Modeling the Impact of Urbanization on Local Meteorological Conditions in Sofia
Abstract
1. Introduction
2. Experimental Design and Methods
2.1. Synopsis of the Study
2.2. Model Set-up
2.3. Observations
3. Results
3.1. Model Validation
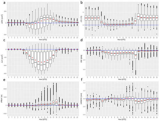
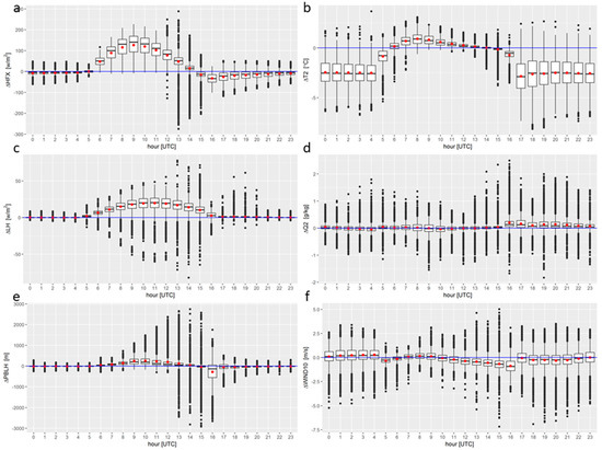
4. Numerical Experiments
5. Conclusions
Author Contributions
Funding
Acknowledgments
Data Availability
Conflicts of Interest
Appendix A








References
- United Nations. DESA/Population Division World Urbanization Prospects: The 2018 revision. Available online: https://www.un.org/development/desa/publications/2018-revision-of-world-urbanization-prospects.html (accessed on 20 May 2019).
- Bulgarian National Statistical Institute. Population and Demographic Processes 2017. Available online: http://www.nsi.bg/sites/default/files/files/publications/DMGR2017.pdf (accessed on 20 May 2019).
- Penev, L.; Niemelä, J.; Kotze, J.; Chipev, N. Ecology of the City of Sofia: Species and Communities in an Urban Environment, 1st ed.; Penev, L., Niemelä, J., Kotze, J., Chipev, N., Eds.; Pensoft: Sofia, Bulgaria, 2004; p. 456. [Google Scholar]
- Hirt, S. Suburbanizing Sofia: Characteristics of Post-Socialist Peri-Urban Change. J. Urban Geography 2007, 28, 755–780. [Google Scholar] [CrossRef]
- Geshkov, M. Urban Sprawl in Eastern Europe. The Sofia City Example. Economic Alternatives 2015, 2, 101–116. [Google Scholar]
- Bulgarian National Statistical Institute. Cities and their urbanised areas in the republic of Bulgaria. Report, Eurostat/EC Grant N°08141.2013.001-2013.646. Available online: http://www.nsi.bg/sites/default/files/files/ publications/URBAN_ENG.pdf (accessed on 20 May 2019).
- World Bank Group Urban, Social, Rural and Resilience Global Practice. Available online: http://documents.worldbank.org/curated/en/322891511932837431/pdf/121724-BRI-P154478-PUBLIC-Bulgaria-Snapshot-PRINT.pdf (accessed on 20 May 2019).
- Georgieva, M. Sustainable Development of Urban Spaces in Bulgaria: Theoretical Aspects. Trakia J. Sci. 2015, 13, 49–53. Available online: http://tru.uni-sz.bg/tsj/Vol.%2013,%202015,%20Suppl.%201,%20Series%20Social%20Sciences/SF/SF/reg.razv/M.Georgieva.pdf (accessed on 3 May 2019). [CrossRef]
- Vitanova, L.; Kusaka, H. Study on the Urban Heat Island in Sofia City: Numerical Simulations with Potential Natural Vegetation and Present Land Use Data. Sustain. Cities Soc. 2018, 40, 110–125. [Google Scholar] [CrossRef]
- Oke, T.R.; Mills, G.; Christen, A.; Voogt, J.A. Urban Climates, 1st ed.; Cambridge University Press: Cambridge, UK, 2017. [Google Scholar]
- Oke, T.R. Boundary Layer Climates, 2nd ed.; Methuen: New York, NY, USA, 1988. [Google Scholar]
- Fernando, H.J.S.; Zajic, D.; Di Sabatino, S.; Dimitrova, R.; Hedquist, B.; Dallman, A. Flow, turbulence, and pollutant dispersion in urban atmospheres. Phys. Fluids 2010, 22, 051301. [Google Scholar] [CrossRef]
- Sharma, A.; Fernando, H.J.S.; Hamlet, A.F.; Hellmann, J.J.; Barlage, M.; Chen, F. Urban meteorological modeling using WRF: A sensitivity study. Int. J. Climatol. 2017, 37, 1885–1900. [Google Scholar] [CrossRef]
- Sharma, A.; Woodruff, S.; Budhathoki, M.; Hamlet, A.F.; Fernando, H.J.S.; Chen, F. Can green roofs reduce urban heat stress in vulnerable urban communities: A coupled atmospheric and social modeling approach? In Proceedings of the AGU Fall Meeting, New Orleans, LA, USA, 11–15 December 2017; Available online: http://adsabs.harvard.edu/abs/2017AGUFMGC11E..01S (accessed on 30 June 2019).
- Hunt, J.C.; Timoshkina, Y.V.; Bohnenstengel, S.I.; Belcher, S. Implications of climate change for expanding cities worldwide. Available online: http://centaur.reading.ac.uk/28480/1/Hunt_etal_2012.pdf (accessed on 30 June 2019).
- Emmanuel, R.; Fernando, H.J.S. Effects of urban form and thermal properties in urban heat island mitigation in hot humid and hot arid climates: The cases of Colombo, Sri Lanka and Phoenix, USA. Clim Res. 2007, 34, 241–251. [Google Scholar] [CrossRef]
- Basara, J.B.; Basara, H.G.; Illston, B.G.; Crawford, K.C. The impact of the urban heat island during an intense heat wave in Oklahoma City. Adv. Meteorol. 2010. [Google Scholar] [CrossRef]
- Li, D.; Bou-Zeid, E. Synergistic interactions between urban heat islands and heat waves: The impact in cities is larger than the sum of its parts. J. Appl. Meteorol. Climatol. 2013, 52, 2051–2064. [Google Scholar] [CrossRef]
- Sharma, A.; Conry, P.; Fernando, H.J.S.; Hamlet, A.F.; Hellmann, J.J.; Chen, F. Green and cool roofs to mitigate urban heat island effects in the Chicago metropolitan area: Evaluation with a regional climate model. Environ. Res. Lett. 2016, 11. Available online: https://iopscience.iop.org/article/10.1088/1748-9326/11/6/064004/meta (accessed on 30 June 2019).
- Keeler, J.M.; Kristovich, D.A.R. Observations of Urban Heat Island Influence on Lake-Breeze Frontal Movement. J. Appl. Meteorol. Climatol. 2012, 51, 702–710. [Google Scholar] [CrossRef]
- Sharma, A.; Fernando, H.J.S.; Hellmann, J.J.; Chen, F. Sensitivity of WRF Model to Urban Parameterizations, With Applications to Chicago Metropolitan Urban Heat Island. In Proceedings of the ASME 2014 4th Joint US-European Fluids Engineering Division Summer Meeting collocated with the ASME 2014 12th International Conference on Nanochannels, Microchannels, and Minichannels, Chicago, IL, USA, 3–7 August 2014. [Google Scholar] [CrossRef]
- Niyogi, D.; Pyle, P.; Lei, M.; Arya, S.P.; Kishtawal, C.M.; Shepherd, M.; Chen, F.; Wolfe, B. Urban Modification of Thunderstorms: An Observational Storm Climatology and Model Case Study for the Indianapolis Urban Region. J. Appl. Meteorol. Climatol. 2011, 50, 1129–1144. [Google Scholar] [CrossRef]
- Bouyer, J.; Inard, C.; Musy, M. Microclimatic coupling as a solution to improve building energy simulation in an urban context. Energy Build. 2011, 43, 1549–1559. [Google Scholar] [CrossRef]
- Conry, P.; Sharma, A.; Potosnak, M.; Leo, L.S.; Bensman, E.; Hellmann, J.; Fernando, H.J.S. Chicago’s heat island and climate change: bridging the scales via dynamical downscaling. In Proceedings of the ASME 2014 4th Joint US-European Fluids Engineering Division Summer Meeting collocated with the ASME 2014 12th International Conference on Nanochannels, Microchannels, and Minichannels, Chicago, IL, USA, 3–7 August 2014. [Google Scholar] [CrossRef]
- Conry, P.; Sharma, A.; Potosnak, M.J. Chicago’s heat island and climate change: Bridging the scales via dynamical downscaling. J. Appl. Meteorol. Climatol. 2015, 54, 1430–1448. [Google Scholar] [CrossRef]
- Zajic, D.; Fernando, H.J.S.; Brown, M.J.; Pardyjak, E.R. On flows in simulated urban canopies. Environ. Fluid Mech. 2015, 15, 275–303. [Google Scholar] [CrossRef]
- Dimitrova, R.; Sini, J.-F.; Richards, K.; Schatzmann, M.; Weeks, M.; Perez García, E.; Borrego, C. Influence of thermal effects on the wind field within the urban environment. Bound-Lay Meteorol. 2009, 131, 223–243. [Google Scholar] [CrossRef]
- Fernando, H.J.S.; Dimitrova, R.; Sentic, S. Climate Change Meets Urban Environment. In National Security and Human Health Implications of Climate Change NATO Science for Peace and Security Series C: Environmental Security; Fernando, H.J.S., Klaić., Z., McCulley, J.L., Eds.; Springer Science & Business Media: Berlin, Germany, 2012; pp. 115–133. [Google Scholar] [CrossRef]
- Changnon, S.A., Jr. Inadvertent weather modification in urban areas, lessons for global climate change. Bull. Am. Meteorol. Soc. 1992, 73, 619–627. [Google Scholar] [CrossRef]
- Kew, S.F.; Philip, S.Y.; van Oldenborgh, G.J.; Otto, F.E.L.; Vautard, R.; van der Schrier, G. The Exeptional Summer Heat Wave in Southern Europe 2017. B. Am. Meteorol. Soc. 2018, 100, S49–S53. [Google Scholar] [CrossRef]
- Mircheva, B.R. Terrestrial water storage anomaly during the 2007 heat wave in Bulgaria. Master’s Thesis, Sofia University “St. Kliment Ohridski”, Sofia, Bulgaria, April 2016. [Google Scholar]
- Livezey, R.E.; Tinker, R. Some meteorological, climatological, and microclimatological considerations of the severe US heat wave of mid-July 1995. B. Am. Meteorol. Soc. 1996, 77, 2043–2054. [Google Scholar] [CrossRef]
- Bouchama, A. The 2003 European heat wave. Intens. Care Med. 2004, 30, 1–3. [Google Scholar] [CrossRef]
- Patz, J.A.; Campbell-Lendrum, D.; Holloway, T.; Foley, J.A. Impact of regional climate change on human health. Nature 2005, 438, 310–317. [Google Scholar] [CrossRef]
- Harlan, S.L.; Brazel, A.J.; Prashad, L.; Stefanov, W.L.; Larsen, L. Neighborhood microclimates and vulnerability to heat stress. Soc. Sci. Med. 2006, 63, 2847–2863. [Google Scholar] [CrossRef] [PubMed]
- Fernando, H.J.S. Polimetrics: The quantitative study of urban systems (and its applications to atmospheric and hydro environments). Environ. Fluid Mech. 2008, 8, 397–409. [Google Scholar] [CrossRef]
- Shepherd, J.M.; Pierce, H.; Negri, A.J. Rainfall Modification by Major Urban Areas: Observations from Spaceborne Rain Radar on the TRMM Satellite. J. Appl. Meteorol. 2002, 41, 689–701. [Google Scholar] [CrossRef]
- Shepherd, J.M. A Review of Current Investigations of Urban-Induced Rainfall and Recommendations for the Future. Earth Interact. 2005, 9, 1–27. [Google Scholar] [CrossRef]
- Li, X.; Zhou, Y.; Asrar, G.R.; Imhoff, M.; Li, X. The surface urban heat island response to urban expansion: A panel analysis for the conterminous United States. Sci. Total Environ. 2017, 605, 426–435. [Google Scholar] [CrossRef] [PubMed]
- Göndöcs, J.; Breuer, H.; Pongrácz, R.; Bartholy, J. Urban heat island mesoscale modelling study for the Budapest agglomeration area using the WRF model. Urban Climate 2017, 21, 66–86. [Google Scholar]
- Giannaros, T.M.; Melas, D.; Daglis, I.A.; Keramitsoglou, I.; Kourtidis, K. Numerical study of the urban heat island over Athens (Greece) with the WRF model. Atmos. Environ. 2013, 7, 103–111. [Google Scholar] [CrossRef]
- Lin, C.Y.; Chen, F.; Huang, J.C.; Chen, W.C.; Liou, Y.A.; Chen, W.N.; Liu, S.C. Urban heat island effect and its impact on boundary layer development and land–sea circulation over northern Taiwan. Atmos. Environ. 2008, 42, 5635–5649. [Google Scholar] [CrossRef]
- Chen, F.; Yang, X.; Zhu, W. WRF simulations of urban heat island under hot-weather synoptic conditions: The case study of Hangzhou City, China. Atmos. Res. 2014, 138, 364–377. [Google Scholar] [CrossRef]
- Höppe, P. The physiological equivalent temperature—A universal index for the biometeorological assessment of the thermal environment. Int. J. Biometeorol. 1999, 43, 71–75. [Google Scholar]
- Belding, H.S.; Hatch, T.F. Index for evaluating heat stress in terms of resulting physiological strains. Heating Piping Air Cond. 1955, 27, 129–136. [Google Scholar]
- Yaglou, C.P.; Minaed, D. Control of heat casualties at military training centers. Arch. Indust. Health 1957, 16, 302–316. [Google Scholar]
- Fiala, D.; Havenith, G.; Bröde, P.; Kampmann, B.; Jendritzky, G. UTCI-Fiala multi-node model of human heat transfer and temperature regulation. Int. J. Biometeorol. 2012, 56, 429–441. [Google Scholar] [CrossRef] [PubMed]
- Taleghani, M.; Kleerekoper, L.; Tenpierik, M.; van den Dobbelsteen, A. Outdoor thermal comfort within five different urban forms in the Netherlands. Build. Environ. 2015, 83, 65–78. [Google Scholar] [CrossRef]
- Vladimirov, E.; Dimitrova, R.; Danchovski, V. Sensitivity of the WRF Model Results to Topography and Land Cover: Study for the Sofia Region; Annuaire de l’Université de Sofia “St. Kliment Ohridski”, Faculté de Physique: Sofia, Bulgaria, 2018; Volume 111, pp. 87–106. [Google Scholar]
- Giovannini, L.; Antonacci, G.; Zardi, D.; Laiti, L.; Panziera, L. Sensitivity of simulated wind speed to spatial resolution over complex terrain. Energy Procedia 2014, 59, 323–329. [Google Scholar] [CrossRef]
- Giovannini, L.; Zardi, D.; de Franceschi, M.; Chen, F. Numerical simulations of boundary-layer processes and urban-induced alterations in an Alpine valley. Int. J. Climatol. 2014, 34, 1111–1131. [Google Scholar] [CrossRef]
- CLC2012, EEA. Available online: https://land.copernicus.eu/pan-european/corine-land-cover/clc-2012 (accessed on 30 June 2019).
- Pineda, N.; Jorba, O.; Jorge, J.; Baldasano, J.M. Using NOAA AVHRR and SPOT VGT data to estimate surface parameters: Application to a mesoscale meteorological model. Int. J. Remote Sens. 2004, 25, 129–143. [Google Scholar] [CrossRef]
- Stewart, I.D.; Oke, T.R. Local climate zones for urban temperature studies. B. Am. Meteorol. Soc. 2012, 93, 1879–1900. [Google Scholar] [CrossRef]
- Roth, M.; Oke, T.R.; Emery, W.J. Satellite-derived urban heat islands from three coastal cities and the utilization of such data in urban climatology. Int. J. Remote Sens. 2007, 10, 1699–1720. [Google Scholar] [CrossRef]
- Skamarock, W.C.; Klemp, J.B.; Dudhia, J.; Gill, D.O.; Barker, D.M.; Duda, M.G.; Huang, X.Y.; Wang, W.; Powers, J.G. A Description of the Advanced Research WRF Version 3. NCAR Tech. Note NCAR/TN-475+STR 2008. Available online: https://opensky.ucar.edu/islandora/object/technotes%3A500/datastream/PDF/view (accessed on 30 June 2019). [CrossRef]
- NCEP Final Operational Model Global Tropospheric Analyses. Available online: http://rda.ucar.edu/datasets/ds083.2/ (accessed on 30 June 2019).
- Mlawer, E.J.; Taubman, S.J.; Brown, P.D.; Iacono, M.J.; Clough, S.A. Radiative transfer for inhomogeneous atmospheres: RRTM, a validated correlated-k model for the longwave. J. Geophys Res. Atmos. 1997, 102, 16663–16682. [Google Scholar] [CrossRef]
- Dudhia, J. Numerical study of convection observed during the winter monsoon experiment using a mesoscale two-dimensional model. J. Atmos. Sci. 1989, 46, 3077–3107. [Google Scholar] [CrossRef]
- Chen, F.; Dudhia, J. Coupling an advanced land surface-hydrology model with the Penn State-NCAR MM5 modelling system. Part I: Model implementation and sensitivity. Mon. Weather Rev. 2001, 129, 569–585. [Google Scholar] [CrossRef]
- Grell, E.; Grell, G.; Bao, J.-W. Experimenting with a convective parameterization scheme suitable for high-resolution mesoscale models in tropical cyclone simulations. Geophys. Res. Abstr. 2013, 15, EGU2013-5746-2. Available online: http://meetingorganizer.copernicus.org/ EGU2013/EGU2013-5746-2.pdf (accessed on 30 June 2019). [CrossRef]
- Egova, E.; Dimitrova, R.; Danchovski, V. Numerical study of meso-scale circulation specifics in the Sofia region under different large-scale conditions. Bul. J. Meteol. Hydrol. 2017, 22, 54–72. Available online: http://meteorology.meteo.bg/global-change/files/2017/BJMH_2017_vol_22_3-4/BJMH_v22_issue_3-4_eegova_numerical.pdf (accessed on 30 June 2019).
- Lin, Y.L.; Farley, R.D.; Orville, H.D. Bulk parametrization of the snow field in a cloud model. J. Appl. Meteorol. 1983, 22, 1065–1092. [Google Scholar] [CrossRef]
- Hong, S.Y.; Pan, H.L. Nonlocal boundary layer vertical diffusion in a Medium-Range Forecast Model. Mon. Weather Rev. 1996, 124, 2322–2339. [Google Scholar] [CrossRef]
- Janjic, Z. The step-mountain coordinate: Physics package. Mon. Weather Rev. 1990, 118, 1429–1443. [Google Scholar] [CrossRef]
- Bougeault, P.; Lacarrere, P. Parametrization of orography-Induced turbulence in a mesobeta–scale model. Mon. Weather Rev. 1989, 117, 1872–1890. [Google Scholar] [CrossRef]
- Willmott, C.J. On the validation of models. Phys. Geogr. 1981, 2, 184–194. [Google Scholar] [CrossRef]
- Vogelezang, D.; Holtslag, A. Evaluation and model impacts of alternative boundary-layer height formulations. Bound.-Layer Meteorol. 1996, 81, 245–269. [Google Scholar] [CrossRef]
- Holzworth, G.C. Estimates of mean maximum mixing depths in the contiguous United States. Mon. Weather Rev. 1964, 92, 235–242. [Google Scholar] [CrossRef]
- Hu, X.-M.; Nielsen-Gammon, J.W.; Zhang, F. Evaluation of three planetary boundary layer schemes in the WRF model. J. Appl. Meteor. Climatol. 2010, 49, 1831–1844. [Google Scholar] [CrossRef]
- LeMone, M.A.; Tewari, M.; Chen, F.; Dudhia, J. Objectively determined fair-weather CBL depths in the ARW-WRF model and their comparison to CASES-97 observations. Mon. Weather Rev. 2013, 141, 30–54. [Google Scholar] [CrossRef]
- Gallo, K.P.; Easterling, D.R.; Peterson, T.C. The influence of land use/land cover on climatological values of the diurnal temperature range. J. Climate 1996, 9, 2941–2944. [Google Scholar] [CrossRef]
- Wang, K.; Li, Y.; Wang, Y.; Yang, X. On the asymmetry of the urban daily air temperature cycle. J. Geophys. Res. Atmos. 2017, 122, 5625–5635. [Google Scholar] [CrossRef]
- Yang, X.; Li, Y.; Luo, Z.; Chan, P.W. The urban cool island phenomenon in a high-rise high-density city and its mechanisms. Int. J. Climatol. 2017, 37, 890–904. [Google Scholar] [CrossRef]
- Sharma, A.; Woodruff, S.; Budhathoki, M.; Hamlet, A.F.; Chen, F.; Fernando, H.J.S. Role of green roofs in reducing heat stress in vulnerable urban communities—A multidisciplinary approach. Environ. Res. Lett. 2018, 13, 94011. [Google Scholar] [CrossRef]
- Kristovich, D.A.; Takle, E.; Young, G.S.; Sharma, A. 100 years of progress in mesoscale planetary boundary layer meteorological research. Meteorol. Monogr. 2019. [Google Scholar] [CrossRef]










| Land Categories | ALBD | SLMO | SFEM | SFZ0 | THERIN | SFHC |
|---|---|---|---|---|---|---|
| High-intensity residential areas | 10 | 0.10 | 0.88 | 100 | 3 | 1.89 |
| Medium or industrial areas | 10 | 0.15 | 0.90 | 60 | 3 | 1.89 |
| Low-intensity residential areas | 11 | 0.20 | 0.95 | 40 | 3 | 1.89 |
| Developed open space | 12 | 0.10 | 0.97 | 30 | 3 | 1.89 |
| Dryland/Cropland/ Pasture | 17 | 0.30 | 0.99 | 15 | 4 | 2.50 |
| Cropland/Woodland Mosaic | 16 | 0.35 | 0.99 | 20 | 4 | 2.50 |
| Mixed Forest | 13 | 0.30 | 0.97 | 50 | 4 | 4.18 |
| All Stations | Mean | St. Dev. | MB | ME | RMSE | IA | r |
|---|---|---|---|---|---|---|---|
| TEMPERATURE (°C) | |||||||
| Observation | 23.9 | 5.7 | - | - | - | - | - |
| BouLac | 23.5 | 5.3 | −0.3 | 1.2 | 1.5 | 0.98 | 0.97 |
| MYJ | 23.0 | 5.7 | −0.9 | 1.4 | 1.8 | 0.97 | 0.96 |
| YSU | 22.9 | 5.5 | −1.0 | 1.5 | 1.9 | 0.97 | 0.96 |
| MIXING RATIO (g/kg) | |||||||
| Observation | 7.3 | 1.04 | - | - | - | - | - |
| BouLac | 7.0 | 1.29 | −0.30 | 0.90 | 1.14 | 0.73 | 0.58 |
| MYJ | 7.1 | 1.30 | −0.25 | 0.88 | 1.11 | 0.75 | 0.59 |
| YSU | 6.9 | 1.28 | −0.40 | 0.89 | 1.12 | 0.75 | 0.61 |
| All Stations | Mean (°C) | St. Dev. (°C) | MB (°C) | ME (°C) | RMSE (°C) | IA | r |
|---|---|---|---|---|---|---|---|
| NIMH-Sofia | |||||||
| Observations | 24.1 | 3.2 | - | - | - | - | - |
| BouLac | 25.8 | 6.6 | 1.7 | 3.6 | 4.7 | 0.76 | 0.82 |
| MYJ | 25.2 | 6.8 | 1.1 | 3.7 | 4.7 | 0.77 | 0.82 |
| YSU | 26.1 | 6.8 | 2.0 | 3.7 | 5.0 | 0.74 | 0.82 |
| Borisova Gradina | |||||||
| Observations | 19.2 | 1.4 | - | - | - | - | - |
| BouLac | 21.5 | 3.3 | 2.3 | 2.8 | 3.1 | 0.64 | 0.91 |
| MYJ | 21.0 | 3.4 | 1.8 | 2.5 | 2.8 | 0.69 | 0.93 |
| YSU | 20.9 | 3.7 | 1.7 | 2.8 | 3.1 | 0.67 | 0.92 |
| Plana | |||||||
| Observations | 17.9 | 3.0 | - | - | - | - | - |
| BouLac | 16.5 | 3.0 | −1.4 | 2.0 | 2.5 | 0.83 | 0.77 |
| MYJ | 16.4 | 2.9 | −1.4 | 2.0 | 2.5 | 0.83 | 0.78 |
| YSU | 16.7 | 3.3 | −1.2 | 1.9 | 2.3 | 0.86 | 0.81 |
| Mean | St. Dev. | MB | ME | RMSE | IA | r | |
|---|---|---|---|---|---|---|---|
| TEMPERATURE (°C) | |||||||
| Observation–50 lev | 25.6 | 4.1 | - | - | - | - | - |
| Model data-BouLac | 25.4 | 4.0 | −0.2 | 0.4 | 0.5 | 0.99 | 0.99 |
| Model data-MYJ | 25.5 | 4.1 | 0.0 | 0.4 | 0.4 | 0.99 | 0.99 |
| Model data–YSU 50 lev | 25.6 | 4.0 | 0.0 | 0.4 | 0.5 | 1.0 | 0.99 |
| Observation–99 lev | 22.8 | 4.4 | - | - | - | - | - |
| Model data–YSU 99 lev | 22.8 | 4.3 | −0.1 | 0.4 | 0.5 | 1.0 | 1.0 |
| MIXING RATIO (g/kg) | |||||||
| Observation–50 lev | 7.4 | 1.2 | - | - | - | - | - |
| Model data-BouLac | 6.8 | 1.1 | −0.6 | 0.9 | 1.1 | 0.77 | 0.66 |
| Model data-MYJ | 6.8 | 1.1 | −0.6 | 0.9 | 1.1 | 0.77 | 0.68 |
| Model data-YSU | 6.7 | 1.1 | −0.7 | 1.0 | 1.2 | 0.73 | 0.62 |
| Observation–99 lev | 7.2 | 1.4 | - | - | - | - | - |
| Model data–YSU 99 lev | 6.6 | 1.1 | −0.6 | 1.0 | 1.2 | 0.75 | 0.65 |
| WIND SPEED (m/s) | |||||||
| Observation–50 lev | 3.4 | 1.4 | - | - | - | - | - |
| Model data-BouLac | 3.5 | 1.3 | 0.1 | 1.2 | 1.4 | 0.67 | 0.46 |
| Model data-MYJ | 4.1 | 1.7 | 0.7 | 1.6 | 1.9 | 0.62 | 0.39 |
| Model data-YSU | 4.0 | 1.3 | 0.6 | 1.2 | 1.5 | 0.73 | 0.49 |
| Observation–99 lev | 3.9 | 1.5 | - | - | - | - | - |
| Model data–YSU 99 lev | 3.8 | 1.3 | −0.1 | 1.1 | 1.3 | 0.72 | 0.54 |
| WIND DIRECTION (deg) | |||||||
| Observation–50 lev | 102.5 | 71.4 | - | - | - | - | - |
| Model data-BouLac | 92.3 | 66.9 | −5.7 | 23.1 | 36.7 | 0.94 | 0.60 |
| Model data-MYJ | 98.3 | 70.0 | −4.5 | 22.7 | 38.6 | 0.93 | 0.60 |
| Model data-YSU | 97.3 | 65.3 | −4.3 | 22.9 | 36.4 | 0.94 | 0.64 |
| Observation–99 lev | 104.7 | 83.3 | - | - | - | - | - |
| Model data–YSU 99 lev | 94.6 | 78.4 | −5.6 | 20.0 | 30.9 | 0.96 | 0.77 |
© 2019 by the authors. Licensee MDPI, Basel, Switzerland. This article is an open access article distributed under the terms and conditions of the Creative Commons Attribution (CC BY) license (http://creativecommons.org/licenses/by/4.0/).
Share and Cite
Dimitrova, R.; Danchovski, V.; Egova, E.; Vladimirov, E.; Sharma, A.; Gueorguiev, O.; Ivanov, D. Modeling the Impact of Urbanization on Local Meteorological Conditions in Sofia. Atmosphere 2019, 10, 366. https://doi.org/10.3390/atmos10070366
Dimitrova R, Danchovski V, Egova E, Vladimirov E, Sharma A, Gueorguiev O, Ivanov D. Modeling the Impact of Urbanization on Local Meteorological Conditions in Sofia. Atmosphere. 2019; 10(7):366. https://doi.org/10.3390/atmos10070366
Chicago/Turabian StyleDimitrova, Reneta, Ventsislav Danchovski, Evgenia Egova, Evgeni Vladimirov, Ashish Sharma, Orlin Gueorguiev, and Danko Ivanov. 2019. "Modeling the Impact of Urbanization on Local Meteorological Conditions in Sofia" Atmosphere 10, no. 7: 366. https://doi.org/10.3390/atmos10070366
APA StyleDimitrova, R., Danchovski, V., Egova, E., Vladimirov, E., Sharma, A., Gueorguiev, O., & Ivanov, D. (2019). Modeling the Impact of Urbanization on Local Meteorological Conditions in Sofia. Atmosphere, 10(7), 366. https://doi.org/10.3390/atmos10070366

