Influence of Individual Household Heating on PM2.5 Concentration in a Rural Settlement
Abstract
1. Introduction
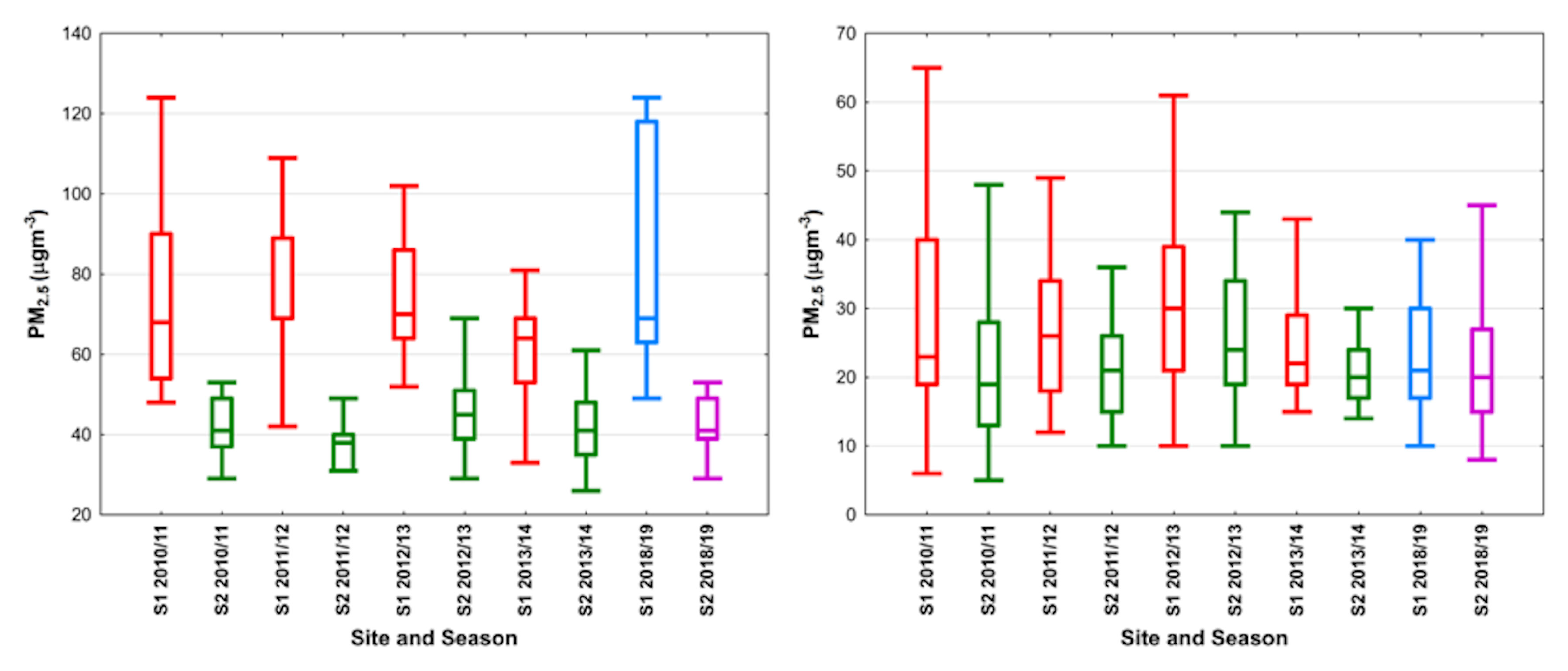
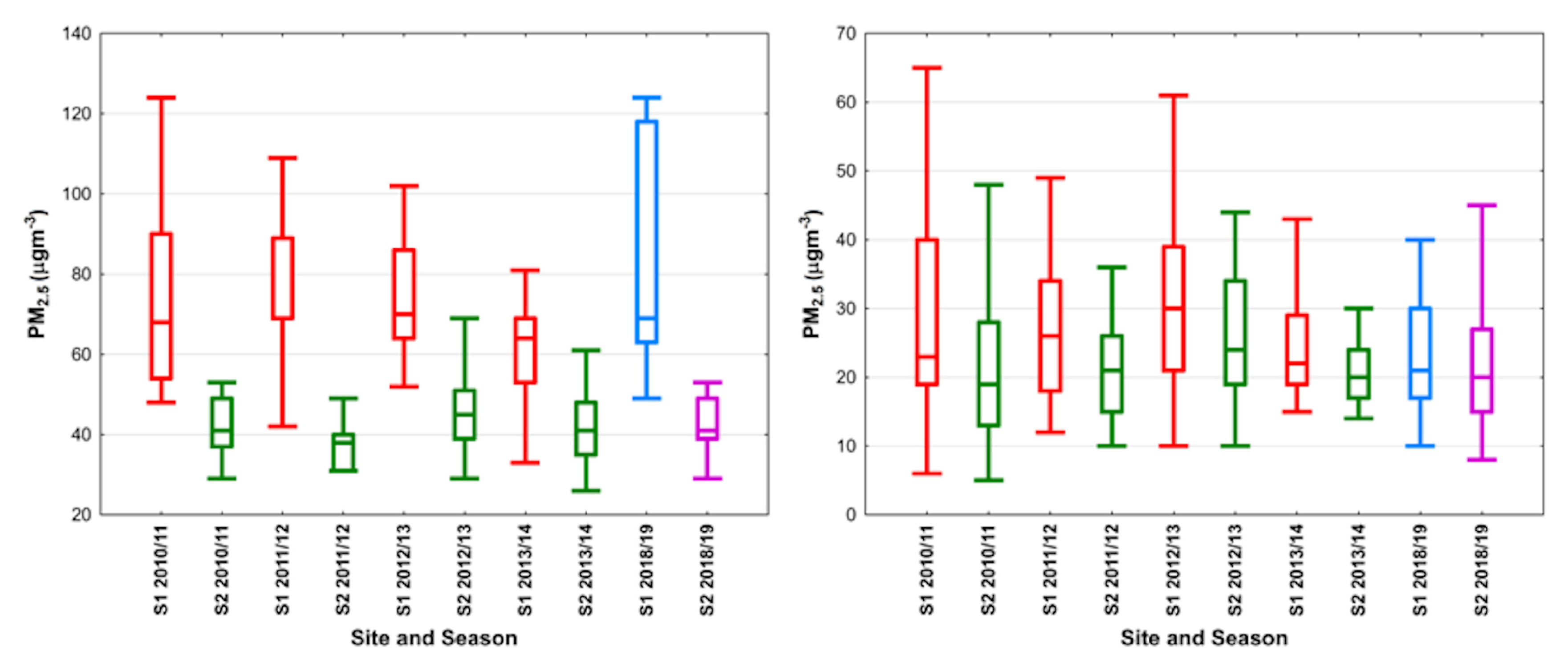
- during cold seasons, the average daily PM2.5 concentrations are similar on the borders of one village (I),
- during cold seasons and unstable atmosphere conditions, the average daily PM2.5 concentrations are similar on the borders of one village (II),
- during cold seasons and stable atmosphere conditions, the average daily PM2.5 concentrations are similar on the borders of one village (III),
- during stable atmosphere conditions, hourly PM2.5 concentrations are similar on the borders of one village and no differences exist at any point during the day (IV),
- after undertaken mitigation measures in the form of implementing the low-emission reduction program, average winter PM2.5 concentrations are similar for the base season (2010/11) and the last season campaign (2019) (V).
2. Materials and Methods
2.1. Measurement Area Description
2.2. PM2.5 Sampling Procedure and Meteorological Data
3. Results and Discussion
4. Conclusions
Funding
Acknowledgments
Conflicts of Interest
References
- Triantafyllou, A.G. PM10 pollution episodes as a function of synoptic climatology in a mountainous industrial area. Environ. Pollut. 2001, 112, 491–500. [Google Scholar] [CrossRef]
- Lonati, G.; Cernuschi, S.; Giugliano, M. The duration of PM10 concentration in a large metropolitan area. Atmos. Environ. 2011, 45, 137–146. [Google Scholar] [CrossRef]
- Unal, Y.S.; Toros, H.; Deniz, A.; Incecik, S. Influence of meteorological factors and emission sources on spatial and temporal variations of PM10 concentrations in Istanbul metropolitan area. Atmos. Environ. 2011, 45, 5504–5513. [Google Scholar] [CrossRef]
- Samek, L.; Furman, L.; Mikrut, M.; Regiel-Futyra, A.; van Eldik, R. Chemical composition of submicron and fine particulate matter collected in Krakow, Poland. Consequences for the APARIC project. Chemosphere 2017, 187, 430–439. [Google Scholar] [CrossRef]
- Dzikuć, M. Problems associated with the low emission limitation in Zielona Góra (Poland): Prospects and challenges. J. Clean. Prod. 2017, 166, 81–87. [Google Scholar] [CrossRef]
- Samek, L.; Stegowski, Z.; Styszko, K.; Furman, L.; Fiedor, J. Seasonal contribution of assessed sources to submicron and fine particulate matter in a Central European urban area. Environ. Pollut. 2018, 241, 406–411. [Google Scholar] [CrossRef]
- Chambers, S.D.; Podstawczyńska, A. Improved method for characterising temporal variability in urban air quality part II: Particulate matter and precursors in central Poland. Atmos. Environ. 2019, 219, 117040. [Google Scholar] [CrossRef]
- Ozan, C.; Haldenbilen, S.; Ceylan, H. Estimating emissions on vehicular traffic based on projected energy and transport demand on rural roads: Policies for reducing air pollutant emissions and energy consumption. Energy Policy 2011, 39, 2542–2549. [Google Scholar] [CrossRef]
- Gomiscek, B.; Frank, A.; Puxbaum, H.; Stopper, S.; Preining, O.; Hauck, H. Case study analysis of PM burden at an urban and a rural site during the AUPHEP project. Atmos. Environ. 2004, 38, 3935–3948. [Google Scholar] [CrossRef]
- Gaudry, A.; Moskura, M.; Mariet, C.; Ayrault, S.; Denayer, F.; Bernard, N. Inorganic Pollution in PM10 Particles Collected Over Three French Sites Under Various Influences: Rural Conditions, Traffic and Industry. Water Air Soil Pollut. 2008, 193, 91–106. [Google Scholar] [CrossRef]
- Nam, K.M.; Selin, N.E.; Reilly, J.M.; Paltsev, S. Measuring welfare loss caused by air pollution in Europe: ACGE analysis. Energy Policy 2010, 38, 5059–5071. [Google Scholar] [CrossRef]
- Karagulian, F.; Belisd, C.A.; Dorab, C.F.C.; Prüss-Ustünb, A.M.; Bonjourb, S.; Adair-Rohanib, H.; Amann, M. Contributions to cities’ ambient particulate matter (PM): A systematic review of local source contributions at global level. Atmos. Environ. 2015, 120, 475–483. [Google Scholar] [CrossRef]
- Querol, X.; Alastuey, A.; Rodrıguez, S.; Viana, M.M.; Artınano, B.; Salvador, P.; Mantilla, E.; Garcıa do Santos, S.; Fernandez Patier, R.; de La Rosa, J.; et al. Levels of particulate matter in rural, urban and industrial sites in Spain. Sci. Total Environ. 2004, 334, 359–376. [Google Scholar] [CrossRef] [PubMed]
- Glavas, S.D.; Nikolakis, P.; Ambatzoglou, D.; Mihalopoulos, N. Factors affecting the seasonal variation of mass and ionic composition of PM2.5 at a central Mediterranean coastal site. Atmos. Environ. 2008, 42, 5365–5373. [Google Scholar] [CrossRef]
- Pérez, N.; Pey, J.; Castillo, S.; Viana, M.; Alastuey, A.; Querol, X. Interpretation of the variability of levels of regional background aerosols in the Western Mediterranean. Sci. Total Environ. 2008, 40, 527–540. [Google Scholar] [CrossRef]
- Caseiro, A.; Bauer, H.; Schmidl, C.; Puxbaum, H. Wood burning impact on PM10 in three Austrian regions. Atmos. Environ. 2009, 43, 2186–2195. [Google Scholar] [CrossRef]
- Maenhaut, W.; Vermeylen, R.; Claeys, M.; Vercauteren, J.; Matheeussen, C.; Roekens, E. Assessment of the contribution from wood burning to the PM10 aerosol in Flanders, Belgium. Sci. Total Environ. 2012, 437, 226–236. [Google Scholar] [CrossRef]
- Grange, S.K.; Salmond, J.A.; Trompetter, W.J.; Davy, P.K.; Ancelet, T. Effect of atmospheric stability on the impact of domestic wood combustion to air quality of a small urban township in Winter. Atmos. Environ. 2013, 70, 28–38. [Google Scholar] [CrossRef]
- Massey, D.D.; Kulshrestha, A.; Taneja, A. Particulate matter concentrations and their related metal toxicity in rural residential environment of semi-arid region of India. Atmos. Environ. 2013, 67, 278–286. [Google Scholar] [CrossRef]
- Khoshsima, M.; Ahmadi-Givi, F.; Bidokhti, A.A.; Sabetghadam, S. Impact of meteorological parameters on relation between aerosol optical indices and air pollution in a sub-urban area. J. Aerosol Sci. 2014, 68, 46–57. [Google Scholar] [CrossRef]
- Błaszczyk, B.; Rogula-Kozłowska, W.; Klejnowski, K.; Kubiesa, P.; Fulara, F. Indoor air quality in urban and rural kindergartens: Short-term studies in Silesia, Poland. Air Qual. Atmos. Health 2017, 10, 1207–1220. [Google Scholar] [CrossRef] [PubMed]
- Branis, M.; Domasova, M. PM10 and black smoke in a small settlement: Case study from the Czech Republic. Atmos. Environ. 2003, 37, 83–92. [Google Scholar] [CrossRef]
- Branis, M.; Domasova, M.; Rezacova, P. Particulate air pollution in a small settlement: The effect of local heating. J. Apgeochem. 2007, 22, 1255–1264. [Google Scholar] [CrossRef]
- Olszowski, T.; Tomaszewska, B.; Góralna-Włodarczyk, K. Air quality in non-industrialised area in the typical Polish countryside based on measurements of selected pollutants in immission and deposition phase. Atmos. Environ. 2012, 50, 139–147. [Google Scholar] [CrossRef]
- Stala-Szlugaj, K. Analysis of the municipal and housing hard coal consumers sector. Energy Policy J. 2017, 20, 117–134. (In Polish) [Google Scholar]
- KOBIZE. The National Centre For Emissions Management. Poland’s Informative Inventory Report. 2019. Available online: https://www.kobize.pl/uploads/materialy/materialy_do_pobrania/krajowa_inwentaryzacja_emisji/IIR_2019_Poland.pdf (accessed on 22 November 2019).
- Khedairia, S.; Khadir, M.T. Impact of clustered meteorological parameters on air pollutants concentrations in the region of Annaba, Algeria. Atmos. Res. 2012, 113, 89–101. [Google Scholar] [CrossRef]
- Robinson, D.L.; Monro, J.M.; Campbell, E.A. Spatial variability and population exposure to PM2.5 pollution from woodsmoke in a New South Wales country town. Atmos. Environ. 2007, 41, 5464–5478. [Google Scholar] [CrossRef]
- Sałach, K.; Lewandowski, P. Measurement of Energy Poverty Based on BBGD data—Methodology and Application. IBS Research Report 2018. Available online: http://ibs.org.pl//app/uploads/2018/02/IBS_Research_Report_pl_01_2018.pdf (accessed on 21 November 2019). (In Polish).
- Pyta, H.; Rogula-Kozłowska, W.; Mathews, B. Co-occurrence of PM2.5-bound mercury and carbon in rural areas affected by coal combustion. Atmos. Pollut. Res. 2017, 8, 127–135. [Google Scholar] [CrossRef]
- Connan, O.; Maro, D.; Hébert, D.; Roupsard, P.; Goujon, R.; Letellie, B. Wet and dry deposition of particles associated metals (Cd, Pb, Zn, Ni, Hg) in a rural wetland site, Marais Vernier, France. Atmos. Environ. 2013, 67, 394–403. [Google Scholar] [CrossRef]
- Castro, A.; Alonso-Blanco, E.; González-Colino, M.; Calvo, A.; Fernández-Raga, M.; Fraile, R. Aerosol size distribution in precipitation events in León, Spain. Atmos. Res. 2010, 96, 421–435. [Google Scholar] [CrossRef]
- Hazenkamp-von Arx, M.E.; Fellmann, T.G.; Oglesby, L.; Ackermann Liebrich, U.; Poli, A.; Ponzio, M.; Soon, A.; Vermeire, P.; Künzli, N. PM2.5 Assessment in 21 European Study Centers of ECRHS II: Method and First Winter Results. J. Air Waste Manag. 2003, 53, 617–628. [Google Scholar] [CrossRef][Green Version]
- Rogula-Kozłowska, W.; Klejnowski, K.; Rogula-Kopiec, P.; Mathews, B.; Szopa, S. A Study on the Seasonal Mass Closure of Ambient Fine and Coarse Dusts in Zabrze, Poland. Bull. Environ. Contam. Toxicol. 2012, 88, 722–729. [Google Scholar] [CrossRef]
- Sillanpää, M.; Hillamo, R.; Saarikoski, S.; Frey, A.; Pennanen, A.; Makkonen, U.; Spolnik, Z.; Van Grieken, R.; Braniš, M.; Brunekreef, B.; et al. Chemical composition and mass closure of particulate matter at six urban sites in Europe. Atmos. Environ. 2006, 40, 212–223. [Google Scholar] [CrossRef]
- Mirante, F.; Salvador, P.; Pio, C.; Alves, C.; Artiñano, B.; Caseiro, A.; Revuelta, M.A. Size fractionated aerosol composition at roadside and background environments in the Madrid urban atmosphere. Atmos. Res. 2014, 138, 278–292. [Google Scholar] [CrossRef]
- Polish Chief Inspectorate of Environmental Protection Database. Available online: http://powietrze.gios.gov.pl/pjp/current/station_details/archive/10414 (accessed on 21 November 2019).
- Polish Chief Inspectorate of Environmental Protection Database. Available online: http://powietrze.gios.gov.pl/pjp/current/station_details/chart/11279 (accessed on 21 November 2019).
- Polish Chief Inspectorate of Environmental Protection Database. Available online: http://powietrze.gios.gov.pl/pjp/current/station_details/chart/853 (accessed on 21 November 2019).
- Schwarz, J.; Cusack, M.; Karban, J.; Chalupníčková, E.; Havránek, V.; Smolík, J.; Ždímal, V. PM2.5 chemical composition at a rural background site in Central Europe, including correlation and air mass back trajectory analysis. Atmos. Res. 2016, 176, 108–120. [Google Scholar] [CrossRef]
- Ferenczi, Z.; Bozo, L. Effect of the long-range transport on the air quality of greater Budapest area. Int. J. Environ. Pollut. 2017, 62, 407–416. [Google Scholar] [CrossRef]
- Olszowski, T.; Bożym, M. Pilot study on using an alternative method of estimating emission of heavy metals from wood combustion. Atmos. Environ. 2014, 94, 22–27. [Google Scholar] [CrossRef]
- Rogula-Kozłowska, W.; Klejnowski, K.; Rogula-Kopiec, P.; Ośródka, L.; Krajny, E.; Błaszczyk, B.; Mathews, B. Spatial and seasonal variability of the mass concentration and chemical composition of PM2.5 in Poland. Air Qual. Atmos. Health 2014, 7, 41–58. [Google Scholar] [CrossRef]
- Pokorna, P.; Schwarz, J.; Krejci, R.; Swietlicki, E.; Havranek, V.; Zdímal, V. Comparison of PM2.5 chemical composition and sources at a rural background site in Central Europe between 1993/1994/1995 and 2009/2010: Effect of legislative regulations and economic transformation on the air quality. Environ. Pollut. 2018, 241, 841–851. [Google Scholar] [CrossRef]
- Voivodeship Fund for Environmental Protection and Water Management in Opole Database. Available online: https://www.wfosigw.opole.pl/aktualnosci/realizacja-programu-ograniczenia-niskiej-emisji (accessed on 22 November 2019).
- Trivedi, D.K.; Ali, K.; Beig, G. Impact of meteorological parameters on the development of fine and coarse particles over Delhi. Sci. Total Environ. 2014, 478, 175–183. [Google Scholar] [CrossRef]
- Sfetsos, A.; Vlachogiannis, D. A new approach to discovering the causal relationship between meteorological patterns and PM10 exceedances. Atmos. Res. 2010, 98, 500–511. [Google Scholar] [CrossRef]
- Jones, A.M.; Harrison, R.M.; Baker, J. The wind speed dependence of the concentrations of airborne particulate matter and NOx. Atmos. Environ. 2010, 44, 1682–1690. [Google Scholar] [CrossRef]
- Łowicki, D. Landscape pattern as an indicator of urban air pollution of particulate matter in Poland. Ecol. Indic. 2019, 97, 17–24. [Google Scholar] [CrossRef]
- Mues, A.; Manders, A.; Schaap, M.; Kerschbaumer, A.; Stern, R.; Builtjes, P. Impact of the extreme meteorological conditions during the summer 2003 in Europe on particulate matter concentrations. Atmos. Environ. 2012, 55, 377–391. [Google Scholar] [CrossRef]





| Season | Hard Coal | Eco-Coal | Wood | Pellets | Gas |
|---|---|---|---|---|---|
| 2010/11 | 7.2/7.1 | 3.4/3.5 | 3.1/3.8 | 1.79/1.72 | 442/449 |
| 2011/12 | 6.9/7.0 | 3.3/3.5 | 2.9/3.2 | 1.75/1.83 | 440/446 |
| 2012/13 | no data | no data | no data | no data | no data |
| 2013/14 | 6.6/6.5 | 3.1/3.1 | 2.9/3.0 | 1.52/1.64 | 436/432 |
| 2018/19 | 6.4/6.5 | 3.0/3.2 | 2.8/2.9 | 1.35/1.42 | 419/426 |
| Meteorological Records | Periods of Cold Season | ||||
|---|---|---|---|---|---|
| 12.10–02.11 | 12.11–02.12 | 12.12–02.13 | 12.13–02.14 | 12.18–01.19 | |
| Air temperature T (°C) | |||||
| avg | −1.6 | −1.6 | −0.7 | −0.5 | 0.8 |
| med | −1.5 | −1.0 | 0.0 | 0.0 | 0.2 |
| max | 12.0 | 8.0 | 8.0 | 8.0 | 12.0 |
| min | −21.0 | −23.0 | −20.0 | −19.0 | −11.0 |
| Wind speed: (m s−1) | |||||
| avg | 1.2 | 1.9 | 1.1 | 2.1 | 2.3 |
| med | 0.3 | 1.9 | 0.5 | 1.9 | 2.0 |
| max | 5.1 | 4.9 | 5.0 | 5.3 | 6.4 |
| min | 0.0 | 0.0 | 0.0 | 0.0 | 0.0 |
| Atmospheric pressure (h Pa) | |||||
| avg | 1004.8 | 1003.9 | 1003.1 | 1001.0 | 1003.0 |
| med | 1003.5 | 1004.0 | 1003.0 | 1001.0 | 1002.0 |
| max | 1029.0 | 1032.0 | 1030.0 | 1026.0 | 1043.0 |
| min | 976.0 | 974.0 | 973.0 | 972.0 | 982.0 |
| City/Town/Village (Country), Site Type, Averaging Period. | PM2.5 (μg·m−3) | References |
|---|---|---|
| Turin (IT), urban, winter 2003 * | 69.2 | [33] |
| Pavia (IT), urban, winter 2003 * | 52.6 | [33] |
| Antwerp City (BE), urban, winter 2003 * | 28.3 | [33] |
| Barcelona (ES), urban, winter 2003 * | 31.9 | [33] |
| Paris (FR), urban, winter 2003 * | 21.0 | [33] |
| Grenoble (FR), urban, winter 2003 * | 28.0 | [33] |
| Basel (CH), urban, winter 2003 * | 19.1 | [33] |
| Zabrze (PL), urban, winter 2009 | 66.8 | [34] |
| Prague (CZ), urban, winter 2002–2003 * | 29.6 | [35] |
| Madrid (ES), urban, winter 2011 | 13.8 | [36] |
| Horyniec-Park (PL), suburban background, winter 2019 | 30.3 | [37] |
| Rymanów Zdrój (PL), suburban background, winter 2019 | 23.2 | [38] |
| Złoty Potok (PL), rural background, winter 2019 | 24.3 | [39] |
| Košetice (CZ), regional background, winter 2009; 2010 | 22.5 | [40] |
| Zloukovice (CR), rural—inside settlement, heating season 2003 * | 26.0 | [23] |
| Kotórz Mały (PL), rural—inside settlement, winter, 2010–14, 2019 | 36.9 | this MS |
| Variables/Periods | 12.10−02.11 | 12.11–02.12 | 12.12–02.13 | 12.13–02.14 | 12.18–01.19 | |
|---|---|---|---|---|---|---|
| PM2.5 | T (°C) | −0.25 * | −0.24 * | −0.42 * | −0.35 * | −0.29 ** |
| PM2.5 | V (m s−1) | −0.41 * | −0.43 * | −0.34 * | −0.52 * | −0.34 * |
| PM2.5 | P (h Pa) | 0.40 * | 0.32 * | 0.28 * * | 0.33 * | 0.31 * |
| C. c. R –only when PM2.5 concentration was > 40 g m−3 and temp. inversion occurring | ||||||
| PM2.5 | T (°C) | −0.36 * | −0.39 * | −0.49 * | −0.46 * | −0.39 ** |
| PM2.5 | V (m s−1) | −0.42 * | −0.45 * | −0.35 * | −0.49 * | −0.37 * |
| PM2.5 | P (h Pa) | 0.48 * | 0.35 * | 0.32 * | 0.36 * | 0.40 * |
© 2019 by the author. Licensee MDPI, Basel, Switzerland. This article is an open access article distributed under the terms and conditions of the Creative Commons Attribution (CC BY) license (http://creativecommons.org/licenses/by/4.0/).
Share and Cite
Olszowski, T. Influence of Individual Household Heating on PM2.5 Concentration in a Rural Settlement. Atmosphere 2019, 10, 782. https://doi.org/10.3390/atmos10120782
Olszowski T. Influence of Individual Household Heating on PM2.5 Concentration in a Rural Settlement. Atmosphere. 2019; 10(12):782. https://doi.org/10.3390/atmos10120782
Chicago/Turabian StyleOlszowski, Tomasz. 2019. "Influence of Individual Household Heating on PM2.5 Concentration in a Rural Settlement" Atmosphere 10, no. 12: 782. https://doi.org/10.3390/atmos10120782
APA StyleOlszowski, T. (2019). Influence of Individual Household Heating on PM2.5 Concentration in a Rural Settlement. Atmosphere, 10(12), 782. https://doi.org/10.3390/atmos10120782

