Regional Frequency Analysis of Precipitation Extremes and Its Spatio-Temporal Patterns in the Hanjiang River Basin, China
Abstract
1. Introduction
2. Study Area and Data
3. Methodology
3.1. Stationarity Test and Serial Correlation Check
3.2. L-moments Theory
3.3. Regional Frequency Analysis Based on L-moments Method
3.3.1. Identification of Homogenous Regions by Cluster Analysis
3.3.2. Screening the Data using the Discordancy Measure
3.3.3. Homogeneity Testing using the Heterogeneity Measure
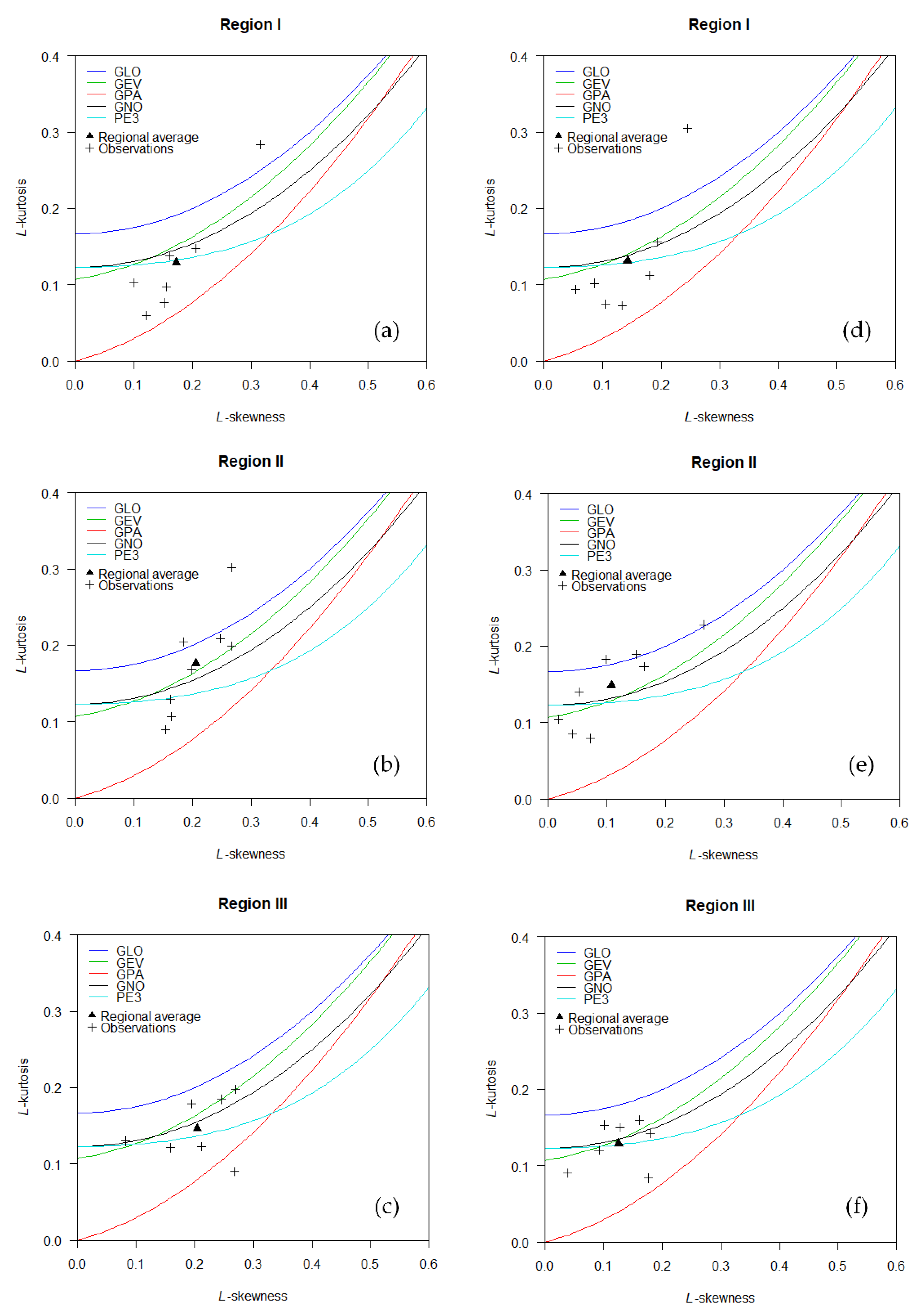
3.3.4. Distribution Selection using the Goodness-of-Fit Measure
3.3.5. Regional Extreme Rainfall Quantile Estimations
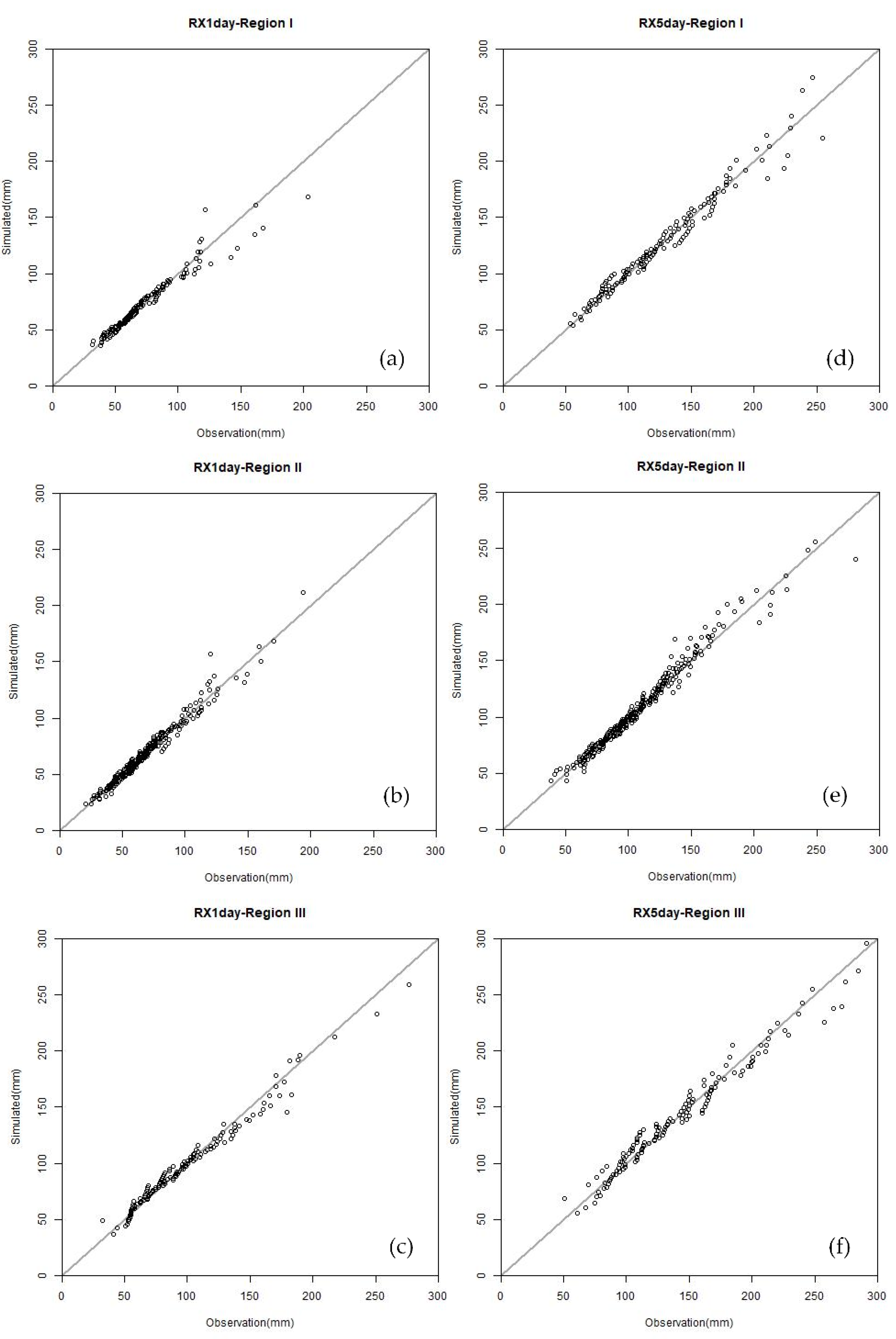
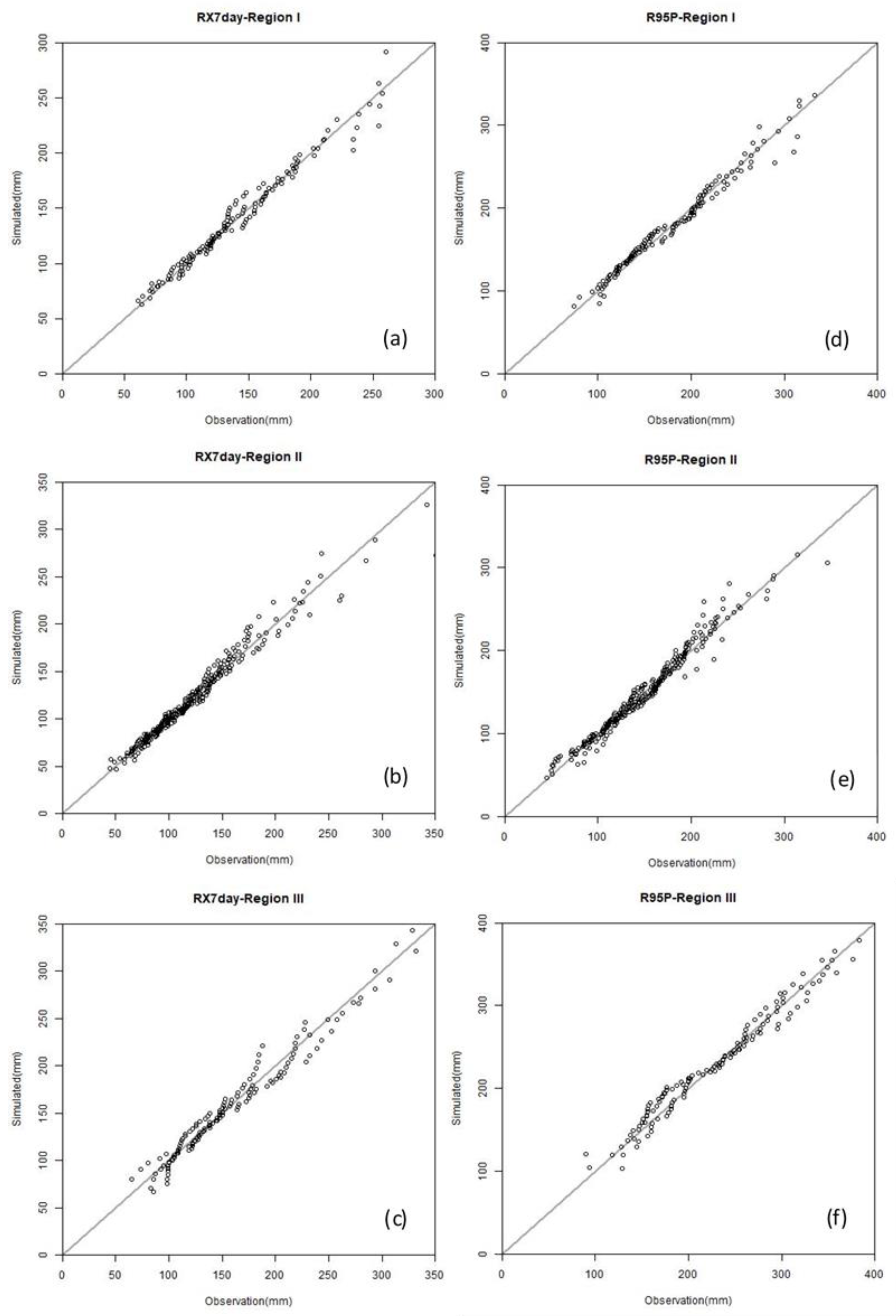
3.4. Accuracy Assessments and Uncertainty Analysis
4. Results
4.1. Stationarity Test and Serial Correlation Check
4.2. Regionalization of Precipitation Extremes Using L-Moment Technique
4.3. Selection of Best-Fit Distribution
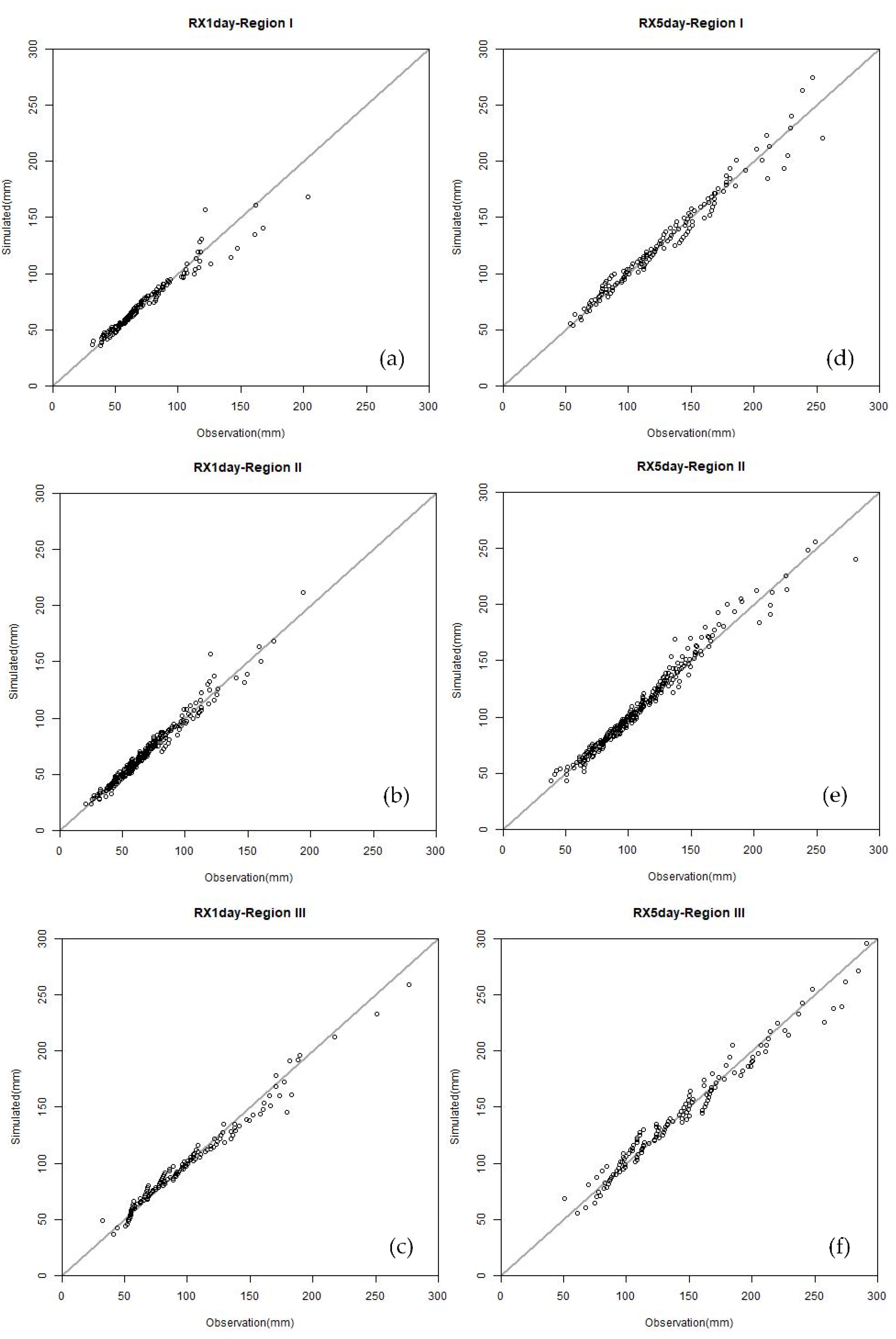
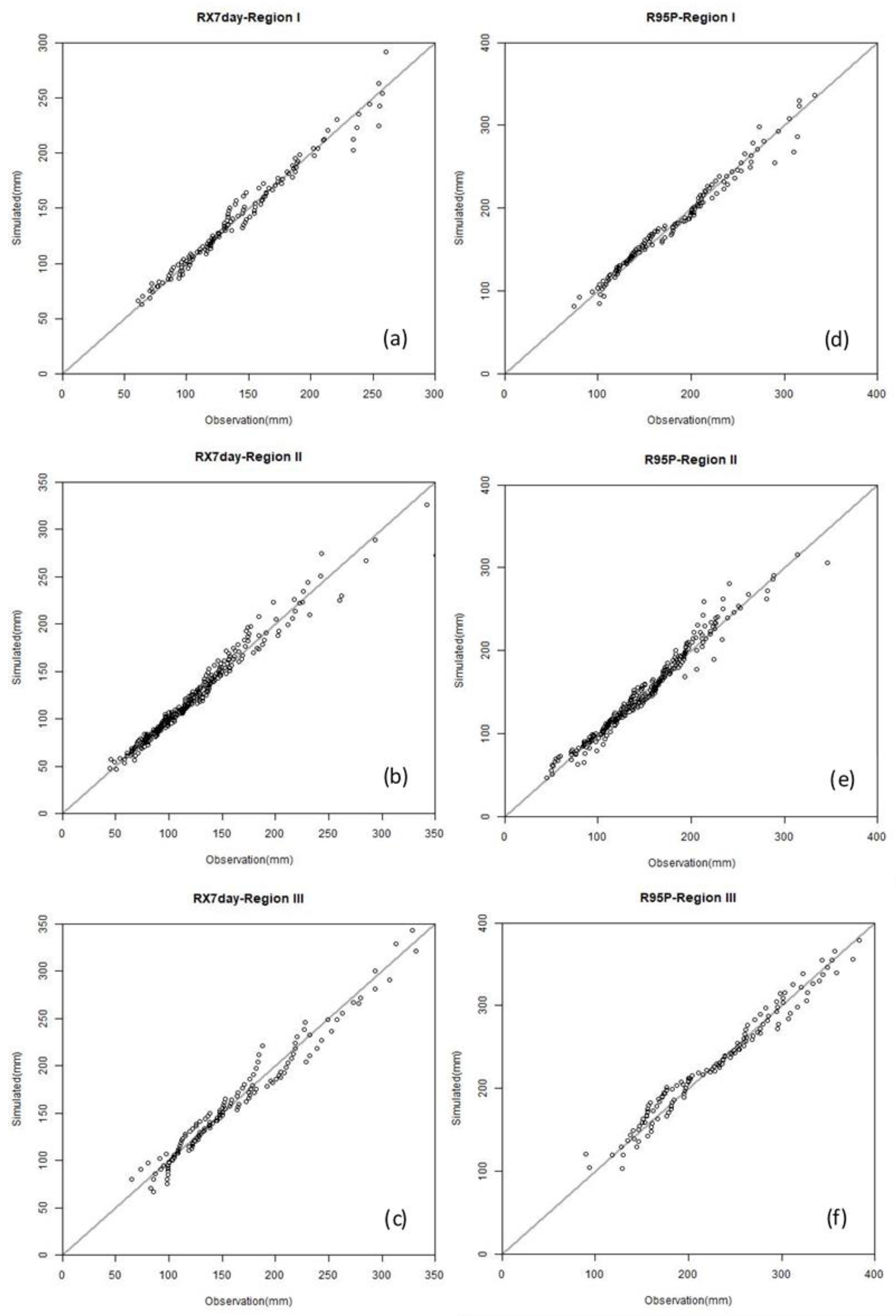
4.4. Accuracy and Uncertainty Analysis of Quantile Estimations
4.5. Spatial Characteristics of Annual Rainfall Extremes
5. Discussion
6. Conclusions
Author Contributions
Funding
Acknowledgments
Conflicts of Interest
References
- Min, S.K.; Zhang, X.; Zwiers, F.W. Human contribution to more-intense precipitation extremes. Nature 2011, 470, 378–381. [Google Scholar] [CrossRef]
- Donat, M.G.; Lowry, A.L.; Alexander, L.V.; O’Gorman, P.A.; Maher, N. More extreme precipitation in the world’s dry and wet regions. Nat. Clim. Change 2016, 6, 508–513. [Google Scholar] [CrossRef]
- Thomas, R. Seasonal changes of extremes in isolated and mesoscale precipitation for the southeastern United States. Atmosphere 2018, 9, 309. [Google Scholar]
- IPCC. Managing the Risks of Extreme Events and Disasters to Advance Climate Change Adaptation (Srex): A Special Report of Working Group I and II of The Intergovernmental Panel on Climate Change; Cambridge University Press: Cambridge, UK, 2012. [Google Scholar]
- Zhai, P.M.; Zhang, X.B.; Wan, H.; Pan, X.H. Trends in total precipitation and frequency of daily precipitation extremes over China. J. Clim. 2005, 18, 1096–1108. [Google Scholar] [CrossRef]
- Derbile, E.K.; Kasei, R.A. Vulnerability of crop production to heavy precipitation in north-eastern Ghana. Int. J. Clim. Change Strateg. Manag. 2012, 4, 36–53. [Google Scholar] [CrossRef]
- Sorooshian, S.; Aghakouchak, A.; Arkin, P.; Eylander, J.; Foufoula-Georgiou, E.; Harmon, R.S.; Hendrickx, J.; Imam, B.; Kuligowski, R.; Skahill, B.; et al. Advanced concepts on remote sensing of precipitation at multiple scales. Bull. Am. Meteorol. Soc. 2011, 92, 1353–1357. [Google Scholar] [CrossRef]
- Cai, S.M.; Chen, G.J.; Du, Y.; Wu, Y.J. Thoughts on sustainable development in the basin of Hanjiang river. Resour. Environ. Yangtze Basin 2000, 9, 411–418. [Google Scholar]
- Guo, S.L.; Wang, Y.; Zhou, Y.L.; Yin, J.B. Optimal control of flood water resources for the Danjiangkou reservoir. J. Water Resour. Res. 2015, 04, 1–8. [Google Scholar] [CrossRef]
- Jin, W.H. Analysis of “81.8” flood in Hanzhong and discussion on flood control. J. Shanxi Water Resour. 1986, 3, 29–38. [Google Scholar]
- Yin, S.Y.; Huang, C.C. Precipitation change and occurrence of rainstorms and floods in upper reaches of Hanjiang river during last 50 years. Bull. Soil Water Conserv. 2012, 32, 19–25. [Google Scholar]
- Qin, L.X. Disscussion on regional heavy rain in the area of Hanzhong of Hanjiang river basin. J. Shaanxi Meteorol. 1991, 6, 10–12, 19. [Google Scholar]
- Xiao, Y.; Du, L.M.; Ren, Y.J. Study on the relationship between typical drought/flood years in autumn flood season in Hanjiang river baisn and precceding sea surface temperature. Torrential Rain Disasters 2013, 32, 182–187. [Google Scholar]
- Wang, X.X.; Wu, M.F.; Lv, J.J.; Wang, X.P.; Xu, W.F. Analysis of a flood-causing heavy rainstorm in 2005 in Weihe and Hanjiang valley. J. Catastrophol. 2007, 22, 68–71. [Google Scholar]
- Jin, J.F.; Yin, S.Y.; Pang, J.L. Extreme precipitation in the upper reach of Hanjiang river in recent 60 years—A case study of Ankang region. Arid Zone Res. 2014, 31, 1061–1067. [Google Scholar]
- Wang, Q.L.; Bao, W.T.; Chen, X.Z. Analysis on “2007.07.03” storm flood occurring in Laoguan river and Qi river in Hanjiang river basin. Yangtze River 2013, 44, 76–78. [Google Scholar]
- Sun, Y.X. Documentary report on resisting “2010.7” flood of Hubei province in Hanjiang river. China Flood Drought Manag. 2010, 20, 9. [Google Scholar]
- Zhang, J.; Chen, G.Y.; Yang, B.; Guo, S.L.; Chen, H.; Ma, S.Z. Design and implementation of GIS-based flood forecasting system for Hanjiang river basin. J. Yangtze River Sci. Res. Inst. 2009, 26, 15–19. [Google Scholar]
- Guo, S.L.; Zhang, J.; Guo, J.; Chen, G.Y.; Chen, H. Flood forecasting system of Hanjiang basin based on meteorological model. Adv. Sci. Technol. Water Resour. 2009, 29, 1–5. [Google Scholar]
- Xu, R.L.; Chen, H.; Guo, J. Impact of climate change on hydrologycal extreme events in upper reaches of Hanjiang river basin. J. Beijing Normal Univ. (Nat. Sci.) 2010, 46, 383–386. [Google Scholar]
- Chen, X.H.; Zhang, L.P.; Shan, L.J.; Yang, W.; Xu, X. Joint distribution of the extreme rainfall and flood for the upper-middle reaches of the Hanjiang river based on copula function. Resour. Environ. Yangtze Basin 2015, 24, 1425–1433. [Google Scholar]
- Xu, C.J.; Guo, S.L.; Liu, Z.J.; Yin, J.B. Regional flood frequency analysis in the upstream Han river. J. Water Resour. Res. 2016, 5, 191–199. [Google Scholar] [CrossRef]
- Hosking, J.R.M. L-moments: Analysis and estimation of distributions using linear combinations of order statistics. J. R. Stat. Soc. 1990, 52, 105–124. [Google Scholar] [CrossRef]
- Hosking, J.R.M.; Wallis, J.R. Some statistics useful in regional frequency analysis. Water Resour. Res. 1993, 29, 271–281. [Google Scholar] [CrossRef]
- Hosking, J.R.M.; Wallis, J.R. Regional Frequency Analysis—An Approach Based on L-Moments; Cambridge University Press: Cambridge, UK, 1997. [Google Scholar]
- Du, H.; Xia, J.; Zeng, S.D. Regional frequency analysis of extreme precipitation and its spatio-temporal characteristics in the Huai river basin, China. Nat. Hazards 2014, 70, 195–215. [Google Scholar] [CrossRef]
- Norbiato, D.; Borga, M.; Sangati, M.; Zanon, F. Regional frequency analysis of extreme precipitation in the eastern Italian Alps and the August 29, 2003 flash flood. J. Hydrol. 2007, 345, 174–182. [Google Scholar] [CrossRef]
- Seckin, N.; Haktanir, T.; Yurtal, R. Flood frequency analysis of Turkey using l-moments method. Hydrol. Processes 2011, 25, 3499–3505. [Google Scholar] [CrossRef]
- Yang, T.; Shao, Q.X.; Hao, Z.C.; Chen, X.; Zhang, Z.X.; Xu, C.Y.; Sun, L.M. Regional frequency analysis and spatio-temporal pattern characterization of rainfall extremes in the Pearl river basin, China. J. Hydrol. 2010, 380, 386–405. [Google Scholar] [CrossRef]
- Chen, Y.D.; zhang, Q.; Xiao, M.Z. Precipitation extremes in the Yangtze river basin, China: Regional frequency and spatial–temporal patterns. Theor. Appl. Climatol. 2014, 116, 447–461. [Google Scholar] [CrossRef]
- Chen, Y.Q.; Huang, G.R. Regional low flow frequency calculation with L-moments method at Dongjiang basin. J. Basic Sci. Eng. 2005, 13, 409–416. [Google Scholar]
- Yang, T.; Chen, X.; Yang, H.W.; Xie, H.W. Regional flood frequency analysis in Pearl River Delta region based on L-moments approach. J. Hohai Univ. (Nat. Sci.) 2010, 37, 615–619. [Google Scholar]
- Huang, Q.; Chen, Z.C.; Liu, Z.M.; Liu, Z.M. Regional frequency analysis of extreme rainfall in Guangdong using L-moments approaches. J. Water Resour. Res. 2013, 2, 7–13. [Google Scholar] [CrossRef]
- Tao, X.E.; Chen, H.; Xu, C.Y. Characteristics of drought variations in hanjiang basin in 1961-2014 based on spi/spei. J. Water Resour. Res. 2015, 4, 404–415. [Google Scholar] [CrossRef]
- Zhu, Y.P.; Zang, H.P.; Chen, L.; Zhao, J.F. Influence of the south-north water diversion project and themitigation projects on the water quality of Han river. Sci. Total Environ. 2008, 406, 57–68. [Google Scholar] [CrossRef] [PubMed]
- Hong, X.J.; Guo, S.L.; Wang, L.; Yang, G.; Liu, D.D.; Guo, H.J.; Wang, J. Evaluating water supply risk in the middle and lower reaches of Hanjiang river basin based on an integrated optimal water resources allocation model. Water 2016, 8, 364. [Google Scholar] [CrossRef]
- Qi, Y.L.; Owino, A.A.; Makokha, V.A.; Shen, Y.; Zhang, D.; Wang, J. Occurrence and risk assessment of polycyclic aromatic hydrocarbons in the Hanjiang river basin and the Danjiangkou reservoir, China. Hum. Ecol. Risk Assess. 2016, 22, 1183–1196. [Google Scholar] [CrossRef]
- Shi, Z.H.; Cai, C.F.; Ding, S.W. Research on nitrogen and phosphorus load of agricultural non-point sources in middle and lower reaches of Hanjiang river based on GIS. Acta Sci. Circumst. 2002, 22, 473–477. [Google Scholar]
- Yang, W.; Zhang, L.P.; Shan, L.J.; Chen, X.C.; Yang, Y.R. Spatiotemporal distribution features of extreme hydrological events in the Hanjiang river basin. Prog. Inquis. Mutat. Clim. 2015, 11, 15–21. [Google Scholar]
- Estévez, J.; García-Marín, A.P.; Morábito, J.A.; Cavagnaro, M. Quality assurance procedures for validating meteorological input variables of reference evapotranspiration in Mendoza province (Argentina). Agric. Water Manag. 2016, 172, 96–109. [Google Scholar] [CrossRef]
- Estévez, J.; Gavilán, P.; Giráldez, J.V. Guidelines on validation procedures for meteorological data from automatic weather stations. J. Hydrol. 2011, 402, 144–154. [Google Scholar] [CrossRef]
- Llabrés-Brustenga, A.; Rius, A.; Rodríguez-Solà, R.; Carmen Casas-Castillo, M.; Redaño, A. Quality control process of the daily rainfall series available in Catalonia from 1855 to the present. Theor. Appl. Climatol. 2019. [Google Scholar] [CrossRef]
- Agarwal, A.; Babel, M.S.; Maskey, S. Analysis of future precipitation in the Koshi river basin, Nepal. J. Hydrol. 2014, 513, 422–434. [Google Scholar] [CrossRef]
- Mann, H.B. Nonparametric tests against trend. Econometrica 1945, 13, 245–259. [Google Scholar] [CrossRef]
- Kendall, M.G. Rank Correlation Methods; Charles Griffin: London, UK, 1975. [Google Scholar]
- Tabari, H.; Marofi, S.; Ahmadi, M. Long term variations of water quality parameters in the Maroon river, Iran. Environ. Monit. Assess. 2011, 177, 273–287. [Google Scholar] [CrossRef] [PubMed]
- Yue, S.; Paul, P.; Bob, P.; Cavadias, G. The influence of autocorrelation on the ability to detect trend in hydrological series. Hydrol. Process. 2002, 16, 1807–1829. [Google Scholar] [CrossRef]
- Yue, S.; Wang, C.Y. The mann-kendall test modified by effective sample size to detect trend in serially correlated hydrological series. Water Resour. Manag. 2004, 18, 201–218. [Google Scholar] [CrossRef]
- Xiong, L.H.; Guo, S.L. Trend test and change-point detection for the annual discharge series of the Yangtze river at the Yichang hydrological station. Hydrol.Sci. J. 2004, 49, 99–112. [Google Scholar] [CrossRef]
- Douglas, E.M.; Vogel, R.M.; Kroll, C.N. Trends in floods and low flows in the United States: Impact of spatial correlation. J. Hydrol. 2000, 240, 90–105. [Google Scholar] [CrossRef]
- Vogel, R.M.; Fennessey, N.M. L moment diagrams should replace product moment diagrams. Water Resour. Res. 1993, 29, 1745–1752. [Google Scholar] [CrossRef]
- Sankarasubramanian, A.; Srinivasan, K. Investigation and comparison of sampling properties of L-moments and conventional moments. J. Hydrol. 1999, 218, 13–34. [Google Scholar] [CrossRef]
- Brath, A.; Castellarin, M.; Franchini, M.; Galeati, G. Estimating the index flood using indirect methods. Hydrol. Sci. J. 2001, 46, 399–418. [Google Scholar] [CrossRef]
- Dalrymple, T. Flood frequency methods. U.S. Geol. Surv. Water Supply Pap. 1960, 1543A, 11–51. [Google Scholar]
- Cunnane, C. Unbiased plotting positions-a review. J. Hydrol. 1978, 37, 205–222. [Google Scholar] [CrossRef]
- Endreny, T.A.; Pashiardis, S. The error and bias of supplementing a short, ari climate, rainfall record with regional vs. Global frequency analysis. J. Hydrol. 2007, 334, 174–182. [Google Scholar] [CrossRef]
- Sillmann, J.; Stjern, C.W.; Myhre, G.; Forster, P.M. Slow and fast response of mean and extreme precipitation to different forcing in CMIP5 simulations. Geophys. Res. Lett. 2017, 44, 6383–6390. [Google Scholar] [CrossRef]
- Wu, Y.T.; Polvani, L.M. Recent trends in extreme precipitation and temperature over southeastern south America: The dominant role of stratospheric ozone depletion in the CESMlarge ensemble. J. Clim. 2017, 30, 6433–6441. [Google Scholar] [CrossRef]
- Adamowski, K.; Alila, Y.; Pilon, P.J. Regional rainfall distribution for Canada. Atmos. Res. 1996, 42, 75–88. [Google Scholar] [CrossRef]
- Burgueno, A.; Martinez, M.D.; Lana, X.; Serra, C. Statistical distributions of the daily rainfall regime in the Catalonla (northeastern Spain) for the years 1950–2000. Int. J. Climatol. 2005, 25, 1381–1403. [Google Scholar] [CrossRef]
- Kishtawal, C.M.; Niyogi, D.; Tewari, M.; Pielke, R.A., Sr.; Shepherd, J.M. Urbanization signature in the observed heavy rainfall climatology over India. Int. J. Climatol. 2010, 30, 1908–1916. [Google Scholar] [CrossRef]
- Landsberg, H.E. Man-made climate changes. Science 1970, 170, 1265–1274. [Google Scholar] [CrossRef]
- Huff, F.A.; Changnon, S.A. Climatological assessment of urban effects on precipitation at St. Louis. J. Appl. Meteorol. 1972, 11, 823–842. [Google Scholar] [CrossRef]
- He, Y.H.; Wang, X.L.; Jin, Q.; Long, L.M.; Wei, H.H. Analysis of circulation pattern and vapor characteristic field in autumn waterlogging in upstream of Han river in 2005. Meteorol. Sci. Technol. 2007, 35, 514–518. [Google Scholar]
- Liang, W.Q.; Yi, S.Z.; Li, H.H.; Zhen, X.F.; Sun, Y. The spatio-temporal distribution of water vapor transport and precipitation over Hanjiang river basin based onGIS. J. Geo-Inform. Sci. 2014, 16, 575–581. [Google Scholar]
- Yue, S.H. Vapor analysis of a heavy rain in west of China in autumn. Plateau Meteorology. 2004, 23, 689–696. [Google Scholar]
- Wang, X.K.; Liao, Y.S. The diagnostic analysis of heavy rainfall on 1 June, 2005 in Jianghan plain. Torrential Rain Disasters 2015, 34, 184–190. [Google Scholar]









| Station ID | Station Name | Abbreviation | Latitude (N) | Longitude (E) | Altitude(m) | Annual Precipitation Total (mm) |
|---|---|---|---|---|---|---|
| 57034 | Wugong | WG | 34.25 | 108.22 | 447.8 | 581.29 |
| 57046 | Huashan | HS | 34.48 | 110.08 | 2064.9 | 751.44 |
| 57067 | Lushi | LS | 34.05 | 111.03 | 568.8 | 620.26 |
| 57077 | Luanchuan | LC | 33.78 | 111.60 | 750.3 | 808.53 |
| 57106 | Lveyang | LY | 33.32 | 106.15 | 794.2 | 772.34 |
| 57127 | Hanzhong | HZ | 33.07 | 107.03 | 509.5 | 849.14 |
| 57134 | Foping | FP | 33.52 | 107.98 | 827.2 | 903.01 |
| 57143 | Shangzhou | SZ | 33.87 | 109.97 | 742.2 | 674.58 |
| 57144 | Zhen’an | ZA | 33.43 | 109.15 | 693.7 | 761.49 |
| 57178 | Nanyang | NY | 33.03 | 112.58 | 129.2 | 766.35 |
| 57232 | Shiquan | SQ | 33.05 | 108.27 | 484.9 | 876.98 |
| 57237 | Wanyuan | WY | 32.07 | 108.03 | 674.0 | 1243.78 |
| 57245 | Ankang | AK | 32.72 | 109.03 | 290.8 | 822.25 |
| 57251 | Yunxi | YX | 33.00 | 110.42 | 249.1 | 767.23 |
| 57259 | Fangxian | FX | 32.03 | 110.77 | 426.9 | 822.42 |
| 57265 | Laohekou | LHK | 32.38 | 111.67 | 90.0 | 807.80 |
| 57297 | Xinyang | XY | 32.13 | 114.05 | 114.5 | 1076.68 |
| 57348 | Fengjie | FJ | 31.02 | 109.53 | 299.8 | 1106.58 |
| 57355 | Badong | BD | 31.03 | 110.37 | 334 | 1072.70 |
| 57378 | Zhongxiang | ZX | 31.17 | 112.57 | 65.8 | 958.21 |
| 57461 | Yichang | YC | 30.70 | 111.30 | 133.1 | 1132.25 |
| 57476 | Jinzhou | JZ | 30.35 | 112.15 | 32.6 | 1068.80 |
| 57483 | Tianmen | TM | 30.67 | 113.17 | 34.1 | 1103.62 |
| 57494 | Wuhan | WH | 30.62 | 114.13 | 23.1 | 1265.20 |
| 57583 | Jiayu | JY | 29.98 | 113.92 | 53.0 | 1410.85 |
| Station Name | RX1day | RX5day | RX7day | R95P | ||||
|---|---|---|---|---|---|---|---|---|
| Test Z | Significance | Test Z | Significance | Test Z | Significance | Test Z | Significance | |
| WG | 0.559 | N+ | 0.211 | N+ | 0.238 | N+ | 0.083 | N+ |
| HS | −0.486 | N− | −1.11 | N− | −0.495 | N− | −0.33 | N− |
| LS | 1.403 | N+ | 0.917 | N+ | 1.027 | N+ | 1.394 | N+ |
| LC | 1.394 | N+ | 1.284 | N+ | 1.577 | N+ | 1.211 | N+ |
| LY | −1.11 | N− | −1.211 | N− | −1.568 | N− | −0.752 | N− |
| HZ | 0.559 | N+ | −0.238 | N− | −0.284 | N− | 0.844 | N+ |
| FP | 1.073 | N+ | 1.348 | N+ | 1.192 | N+ | 1.366 | N+ |
| SZ | 2.173 | Y+ | 0.734 | N+ | 0.825 | N+ | 1.394 | N+ |
| ZA | 0.862 | N+ | 0.44 | N+ | 0.835 | N+ | 1.045 | N+ |
| NY | 0.009 | N+ | −0.22 | N− | −0.083 | N− | 0.055 | N+ |
| SQ | 0.101 | N+ | 1.449 | N+ | 1.752 | N+ | 0.679 | N+ |
| WY | 0.724 | N+ | 1.706 | N+ | 1.779 | N+ | 1.513 | N+ |
| AK | −0.807 | N− | −1.036 | N− | −0.963 | N− | −0.633 | N− |
| YX | −0.605 | N− | −0.266 | N− | −0.449 | N− | 0.33 | N+ |
| FX | −0.477 | N− | −1.357 | N− | −1.045 | N− | −0.532 | N− |
| LHK | −1.513 | N− | −1.834 | N− | −1.632 | N− | −1.174 | N− |
| XY | −0.009 | N− | −0.238 | N− | 0.147 | N+ | 0 | N− |
| FJ | −1.045 | N− | −2.467 | Y− | −2.1 | Y− | −1.898 | N− |
| BD | 0.22 | N+ | −0.688 | N− | −0.44 | N− | −0.275 | N− |
| ZX | −0.981 | N− | −0.917 | N− | −1.1 | N− | −0.422 | N− |
| YC | 0.147 | N+ | −0.688 | N− | −0.321 | N− | 0.954 | N+ |
| JZ | −0.037 | N− | 0.624 | N+ | 0.156 | N+ | 0.532 | N+ |
| TM | 0.761 | N+ | 0.147 | N+ | −0.083 | N− | 0.734 | N+ |
| WH | 1.742 | N+ | 2.265 | Y+ | 2.128 | Y+ | 1.522 | N+ |
| JY | −0.22 | N− | 0.138 | N+ | 0.055 | N+ | −0.238 | N− |
| Item | HOM Region | Containing Sites (Di) | Dcritical | Heterogeneity | |Z| ≤ 1.64 | Best Fit | MARE(%) | ||
|---|---|---|---|---|---|---|---|---|---|
| H1 | H2 | H3 | |||||||
| RX1day | I (7 sites) | LY(1.4), HZ(0.58), FP(0.42), ZA(1.78), SQ(1.41), WY(0.61), AK(0.79) | 1.917 | 0.64 | −0.48 | −0.13 | 0.04 | GNO | 4.05 |
| II (8 sites) | WG(0.32), HS(1.19), LS(1.58), LC(0.42), NY(1.92), YX(2.26), FX(0.48), LHK(0.99) | 2.140 | −0.28 | −0.84 | −1.11 | −0.26 | GLO | 6.41 | |
| III (7 sites) | XY(1.31), BD(0.54), ZX(0.94), YC(0.36), JZ(0.66), TM(1.59), JY(1.60) | 1.917 | −0.25 | −0.99 | −1.55 | 0.12 | GEV | 5.65 | |
| RX5day | I (7 sites) | LY(1.74), HZ(1.49), FP(1.37), ZA(0.17), SQ(1.21), WY(0.55), AK(0.48) | 1.917 | 0.03 | 0.27 | −0.28 | 0.41 | PE3 | 4.27 |
| II (8 sites) | WG(2.01), HS(0.49), LS(0.86), LC(0.05), NY(0.52), YX(0.56), FX(0.58), LHK(2.47) | 2.140 | 0.70 | −0.82 | −1.31 | −0.11 | GEV | 4.04 | |
| III (7 sites) | XY(1.26), BD(0.61), ZX(1.60), YC(1.00), JZ(1.53), TM(0.25), JY(0.74) | 1.917 | −0.57 | 0.10 | 0.64 | −0.01 | GEV | 5.46 | |
| RX7day | I (7 sites) | LY(1.89), HZ(0.32), FP(1.54), ZA(0.40), SQ(0.25), WY(1.34), AK(1.26) | 1.917 | −0.58 | −0.14 | 0.37 | 0.13 | PE3 | 3.19 |
| II (8 sites) | WG(0.44), HS(1.55), LS(0.68), LC(1.35), NY(0.38), YX(1.03), FX(0.72), LHK(2.04) | 2.140 | −0.04 | −0.95 | −0.71 | −0.57 | GEV | 5.18 | |
| III (7 sites) | XY(1.35), BD(0.97), ZX(1.46), YC(0.66), JZ(0.54), TM(0.57), JY(1.46) | 1.917 | 0.30 | 0.10 | −0.38 | 0.37 | GNO | 5.66 | |
| R95P | I (7 sites) | LY(1.25), HZ(0.22), FP(0.46), ZA(1.89), SQ(1.66), WY(0.38), AK(1.14) | 1.917 | −0.01 | 0.38 | 0.98 | −0.06 | PE3 | 3.72 |
| II (8 sites) | WG(1.56), HS(1.16), LS(0.53), LC(0.61), NY(0.46), YX(1.84), FX(0.77), LHK(0.62) | 2.140 | 0.63 | 0.81 | 0.61 | −0.93 | GNO | 6.11 | |
| III (7 sites) | XY(1.39), BD(1.16), ZX(1.44), YC(0.33), JZ(1.19), TM(0.57), JY(1.46) | 1.917 | 0.72 | −0.44 | −1.13 | −0.08 | PE3 | 5.92 | |
| HOM Region | F | RX1day | RX5day | RX7day | R95P | ||||||||||||
|---|---|---|---|---|---|---|---|---|---|---|---|---|---|---|---|---|---|
| q(F) | RMSE | Bounds0.05 | Bounds0.95 | q(F) | RMSE | Bounds0.05 | Bounds0.95 | q(F) | RMSE | Bounds0.05 | Bounds0.95 | q(F) | RMSE | Bounds0.05 | Bounds0.95 | ||
| Region I | 0.500 | 0.919 | 0.013 | 0.898 | 0.938 | 0.943 | 0.010 | 0.926 | 0.958 | 0.940 | 0.010 | 0.923 | 0.956 | 0.955 | 0.009 | 0.940 | 0.969 |
| 0.800 | 1.239 | 0.009 | 1.224 | 1.253 | 1.272 | 0.010 | 1.256 | 1.287 | 1.264 | 0.009 | 1.249 | 1.279 | 1.244 | 0.009 | 1.230 | 1.258 | |
| 0.900 | 1.467 | 0.022 | 1.435 | 1.507 | 1.479 | 0.021 | 1.446 | 1.515 | 1.470 | 0.021 | 1.439 | 1.507 | 1.422 | 0.019 | 1.393 | 1.457 | |
| 0.950 | 1.698 | 0.045 | 1.628 | 1.781 | 1.670 | 0.035 | 1.616 | 1.732 | 1.661 | 0.035 | 1.607 | 1.724 | 1.584 | 0.031 | 1.535 | 1.641 | |
| 0.980 | 2.012 | 0.084 | 1.885 | 2.165 | 1.905 | 0.056 | 1.824 | 2.005 | 1.899 | 0.056 | 1.815 | 1.997 | 1.783 | 0.049 | 1.708 | 1.871 | |
| 0.990 | 2.260 | 0.120 | 2.086 | 2.480 | 2.075 | 0.072 | 1.972 | 2.205 | 2.071 | 0.073 | 1.962 | 2.199 | 1.926 | 0.063 | 1.827 | 2.039 | |
| 0.999 | 3.165 | 0.283 | 2.756 | 3.711 | 2.607 | 0.129 | 2.426 | 2.850 | 2.613 | 0.131 | 2.417 | 2.848 | 2.369 | 0.112 | 2.200 | 2.573 | |
| Region II | 0.500 | 0.924 | 0.014 | 0.900 | 0.944 | 0.924 | 0.011 | 0.905 | 0.940 | 0.930 | 0.010 | 0.912 | 0.946 | 0.965 | 0.008 | 0.951 | 0.978 |
| 0.800 | 1.226 | 0.010 | 1.209 | 1.240 | 1.239 | 0.009 | 1.224 | 1.253 | 1.246 | 0.009 | 1.230 | 1.261 | 1.253 | 0.009 | 1.238 | 1.268 | |
| 0.900 | 1.454 | 0.022 | 1.419 | 1.492 | 1.464 | 0.018 | 1.439 | 1.498 | 1.466 | 0.018 | 1.437 | 1.497 | 1.427 | 0.017 | 1.400 | 1.455 | |
| 0.950 | 1.706 | 0.047 | 1.639 | 1.790 | 1.694 | 0.037 | 1.641 | 1.764 | 1.687 | 0.037 | 1.632 | 1.750 | 1.583 | 0.029 | 1.537 | 1.633 | |
| 0.980 | 2.096 | 0.097 | 1.960 | 2.276 | 2.013 | 0.077 | 1.904 | 2.158 | 1.985 | 0.073 | 1.875 | 2.114 | 1.775 | 0.047 | 1.696 | 1.857 | |
| 0.990 | 2.447 | 0.152 | 2.236 | 2.733 | 2.268 | 0.117 | 2.103 | 2.494 | 2.218 | 0.110 | 2.058 | 2.416 | 1.913 | 0.063 | 1.809 | 2.027 | |
| 0.999 | 4.110 | 0.492 | 3.440 | 5.113 | 3.226 | 0.329 | 2.771 | 3.882 | 3.056 | 0.295 | 2.630 | 3.594 | 2.347 | 0.123 | 2.151 | 2.567 | |
| Region III | 0.500 | 0.915 | 0.013 | 0.893 | 0.935 | 0.936 | 0.010 | 0.918 | 0.952 | 0.927 | 0.012 | 0.907 | 0.947 | 0.960 | 0.009 | 0.945 | 0.975 |
| 0.800 | 1.253 | 0.011 | 1.235 | 1.270 | 1.259 | 0.011 | 1.241 | 1.276 | 1.260 | 0.009 | 1.245 | 1.275 | 1.247 | 0.009 | 1.232 | 1.261 | |
| 0.900 | 1.499 | 0.021 | 1.466 | 1.535 | 1.476 | 0.019 | 1.445 | 1.510 | 1.486 | 0.022 | 1.453 | 1.525 | 1.420 | 0.018 | 1.392 | 1.451 | |
| 0.950 | 1.753 | 0.045 | 1.683 | 1.830 | 1.688 | 0.037 | 1.631 | 1.752 | 1.708 | 0.042 | 1.643 | 1.782 | 1.576 | 0.030 | 1.528 | 1.629 | |
| 0.980 | 2.112 | 0.093 | 1.969 | 2.276 | 1.966 | 0.070 | 1.860 | 2.095 | 2.002 | 0.075 | 1.887 | 2.138 | 1.767 | 0.047 | 1.690 | 1.848 | |
| 0.990 | 2.403 | 0.142 | 2.190 | 2.663 | 2.178 | 0.103 | 2.022 | 2.369 | 2.228 | 0.106 | 2.068 | 2.419 | 1.902 | 0.061 | 1.804 | 2.007 | |
| 0.999 | 3.526 | 0.410 | 2.939 | 4.322 | 2.897 | 0.263 | 2.523 | 3.387 | 3.021 | 0.239 | 2.655 | 3.458 | 2.319 | 0.110 | 2.148 | 2.515 | |
© 2019 by the authors. Licensee MDPI, Basel, Switzerland. This article is an open access article distributed under the terms and conditions of the Creative Commons Attribution (CC BY) license (http://creativecommons.org/licenses/by/4.0/).
Share and Cite
Hao, W.; Hao, Z.; Yuan, F.; Ju, Q.; Hao, J. Regional Frequency Analysis of Precipitation Extremes and Its Spatio-Temporal Patterns in the Hanjiang River Basin, China. Atmosphere 2019, 10, 130. https://doi.org/10.3390/atmos10030130
Hao W, Hao Z, Yuan F, Ju Q, Hao J. Regional Frequency Analysis of Precipitation Extremes and Its Spatio-Temporal Patterns in the Hanjiang River Basin, China. Atmosphere. 2019; 10(3):130. https://doi.org/10.3390/atmos10030130
Chicago/Turabian StyleHao, Wenlong, Zhenchun Hao, Feifei Yuan, Qin Ju, and Jie Hao. 2019. "Regional Frequency Analysis of Precipitation Extremes and Its Spatio-Temporal Patterns in the Hanjiang River Basin, China" Atmosphere 10, no. 3: 130. https://doi.org/10.3390/atmos10030130
APA StyleHao, W., Hao, Z., Yuan, F., Ju, Q., & Hao, J. (2019). Regional Frequency Analysis of Precipitation Extremes and Its Spatio-Temporal Patterns in the Hanjiang River Basin, China. Atmosphere, 10(3), 130. https://doi.org/10.3390/atmos10030130

