622. [Google Scholar] [CrossRef]
- Xu, B.; Zhu, Y. Investigation on lowering commuters’ in-cabin exposure to ultrafine particles. Transp. Res. Part D Transp. Environ. 2013, 18, 122–130. [Google Scholar] [CrossRef]
- Airparif. Mesures Dans le Flux de Circulation. Etude Exploratoire; Rapport Airparif (Internal Report); Airparif: Paris, France, 2007; p. 35. [Google Scholar]
- Airparif. Exposition des Automobilistes Franciliens à la Pollution Atmosphérique Liée au Trafic Routier: Trajet «Domicile-Travail»; Rapport Airparif (Internal Report); Airparif: Paris, France, 2009; p. 104. [Google Scholar]
- Hudda, N.; Eckel, S.P.; Knibbs, L.D.; Sioutas, C.; Delfino, R.J.; Fruin, S.A. Linking in-vehicle ultrafine particle exposures to on-road concentrations. Atmos. Environ. 2012, 59, 578–586. [Google Scholar] [CrossRef]
- Hudda, N.; Kostenidou, E.; Sioutas, C.; Delfino, R.J.; Fruin, S.A. Vehicle and driving characteristics that influence in-cabin particle number concentrations. Environ. Sci. Technol. 2011, 45, 8691–8697. [Google Scholar] [CrossRef]
- Mehel, A.; Murzyn, F.; Cuvelier, P.; Deville Cavellin, L.; Baudic, A.; Joly, F.; Patte-Rouland, B.; Varéa, E.; Sioutas, C. Rapport Final du Projet CAPTIHV, Caractérisation et Analyse des Polluants Issus du Transport Automobile s’Infiltrant Dans les Habitacles des Véhicules; ADEME: Paris, France, 2019; p. 136. Available online: https://www.ademe.fr/caracterisation-analyse-polluants-issus-transport-automobile-sinfiltrant-habitacles-vehicules (accessed on 27 November 2019).
- Knibbs, L.D.; de Dear, R.J.; Morawska, L. Effect of cabin ventilation rate on ultrafine particle exposure inside automobiles. Environ. Sci. Technol. 2010, 44, 3546–3551. [Google Scholar] [CrossRef]
- ANSES. Concentrations de CO2 Dans L’air Intérieur et Ses Effets sur la Santé. Avis de l’Anses; Rapport D’expertise Collective; ANSES: Maisons-Alfort, France, 2013; 273p. [Google Scholar]
- ANSES. Particules de l’air Ambiant Extérieur. Effets Sanitaires des Particules de L’air Ambiant Extérieur Selon les Composés, les Sources et la Granulométrie. Impact sur la Pollution Atmosphérique des Technologies et de la Composition du Parc de Véhicules Automobiles Circulant en France, Avis de l’ANSES; Rapport de Synthèse et de Recommandations de L’expertise Collective; ANSES: Maisons-Alfort, France, 2019; p. 42. [Google Scholar]
- Lelieveld, J.; Klingmüller, K.; Pozzer, A.; Pöschl, U.; Fnais, M.; Daiber, A.; Münzel, T. Cardiovascular disease burden from ambient air pollution in Europe reassessed using novel hazard ratio functions. Eur. Heart J. 2019, 40, 1–7. [Google Scholar] [CrossRef]
- World Health Organization. Air Quality Guidelines for Particulate Matter, Ozone, Nitrogen Dioxide and Sulfur Dioxide; Report; World Health Organization: Geneva, Switzerland, 2006; 22p. [Google Scholar]
- World Health Organization. Review of Evidence on Health Aspects of Air Pollution—REVIHAAP Project; Technical report; World Health Organization: Geneva, Switzerland, 2013; p. 302. [Google Scholar]
- World Health Organization. Human Health in Areas with Industrial Contamination; Mudu, P., Terracini, B., Martuzzi, M., Eds.; World Health Organization: Geneva, Switzerland, 2014; p. 361. [Google Scholar]
- U.S. EPA. Final Report, 2009: Integrated Science Assessment (ISA) for Particulate Matter; EPA/600/R-08/139F; U.S. Environmental Protection Agency: Washington, DC, USA, 2009.
- Centre International de Recherche sur le Cancer. Les gaz d’échappement des moteurs Diesel cancérogènes. In Communiqué de Presse n°213; Centre International de Recherche sur le Cancer: Lyon, France, 2012; 5p. [Google Scholar]
- Valentino, S. Effets Multigénérationnels D’une Exposition Maternelle aux Gaz D’échappement de Moteur Diesel Pendant la Gestation sur le Développement Foeto-Placentaire Dans un Modèle Lapin. Ph.D. Thesis, University of Paris Saclay, Jouy en Josas, France, 24 November 2016; p. 505. [Google Scholar]
- Buzea, C.; Pacheco, I.I.; Robbie, K. Nanomaterials and nanoparticles: Sources and toxicity. Biointerphases 2007, 2, 17–71. [Google Scholar] [CrossRef] [PubMed]
- Maesano, C.N.; Morel, G.; Matynia, A.; Ratsombath, N.; Bonnety, J.; Legros, G.; Da Costa, P.; Prud’homme, J.; Annesi-Maesano, I. Impacts on human mortality due to reductions in PM10 concentrations through different traffic scenarios in Paris, France. Sci. Total Environ. 2020, 698, 134257. [Google Scholar] [CrossRef] [PubMed]
- ADEME. La pollution de l’air en 10 questions. In Comment Respirer un Air de Meilleure Qualité; ADEME: Paris, France, 2018; p. 27. [Google Scholar]
- Morawska, L.; Ristovski, Z.; Jayaratne, E.R.; Keogh, D.U.; Ling, X. Ambient nano and ultrafine particles from motor vehicle emissions: Characteristics, ambient processing and implications on human exposure. Atmos. Environ. 2008, 42, 8113–8138. [Google Scholar] [CrossRef]
- Jeng, C.J.; Kindzierski, W.B.; Smith, D.W. Particle Penetration through Inclined and L -Shaped Cracks. J. Environ. Eng. 2007, 133, 331–339. [Google Scholar] [CrossRef]
- Liu, D.-L.; Nazaroff, W.W. Particle penetration through building cracks. Aerosol Sci. Technol. 2003, 37, 565–573. [Google Scholar] [CrossRef]
- Lee, E. Passenger Exposures to Ultrafine Particules and In-Cabin Air Quality Control. Ph.D. Thesis, University of California Los Angeles, Los Angeles, CA, USA, 2013; p. 137. [Google Scholar]
- Cole-Hunter, T.; Morawska, L.; Stewart, I.; Jayaratne, R.; Solomon, C. Inhaled particle counts on bicycle commute routes of low and high proximity to motorised traffic. Atmos. Environ. 2012, 6, 197–203. [Google Scholar] [CrossRef]
- Grady, M.; Jung, H.; Kim, Y.C.; Park, J.K.; Lee, B.C. Vehicle Cabin Air Quality with Fractional Air Recirculation. SAE Tech. Pap. 2013. [Google Scholar] [CrossRef]
- Morin, J.-P.; Gouriou, F.; Preterre, D.; Bobbia, M.; Delmas, V. Évaluation de l’exposition aux polluants atmosphériques des conducteurs de véhicules automobiles par la mise en œuvre de mesures dynamiques dans l’habitacle du véhicule. Archives Maladies Professionnelles l’Environnement 2009, 70, 184–192. [Google Scholar] [CrossRef]
- Campagnolo, D.; Cattaneo, A.; Corbella, L.; Borghi, F.; Del Buono, L.; Rovelli, S.; Spinazzé, A.; Cavallo, D.M. In-vehicle airborne fine and ultra-fine particulate matter exposure: The impact of leading vehicle emissions. Environ. Int. 2019, 123, 407–416. [Google Scholar] [CrossRef]
- Ahmed, S.; Ramm, G.; Faltin, G. Some salient features of the time-averaged ground vehicle wake. SAE Tech. Pap. Ser. 1984, 1–30. [Google Scholar] [CrossRef]
- Gillieron, P.; Kourta, A. Aérodynamique Automobile Pour L’environnement, le Design et la Sécurité, 2nd ed.; Cépaduès: Toulouse, France, 2013; p. 340. [Google Scholar]
- Corallo, M.; Sheridan, J.; Thompson, M.C. Effect of aspect ratio on the near-wake flow structure of an Ahmed body. J. Wing Eng. Ind. Aerodyn. 2015, 147, 95–103. [Google Scholar] [CrossRef]
- Guilmineau, E. Computational study of the flow around a simplified car body. J. Wind Eng. Ind. Aerodyn. 2008, 96, 1207–1217. [Google Scholar] [CrossRef]
- Tunay, T.; Yaniktepe, B.; Sahin, B. Computational and experimental investigations of the vertical flow structures in the near wake region downstream of the Ahmed vehicle model. J. Wind Eng. Ind. Aerodyn. 2016, 159, 48–64. [Google Scholar] [CrossRef]
- Gosse, K. Etude Expérimentale de la Dispersion d’un Scalaire Passif Dans le Sillage Proche d’un Corps d’Ahmed. Ph.D. Thesis, University of Rouen, Rouen, France, 30 November 2005; 178p. [Google Scholar]
- Grandemange, M. Analysis and Control of Three-Dimensional Turbulent Wakes: From Axisymmetric Bodies to Road Vehicles. Ph.D. Thesis, ENSTA ParisTech, Palaiseau, France, 2 December 2013; p. 238. [Google Scholar]
- Grandemange, M.; Gohlke, M.; Cadot, O. Turbulent wake past a three-dimensional blunt body. Part 1. Global modes and bi-stability. J. Fluid Mech. 2013, 722, 51–84. [Google Scholar] [CrossRef]
- Eulalie, Y. Etude Aérodynamique et Contrôle de la Traînée Sur un Corps de Ahmed Culot Droit. Ph.D. Thesis, University of Bordeaux, Bordeaux, France, 15 December 2014; p. 198. [Google Scholar]
- Tunay, T.; Sahin, B.; Ozboloat, V. Effects of rear slant angles on the flow characteristics of Ahmed body. Exp. Therm. Fluid Sci. 2014, 57, 165–176. [Google Scholar] [CrossRef]
- Thacker, A. Contribution Expérimentale à L’analyse Stationnaire et Instationnaire de L’écoulement à L’arrière D’un Corps de Faible Allongement. Ph.D. Thesis, University of Orléans, Orléans, France, 14 December 2010; p. 212. [Google Scholar]
- Thacker, A.; Aubrun, S.; Leroy, A.; Devinant, P. Effects of suppressing the 3D separation on the rear slant on the flow structures around an Ahmed body. J. Wind Eng. Ind. Aerodyn. 2012, 107–108, 237–243. [Google Scholar] [CrossRef]
- Thacker, A.; Aubrun, S.; Leroy, A.; Devinant, P. Experimental characterization of flow unsteadiness in the centerline plane of an Ahmed body rear slant. Exp. Fluids 2012, 54, 1–16. [Google Scholar] [CrossRef]
- Lienhart, H.; Becker, S. Flow and turbulence structure in the wake of a simplified car model. SAE Tech. Pap. Ser. 2003, 1–12. [Google Scholar] [CrossRef]
- Wang, X.W.; Zhou, Y.; Pin, Y.F.; Chan, T.L. Turbulent near wake of an Ahmed vehicle model. Exp. Fluids 2013, 54, 1–19. [Google Scholar] [CrossRef]
- Leclerc, C. Réduction de la Traînée d’un Véhicule Automobile Simplifié à L’aide du Contrôle Actif Par Jet Synthétique. Ph.D. Thesis, Institut de Mécanique des Fluides de Toulouse, Toulouse, France, 11 January 2008; p. 330. [Google Scholar]
- Rodriguez, R. Etude Expérimentale de la Dispersion de Particules Ultrafines Dans le Sillage de Modèles Simplifies de Véhicules Automobiles. Ph.D. Thesis, Ecole Centrale de Nantes, Nantes, France, 22 October 2018; p. 270. [Google Scholar]
- West, G.S.; Apelt, C.J. The effect of tunnel blockage and aspect ratio on the mean flow past a circular cylinder with Reynolds numbers between 10,000 and 100,000. J. Fluid Mech. 1982, 114, 361–377. [Google Scholar] [CrossRef]
- Comité des Constructeurs Français d’Automobiles. L’industrie Automobile Française: Analyse et Statistiques; 2017; p. 98. Available online: https://ccfa.fr/wp-content/uploads/2018/09/analyse_statistiques_2018_fr.pdf (accessed on 27 November 2019).
- DANTEC Dynamics. BSA Flow Software v5.03—Users Guide; DANTEC Dynamics: Skovlunde, Denmark, 2012; p. 412. [Google Scholar]
- DANTEC Dynamics. LDA Calibration Certificate n°156; DANTEC Dynamics: Skovlunde, Denmark, 2012. [Google Scholar]
- Rodriguez, R.; Murzyn, F.; Aubry, J.; Mehel, A.; Larrarte, F. An innovative LDV data processing method for statistical error corrections. Application to homogeneous and non-homogeneous seeding. Flow Meas. Instrum. 2018, 60, 67–77. [Google Scholar] [CrossRef]
- SAFEX. SAFEX Fog Generator User’s Guide; SAFEX: Tangstedt, Germany, 2003; p. 28. [Google Scholar]
- SAFEX. SAFEX Inside Fog Fluids—Binding Manufacturer’s Declaration; SAFEX: Tangstedt, Germany, 2005; p. 2. [Google Scholar]
- Tropea, C.; Yarin, A.L.; Foss, J.F. Handbook of Experimental Fluid Mechanics; Springer: Berlin/Heidelberg, Germany, 2007; Volume 53, p. 1557. [Google Scholar]
- PALAS. DNP Digital 2000—Operating Manual; PALAS: Karlsruhe, Germany, 2009; p. 20. [Google Scholar]
- DEKATI. ELPI User Manual v4.11; DEKATI: Kangasala, Finland, 2010; p. 148. [Google Scholar]
- Mehel, A.; Murzyn, F. Effect of air velocity on nanoparticles dispersion in the wake of a vehicle model: Wind tunnel experiments. Atmos. Pollut. Res. 2015, 6, 612–617. [Google Scholar] [CrossRef]
- Rodriguez, R.; Balou, D.; Varéa, E.; Murzyn, F.; Mehel, A.; Patte-Rouland, B.; Larrarte, F. Correction des erreurs statistiques aléatoires et systématiques par une nouvelle méthode de traitement LDV. Application aux écoulements de sillage du corps d’Ahmed. In Proceedings of the 16ème Congrès Francophone de Techniques Laser Pour la Mécanique des Fluides, Dourdan, France, 17–21 September 2018; p. 8. [Google Scholar]
- Barros, D. Wake and Drag Manipulation of a Bluff Body Using Fluidic Forcing. Ph.D. Thesis, ISAE-ENSMA, Poitiers, France, 11 December 2015; p. 97. [Google Scholar]
- Lahaye, A. Caractérisation de L’écoulement Autour D’un Corps d’Ahmed à Culot Droit. Ph.D. Thesis, University of Orléans, Orléans, France, 6 June 2014; p. 159. [Google Scholar]
- Hucho, W.H. Aerodynamics of Road Vehicles; Butterworths and Co.: London, UK, 1987. [Google Scholar]
- Rodriguez, R.; Murzyn, F.; Mehel, A.; Larrarte, F. Ultrafine particle dispersion in the wake of a squareback vehicle model. In Proceedings of the 23rd Transport and Air Pollution Conference, Thessaloniki, Greece, 15–17 May 2019; p. 10. [Google Scholar]
- Rodriguez, R.; Murzyn, F.; Mehel, A.; Larrarte, F. Dispersion of ultrafine particles in the wake of car models: A wind tunnel study. J. Wind Eng. Ind. Aerodyn. 2019. under review. [Google Scholar]
- Carpentieri, M.; Kumar, P.; Robins, A. Wind tunnel measurements for dispersion modelling of vehicle wakes. Atmos. Environ. 2012, 62, 9–25. [Google Scholar] [CrossRef]
- Kanda, I.; Uehara, K.; Yamao, Y.; Yoshikawa, Y.; Morikawa, T. A wind-tunnel study on exhaust gas dispersion from road vehicles Part I: Velocity and concentration fields behind single vehicles. J. Wind Eng. Ind. Aerodyn. 2006, 94, 639–658. [Google Scholar] [CrossRef]
- Richards, K. Computational Modeling of Pollution Dispersion in the Near Wake of a Vehicle. Ph.D. Thesis, University of Nottingham, Nottingham, UK, 2002; p. 243. [Google Scholar]
- Murzyn, F.; Mouaze, D.; Chaplin, J.R. Optical fibre probe measurements of bubbly flow in hydraulic jumps. Int. J. Multiph. Flow 2005, 31, 141–154. [Google Scholar] [CrossRef]












| Rear Slant Angle | 0° | 25° | 35° |
|---|---|---|---|
| Lr/h | 1.39 | 0.58 | 1.06 |
| Positions of Upper and Lower Vortices | φ = 0° | φ = 25° | φ = 35° |
|---|---|---|---|
| Centre of upper vortex A (xA*; yA*). Present study | (0.62; 0.84) | (0.19; 0.37) | (0.21; 0.70) |
| Centre of upper vortex A (xA*; yA*). Literature | (0.81; 0.82) | (0.24; 0.38) | (0.43; 0.67) |
| Center of lower vortex B (xB*; yB*). Present study | (0.70; 0.14) | N/A | N/A |
| Center of lower vortex B (xB*; yB*). Literature | (0.74; 0.13) | (0.36; 0.06) | (0.56; 0.09) |
| r2 | φ = 0° | φ = 25° | φ = 35° |
|---|---|---|---|
| Average | 0.949 | 0.906 | 0.983 |
| Standard deviation | 0.043 | 0.100 | 0.015 |
| r2 > 0.9 | 83.3% | 66.7% | 96.7% |
| φ = 0° | φ = 25° | φ = 35° | |
|---|---|---|---|
| Mean value | 0.0207 | 0.0107 | 0.0182 |
| Standard deviation (r2 > 0.9) | 0.0048 | 0.0065 | 0.0106 |
| r2 | φ = 0° | φ = 25° | φ = 35° |
|---|---|---|---|
| Average | 0.821 | 0.754 | 0.811 |
| Standard deviation | 0.038 | 0.086 | 0.094 |
| r2 > 0.9 | 34% | 20% | 42% |
| φ = 0° | φ = 25° | φ = 35° | |
|---|---|---|---|
| Mean value | 0.0167 | 0.0208 | 0.0321 |
| Standard deviation (r2 > 0.9) | 0.0085 | 0.0104 | 0.0142 |
| Dimensionless Recirculation Length (Lr/h) | |||
|---|---|---|---|
| D | 0° | 25° | 35° |
| 0.93 | 0.93 | 0.93 | 0.93 |
| 1.85 | 1.85 | 0.63 | 1.47 |
| 2.78 | 1.55 | 0.58 | 1.18 |
| 3.70 | 1.43 | 0.58 | 1.12 |
| 4.63 | 1.39 | 0.57 | 1.08 |
| 5.56 | 1.40 | 0.55 | 1.07 |
| SV (D→∞) | 1.39 | 0.58 | 1.06 |
| Positions of the Lower and Upper Vortices | ||||||
|---|---|---|---|---|---|---|
| D | φ = 0° | φ = 25° | φ = 35° | |||
| Upper Vortex A | Lower Vortex B | Upper Vortex A | Lower Vortex B | Upper Vortex A | Lower Vortex B | |
| 0.93 | (0.44, 0.82) | (0.45, 0.18) | (0.28, 0.65) | (0.34, 0.07) | (0.21, 0.71) | N/A |
| 1.85 | (0.70, 0.86) | (0.88, 0.15) | (0.18, 0.36) | (0.27, 0.08) | (0.27, 0.73) | (0.76, 0.09) |
| 2.78 | (0.72, 0.86) | (0.86, 0.14) | (0.18, 0.36) | (0.12, 0.08) | (0.28, 0.67) | (0.65, 0.05) |
| 3.70 | (0.65, 0.82) | (0.80, 0.15) | (0.18, 0.38) | (0.13, 0.08) | (0.27, 0.65) | (0.70, 0.06) |
| 4.63 | (0.70, 0.87) | (0.70, 0.13) | (0.18, 0.37) | (0.50, 0.09) | (0.25, 0.65) | (0.70, 0.05) |
| 5.56 | (0.60, 0.85) | (0.60, 0.13) | (0.18, 0.37) | (0.15, 0.08) | (0.25, 0.63) | (0.70, 0.05) |
| SV (D→∞) | (0.62, 0.84) | (0.70, 0.14) | (0.19, 0.37) | N/A | (0.21, 0.70) | N/A |
| Peaks of TKE and Corresponding Positions | |||
|---|---|---|---|
| D | φ = 0° | φ = 25° | φ = 35° |
| TKE*max and the Corresponding Position | TKE*max and the Corresponding Position | TKE*max and the Corresponding Position | |
| 0.93 | 0.068 at (0.55, 0.72) | 0.059 at (0.55, 0.00) | 0.074 at (0.38, 0.00) |
| 1.85 | 0.054 at (1.10, 0.90) | 0.048 at (0.35, 0.00) | 0.074 at (1.10, 0.00) |
| 2.78 | 0.059 at (1.10, 0.85) | 0.095 at (0.25, 0.00) | 0.062 at (0.75, 0.00) |
| 3.70 | 0.056 at (0.85, 0.85) | 0.054 at (0.25, 0.09) | 0.063 at (0.75, 0.00) |
| 4.63 | 0.060 at (0.85, 0.85) | 0.074 at (0.25, 0.19) | 0.067 at (0.60, 0.00) |
| 5.56 | 0.064 at (1.25, 0.75) | 0.061 at (0.25, 0.09) | 0.074 at (1.10, 0.19) |
| SV (D→∞) | 0.070 at (0.99, 0.83) | 0.070 at (0.26, 0.09) | 0.080 at (0.49, 0.09) |
| Peaks of RSS in the Upper and Lower Shear Layers and the Corresponding Positions | |||
|---|---|---|---|
| D | φ = 0° | φ = 25° | φ = 35° |
| RSS*min and RSS*max the Corresponding Positions | RSS*min and RSS*max the Corresponding Positions | RSS*min and RSS*max the Corresponding Positions | |
| 0.93 | −0.030 at (0.74, 0.09) 0.032 at (0.74, 0.09) | −0.017 at (0.00, 0.93) 0.032 at (0.74, 0.00) | −0.014 at (0.00, 0.93) 0.042 at (0.55, 0.00) |
| 1.85 | −0.031 at (1.66, 0.83) 0.018 at (0.37, 0.00) | −0.008 at (0.55, 0.37) 0.028 at (0.37, 0.00) | −0.018 at (0.93, 0.75) 0.050 at (1.11, 0.00) |
| 2.78 | −0.031 at (1.11, 0.83) 0.016 at (1.48; 0.09) | −0.009 at (0.55, 0.37) 0.022 at (0.55, 0.00) | −0.018 at (1.30, 0.65) 0.038 at (1.11, 0.00) |
| 3.70 | −0.031 at (1.11, 0.83) 0.026 at (0.55, 0.00) | −0.008 at (1.11, 0.19) 0.028 at (0.55, 0.00) | −0.015 at (1.11, 0.56) 0.038 at (1.11, 0.00) |
| 4.63 | −0.036 at (0.93, 0.83) 0.017 at (0.37, 0.00) | −0.019 at (0.55, 0.37) 0.023 at (0.83, 0.00) | −0.019 at (0.55, 0.83) 0.035 at (0.93, 0.00) |
| 5.56 | −0.042 at (1.3, 0.83) 0.019 at (0.55, 0.00) | −0.021 at (0.55, 0.37) 0.033 at (0.55, 0.00) | −0.016 at (0.55, 0.83) 0.037 at (1.11, 0.00) |
| SV (D→∞) | −0.043 at (1.22, 0.83) 0.026 at (1.05, 0.18) | −0.021 at (0.65, 0.36) 0.035 at (0.32, 0.09) | −0.020 at (−0.05, 0.93) 0.044 at (0.82, 0.09) |
© 2019 by the authors. Licensee MDPI, Basel, Switzerland. This article is an open access article distributed under the terms and conditions of the Creative Commons Attribution (CC BY) license (http://creativecommons.org/licenses/by/4.0/).
Share and Cite
Murzyn, F.; Fokoua, G.; Rodriguez, R.; Shen, C.; Larrarte, F.; Mehel, A. Car Wake Flows and Ultrafine Particle Dispersion: From Experiments to Modelling. Atmosphere 2020, 11, 39. https://doi.org/10.3390/atmos11010039
Murzyn F, Fokoua G, Rodriguez R, Shen C, Larrarte F, Mehel A. Car Wake Flows and Ultrafine Particle Dispersion: From Experiments to Modelling. Atmosphere. 2020; 11(1):39. https://doi.org/10.3390/atmos11010039
Chicago/Turabian StyleMurzyn, Frédéric, Georges Fokoua, Romain Rodriguez, Chenhao Shen, Frédérique Larrarte, and Amine Mehel. 2020. "Car Wake Flows and Ultrafine Particle Dispersion: From Experiments to Modelling" Atmosphere 11, no. 1: 39. https://doi.org/10.3390/atmos11010039
APA StyleMurzyn, F., Fokoua, G., Rodriguez, R., Shen, C., Larrarte, F., & Mehel, A. (2020). Car Wake Flows and Ultrafine Particle Dispersion: From Experiments to Modelling. Atmosphere, 11(1), 39. https://doi.org/10.3390/atmos11010039

