Effects of Aerosols as Ice Nuclei on the Dynamics, Microphysics and Precipitation of Severe Storm Clouds
Abstract
1. Introduction
2. Model Setup and Experiment Design
3. Results Analysis
3.1. Effects on the Temporal and Spatial Distribution of Hydrometeor Particles
3.2. Effects of IN on Thehail Particle Characteristics and Microphysical Formation Processes of Hail, Rain and Pristine Ice
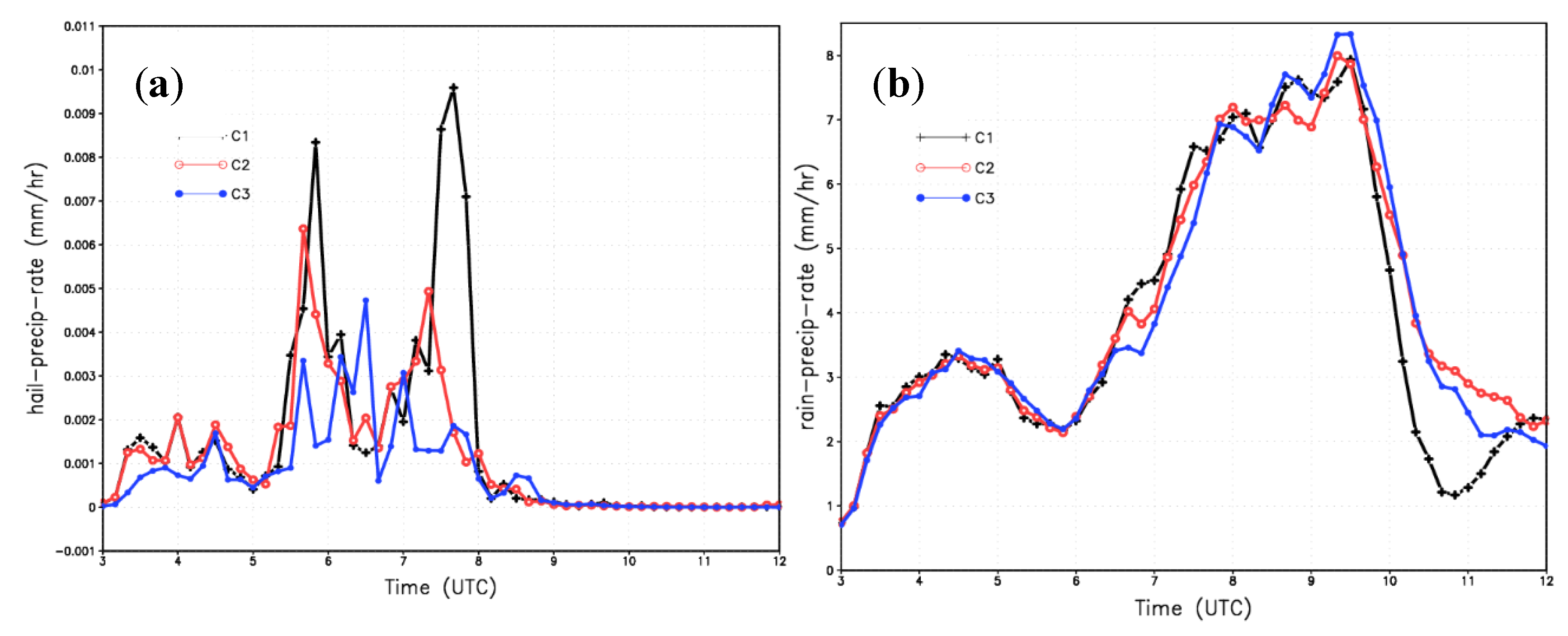
3.3. Effects of IN on the Temporal and Spatial Distribution of Precipitation
3.4. Effects of IN on Latent Heat and Updrafts
4. Discussion
5. Conclusions
- (1)
- A change in the IN concentrations can affect the spatial distribution of vertically integrated liquid water mass and the ice condensate mixing ratio in the cloud. Liquid water covers a smaller area and has a lower maximum amount of vertically integrated liquid water, the ice mass covers a larger area and is better organized, and the cloud is more robust and has a higher maximum vertically integrated ice condensate mixing ratio in the cases with greater IN concentrations.
- (2)
- Most of the ice phase particles in the cloud (including pristine ice, snow, graupel and hail) increase with an increase in the IN concentration, while supercooled cloud water and rain water significantly decrease. The total amount of cloud and rain within the cloud decreases during the developing and mature stage, but increases in the dissipation stage. The hail concentration increases, the hail diameter clearly decreases, the amount of melting increases during hail particle fall, and the amount of hail reaching the ground decreases. Thus, increasing the IN concentration could reduce hailfall in this storm cloud.
- (3)
- The number of heavy precipitation centers increases and the coverage of heavy precipitation enhances with higher IN concentrations. Rainfall decreases in the early developing stage while rainfall increases during the mature and dissipation stages, indicating that the increase in IN has the effect of delaying precipitation. On the other hand, the hailfall decreases during all stages of the storm development, indicating that the increase of the IN can play the role of hail reduction.
- (4)
- Increasing IN leads to an increasing contribution rate of liquid water to hail formation but a decreasing contribution rate of ice particles to hail generation. The contribution of cloud droplets to pristine ice formation increases, while the contribution of snow to the formation of pristine ice decreases. The contribution of small cloud droplets to the formation of rain droplets decreases, while the contribution of hail melting to the formation of rain increases.
- (5)
- Both latent heat release and absorption significantly increase in all stages of storm development with increasing IN concentrations. In the developing stage, cloud droplets evaporation plays a major role in latent heat absorption, while latent heat release mainly comes from cloud droplet condensation. During the mature and dissipation stages, hail melting is the major sources of latent heat absorption, while the latent heat release mainly comes from the collection of supercooled water by hail.
- (6)
- An appropriate increase in IN is beneficial to the enhancement of the storm updraft, and excessive IN will inhibit an increase in the updraft. Therefore, an appropriate increase in IN is beneficial for the enhancement and maintenance of the storm, and excessive IN will inhibit the development of the storm.
Author Contributions
Funding
Conflicts of Interest
References
- Tao, W.; Chen, J.; Li, Z.; Wang, C.; Zhang, C. Impact of aerosols on convective clouds and precipitation. Rev. Geophys. 2012, 50. [Google Scholar] [CrossRef]
- Liu, X.; Fu, Y.; Cao, Z.; Jin, S. Influence of Ice Nuclei Parameterization Schemes on the Hail Process. Adv. Meterol. 2018, 2018, 4204137. [Google Scholar] [CrossRef]
- Ramaswamy, V.; Boucher, O.; Haigh, J.; Hauglustaine, D.; Haywood, J.; Myhre, G.; Nakajima, T.; Shi, G.Y.; Solomon, S. Radiative Forcing of Climate Change. Climate Change 2001: The Scientific Basis; Cambridge University Press: Cambridge, UK, 2001; pp. 349–416. [Google Scholar]
- Li, R.; Dong, X.; Guo, J.; Fu, Y.; Zhao, C.; Wang, Y.; Min, Q. The implications of dust ice nuclei effect on cloud top temperature in a complex mesoscale convective system. Sci. Rep. 2017, 7, 13826. [Google Scholar] [CrossRef]
- Lau, K.; Wu, H. Warm rain processes over tropical oceans and climate implications. Geophys. Res. Lett. 2003, 30, 2290. [Google Scholar] [CrossRef]
- Tao, W.; Li, X.; Khain, A.; Matsui, T.; Lang, S.; Simpson, J. Role of atmospheric aerosol concentration on deep convective precipitation: Cloud-resolving model simulations. J. Geophys. Res. 2007, 112. [Google Scholar] [CrossRef]
- Levin, Z.; Cotton, W. Aerosol Pollution Impact on Precipitation: A Scientific Review; Springer: Berlin/Heidelberg, Germany, 2009. [Google Scholar]
- Guo, X.; Fu, D.; Guo, X.; Zhang, C. A case study of aerosol impacts on summer convective clouds and precipitation over northern China. Atmos. Res. 2014, 142, 142–157. [Google Scholar] [CrossRef]
- Guo, C.; Xiao, H.; Yang, H.; Wen, W. Effects of anthropogenic aerosols on a heavy rainstorm in Beijing. Atmosphere 2018, 10, 162. [Google Scholar] [CrossRef]
- Pitter, R.; Pruppacher, H. A wind tunnel investigation of freezing of small water drops falling at terminal velocity in air. Q. J. Roy. Meteorol. Soc. 1973, 99, 540–550. [Google Scholar] [CrossRef]
- Levin, Z.; Yankofsky, S. Contact Versus Immersion Freezing of Freely Suspended Droplets by Bacterial Ice Nuclei. J. Appl. Meteorol. 1983, 22, 1964–1966. [Google Scholar] [CrossRef]
- Diehl, K.; Quick, C.; Matthiasmaser, S.; Mitra, S.; Jaenicke, R. The ice nucleating ability of pollen: Part I: Laboratory studies in deposition and condensation freezing modes. Atmos. Res. 2001, 58, 75–87. [Google Scholar] [CrossRef]
- Gorbunov, B.; Baklanov, A.; Kakutkina, N.; Windsor, H.; Toumi, R. Ice nucleation on soot particles. J. Aerosol Sci. 1998, 32, 199–215. [Google Scholar] [CrossRef]
- Rosenfeld, D.; Yu, X.; Liu, G.; Xu, X.; Zhu, Y.; Yue, Z.; Dai, J.; Dong, Z.; Dong, Y.; Peng, Y. Glaciation temperatures of convective clouds ingesting desert dust, air pollution and smoke from forest fires. Geophys. Res. Lett. 2011, 38, L21804. [Google Scholar] [CrossRef]
- Morris, C.; Georgakopoulos, D.; Sands, D. Ice nucleation active bacteria and their potential role in precipitation. J. Phys. IV 2004, 121, 87–103. [Google Scholar] [CrossRef]
- Wiacek, A.; Peter, T.; Lohmann, U. The potential influence of Asian and African mineral dust on ice, mixed-phase and liquid water clouds. Atmos. Chem. Phys. 2010, 10, 8649–8667. [Google Scholar] [CrossRef]
- Demott, P.; Sassen, K.; Poellot, M.; Baumgardner, D.; Rogers, D.; Brooks, S.; Prenni, A.; Kreidenweis, S. African dust aerosols as atmospheric ice nuclei. Geophys. Res. Lett. 2003, 30, 1732. [Google Scholar] [CrossRef]
- Andreae, M.; Rosenfeld, D. Aerosol-cloud-precipitation interactions. Part 1. The nature and sources of cloud-active aerosols. Earth Sci. Rev. 2008, 89, 13–41. [Google Scholar] [CrossRef]
- Khain, A.; Rosenfeld, D.; Pokrovsky, A. Aerosol impact on the dynamics and microphysics of deep convective clouds. Q. J. Roy. Meteorol. Soc. 2005, 131, 2639–2663. [Google Scholar] [CrossRef]
- Hoose, C.; Kristjansson, J.; Burrows, S. How important is biological ice nucleation in clouds on a global scale. Environ. Res. Lett. 2010, 5, 024009. [Google Scholar] [CrossRef]
- Changnon, S. More on the La Porte Anomaly: A Review. Bull. Am. Meteorol. Soc. 1980, 61, 702–711. [Google Scholar] [CrossRef]
- Rosenfeld, D.; Chemke, R.; Demott, P.; Sullivan, R.; Rasmussen, R.; Mcdonough, F.; Comstock, J.; Schmid, B.; Tomlinson, J.; Jonsson, H.; et al. The Common Occurrence of Highly Supercooled Drizzle and Rain near the Coastal Regions of the Western United States. J. Geophys. Res. Atmos. 2013, 118, 9819–9833. [Google Scholar] [CrossRef]
- Ault, A.; Williams, C.; White, A.; Neiman, P.; Creamean, J.; Gaston, C.; Ralph, F.; Prather, K. Detection of Asian dust in California orographic precipitation. J. Geophys. Res. 2011, 116. [Google Scholar] [CrossRef]
- Creamean, J.; Suski, K.; Rosenfeld, D.; Cazorla, A.; Demott, P.; Sullivan, R.; White, A.; Ralph, F.; Minnis, P.; Comstock, J.; et al. Dust and Biological Aerosols from the Sahara and Asia Influence Precipitation in the Western U.S. Science 2013, 339, 1572–1578. [Google Scholar] [CrossRef] [PubMed]
- Creamean, J.; Spackman, J.; Davis, S.; White, A. Climatology of long-range transported Asian dust along the West Coast of the United States. J. Geophys. Res. 2014, 119, 12171–12185. [Google Scholar] [CrossRef]
- Zipori, A.; Rosenfeld, D.; Tirosh, O.; Teutsch, N.; Erel, Y. Effects of aerosol sources and chemical compositions on cloud drop sizes and glaciation temperatures. J. Geophys. Res. 2015, 120, 9653–9669. [Google Scholar] [CrossRef]
- Fan, J.; Leung, L.; Demott, P.; Comstock, J.; Singh, B.; Rosenfeld, D.; Tomlinson, J.; White, A.; Prather, K.; Minnis, P.; et al. Aerosol impacts on California winter clouds and precipitation during CalWater 2011: Local pollution versus long-range transported dust. Atmos. Chem. Phys. 2013, 14, 81–101. [Google Scholar] [CrossRef]
- Bergeron, T. On the physics of cloud and precipitation. In Proceedings of the 5th Assembly of the U.G.G.I.; Paul Dupont: Paris, France, 1935. [Google Scholar]
- Hosler, C.; Jensen, D.; Goldshlak, L. On the Aggregation of Ice Crystals to form Snow. J. Meteorol. 1957, 14, 415–420. [Google Scholar] [CrossRef]
- Tobo, Y.; Prenni, A.; Demott, P.; Huffman, J.; Mccluskey, C.; Tian, G.; Pohlker, C.; Poschl, U.; Kreidenweis, S. Biological aerosol particles as a key determinant of ice nuclei populations in a forest ecosystem. J. Geophys. Res. Atmos. 2013, 118, 10100–10110. [Google Scholar] [CrossRef]
- Yuter, S.; Houze, R. Microphysical modes of precipitation growth determined by S-band vertically pointing radar in orographic precipitation during MAP. Q. J. Roy. Meteorol. Soc. 2003, 129, 455–476. [Google Scholar] [CrossRef]
- Pinsky, M.; Khain, A.; Rosenfeld, D.; Pokrovsky, A. Comparison of collision velocity differences of drops and graupel particles in a very turbulent cloud. Atmos. Res. 1998, 49, 99–113. [Google Scholar] [CrossRef]
- Khain, A.; Leung, L.; Lynn, B.; Ghan, S. Effects of aerosols on the dynamics and microphysics of squall lines simulated by spectral bin and bulk parameterization schemes. J. Geophys. Res. 2009, 114, D22203. [Google Scholar] [CrossRef]
- Fan, J.; Leung, L.; Rosenfeld, D.; Demott, P. Effects of cloud condensation nuclei and ice nucleating particles on precipitation processes and supercooled liquid in mixed-phase orographic clouds. Atmos. Chem. Phys. 2017, 17, 1017–1035. [Google Scholar] [CrossRef]
- van den Heever, S.; Carrió, G.; Cotton, W.; DeMott, P.; Prenni, A. Impacts of nucleating aerosol on Florida storms. Part I: Mesoscale simulations. J. Atmos. Sci. 2006, 63, 1752–1775. [Google Scholar] [CrossRef]
- Carrió, G.; van den Heever, S.; Cotton, W. Impacts of nucleating aerosol on anvil-cirrus clouds: A modeling study. Atmos. Res. 2007, 84, 111–131. [Google Scholar] [CrossRef]
- Colle, B.; Zeng, Y. Bulk Microphysical Sensitivities within the MM5 for Orographic Precipitation. Part I: The Sierra 1986 Event. Mon. Weather Rev. 2004, 132, 2780–2801. [Google Scholar] [CrossRef]
- Givati, A.; Rosenfeld, D. Quantifying Precipitation Suppression Due to Air Pollution. J. Appl. Meteorol. 2004, 43, 1038–1056. [Google Scholar] [CrossRef]
- Rosenfeld, D.; Givati, A. Evidence of Orographic Precipitation Suppression by Air Pollution–Induced Aerosols in the Western United States. J. Appl. Meteorol. Clim. 2006, 45, 893–911. [Google Scholar] [CrossRef]
- Muhlbauer, A.; Hashino, T.; Xue, L.; Teller, A.; Lohmann, U.; Rasmussen, R.; Geresdi, I.; Pan, Z. Intercomparison of aerosol-cloud-precipitation interactions in stratiform orographic mixed-phase clouds. Atmos. Chem. Phys. 2010, 10, 8173–8196. [Google Scholar] [CrossRef]
- Sanchez, J.; Merino, A.; Melcon, P.; Garciaorteqa, E.; Fernandezgonzalez, S.; Berthet, C.; Dessens, J. Are meteorological conditions favoring hail precipitation change in Southern Europe? Analysis of the period 1948–2015. Atmos. Res. 2017, 198, 1–10. [Google Scholar] [CrossRef]
- Danielsen, E. Inherent Difficulties in Hail Probability Prediction. In Hail: A Review of Hail Science and Hail Suppression; American Meteorological Society: Boston, MA, USA, 1977. [Google Scholar]
- You, L.; Yang, S.; Wang, X.; Pi, J. Study of ice nuclei concentration at Beijing in spring of 1995 and 1996, Acta. Meteorol. Sic. 2002, 60, 101–109. (In Chinese) [Google Scholar]
- Yang, H.; Xiao, H.; Guo, C. Structure and evolution of a squall line in northern China: A case study. Atmos. Res. 2015, 158–159, 139–157. [Google Scholar] [CrossRef]
- Walko, R.; Cotton, W.; Meyers, M.; Harrington, J. New RAMS cloud microphysics parameterization part I: The single-moment scheme. Atmos. Res. 1995, 38, 29–62. [Google Scholar] [CrossRef]
- Meyers, M.; Walko, R.; Harrington, J.; Cotton, W. New RAMS cloud microphysics parameterization. Part II. The two-moment scheme. Atmos. Res. 1997, 45, 3–39. [Google Scholar] [CrossRef]
- Saleeby, S.; Cotton, W. A large droplet mode and prognostic number concentration of cloud droplets in the Colorado State University Regional Atmospheric Modeling System (RAMS). Part I: Module descriptions and supercell test simulations. J. Appl. Meteorol. 2004, 43, 182–195. [Google Scholar] [CrossRef]
- Saleeby, S.; Van den Heever, S. Developments in the CSU-RAMS Aerosol Model: Emissions, Nucleation, Regeneration, Deposition, and Radiation. J. Appl. Meteor. Clim. 2013, 52, 2601–2622. [Google Scholar] [CrossRef]
- Yang, H.; Xiao, H.; Hong, Y. A numerical study of aerosol effects on cloud microphysical processes of hailstorm clouds. Atmos. Res. 2011, 102, 432–443. [Google Scholar] [CrossRef]
- Fernández-González, S.; Wang, P.; Gascón, E.; Valero, F.; Sánchez, J. Latent cooling and microphysics effects in deep convection. Atmos. Res. 2016, 180, 189–199. [Google Scholar] [CrossRef]
- Demott, P.; Prenni, A.; Mcmeeking, G.; Sullivan, R.; Petters, M.; Tobo, Y.; Niemand, M.; Mohler, O.; Snider, J.; Wang, Z.; et al. Integrating laboratory and field data to quantify the immersion freezing ice nucleation activity of mineral dust particles. Atmos. Chem. Phys. 2014, 15, 393–409. [Google Scholar] [CrossRef]












| Experiment | ChC1 | ChC2 | Cha | Chg | Chi (10−2) | Chr | Chs | Total |
|---|---|---|---|---|---|---|---|---|
| C1 | 141.6 | 4.2 | 24.0 | 8.6 | 3.6 | 158.8 | 4.8 | 342.0 |
| C2 | 157.3 | 4.0 | 23.7 | 7.8 | 4.1 | 184.7 | 5.0 | 382.5 |
| C3 | 223.6 | 3.9 | 27.6 | 8.7 | 6.4 | 235.7 | 5.9 | 505.4 |
| Experiment | CiC1 | CiC2 | Cis | Total |
|---|---|---|---|---|
| C1 | 2.4 | 2.3 | 0.44 | 5.14 |
| C2 | 2.5 | 2.4 | 0.45 | 5.35 |
| C3 | 3.2 | 3.0 | 0.43 | 6.63 |
| Experiment | CrC1 | CrC2 (10−2) | Cra (10−4) | Crg (10−2) | Cri (10−7) | Crh | Crs (10−5) | Total |
|---|---|---|---|---|---|---|---|---|
| C1 | 90.9 | 65 | 4.7 | 4.3 | 3.7 | 46.6 | 4.4 | 138.2 |
| C2 | 92.8 | 67 | 3.2 | 3.4 | 3.3 | 51.2 | 3.3 | 144.7 |
| C3 | 77.5 | 60 | 1.9 | 3.9 | 1.1 | 52 | 4.9 | 130.1 |
| Experiment | ||||
|---|---|---|---|---|
| In Cloud/On Surface | In Cloud/On Surface | In Cloud/On Surface | In Cloud/Under Cloud Base | |
| C1 | 17/0.2 | 44.2/0.02 | 6.49/8.4 | 31.5/1.99 |
| C2 | 20.6/0.4 | 46.7/0.06 | 6.46/7.8 | 42.5/3.19 |
| C3 | 25.9/0.5 | 55.0/0.07 | 6.38/7.6 | 61.3/3.21 |
© 2019 by the authors. Licensee MDPI, Basel, Switzerland. This article is an open access article distributed under the terms and conditions of the Creative Commons Attribution (CC BY) license (http://creativecommons.org/licenses/by/4.0/).
Share and Cite
Yang, H.; Xiao, H.; Guo, C. Effects of Aerosols as Ice Nuclei on the Dynamics, Microphysics and Precipitation of Severe Storm Clouds. Atmosphere 2019, 10, 783. https://doi.org/10.3390/atmos10120783
Yang H, Xiao H, Guo C. Effects of Aerosols as Ice Nuclei on the Dynamics, Microphysics and Precipitation of Severe Storm Clouds. Atmosphere. 2019; 10(12):783. https://doi.org/10.3390/atmos10120783
Chicago/Turabian StyleYang, Huiling, Hui Xiao, and Chunwei Guo. 2019. "Effects of Aerosols as Ice Nuclei on the Dynamics, Microphysics and Precipitation of Severe Storm Clouds" Atmosphere 10, no. 12: 783. https://doi.org/10.3390/atmos10120783
APA StyleYang, H., Xiao, H., & Guo, C. (2019). Effects of Aerosols as Ice Nuclei on the Dynamics, Microphysics and Precipitation of Severe Storm Clouds. Atmosphere, 10(12), 783. https://doi.org/10.3390/atmos10120783
