Characterising Particulate Organic Nitrogen at A Savannah-Grassland Region in South Africa
Abstract
1. Introduction
2. Measurement Location and Methods
2.1. Site Description
2.2. Sampling and Analysis
3. Results and Discussion
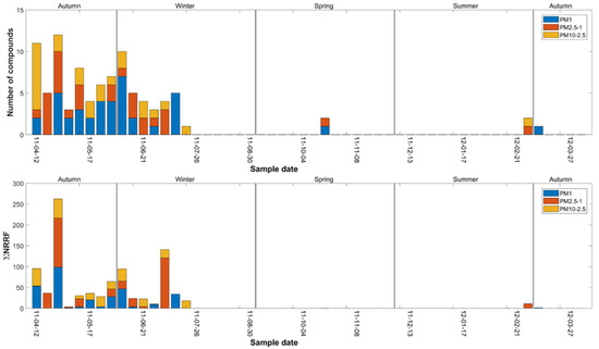
3.1. Amines
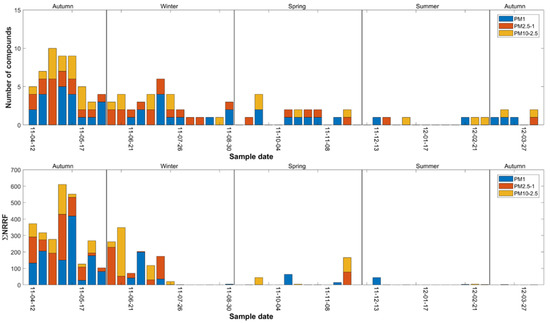
3.2. Nitriles, Amides and Urea
3.3. Pyridine Derivatives and Other Aromatic Heterocyclic Compounds
3.4. Other Organic N Species
3.4.1. Amino Acids
3.4.2. Nitro- and Nitroso Compounds
3.4.3. Imines
3.4.4. Cyanates and Isocyanates
3.4.5. Azo Compounds
4. Summary and Conclusions
Author Contributions
Funding
Acknowledgments
Conflicts of Interest
Appendix A
| Amines | Nitriles | Amides | Pyridine Derivatives | |
|---|---|---|---|---|
| 12/04/2011–12/07/2011 | 323 ± 236 | 272 ± 162 | 29 ± 35 | 63 ± 69 |
| 02/08/2011–04/10/2011 | 2 ± 4 | 6 ± 13 | 0 ± 0 | 2 ± 5 |
| 11/10/2011–04/04/2012 | 31 ± 42 | 12 ± 35 | 1 ± 2 | 0 ± 2 |
References
- Kingston, E.; Bowersox, V.; Zorrilla, G. Nitrogen in the Nation’s Rain. In National Atmospheric Deposition Program; Illinois State Water Survey: Champaign, IL, USA, 2000; Available online: http://nadp.sws.uluc.edu (accessed on 25 July 2017).
- Altieri, J.D.; Turpin, B.J.; Seitzinger, S.P. Composition of dissolved organic nitrogen in continental precipitation investigated by ultra-high-resolution FT-ICR mass spectrometry. Environ. Sci. Technol. 2009, 43, 6950–6955. [Google Scholar] [CrossRef] [PubMed]
- Jickells, T.; Baker, A.R.; Cape, J.N.; Cornell, S.E.; Nemitz, E. The cycling of organic nitrogen through the atmosphere. Philos. Trans. R. Soc. B 2013, 368, 1621. [Google Scholar] [CrossRef] [PubMed]
- Cape, J.N.; Cornell, S.E.; Jickells, T.D.; Nemitz, E. Organic nitrogen in the atmosphere—Where does it come from? A review of sources and methods. Atmos. Res. 2011, 102, 30–48. [Google Scholar] [CrossRef]
- Cornell, S. Atmospheric nitrogen deposition: Revisiting the question of the importance of the organic component. Environ. Pollut. 2011, 159, 2214–2222. [Google Scholar] [CrossRef] [PubMed]
- Borduas, N. The Atmospheric Fate of Organic Nitrogen Compounds. Ph.D. Thesis, University of Toronto, Toronto, ON, Canada, November 2015. [Google Scholar]
- Mace, K.A.; Artaxo, P.; Duce, R.A. Water-soluble organic nitrogen in Amazon Basin aerosols during the dry (biomass burning) and wet seasons. J. Geophys. Res. Atmos. 2003, 108, 4512. [Google Scholar] [CrossRef]
- Zamora, L.M.; Prospero, J.M.; Hansell, D.A. Organic nitrogen in aerosols and precipitation at Barbados and Miami: Implications regarding sources, transport and deposition to the western subtropical Atlantic. J. Geophys. Res. Atmos. 2011, 116, D20309. [Google Scholar] [CrossRef]
- Mace, K.A.; Duce, R.A.; Tindale, N.W. Organic nitrogen in rain and aerosol at Cape Grimm, Tasmania, Australia. J. Geophys. Res. Atmos. 2003, 108, 4338. [Google Scholar] [CrossRef]
- Chen, H.-Y.; Chen, L.-D.; Chiang, Z.-Y.; Hung, C.-C.; Lin, F.-J.; Chou, W.-C.; Gong, G.-C.; Liang, L.-C. Size fractionation and molecular composition of water soluble inorganic and organic nitrogen in aerosols of a coastal environment. J. Geophys. Res. Atmos. 2010, 115, D22307. [Google Scholar] [CrossRef]
- Ge, X.; Wexler, A.S.; Clegg, S.L. Atmospheric amines—Part, I. A review. Atmos. Environ. 2011, 45, 524–546. [Google Scholar] [CrossRef]
- Gorzelka, K.; Galloway, J.N. Amine nitrogen in the atmospheric environment over the North Atlantic Ocean. Glob. Biogeochem. Cycles 1990, 4, 309–333. [Google Scholar] [CrossRef]
- Neff, J.C.; Holland, E.A.; Dentener, F.J.; McDowell, W.H.; Russell, K.M. The origin, composition and rates of organic nitrogen deposition: A missing piece of the nitrogen cycle? Biogeochemistry 2002, 57, 99–136. [Google Scholar] [CrossRef]
- Arey, J.; Zielinska, B.; Harger, W.P.; Atkinson, R.; Winer, A.M. The Contribution of Nitrofluoranthenes and Nitropyrenes to the Mutagenic Activity of Ambient Particulate Organic-Matter Collected in Southern-California. Mutat. Res. 1988, 207, 45–51. [Google Scholar] [CrossRef]
- Özel, M.Z.; Ward, M.W.; Hamilton, J.F.; Lewis, A.C.; Raventos-Duran, T.; Harrison, R.M. Analysis of Organic Nitrogen Compounds in Urban Aerosol Samples Using GCxGC-TOF/MS. Aerosol Sci Technol. 2010, 44, 109–116. [Google Scholar] [CrossRef]
- Lee, D.; Wexler, A.S. Atmospheric amines—Part III: Photochemistry and toxicity. Atmos. Environ. 2013, 71, 95–103. [Google Scholar] [CrossRef]
- Facchini, M.C.; Decesari, S.; Rinaldi, M.; Carbone, C.; Finessi, E.; Mircea, M.; Fuzzi, S.; Moretti, F.; Tagliavini, E.; Ceburnis, D.; et al. Important source of marine secondary organic aerosol from biogenic amines. Environ. Sci. Technol. 2008, 42, 9116–9121. [Google Scholar] [CrossRef]
- Almeida, J.; Schobesberger, S.; Kürten, A.; Ortega, I.K.; Kupiainen-Määttä, O.; Praplan, A.P.; Adamov, A.; Amorim, A.; Bianchi, F.; Breitenlechner, M.; et al. Molecular understanding of sulphuric acid—Amine particle nucleation in the atmosphere. Nature 2013, 502, 359–363. [Google Scholar] [CrossRef]
- Galloway, M.M.; Chhabra, P.S.; Chan, A.W.H.; Surratt, J.D.; Flagan, R.C.; Seinfeld, J.H.; Keutsch, F.N. Glyoxal uptake on ammonium sulphate seed aerosol: Reaction products and reversibility of uptake under dark and irradiated conditions. Atmos. Chem. Phys. Discuss. 2008, 8, 20799–20838. [Google Scholar] [CrossRef]
- Nozière, B.; Dziedzic, P.; Córdova, A. Products and kinetics of the liquid-phase reaction of glyoxal catalyzed by ammonium ions (NH4(þ)). J. Phys. Chem. A 2009, 113, 231–237. [Google Scholar] [CrossRef]
- Andreae, M.O.; Gelencsér, A. Black carbon or brown carbon? The nature of light-absorbing carbonaceous aerosols. Atmos. Chem. Phys. Discuss. 2006, 6, 3419–3463. [Google Scholar] [CrossRef]
- Climate Change 2013. The Physical Science Basis. In Third Assessment of the Intergovernmental Panel on Climate Change (IPCC); Cambridge University Press: New York, NY, USA, 2013.
- Laskin, J.; Laskin, A.; Nizkorodov, S.A.; Roach, P.; Eckert, P.; Gilles, M.K.; Wang, B.; Lee, H.J.; Hu, Q. Molecular selectivity of brown carbon chromophores. Environ. Sci. Technol. 2014, 48, 12047–12055. [Google Scholar] [CrossRef]
- Lin, G.X.; Penner, J.E.; Flanner, M.G.; Sillman, S.; Xu, L.; Zhou, C. Radiative forcing of organic aerosol in the atmosphere and on snow: Effects of SOA and brown carbon. J. Geophys. Res. Atmos. 2014, 119, 7453–7476. [Google Scholar] [CrossRef]
- Lewis, A.C.; Carslaw, N.; Marriott, P.J.; Kinghorn, R.M.; Morrison, P.; Lee, A.L.; Bartle, K.D.; Pilling, M.J. A larger pool of ozone-forming carbon compounds in urban atmospheres. Nature 2000, 405, 778–781. [Google Scholar] [CrossRef]
- Welthagen, W.; Schnelle-Kreis, J.; Zimmermann, R. Search criteria and rules for comprehensive two-dimensional gas chromatography-time-of-flight-mass spectrometry analysis of airborne particulate matter. J. Chromatogr. A 2003, 1019, 233–249. [Google Scholar] [CrossRef]
- Alam, M.S.; West, C.E.; Scarlett, A.G.; Rowland, S.J.; Harrison, R.M. Application of 2D-GCMS reveals many industrial chemicals in airborne particulate matter. Atmos. Environ. 2013, 65, 101–111. [Google Scholar] [CrossRef]
- Özel, M.Z.; Hamilton, J.F.; Lewis, A.C. New sensitive and quantitative analysis method for organic nitrogen compounds in urban aerosol samples. Environ. Sci. Technol. 2011, 45, 1497–1505. [Google Scholar] [CrossRef]
- Booyens, W.; Van Zyl, P.G.; Beukes, J.P.; Ruiz-Jimenez, J.; Kopperi, M.; Riekkola, M.-L.; Josipovic, M.; Venter, A.D.; Jaars, K.; Laakso, L.; et al. Size-resolved characterisation of organic compounds in atmospheric aerosols collected at Welgegund, South Africa. J. Atmos. Chem. 2015, 72, 43–64. [Google Scholar] [CrossRef]
- Booyens, W.; Beukes, J.P.; Van Zyl, P.G.; Ruiz-Jimenez, J.; Kopperi, M.; Riekkola, M.-L.; Josipovic, M.; Vakkari, V.; Laakso, L. Seasonal assessment of organic aerosol compounds characterized at Welgegund, South Africa. J. Atmos. Chem. 2019, 76, 89–113. [Google Scholar] [CrossRef]
- Petäjä, T.; Vakkari, V.; Pohja, T.; Nieminen, T.; Laakso, H.; Aalto, P.P.; Keronen, P.; Siivola, E.; Kerminen, V.-M.; Kulmala, M.; et al. Transportable aerosol characterization trailer with trace gas chemistry: Design, instruments and verification. Aerosol Air Qual. Res. 2013, 13, 421–435. [Google Scholar] [CrossRef]
- Beukes, J.P.; Venter, A.D.; Josipovic, M.; Van Zyl, P.G.; Vakkari, V.; Jaars, K.; Dunn, M.; Laakso, L. Automated Continuous Air Monitoring. In Monitoring of Air Pollutants—Samling, Sample, Preparation and Analytical Techniques, 1st ed.; Forbes, P., Ed.; Elsevier: Amsterdam, The Netherlands, 2015; pp. 183–208. [Google Scholar]
- Räsänen, M.; Aurela, M.; Vakkari, V.; Beukes, J.P.; Tuovinen, J.-P.; Van Zyl, P.G.; Josipovic, M.; Venter, A.D.; Jaars, K.; Siebert, S.J.; et al. Carbon balance of a grazed savanna grassland ecosystem in South Africa. Biogeosciences 2017, 14, 1039–1054. [Google Scholar]
- Jaars, K.; Van Zyl, P.G.; Beukes, J.P.; Hellén, H.; Vakkari, V.; Josipovic, M.; Venter, A.D.; Räsänen, M.; Knoetze, L.; Cilliers, D.P.; et al. Measurements of biogenic volatile organic compounds at a grazed savannah grassland agricultural landscape in South Africa. Atmos. Chem. Phys. 2016, 16, 15665–15688. [Google Scholar] [CrossRef]
- Jaars, K.; Beukes, J.P.; Van Zyl, P.G.; Venter, A.D.; Josipovic, M.; Pienaar, J.J.; Vakkari, V.; Aaltonen, H.; Laakso, H.; Kulmala, M.; et al. Ambient aromatic hydrocarbon measurements at Welgegund, South Africa. Atmos. Chem. Phys. 2014, 14, 7075–7089. [Google Scholar]
- Ruiz-Jimenez, J.; Parshintsev, J.; Laitinen, T.; Hartonen, K.; Riekkola, M.-L.; Petäjä, T.; Virkkula, A.; Kulmala, K. A complete methodology for the reliable collection, sample preparation, separation and determination of organic compounds in ultrafine 30 nm, 40 nm and 50 nm atmospheric aerosol particles. Anal. Methods 2011, 3, 2501–2509. [Google Scholar] [CrossRef]
- Ruiz-Jimenez, J.; Parshintsev, J.; Laitinene, T.; Hartonen, K.; Riekkola, M.; Petäjä, T.; Kulmala, M. Comprehensive two-dimensional gas chromatography, a valuable technique for screening and semiquantification of different chemical compounds in ultrafine 30 nm and 50 nm aerosol particles. J. Environ. Monit. 2011, 13, 2994–3003. [Google Scholar] [CrossRef]
- Ochiai, N.; Ieda, S.; Sasamoto, K.; Fushimi, A.; Hasegawa, S.; Tanabe, K.; Kobayashi, S. Characterization of Organic Compounds in Atmospheric Nanoparticles by Thermal Extraction—Comprehensive Two-Dimensional Gas Chromatography (gcxgc) in Combination with Selective Detection, Mass Spectrometry and Accurate Mass Detection. In Global Analytical Solutions; Gerstel: Mülheim an der Ruhr, Germany, 2007. [Google Scholar]
- Schnelle-Kreis, J.; Welthagen, W.; Sklorz, M.; Zimmermann, R. Application of direct thermal desorption gas chromatography and comprehensive two-dimensional gas chromatography coupled to time of flight mass spectrometry for analysis of organic compounds in ambient aerosol particles. J. Sep. Sci. 2005, 28, 1648–1657. [Google Scholar] [CrossRef]
- Murphy, S.M.; Sorooshian, A.; Kroll, J.H.; Ng, N.L.; Chhabra, P.; Tong, C.; Surratt, J.D.; Knipping, E.; Flagan, R.C.; Seinfeld, J.H. Secondary aerosol formation from atmospheric reactions of aliphatic amines. Atmos. Chem. Phys. 2007, 7, 2313–2337. [Google Scholar] [CrossRef]
- Conradie, E.H.; Van Zyl, P.G.; Pienaar, J.J.; Beukes, J.P.; Galy-Lacaux, C.; Venter, A.D.; Mkhatshwa, G.V. The chemical composition and fluxes of atmospheric wet deposition at four sites in South Africa. Atmos. Environ. 2016, 146, 113–131. [Google Scholar] [CrossRef]
- Vakkari, V.; Beukes, J.P.; Laakso, H.; Mabaso, D.; Pienaar, J.J.; Kulmala, M.; Laakso, L. Long-term observations of aerosol size distributions in semi-clean and polluted savannah in South Africa. Atmos. Chem. Phys. 2013, 13, 1751–1770. [Google Scholar] [CrossRef]
- Hirsikko, A.; Vakkari, V.; Tiitta, P.; Manninen, H.E.; Gagne, S.; Laakso, H.; Kulmala, M.; Mirme, M.; Mirme, S.; Mabaso, D.; et al. Characterisation of sub-micron particle number concentrations and formation events in the western Bushveld Igneous Complex, South Africa. Atmos. Chem. Phys. 2012, 12, 3951–3967. [Google Scholar] [CrossRef]
- Simoneit, B.R.T.; Rushdi, A.I.; bin Abas, M.R.; Didyk, B.M. Alkyl amides and nitriles as novel tracers for biomass burning. Environ. Sci. Technol. 2003, 37, 16–21. [Google Scholar] [CrossRef]
- Barsanti, K.C.; Pankow, J.F. Thermodynamics of the formation of atmospheric organic particulate matter 514 by accretion reactions—Part 3: Carboxylic and dicarboxylic acids. Atmos. Environ. 2006, 40, 6676–6686. [Google Scholar] [CrossRef]
- Nielsen, C.J.; Herrmann, H.; Weller, C. Atmospheric chemistry and environmental impact of the use of 595 amines in carbon capture and storage (CCS). Chem. Soc. Rev. 2012, 41, 6684–6704. [Google Scholar] [CrossRef]
- Chiloane, K.E.; Beukes, J.P.; Van Zyl, P.G.; Maritz, P.; Vakkari, V.; Josipovic, M.; Venter, A.D.; Jaars, K.; Tiitta, P.; Kulmala, M.; et al. Spatial, temporal and source contribution assessments of black carbon over the northern interior of South Africa. Atmos. Chem. Phys. 2017, 17, 6177–6196. [Google Scholar] [CrossRef]
- Venter, A.D.; Vakkari, V.; Beukes, J.P.; Van Zyl, P.G.; Laakso, H.; Mabaso, D.; Tiitta, P.; Josipovic, M.; Kulmala, M.; Pienaar, J.J.; et al. An air quality assessment in the industrialised western Bushveld Igneous Complex, South Africa. S. Afr. J. Sci. 2012, 108, 10. [Google Scholar] [CrossRef]
- Graedel, T.E.; Hawkins, D.T.; Claxton, L.D. Atmospheric Chemical Compounds: Sources, Occurrence and Bioassay; Academic Press: Orlando, FL, USA, 1986; pp. 383–435. [Google Scholar]
- Cornell, S.; Jickells, T.; Cape, J.N.; Rowland, A.; Duce, R. Organic nitrogen deposition on land and coastal environments: A review of methods and data. Atmos. Environ. 2003, 37, 2173–2191. [Google Scholar] [CrossRef]
- Cornell, S.E.; Jickells, T.D.; Thornton, C.A. Urea in rainwater and atmospheric aerosol. Atmos. Environ. 1998, 32, 1903–1910. [Google Scholar] [CrossRef]
- Cornell, S.; Mace, K.; Coeppicus, S.; Duce, R.; Huebert, B.; Jickells, T.; Zhuang, L.-Z. Organic nitrogen in Hawaiian rain and aerosol. J. Geophys. Res. Atmos. 2001, 106, 7973–7983. [Google Scholar] [CrossRef]
- Bala, S.; Kamboj, S.; Kajal, A.; Vipin Saini, V.; Prasad, D.N. 1,3,4-Oxadiazole Derivatives: Synthesis, Characterization, Antimicrobial Potential, and Computational Studies. BioMed Res. Int. 2014, 172791. [Google Scholar] [CrossRef]
- Relvas, H.; Lopes, M.; Coutinho, M. Portuguese inventory of dioxins and furans atmospheric emissions. Chemosphere 2013, 93, 1569–1577. [Google Scholar] [CrossRef]
- Ma, Y.; Hays, M.D. Thermal extraction-two-dimensional gas chromatography-mass spectrometry with heart-cutting for nitrogen heterocyclic in biomass burning aerosols. J. Chromatogr. A 2008, 1200, 228–234. [Google Scholar] [CrossRef]
- Forbes, P.B.C. Particle emissions from household fires in South Africa. Published in Air Pollution XX. WIT Trans. Ecol. Environ. 2012, 157, 445–456. [Google Scholar]
- Atkinson, M.J. Rates of phosphate uptake by coral reef flat communities. Limnol. Oceanogr. 1987, 32, 426–435. [Google Scholar] [CrossRef]
- Zhang, Q.; Anastasio, C. Chemistry of fog waters in California’s Central Valley—Part 3: Concentrations and speciation of organic and inorganic nitrogen. Atmos. Environ. 2001, 35, 5629–5643. [Google Scholar] [CrossRef]
- Scheller, E. Amino acids in dew—Origin and seasonal variation. Atmos. Environ. 2001, 35, 2179–2192. [Google Scholar] [CrossRef]
- Zhang, Q.; Anastasio, C.; Jimenez-Cruz, M. Water-soluble organic nitrogen in atmospheric fine particles (PM2. 5) from northern California. J. Geophys. Res. Atmos. 2002, 107, 4112. [Google Scholar] [CrossRef]
- Mace, K.A.; Kubilay, N.; Duce, R.A. Organic nitrogen in rain and aerosol in the eastern Mediterranean atmosphere: An association with atmospheric dust. J. Geophys. Res. Atmos. 2003, 108, 4320. [Google Scholar] [CrossRef]
- Ding, Y.; Cui, W.; Cui, W.; Eatough, D.J. Fine particulate N-nitroso and nitrite organic compounds in the atmosphere. Appl. Occup. Environ. Hyg. 1998, 13, 432–438. [Google Scholar] [CrossRef]
- Ding, Y.; Lee, M.L.; Eatough, D.J. The determination of total nitrite and N-nitroso compounds in atmospheric samples. Int. J. Environ. Anal. Chem. 1998, 69, 243–255. [Google Scholar] [CrossRef]
- Wexler, P. Encyclopaedia of Toxicology, 2nd ed.; Academic Press: Orlando, FL, USA, 2005. [Google Scholar]
- Laskin, A.; Laskin, J.; Nizkorodov, S.A. Chemistry of atmospheric brown carbon. Chem. Rev. 2015, 115, 4335–4382. [Google Scholar] [CrossRef]
- Zhao, R.; Lee, A.K.Y.; Huang, L.; Li, X.; Yang, F.; Abbatt, J.P.D. Photochemical processing of aqueous atmospheric brown carbon. Atmos. Chem. Phys. 2015, 15, 6087–6100. [Google Scholar] [CrossRef]
- Kampf, C.J.; Filippi, A.; Zuth, C.; Hoffmann, T.; Opatz, T. Secondary brown carbon formation via the dicarbonyl imine pathway: Nitrogen heterocycle formation and synergistic effects. Phys. Chem. Chem. Phys. 2016, 18, 18353–18364. [Google Scholar] [CrossRef]
- Bernstein, J.A. Overview of diisocyanate occupational asthma. Toxicology 1996, 111, 181–189. [Google Scholar] [CrossRef]
- Redlich, C.A.; Karol, M.H. Diisocyanate asthma: Clinical aspects and immunopathogenesis. Int. Immunopharmacol. 2002, 2, 213–224. [Google Scholar] [CrossRef]
- Hu, Y.; Li, C.-Y.; Wang, X.-M.; Zhu, H.-L. ChemInform Abstract: 1,3,4-Thiadiazole. Synthesis, reactions and applications in medicinal, agricultural and materials chemistry. Chem. Rev. 2014, 114, 5572–5610. [Google Scholar] [CrossRef]





| Sample | Size | Amino Acids | Nitro | Nitroso | Imines | Cyanantes | Isocyanates | ||||||
|---|---|---|---|---|---|---|---|---|---|---|---|---|---|
| date | fraction | # | ∑NRRF | # | ∑NRRF | # | ∑NRRF | # | ∑NRRF | # | ∑NRRF | # | ∑NRRF |
| 12/04/11 | PM1 | 2 | 20.3 | ||||||||||
| PM2.5–1 | 1 | 12.4 | |||||||||||
| PM10–2.5 | 3 | 6.3 | |||||||||||
| 19/04/11 | PM1 | 1 | 2.2 | ||||||||||
| PM2.5–1 | 1 | 3.7 | |||||||||||
| 26/04/11 | PM1 | 2 | 0.1 | 1 | 0.7 | ||||||||
| PM2.5–1 | 1 | 1.8 | |||||||||||
| PM10–2.5 | 1 | 0.1 | |||||||||||
| 17/05/11 | PM2.5–1 | 1 | 3.9 | ||||||||||
| 24/05/11 | PM1 | 1 | 2.6 | ||||||||||
| PM10–2.5 | 1 | 48.1 | |||||||||||
| 31/05/11 | PM10–2.5 | 1 | 22.7 | ||||||||||
| 07/06/11 | PM1 | 1 | <0.1 | 1 | 1.6 | ||||||||
| PM2.5–1 | 1 | 1.0 | |||||||||||
| 28/06/11 | PM10–2.5 | 1 | 3.5 | ||||||||||
| 05/07/11 | PM10–2.5 | 1 | 0.1 | ||||||||||
| 12/07/11 | PM1 | 1 | 2.0 | 1 | 0.1 | 1 | 0.4 | ||||||
| PM2.5–1 | 1 | 48.9 | |||||||||||
| 19/07/11 | PM1 | 1 | 6.4 | ||||||||||
| PM2.5–1 | 1 | 30.9 | |||||||||||
| PM10–2.5 | 1 | 2.4 | |||||||||||
| 26/07/11 | PM10–2.5 | 1 | 1.6 | ||||||||||
| 02/08/11 | PM2.5–1 | 1 | 0.4 | ||||||||||
| 16/08/11 | PM1 | 1 | 0.5 | ||||||||||
| PM2.5–1 | 1 | 0.5 | |||||||||||
| 23/08/11 | PM1 | 1 | 5.0 | 1 | 1.1 | ||||||||
| 30/08/11 | PM2.5–1 | 1 | 1.6 | ||||||||||
| PM10–2.5 | 1 | <0.1 | |||||||||||
| 11/10/11 | PM2.5–1 | 1 | 0.2 | ||||||||||
| 18/10/11 | PM1 | 1 | 0.4 | ||||||||||
| 08/11/11 | PM1 | 1 | 0.1 | ||||||||||
| 29/11/11 | PM2.5–1 | 1 | 0.9 | ||||||||||
| PM10–2.5 | 1 | 0.5 | |||||||||||
| 20/12/11 | PM1 | 1 | 0.1 | 1 | 0.6 | ||||||||
| 10/01/12 | PM2.5–1 | 1 | 1.6 | ||||||||||
| 17/01/12 | PM1 | 1 | 38.5 | ||||||||||
| PM10–2.5 | 1 | 0.4 | |||||||||||
| 24/01/12 | PM1 | 1 | 0.3 | ||||||||||
| 31/01/12 | PM1 | 1 | 0.4 | ||||||||||
| 21/02/12 | PM2.5–1 | 1 | 1.7 | ||||||||||
| PM10–2.5 | 1 | 2.9 | |||||||||||
| 28/02/12 | PM1 | 1 | 0.2 | ||||||||||
| PM10–2.5 | 1 | 4.3 | 1 | 0.2 | |||||||||
| 13/03/12 | PM2.5–1 | 1 | 1.3 | ||||||||||
| 20/03/12 | PM2.5–12.5–1 | 1 | 1.9 | ||||||||||
| 27/03/12 | PM10–2.5 | 1 | 2.2 | ||||||||||
| 03/04/12 | PM10–2.5 | 1 | 16.5 | 2 | 2.0 | ||||||||
© 2019 by the authors. Licensee MDPI, Basel, Switzerland. This article is an open access article distributed under the terms and conditions of the Creative Commons Attribution (CC BY) license (http://creativecommons.org/licenses/by/4.0/).
Share and Cite
Booyens, W.; Van Zyl, P.G.; Beukes, J.P.; Ruiz-Jimenez, J.; Kopperi, M.; Riekkola, M.-L.; Vakkari, V.; Josipovic, M.; Kulmala, M.; Laakso, L. Characterising Particulate Organic Nitrogen at A Savannah-Grassland Region in South Africa. Atmosphere 2019, 10, 492. https://doi.org/10.3390/atmos10090492
Booyens W, Van Zyl PG, Beukes JP, Ruiz-Jimenez J, Kopperi M, Riekkola M-L, Vakkari V, Josipovic M, Kulmala M, Laakso L. Characterising Particulate Organic Nitrogen at A Savannah-Grassland Region in South Africa. Atmosphere. 2019; 10(9):492. https://doi.org/10.3390/atmos10090492
Chicago/Turabian StyleBooyens, Wanda, Pieter G. Van Zyl, Johan P. Beukes, Jose Ruiz-Jimenez, Matias Kopperi, Marja-Liisa Riekkola, Ville Vakkari, Miroslav Josipovic, Markku Kulmala, and Lauri Laakso. 2019. "Characterising Particulate Organic Nitrogen at A Savannah-Grassland Region in South Africa" Atmosphere 10, no. 9: 492. https://doi.org/10.3390/atmos10090492
APA StyleBooyens, W., Van Zyl, P. G., Beukes, J. P., Ruiz-Jimenez, J., Kopperi, M., Riekkola, M.-L., Vakkari, V., Josipovic, M., Kulmala, M., & Laakso, L. (2019). Characterising Particulate Organic Nitrogen at A Savannah-Grassland Region in South Africa. Atmosphere, 10(9), 492. https://doi.org/10.3390/atmos10090492

