Radiosonde-Observed Vertical Profiles and Increasing Trends of Temperature and Humidity during 2005–2018 at the South Pole
Abstract
1. Introduction
2. Data and Methods
3. Results
3.1. Mean State of Temperature
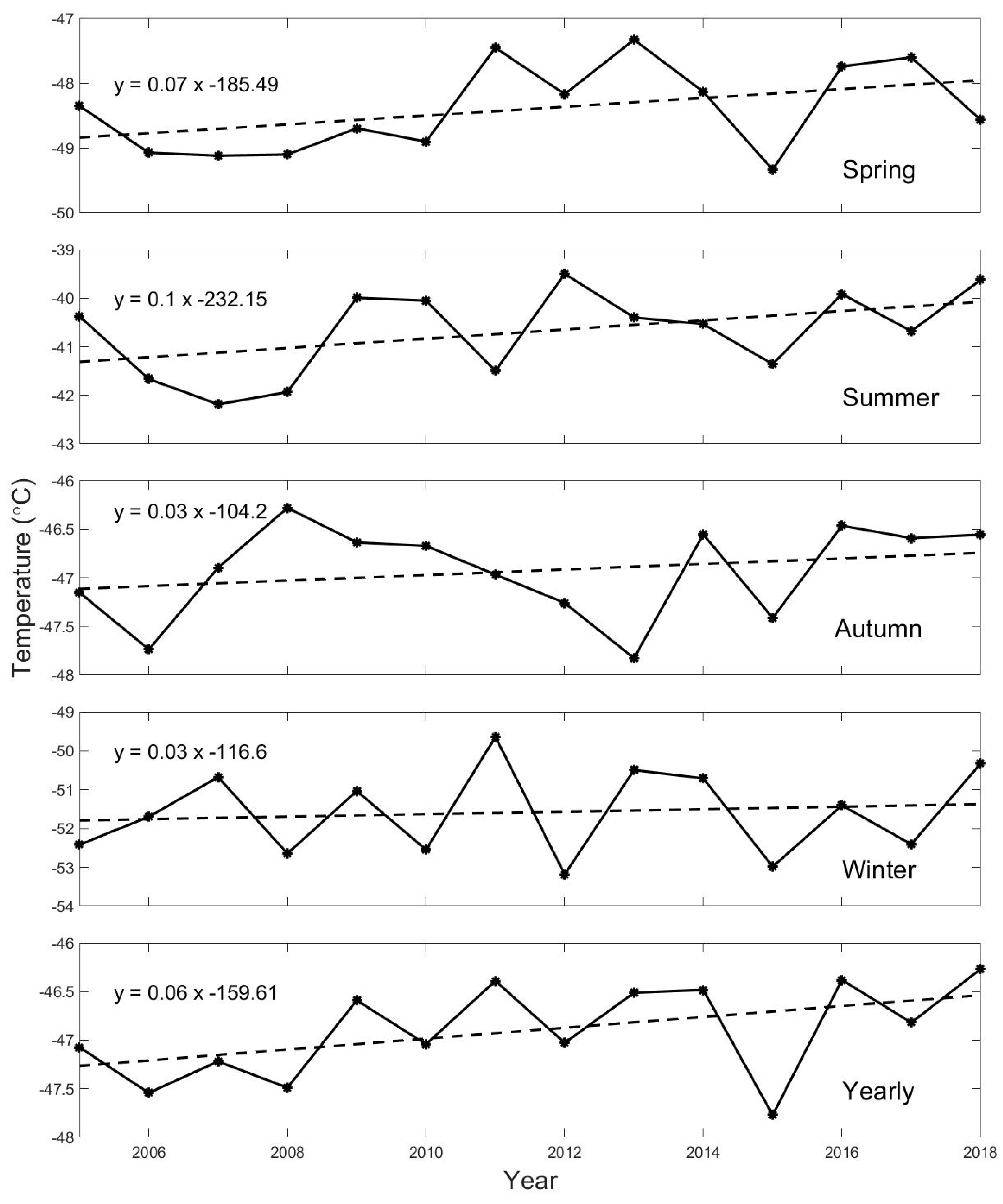
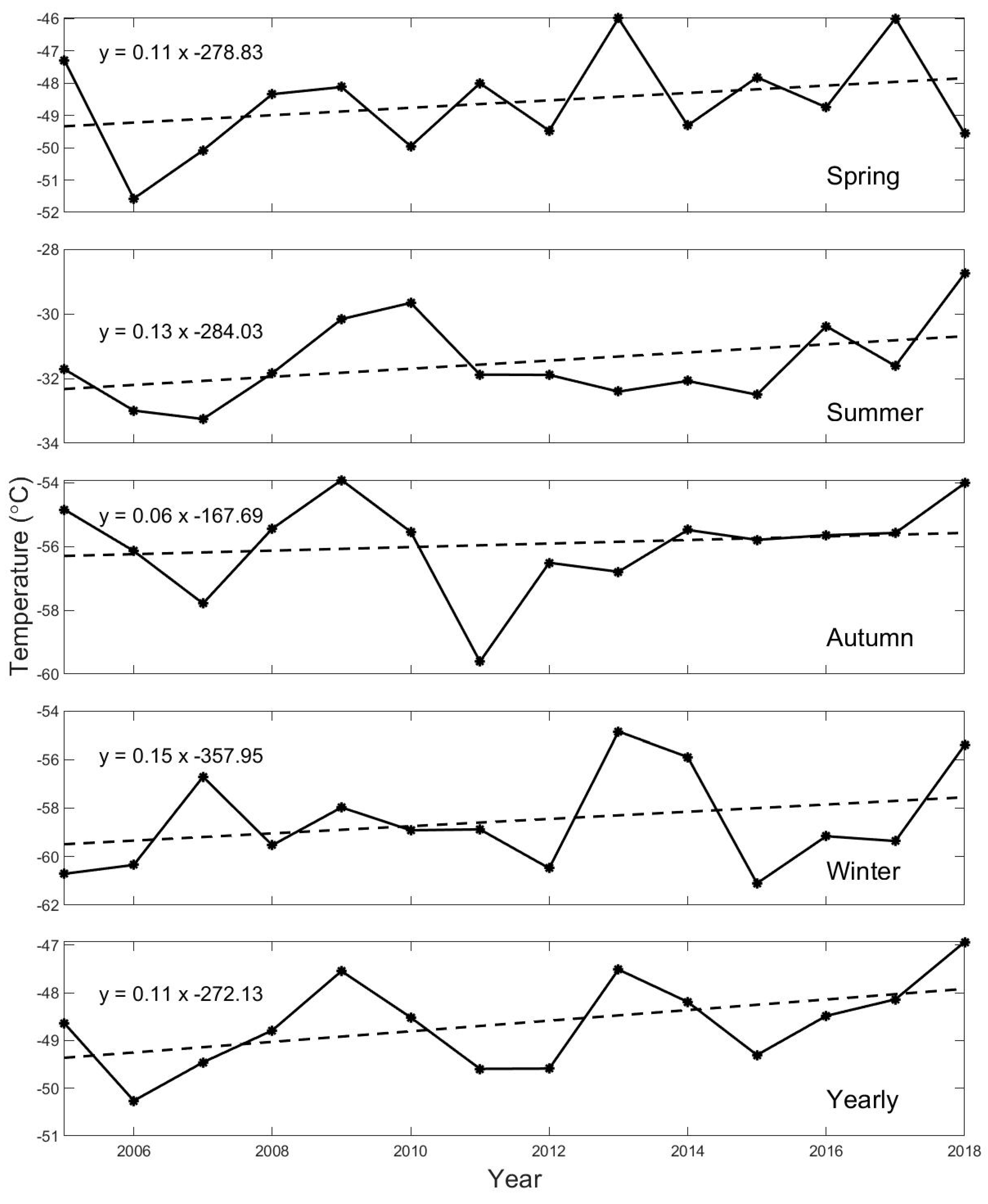
3.2. Trends of Temperature
3.3. Mean State of Humidity
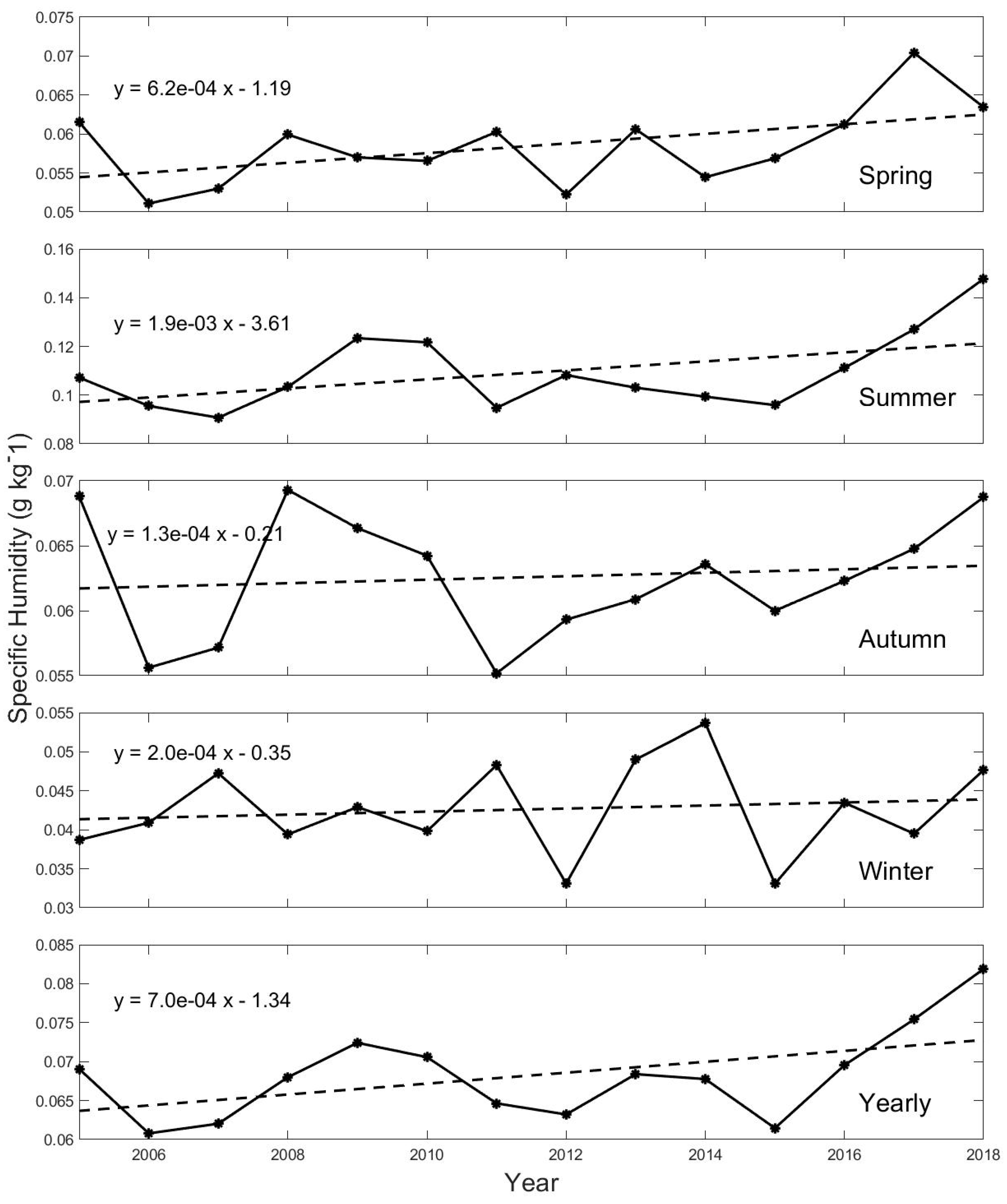
3.4. Trends of Humidity
4. Summary and Conclusions
Author Contributions
Funding
Acknowledgments
Conflicts of Interest
References
- Marshall, G.J. Trends in Antarctic geopotential height and temperature: A comparison between radiosonde and ncep-ncar reanalysis data. J. Clim. 2002, 15, 659–674. [Google Scholar] [CrossRef]
- Guglielmin, M.; Cannone, N. A permafrost warming in a cooling Antarctica? Clim. Chang. 2012, 111, 177–195. [Google Scholar] [CrossRef]
- Turner, J.; Lu, H.; White, I.; King, J.C.; Phillips, T.; Hosking, J.S.; Deb, P. Absence of 21st century warming on Antarctic Peninsula consistent with natural variability. Nature 2016, 535, 411–415. [Google Scholar] [CrossRef] [PubMed]
- Oliva, M.; Navarro, F.; Hrbáček, F.; Hernández, A.; Nývlt, D.; Pereira, P.; Trigo, R. Recent regional climate cooling on the Antarctic Peninsula and associated impacts on the cryosphere. Sci. Total Environ. 2017, 580, 210–223. [Google Scholar] [CrossRef] [PubMed]
- Turner, J.; Colwell, S.R.; Marshall, G.J.; Lachlan-Cope, T.A.; Carleton, A.M.; Jones, P.D.; Lagun, V.; Reid, P.A.; Iagovkinaf, S. Antarctic climate change during the last 50 years. Int. J. Climatol. 2005, 25, 279–294. [Google Scholar] [CrossRef]
- Chapman, W.L.; Walsh, J.E. A Synthesis of Antarctic Temperatures. J. Clim. 2007, 20, 4096–4117. [Google Scholar] [CrossRef]
- Steig, E.J.; Schneider, D.P.; Rutherford, S.D. Warming of the Antarctic ice-sheet surface since the 1957 International Geophysical Year. Nature 2009, 457, 459–462. [Google Scholar] [CrossRef] [PubMed]
- Nicolas, J.P.; Bromwich, D.H. New reconstruction of Antarctic near-surface temperatures: Multidecadal trends and reliability of global reanalyses. J. Clim. 2014, 27, 8070–8093. [Google Scholar] [CrossRef]
- Angell, J.K. Comparison of surface and tropospheric temperature trends estimated from a 63-Station Radiosonde Network, 1958–1998. Geophys. Res. Lett. 1999, 26, 2761–2764. [Google Scholar] [CrossRef]
- Turner, J.; Lachlan-Cope, T.A.; Colwell, S.; Marshall, G.J.; Connolley, W.M. Significant Warming of the Antarctic Winter Troposphere. Science 2006, 311, 1914–1917. [Google Scholar] [CrossRef] [PubMed]
- Thompson, D.W.J.; Solomon, S. Recent Stratospheric Climate Trends as Evidenced in Radiosonde Data: Global Structure and Tropospheric Linkages. J. Clim. 2005, 18, 4785–4795. [Google Scholar] [CrossRef]
- Screen, J.A.; Simmonds, I. Half-century air temperature change above Antarctica: Observed trends and spatial reconstructions. J. Geophys. Res. 2012, 117, D16108. [Google Scholar] [CrossRef]
- Tomasi, C.; Petkov, B.H.; Benedetti, E. Annual cycles of pressure, temperature, absolute humidity and precipitable water from the radiosoundings performed at Dome C, Antarctica, over the 2005–2009 period. Antarct. Sci. 2012, 24, 637–658. [Google Scholar] [CrossRef]
- Sarti, P.; Negusini, M.; Tomasi, C.; Petkov, B.H.; Capra, A. Thirteen years of integrated precipitable water derived by GPS at Mario Zucchelli Station, Antarctica. Ann. Geophys. 2013, 56, R0221. [Google Scholar] [CrossRef]
- Chen, B.; Liu, Z. Global water vapor variability and trend from the latest 36 year (1979 to 2014) data of ECMWF and NCEP reanalyses, radiosonde, GPS, and microwave satellite. J. Geophys. Res. Atmos. 2016, 121, 11442–11462. [Google Scholar] [CrossRef]
- Allen, R.J.; Sherwood, S.C. Warming maximum in the tropical upper troposphere deduced from thermal winds. Nat. Geosci. 2008, 1, 399–403. [Google Scholar] [CrossRef]
- Vautard, R.; Cattiaux, J.; Yiou, P.; Thépaut, J.N.; Ciais, P. Northern Hemisphere atmospheric stilling partly attributed to an increase in surface roughness. Nat. Geosci. 2010, 3, 756–761. [Google Scholar] [CrossRef]
- Cohen, J.L.; Furtado, J.C.; Barlow, M.A.; Alexeev, V.A.; Cherry, J.E. Arctic warming, increasing snow cover and widespread boreal winter cooling. Environ. Res. Lett. 2012, 7, 14007–14014. [Google Scholar] [CrossRef]
- Guo, J.; Miao, Y.; Zhang, Y.; Liu, H.; Li, Z.; Zhang, W.; He, J.; Lou, M.; Yan, Y.; Bian, L.; et al. The climatology of planetary boundary layer height in China derived from radiosonde and reanalysis data. Atmos. Chem. Phys. 2016, 16, 13309. [Google Scholar] [CrossRef]
- Maturilli, M.; Kayser, M. Arctic warming, moisture increase and circulation changes observed in the Ny-Ålesund homogenized radiosonde record. Theor. Appl. Climatol. 2017, 130, 1–17. [Google Scholar] [CrossRef]
- Durre, I.; Vose, R.S.; Wuertz, D.B. Overview of the integrated global radiosonde archive. J. Clim. 2006, 19, 53–68. [Google Scholar] [CrossRef]
- ERA Interim. Available online: https://apps.ecmwf.int/datasets/data/interim-full-moda/levtype=pl/ (accessed on 28 June 2019).
- Pietroni, I.; Argentini, S.; Petenko, I. One Year of Surface-Based Temperature Inversions at Dome C, Antarctica. Bound. Layer Meteorol. 2014, 150, 131–151. [Google Scholar] [CrossRef]
- Zhang, Y.; Seidel, D.J.; Golaz, J.C. Climatological Characteristics of Arctic and Antarctic Surface-Based Inversions*. J. Clim. 2011, 24, 5167–5186. [Google Scholar] [CrossRef]
- Vose, R.S.; Asheville, N.C.; Easterling, D.R.; Gleason, B. Maximum and minimum temperature trends for the globe: An update through 2004. Geophys. Res. 2005, 32. [Google Scholar] [CrossRef]
- Pan, Y.Z.; Gao, W.; Yu, A.M. Micrornas regulate cyp3a4 expression via direct and indirect targeting. Drug Metab. 2009, 37, 2112–2117. [Google Scholar] [CrossRef] [PubMed]
- Kalnay, E.; Cai, M. Impact of urbanization and land-use change on climate. Nature (Lond.) 2003, 423, 528–531. [Google Scholar] [CrossRef] [PubMed]
- Robinson, D.A.; Jones, S.B.; Wraith, J.M.; Or, D.; Friedman, S.P. A review of advances in dielectric and electrical conductivity measurement in soils using time domain reflectometry. Vadose Zone J. 2003, 2, 444–475. [Google Scholar] [CrossRef]
- Kunkel, K.E.; Liang, X.Z.; Zhu, J.; Lin, Y. Can cgcms simulate the twentieth-century “warming hole” in the central united states? J. Clim. 2006, 19, 4137–4153. [Google Scholar] [CrossRef]
- Wang, C.; Kucharski, F.; Barimalala, R.; Bracco, A. Teleconnections of the tropical Atlantic to the tropical Indian and pacific oceans: A review of recent findings. Meteorol. Z. 2009, 18, 445–454. [Google Scholar] [CrossRef]
- Leibensperger, E.M.; Mickley, L.J.; Jacob, D.J.; Chen, W.T.; Seinfeld, J.H.; Nenes, A.; Adams, P.J.; Streets, D.G.; Kumar, N.; Rind, D. Climatic effects of 1950–2050 changes in US anthropogenic aerosols—Part 1: Aerosol trends and radiative forcing. Atmos. Chem. Phys. 2012, 12, 3333–3348. [Google Scholar] [CrossRef]
- Zaitao, P. Altered hydrologic feedback in a warming climate introduces a “warming hole”. Geophys. Res. Lett. 2004, 31, L17109. [Google Scholar]
- Ricaud, P.; Carminati, F.; Courcoux, Y.; Pellegrini, A.; Attié, J.-L.; el Amraoui, L.; Abida, R.; Genthon, C.; August, T.; Warner, J. Statistical analyses and correlation between tropospheric temperature and humidity at Dome C, Antarctica. Antarct. Sci. 2014, 26, 290–308. [Google Scholar] [CrossRef]
- Russell, A.; McGregor, G.R. Southern hemisphere atmospheric circulation: Impacts on Antarctic climate and reconstructions from Antarctic ice core data. Clim. Chang. 2010, 99, 155–192. [Google Scholar] [CrossRef]
- Monaghan, A.J.; Bromwich, D.H.; Chapman, W.; Comiso, J.C. Recent variability and trends of Antarctic near-surface temperature. J. Geophys. Res. 2008, 113, D04105. [Google Scholar] [CrossRef]
- Ding, Q.; Steig, E.J.; Battisti, D.S.; Küttel, M. Winter warming in west Antarctica caused by central tropical pacific warming. Nat. Geosci. 2011, 4, 398–403. [Google Scholar] [CrossRef]
- Schneider, D.; Okumura, Y.; Deser, C. Observed Antarctic interannual climate variability and tropical linkages. J. Clim. 2012, 25, 4048–4066. [Google Scholar] [CrossRef]
- Genthon, C.; Town, M.S.; Six, D.; Favier, V.; Argentini, S.; Pellegrini, A. Pellegrini Meteorological atmospheric boundary layer measurements and ECMWF analyses during summer at Dome C, Antarctica. J. Geophys. Res. Atmos. 2010, 115. [Google Scholar] [CrossRef]
- Liu, C.; Li, Y.; Yang, Q.; Wang, L. On the surface fluxes characteristics and roughness lengths at Zhongshan station, Antarctica. Int. J. Dig. Earth 2017, 1–15. [Google Scholar] [CrossRef]
- Travouillon, T.; Ashley, M.C.B.; Burton, M.G.; Storey, J.W.V.; Loewenstein, R.F. Atmospheric turbulence at the south pole and its implications for astronomy. Astron. Astrophys. 2003, 400, 1163–1172. [Google Scholar] [CrossRef]
- Vihma, T.; Kilpeläinen, T.; Manninen, M.; Sjöblom, A.; Jakobson, E.; Palo, T.; Jaagus, J.; Maturilli, M. Characteristics of temperature and humidity inversions and low-level jets over Svalbard Fjords in spring. Adv. Meteor. 2011, 486807. [Google Scholar] [CrossRef]
- Vihma, T.; Tuovinen, E.; Savijärvi, H. Interaction of katabatic winds and near-surface temperatures in the Antarctic. J. Geophys. Res. 2011, 116. [Google Scholar] [CrossRef]
- Mahesh, A.; Walden, V.P.; Warren, S.G. Ground-based infrared remote sensing of cloud properties over the Antarctic Plateau. Part I: Cloud-base heights. J. Appl. Meteorol. 2001, 40, 1265–1278. [Google Scholar] [CrossRef]
- Bromwich, D.H.; Nicolas, J.P.; Hines, K.M.; Kay, J.E.; Key, E.L.; Lazzara, M.A. Tropospheric clouds in Antarctica. Rev. Geophys. 2012, 50, 605–606. [Google Scholar] [CrossRef]
- Nygård, T.; Valkonen, T.; Vihma, T. Antarctic Low-Tropospheric Humidity Inversions: 10-Yr Climatology. J. Clim. 2013, 26, 5205–5219. [Google Scholar] [CrossRef]
- Vaughan, D.G.; Marshall, G.J.; Connolley, W.M.; Parkinson, C.; Mulvaney, R.; Hodgson, D.A.; King, J.C.; Pudsey, C.J.; Turner, J. Recent rapid regional climate warming on the Antarctic Peninsula. Clim. Chang. 2003, 60, 243–274. [Google Scholar] [CrossRef]
- Shine, K.P.; Bourqui, M.S.; Forster, P.D.; Hare, S.H.; Langematz, U.; Braesicke, P.; Grewe, V.; Ponater, M.; Schnadt, C.; Smith, C.A.; et al. A comparison of model-simulated trends in stratospheric temperatures. Q. J. R. Meteorol. Soc. 2003, 129, 1565–1588. [Google Scholar] [CrossRef]
- Randel, W.J.; Shine, K.P.; Austin, J.; Barnett, J.; Claud, C.; Gillett, N.P.; Keckhut, P.; Langematz, U.; Lin, R.; Long, C. An update of observed stratospheric temperature trends. J. Geophys. Res. 2009, 114, D02107. [Google Scholar] [CrossRef]
- Salby, M.L.; Callaghan, P.F. Influenceofplanetarywave activity on the stratospheric final warming and spring ozone. J. Geophys. Res. 2007, 112, D20111. [Google Scholar] [CrossRef]
- Black, R.X.; Mcdaniel, B.A. Interannual Variability in the Southern Hemisphere Circulation Organized by Stratospheric Final Warming Events. J. Atmos. Sci. 2006, 64, 2968–2974. [Google Scholar] [CrossRef]
- Shaw, T.A.; Perlwitz, J.; Harnik, N. Downward wave coupling between the stratosphere and troposphere: The importance of meridional wave guiding and comparison with zonal-mean coupling. J. Clim. 2010, 23, 6365–6381. [Google Scholar] [CrossRef]
- Harnik, N.; Perlwitz, J.; Shaw, T.A. Observed decadal changes in downward wave coupling between the stratosphere and troposphere in the Southern Hemisphere. J. Clim. 2011, 24, 4558–4569. [Google Scholar] [CrossRef]
- Shaw, T.A.; Perlwitz, J.; Harnik, N.; Newman, P.A.; Pawson, S. The Impact of Stratospheric Ozone Changes on Downward Wave Coupling in the Southern Hemisphere. J. Clim. 2011, 24, 4210–4229. [Google Scholar] [CrossRef]
- Cai, W.; Whetton, P.; Karoly, D.J. The Response of the Antarctic Oscillation to Increasing and Stabilized Atmospheric CO2. J. Clim. 2003, 16, 101525–101538. [Google Scholar] [CrossRef]
- Yu, L.; Zhang, Z.; Zhou, M.; Zhong, S.; Sun, B.; Hsu, H.; Gao, Z.; Wu, H.; Ban, J. The intraseasonal variability of winter semester surface air temperature in Antarctica. Polar Res. 2011, 30, 6039. [Google Scholar] [CrossRef]
- Scott, R.C.; Lubin, D.; Vogelmann, A.M.; Kato, S. West Antarctic Ice Sheet cloud cover and surface radiation budget from NASA A-train satellites. J. Clim. 2017. [Google Scholar] [CrossRef]
- Renwick, J.A.; Kohout, A.; Dean, S. Atmospheric forcing of Antarctic sea ice on intraseasonal timescales. J. Clim. 2012, 25, 5962–5975. [Google Scholar] [CrossRef]
- Matthews, A.J.; Meredith, M.P. Variability of Antarctic circumpolar transport and the Southern Annular Mode associated with the Madden-Julian Oscillation. Geophys. Res. Lett. 2004, 31, L24312. [Google Scholar] [CrossRef]












© 2019 by the authors. Licensee MDPI, Basel, Switzerland. This article is an open access article distributed under the terms and conditions of the Creative Commons Attribution (CC BY) license (http://creativecommons.org/licenses/by/4.0/).
Share and Cite
Xu, M.; Li, Y.; Yang, Q.; Gao, A.E.; Han, B.; Yang, Y.; Yu, L.; Wang, L. Radiosonde-Observed Vertical Profiles and Increasing Trends of Temperature and Humidity during 2005–2018 at the South Pole. Atmosphere 2019, 10, 365. https://doi.org/10.3390/atmos10070365
Xu M, Li Y, Yang Q, Gao AE, Han B, Yang Y, Yu L, Wang L. Radiosonde-Observed Vertical Profiles and Increasing Trends of Temperature and Humidity during 2005–2018 at the South Pole. Atmosphere. 2019; 10(7):365. https://doi.org/10.3390/atmos10070365
Chicago/Turabian StyleXu, Min, Yubin Li, Qinghua Yang, Andrew E. Gao, Bo Han, Yuanjian Yang, Lejiang Yu, and Linlin Wang. 2019. "Radiosonde-Observed Vertical Profiles and Increasing Trends of Temperature and Humidity during 2005–2018 at the South Pole" Atmosphere 10, no. 7: 365. https://doi.org/10.3390/atmos10070365
APA StyleXu, M., Li, Y., Yang, Q., Gao, A. E., Han, B., Yang, Y., Yu, L., & Wang, L. (2019). Radiosonde-Observed Vertical Profiles and Increasing Trends of Temperature and Humidity during 2005–2018 at the South Pole. Atmosphere, 10(7), 365. https://doi.org/10.3390/atmos10070365

