Differentiation of Particulate Matter Sources Based on the Chemical Composition of PM10 in Functional Urban Areas
Abstract
:1. Introduction
2. Methodology of Particulate Matter Measurements and Evaluation
2.1. Study Area
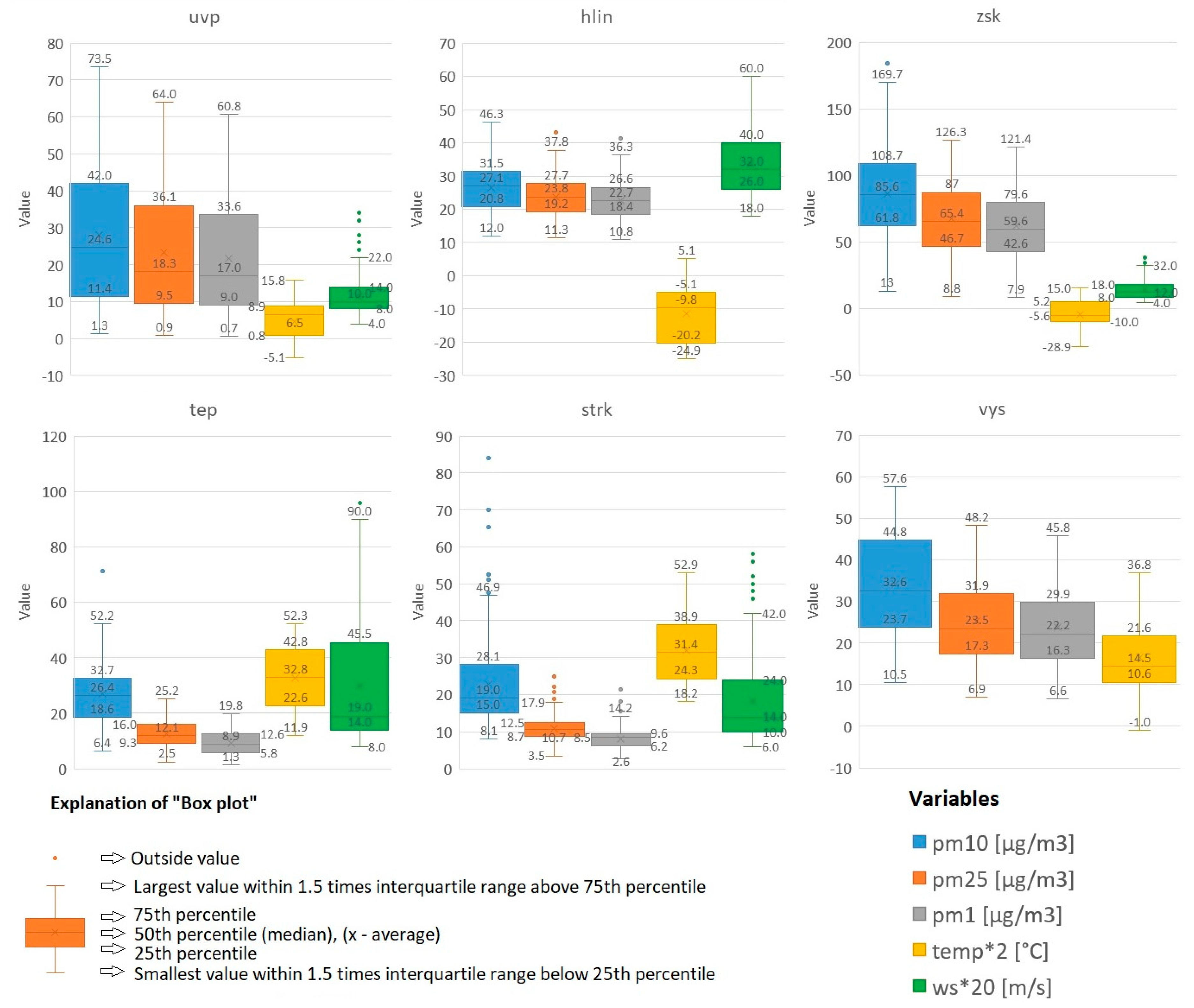
- Univerzitná Street (uvp), (49°12’6.61” N, 18°45’14.24” E): 14th–20th November 2017. Measurement place was located in the vicinity of Univerzitná Street and Veľký Diel Street, which is where the Univerzity of Žilina (education) is located. The surroundings consist of forest and green places.
- A. Hlinka Square (hlin), (49°13’29.08” N, 18°44’31.10” E): 22th‒28th February 2018. Typical walking zone without road traffic. Here, there are only a few cars in the local companies.
- Komenského Street (zsk), (49°12’58.64” N, 18°44’15.63” E): 01th‒07th March 2018. Measurement place was near the city centre, in the vicinity of the following crossroad: Komenského Street, Suvorovova Street, and Juraja Fándlyho Street. The surroundings here consist of residential buildings, education buildings, and a building of public administration.
- Košická Street (tep), (49°13’8.30” N, 18°45’36.80” E): 19th–25th April 2018. Important city traffic hub, representing the biggest city crossroad. Here, the city heating plant and shopping centres near the crossroad are located.
- Štrková Street (strk), (49°11’35.27” N, 18°43’37.12” E): 9th–15th May 2018. This measurement place was located in the light industry zone. A measurement device was placed in the vicinity of the road. This road, Štrková Street, is very dirty and there is a high level of heavy road traffic (trucks).
- Vysokoškolákov Street (vys), (49°12’38.20” N, 18°45’29.15” E): 9th–15th April 2019. Here, habitation, some shops, and dormitories are located. The measuring station was located in the vicinity of the road, which is an access road to the biggest habitation Vlčince in the city of Žilina.
2.2. Sample Collection
2.3. Sample Chemical Analysis
2.4. Used Statistical Methods
3. Results
3.1. Particulate Matter Concentration and Mass Distribution
3.2. Metal Concentrations in Particulate Matter
3.3. Identification of Particulate Matter PM10 Sources
4. Conclusions
Author Contributions
Funding
Acknowledgments
Conflicts of Interest
References
- Whitey, K.T. The physical characteristics of sulfur aerosols. Atmos. Environ. 2007, 41, 25–49. [Google Scholar] [CrossRef]
- Almeida, S.M.; Pio, C.A.; Freitas, M.C.; Reis, M.A.; Trancoso, M.A. Source apportionment of atmospheric urban aerosol based on weekdays/weekend variability: Evaluation of road re-Suspended dust contribution. Atmos. Environ. 2006, 40, 2058–2067. [Google Scholar] [CrossRef]
- Celko, J.; Kovac, M.; Decky, M. Analysis of selected pavement serviceability parameters, Communications. Sci. Lett. Univ. Žilina 2011, 13, 56–62. [Google Scholar]
- Fullova, D.; Durcanska, D.; Hegrova, J.; Fullova, D.; Durcanska, D.; Hegrova, J. Particulate matter mass concentrations produced from pavement surface abrasion. In Proceedings of the MATEC Web of Conferences at the 26th R-S-P Seminar 2017 Theoretical Foundation of Civil Engineering, RSP 2017, Warsaw, Poland, 19–21 August 2017; Volume 117. [Google Scholar]
- Ho, K.F.; Lee, S.C.; Chow, J.C.; Watson, J.G. Characterization of PM10 and PM2.5 source profiles for fugitive dust in Hong Kong. Atmos. Environ. 2003, 37, 1023–1032. [Google Scholar] [CrossRef]
- Jandacka, D.; Durcanska, D.; Bujdos, M. The contribution of road traffic to particulate matter and metals in air pollution in the vicinity of an urban road. Transp. Res. Part D 2017, 50, 397–408. [Google Scholar] [CrossRef]
- Pant, P.; Harrison, R.M. Estimation of the Contribution of Road Traffic Emissions to Particulate Matter Concentrations from Field Measurements: A Review. Atmos. Environ. 2013, 77, 78–97. [Google Scholar] [CrossRef]
- Remisova, E.; Decky, M.; Kovac, M. The influence of the asphalt mixture composition on the pavement surface texture and noise emissions production. In Proceedings of the Paper presented at the International Multidisciplinary Scientific GeoConference Surveying Geology and Mining Ecology Management, Albena, Bulgaria, 17–26 June 2014; Volume 2, pp. 583–590. [Google Scholar]
- Thorpe, A.; Harrison, R.M. Sources and Properties of Non-Exhaust Particulate Matter from Road Traffic: A Review. Sci. Total Environ. 2008, 400, 270–282. [Google Scholar] [CrossRef] [PubMed]
- Zhang, X.Y.; Cao, J.J.; Li, L.M.; Arimoto, R.; Cheng, Y.; Huebert, B.; Wang, D. Characterization of atmospheric aerosol over Xian in the south margin of the Loess Plateau, China. Atmos. Environ. 2002, 36, 4189–4199. [Google Scholar] [CrossRef]
- Sharma, R.; Balasubramanian, R. Assessment and mitigation of indoor human exposure to fine particulate matter (PM2.5) of outdoor origin in naturally ventilated residential apartments: A case study. Atmos. Environ. 2019, 212, 163–171. [Google Scholar] [CrossRef]
- WHO. Air Quality Guidelines for Particulate Matter, Ozone, Nitrogen Dioxide and Sulfur Dioxide—Global Update 2005; World Health Organization: Geneva, Switzerland, 2006; p. 20. [Google Scholar]
- European Environment Agency. Air Quality in Europe—2013 Report; European Environment Agency: Copenhagen, Denmark, 2013; p. 107. [Google Scholar]
- Jandacka, D.; Durcanska, D. Chemical Composition of PM10, PM2.5, PM1 and Influence of Meteorological Conditions on them in Zilina Selfgoverning Region, Slovakia. Solid State Phenom. 2016, 244, 171–181. [Google Scholar]
- European Environment Agency. EEA Signals 2016: Towards Clean and Smart Mobility. Transport and environment in Europe; European Environment Agency: Copenhagen, Denmark, 2016; p. 64. [Google Scholar]
- Choi, J.K.; Heo, J.B.; Ban, S.J.; Yi, S.M.; Zoh, K.D. Chemical characteristics of PM2.5 aerosol in Incheon, Korea. Atmos. Environ. 2012, 60, 583–592. [Google Scholar] [CrossRef]
- Davidson, C.I.; Robert, F.; Phalen, R.F.; Solomon, P.A. Airborne Particulate Matter and Human Health: A Review. Aerosol Sci. Technol. 2005, 39, 737–749. [Google Scholar] [CrossRef]
- Wu, L.; Luo, X.S.; Li, H.; Cang, L.; Yang, J.; Yang, J.; Zhao, Z.; Tang, M. Seasonal Levels, Sources, and Health Risks of Heavy Metals in Atmospheric PM2.5 from Four Functional Areas of Nanjing City, Eastern China. Atmosphere 2019, 10, 419. [Google Scholar] [CrossRef]
- Kukutschova, J.; Moravec, P.; Tomasek, V.; Matejka, V.; Smolík, J.; Schwarz, J.; Seidlerova, J.; Safarova, K.; Filip, P. On airborne nano/micro-Sized wear particles released from low-Metallic automotive brakes. Environ. Pollut. 2011, 159, 998–1006. [Google Scholar] [CrossRef]
- Mikuska, P.; Krumal, K.; Vecera, Z. Characterization of organic compounds in the PM2.5 aerosols in winter in an industrial urban area. Atmos. Environ. 2015, 105, 97–108. [Google Scholar] [CrossRef]
- Guo, H.; Wang, T.; Louie, P.K.K. Source apportionment of ambient non-Methane hydrocarbons in Hong Kong: Application of a principal component analysis/absolute principal component scores (PCA/APCS) receptor model. Environ. Pollut. 2004, 129, 489–498. [Google Scholar] [CrossRef]
- Jain, S.; Sharma, S.K.; Mandal, T.K.; Saxena, M. Source apportionment of PM10 in Delhi, India using PCA/APCS, UNMIX and PMF. Particuology 2018, 37, 107–118. [Google Scholar] [CrossRef]
- Lu, X.; Wang, L.; Li, L.Y.; Lei, K.; Huang, L.; Kang, D. Multivariate statistical analysis of heavy metals in street dust of Baoji, NW China. J. Hazard. Mater. 2010, 173, 744–749. [Google Scholar] [CrossRef]
- Manta, D.S.; Angelone, M.; Bellanca, A.; Neri, R.; Sprovieri, M. Heavy metals in urban soils: A case study from the city of Palermo (Sicily), Italy. Sci. Total Environ. 2002, 300, 229–243. [Google Scholar] [CrossRef]
- Song, Y.; Xie, S.; Zhang, Y.; Zeng, L.; Salmon, L.G.; Zheng, M. Source apportionment of PM2.5 in Beijing using principal component analysis/absolute principal component scores and UNMIX. Sci. Total Environ. 2006, 372, 278–286. [Google Scholar] [CrossRef]
- Yang, Z.; Lu, W.; Long, Y.; Bao, X.; Yang, Q. Assessment of heavy metals contamination in urban topsoil from Changchun City, China. J. Geochem. Explor. 2011, 108, 27–38. [Google Scholar] [CrossRef]










| MS * | PM | Average Concentration ± Standard Deviation [ng/m3] of the Element in the PM Fraction | |||||||
|---|---|---|---|---|---|---|---|---|---|
| Mg | Al | Si | Ca | Cr | Cu | Fe | Ba | ||
| uvp | PM2.5 | 12.4 | 10.2 | 6.1 | 50.1 | 4.2 × 10−1 | 4.4 | 87.1 | 9.1 × 10−1 | 
| ±8.5 | ±9.1 | ±10.0 | ±35.7 | ±2.0 × 10−1 | ±2.5 | ±23.4 | ±5.9 × 10−1 | ||
| PM2.5-10 | 128.4 | 131.1 | 242.0 | 701.9 | 12.8 × 10−1 | 9.1 | 353.6 | 54.9 × 10−1 | |
| ±121.5 | ±131.9 | ±196.8 | ±688.3 | ±8.2 × 10−1 | ±7.5 | ±327.0 | ±60.5 × 10−1 | ||
| hlin | PM2.5 | 15.0 | 25.7 | 16.8 | 58.4 | 7.8 × 10−1 | 2.2 | 50.9 | LQ* | 
| ±7.8 | ±13.0 | ±18.4 | ±35.8 | ±7.6 × 10−1 | ±1.3 | ±23.2 | LQ* | ||
| PM2.5-10 | 47.6 | 64.7 | 93.1 | 337.3 | 7.4 × 10−4 | 0.2 | 59.0 | 7.2 × 10−1 | |
| ±13.4 | ±28.3 | ±40.3 | ±158.8 | ±18.2 × 10−4 | ±0.5 | ±39.0 | ±5.0 × 10−1 | ||
| zsk | PM2.5 | 114.0 | 99.2 | 122.1 | 1137.7 | 10.4 × 10−1 | 7.2 | 247.1 | 36.8 × 10−1 | 
| ±87.7 | ±69.9 | ±148.4 | ±1587.6 | ±6.9 × 10−1 | ±4.2 | ±171.4 | ±27.4 × 10−1 | ||
| PM2.5-10 | 203.9 | 167.8 | 234.5 | 1479.0 | 13.5 × 10−1 | 15.3 | 517.0 | 110.3 × 10−1 | |
| ±130.4 | ±76.8 | ±167.2 | ±864.1 | ±6.0 × 10−1 | ±7.2 | ±136.8 | ±39.2 × 10−1 | ||
| tep | PM2.5 | 88.0 | 141.6 | 274.2 | 283.8 | 14.2 × 10−1 | 9.4 | 336.6 | 65.2 × 10−1 | 
| ±42.4 | ±97.4 | ±190.5 | ±162.9 | ±5.8 × 10−1 | ±2.8 | ±141.8 | ±19.8 × 10−1 | ||
| PM2.5-10 | 299.0 | 392.0 | 607.3 | 1390.4 | 55.4 × 10−1 | 36.0 | 1324.6 | 252.7 × 10−1 | |
| ±98.3 | ±142.9 | ±182.8 | ±390.9 | ±20.5 × 10−1 | ±10.2 | ±395.8 | ±77.8 × 10−1 | ||
| strk | PM2.5 | 70.4 | 92.6 | 204.0 | 315.9 | 9.5 × 10−1 | 2.8 | 232.2 | 36.8 × 10−1 | 
| ±34.0 | ±45.2 | ±97.0 | ±219.5 | ±6.8 × 10−1 | ±1.4 | ±150.4 | ±13.7 × 10−1 | ||
| PM2.5-10 | 158.0 | 211.9 | 375.8 | 758.1 | 12.0 × 10−1 | 4.2 | 456.0 | 39.1 × 10−1 | |
| ±93.6 | ±118.3 | ±210.1 | ±406.4 | ±7.4 × 10−1 | ±2.5 | ±278.1 | ±32.5 × 10−1 | ||
| vys | PM2.5 | 16.0 | 25.9 | 10.6 | 57.0 | 2.3 × 10−1 | 1.6 | 66.2 | 8.1 × 10−1 | 
| ±4.6 | ±9.1 | ±10.9 | ±31.3 | ±0.9 × 10−1 | ±0.5 | ±23.2 | ±2.6 × 10−1 | ||
| PM2.5-10 | 79.2 | 121.8 | 92.0 | 566.5 | 4.4 × 10−1 | 3.3 | 196.4 | 33.7 × 10−1 | |
| ±29.2 | ±46.6 | ±85.3 | ±195.3 | ±3.3 × 10−1 | ±1.0 | ±64.2 | ±9.2 × 10−1 | ||
| MS * | PM | Average Concentration ± Standard Deviation [ng/m3] of the Element in the PM Fraction | ||||||
|---|---|---|---|---|---|---|---|---|
| K | S | Cd | Sb | Pb | Ni | Zn | ||
| uvp | PM2.5 | 216.7 | 546.3 | 29.4 × 10−2 | 15.2 × 10−1 | 65.1 × 10−1 | 11.8 × 10−1 | 43.3 | 
| ±135.2 | ±374.1 | ±20.4 × 10−2 | ±10.2 × 10−1 | ±33.5 × 10−1 | ±1.0 × 10−1 | ±29.1 | ||
| PM2.5-10 | 61.6 | 312.4 | 4.4 × 10−2 | 8.5 × 10−1 | 9.1 × 10−1 | 7.7 × 10−1 | 9.1 | |
| ±58.0 | ±333.2 | ±8.5 × 10−2 | ±7.6 × 10−1 | ±14.6 × 10−1 | ±6.9 × 10−1 | ±10.5 | ||
| hlin | PM2.5 | 224.8 | 1695.4 | 23.2 × 10−2 | 6.9 × 10−1 | 80.1 × 10−1 | 18.6 × 10−1 | 40.7 | 
| ±28.6 | ±843.1 | ±9.9 × 10−2 | ±3.0 × 10−1 | ±41.3 × 10−1 | ±5.3 × 10−1 | ±10.2 | ||
| PM2.5-10 | 3.5 | 9.7 | 1.3 × 10−2 | 0.4 × 10−1 | 3.4 × 10−1 | 1.2 × 10−1 | 8.6 | |
| ±5.9 | ±23.8 | ±3.1 × 10−2 | ±1.1 × 10−1 | ±8.4 × 10−1 | ±1.9 × 10−1 | ±19.5 | ||
| zsk | PM2.5 | 564.2 | 2442.8 | 63.5 × 10−2 | 22.0 × 10−1 | 185.6 × 10−1 | 18.3 × 10−1 | 89.3 | 
| ±186.9 | ±1234.5 | ±27.8 × 10−2 | ±12.9 × 10−1 | ±89.4 × 10−1 | ±4.5 × 10−1 | ±31.3 | ||
| PM2.5-10 | 18.5 | 265.2 | 6.7 × 10−2 | 8.7 × 10−1 | 12.5 × 10−1 | 3.1 × 10−1 | 7.6 | |
| ±28.4 | ±263.1 | ±8.1 × 10−2 | ±3.4 × 10−1 | ±14.2 × 10−1 | ±4.0 × 10−1 | ±6.6 | ||
| tep | PM2.5 | 107.3 | 495.9 | 18.8 × 10−2 | 26.6 × 10−1 | 55.8 × 10−1 | 13.2 × 10−1 | 29.2 | 
| ±29.8 | ±425.4 | ±6.3 × 10−2 | ±8.5 × 10−1 | ±15.4 × 10−1 | ±2.0 × 10−1 | ±6.2 | ||
| PM2.5-10 | 123.0 | 224.5 | 3.4 × 10−2 | 78.3 × 10−1 | 21.6 × 10−1 | 11.3 × 10−1 | 21.5 | |
| ±52.5 | ±143.4 | ±2.1 × 10−2 | ±29.6 × 10−1 | ±9.4 × 10−1 | ±6.8 × 10−1 | ±6.1 | ||
| strk | PM2.5 | 98.8 | 457.2 | 14.6 × 10−2 | 11.6 × 10−1 | 57.7 × 10−1 | 15.8 × 10−1 | 22.2 | 
| ±24.0 | ±181.2 | ±4.5 × 10−2 | ±7.0 × 10−1 | ±22.5 × 10−1 | ±4.4 × 10−1 | ±6.9 | ||
| PM2.5-10 | 110.3 | 164.9 | 2.9 × 10−2 | 6.1 × 10−1 | 22.7 × 10−1 | 7.2 × 10−1 | 13.6 | |
| ±55.6 | ±107.0 | ±2.2 × 10−2 | ±3.9 × 10−1 | ±27.3 × 10−1 | ±5.8 × 10−1 | ±13.7 | ||
| vys | PM2.5 | 81.5 | 880.1 | 19.1 × 10−2 | 4.0 × 10−1 | 31.0 × 10−1 | 0.9 × 10−1 | 12.7 | 
| ±26.7 | ±462.3 | ±7.8 × 10−2 | ±1.6 × 10−1 | ±18.6 × 10−1 | ±1.3 × 10−1 | ±5.2 | ||
| PM2.5-10 | 34.2 | 77.1 | 0.4 × 10−2 | 1.8 × 10−1 | 1.1 × 10−1 | 0.9 × 10−1 | 2.0 | |
| ±29.4 | ±71.4 | ±0.6 × 10−2 | ±1.0 × 10−1 | ±0.9 × 10−1 | ±1.1 × 10−1 | ±1.6 | ||
| MS * | Factor | Variables (Metals) | ||||||||||||||
|---|---|---|---|---|---|---|---|---|---|---|---|---|---|---|---|---|
| Mg | Al | Si | K | Ca | S | Cr | Cu | Fe | Cd | Sb | Ba | Pb | Ni | Zn | ||
| Factor loads | ||||||||||||||||
| uvp | F1 | 0.92 | 0.93 | 0.88 | 0.85 | 0.94 | 0.30 | 0.36 | 0.52 | 0.37 | 0.55 | 0.14 | 0.77 | 0.43 | 0.28 | 0.91 | 
| F2 | 0.01 | 0.11 | 0.08 | 0.35 | 0.09 | 0.94 | 0.10 | 0.08 | 0.08 | 0.37 | 0.65 | 0.02 | 0.63 | −0.63 | 0.30 | |
| F3 | 0.37 | 0.32 | 0.43 | 0.37 | 0.31 | −0.07 | 0.93 | 0.85 | 0.92 | 0.73 | 0.44 | 0.63 | 0.61 | −0.24 | 0.26 | |
| hlin | F1 | −0.11 | −0.04 | −0.10 | −0.25 | −0.08 | 0.71 | 0.19 | 0.45 | 0.10 | 0.96 | 0.72 | 0.02 | 0.93 | 0.50 | −0.07 | 
| F2 | 0.55 | 0.99 | 0.98 | 0.76 | 0.19 | −0.03 | −0.58 | −0.03 | −0.29 | 0.04 | −0.29 | 0.81 | −0.24 | 0.06 | −0.14 | |
| F3 | −0.72 | −0.07 | 0.10 | −0.15 | −0.94 | 0.30 | 0.47 | 0.05 | 0.32 | 0.06 | 0.48 | −0.55 | −0.22 | 0.02 | −0.95 | |
| F4 | −0.37 | −0.04 | 0.03 | −0.56 | −0.16 | 0.50 | 0.41 | 0.88 | 0.87 | 0.25 | 0.36 | −0.04 | 0.09 | 0.85 | −0.02 | |
| zsk | F1 | 0.24 | 0.72 | 0.81 | 0.36 | 0.35 | 0.29 | 0.98 | 0.80 | 0.91 | −0.12 | 0.80 | 0.80 | 0.01 | 0.63 | 0.27 | 
| F2 | 0.13 | 0.54 | 0.39 | 0.86 | −0.29 | 0.89 | 0.19 | −0.38 | 0.13 | 0.98 | 0.08 | 0.02 | 0.98 | 0.49 | 0.59 | |
| F3 | 0.95 | 0.37 | 0.12 | 0.36 | 0.87 | −0.26 | 0.01 | 0.45 | 0.38 | 0.07 | 0.57 | 0.58 | 0.00 | 0.47 | 0.76 | |
| tep | F1 | 0.94 | 0.97 | 0.97 | 0.89 | 0.95 | −0.07 | 0.95 | 0.89 | 0.97 | −0.22 | 0.90 | 0.95 | 0.11 | 0.51 | 0.62 | 
| F2 | 0.25 | −0.03 | 0.02 | 0.30 | 0.26 | 0.14 | −0.02 | −0.10 | −0.01 | 0.96 | 0.03 | −0.13 | 0.95 | 0.34 | 0.61 | |
| F3 | −0.17 | 0.04 | 0.04 | −0.11 | −0.15 | 0.86 | 0.30 | 0.42 | 0.21 | −0.11 | 0.38 | 0.28 | 0.26 | 0.54 | 0.37 | |
| strk | F1 | 0.49 | 0.35 | 0.31 | −0.08 | 0.43 | 0.18 | 0.92 | 0.76 | 0.84 | 0.43 | 0.94 | 0.64 | 0.92 | 0.92 | 0.94 | 
| F2 | 0.83 | 0.89 | 0.90 | 0.87 | 0.85 | 0.29 | 0.35 | 0.57 | 0.53 | 0.37 | 0.17 | 0.73 | 0.19 | 0.33 | 0.05 | |
| F3 | 0.11 | 0.10 | 0.08 | 0.39 | 0.14 | 0.86 | 0.14 | 0.15 | −0.11 | 0.64 | 0.11 | 0.20 | 0.24 | 0.16 | 0.07 | |
| vys | F1 | 0.53 | 0.84 | 0.68 | 0.78 | 0.14 | 0.09 | 0.94 | 0.37 | 0.83 | 0.12 | 0.16 | 0.65 | −0.33 | 0.97 | 0.03 | 
| F2 | −0.10 | −0.07 | 0.21 | 0.58 | −0.22 | 0.46 | −0.10 | 0.33 | 0.03 | 0.90 | 0.93 | 0.18 | 0.91 | −0.01 | 0.99 | |
| F3 | 0.84 | 0.51 | 0.58 | −0.12 | 0.89 | −0.81 | 0.12 | 0.84 | 0.53 | −0.33 | 0.32 | 0.73 | −0.15 | 0.17 | 0.01 | |
| all | F1 | 0.82 | 0.92 | 0.92 | 0.22 | 0.66 | −0.03 | 0.97 | 0.93 | 0.96 | 0.02 | 0.94 | 0.96 | 0.16 | 0.60 | 0.29 | 
| F2 | 0.43 | 0.17 | 0.10 | 0.93 | 0.54 | 0.88 | 0.05 | 0.18 | 0.17 | 0.94 | 0.03 | 0.18 | 0.92 | 0.23 | 0.83 | |
| MS * | Factor | % of the Total Variance | Significant Chemical Elements for the Factor | Source of PM10 | 
|---|---|---|---|---|
| uvp | F1 | 71.8 | Mg, Al, Si, K, Ca, Ba, Zn | Road dust resuspension | 
| F2 | 12.4 | S | Combustion—local, central heating | |
| F3 | 9.2 | Cr, Cu, Fe, Cd, | Traffic-related abrasion | |
| hlin | F1 | 50.8 | S, Cd, Sb, Pb | Combustion—local, central heating | 
| F2 | 21.9 | Al, Si, K, Ba | Traffic, pavement-related abrasion | |
| F3 | 14.0 | Mg, Ca, Zn | Road dust resuspension | |
| F4 | 7.9 | Cu, Fe, Ni | Industry | |
| zsk | F1 | 60.3 | Al, Si, Cr, Cu, Fe, Sb, Ba | Traffic-related abrasion | 
| F2 | 25.1 | K, S, Cd, Pb | Combustion—local, central heating | |
| F3 | 9.9 | Mg, Ca, Zn | Road dust resuspension, exhaust processes | |
| tep | F1 | 66.0 | Mg, Al, Si, K, Ca, Cr, Cu, Fe, Sb, Ba | Road dust resuspension, traffic-related abrasion | 
| F2 | 16.8 | Cd, Pb | Industry | |
| F3 | 9.3 | S | Combustion—central heating | |
| strk | F1 | 66.2 | Cr, Cu, Fe, Sb, Pb, Ni, Zn | Industry, traffic-related abrasion | 
| F2 | 15.0 | Mg, Al, Si, K, Ca, Ba | Road dust resuspension | |
| F3 | 7.8 | S | Combustion | |
| vys | F1 | 52.0 | Al, K, Cr, Fe, Ni, | Traffic-related abrasion | 
| F2 | 28.0 | Cd, Sb, Pb, Zn | Combustion—local | |
| F3 | 12.8 | Mg, Ca, Cu, Ba, S | Traffic-related emissions | |
| all | F1 | 59.3 | Mg, Al, Si, Cr, Cu, Fe, Sb, Ba | Traffic-related emissions | 
| F2 | 24.4 | K, S, Cd, Pb, Zn | Combustion—local, central | 
© 2019 by the authors. Licensee MDPI, Basel, Switzerland. This article is an open access article distributed under the terms and conditions of the Creative Commons Attribution (CC BY) license (http://creativecommons.org/licenses/by/4.0/).
Share and Cite
Jandacka, D.; Durcanska, D. Differentiation of Particulate Matter Sources Based on the Chemical Composition of PM10 in Functional Urban Areas. Atmosphere 2019, 10, 583. https://doi.org/10.3390/atmos10100583
Jandacka D, Durcanska D. Differentiation of Particulate Matter Sources Based on the Chemical Composition of PM10 in Functional Urban Areas. Atmosphere. 2019; 10(10):583. https://doi.org/10.3390/atmos10100583
Chicago/Turabian StyleJandacka, Dusan, and Daniela Durcanska. 2019. "Differentiation of Particulate Matter Sources Based on the Chemical Composition of PM10 in Functional Urban Areas" Atmosphere 10, no. 10: 583. https://doi.org/10.3390/atmos10100583
APA StyleJandacka, D., & Durcanska, D. (2019). Differentiation of Particulate Matter Sources Based on the Chemical Composition of PM10 in Functional Urban Areas. Atmosphere, 10(10), 583. https://doi.org/10.3390/atmos10100583
 
        


 
                         
       