Investigating the Molecular Genetic Basis of Cytoplasmic Sex Determination Caused by Wolbachia Endosymbionts in Terrestrial Isopods
Abstract
1. Introduction
2. Materials and Methods
2.1. Terrestrial Isopod Lines
2.2. wCon DNA Enrichment and Genome Sequencing
2.3. In Silico Classification of wVulC Genes
2.4. Expression of wVulC Candidate Genes throughout Host Sexual Development
2.5. Functional Annotation of Candidate Genes
2.6. Identification of Candidate Genes in the f Element
3. Results
3.1. Sequencing of wCon Wolbachia Genome
3.2. In Silico Determination of Candidate Genes
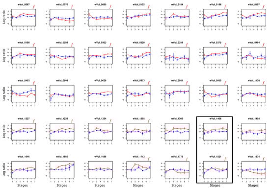
3.3. Candidate Gene Expression throughout Host Development
3.4. Prediction of General Function of wVulC Candidate Genes
- DNA binding: Smc (Structural Maintenance of Chromosomes) in wVul_0067, wVul_0085 and wVul_0375 that binds DNA and acts in organization and segregation of chromosomes for partition [69,70]; AAA (ATPases Associated with diverse cellular Activities) [71] in wVul_0375 that are involved in diverse cellular functions including DNA replication, gene expression and also vesicle-mediated transport and peroxisome assembly; p53 interaction protein in wVul_1775 that is responsible for DNA binding [72].
- Membranes: Mitofilin in wVul_0085 that is an inner membrane protein domain of mitochondria that controls cristae morphology [77,78]; IncA in wVul_1360 that is associated with homotypic fusion of inclusions in the obligate intracellular bacterium Chlamydia trachomatis [79]; OmpA-like superfamily in wVul_0359 that is an outer membran protein domain [80]; Trp in wVul_1408 and wVul_1775 that is a transient-receptor-potential calcium channel protein [81].
3.5. Presence of Candidate Genes in the f Element
4. Discussion
Supplementary Materials
Author Contributions
Funding
Acknowledgments
Conflicts of Interest
References
- Bachtrog, D.; Mank, J.E.; Peichel, C.L.; Kirkpatrick, M.; Otto, S.P.; Ashman, T.-L.; Hahn, M.W.; Kitano, J.; Mayrose, I.; Ming, R.; et al. Sex determination: Why so many ways of doing it? PLoS Biol. 2014, 12, e1001899. [Google Scholar] [CrossRef] [PubMed]
- Schwanz, L.E. The evolution of sex determination by Leo W. Beukeboom and Nicolas Perrin. Q. Rev. Biol. 2015, 90, 333–334. [Google Scholar] [CrossRef]
- Cordaux, R.; Bouchon, D.; Grève, P. The impact of endosymbionts on the evolution of host sex-determination mechanisms. Trends Genet. 2011, 27, 332–341. [Google Scholar] [CrossRef] [PubMed]
- Rigaud, T. Inherited microorganisms and sex determination of arthropod hosts. In Influential Passengers: Inherited Microorganisms and Arthropod Reproduction; O’Neill, S.L., Hoffmann, A.A., Werren, J.H., Eds.; Oxford University Press: Oxford, UK, 1997; pp. 81–101. [Google Scholar]
- Jahnke, M.; Smith, J.E.; Dubuffet, A.; Dunn, A.M. Effects of feminizing microsporidia on the masculinizing function of the androgenic gland in Gammarus duebeni. J. Invertebr. Pathol. 2013, 112, 146–151. [Google Scholar] [CrossRef] [PubMed]
- Werren, J.H.; Baldo, L.; Clark, M.E. Wolbachia: Master manipulators of invertebrate biology. Nat. Rev. Microbiol. 2008, 6, 741–751. [Google Scholar] [CrossRef] [PubMed]
- Zug, R.; Hammerstein, P. Still a host of hosts for Wolbachia: Analysis of recent data suggests that 40% of terrestrial arthropod species are infected. PLoS ONE 2012, 7, e38544. [Google Scholar] [CrossRef] [PubMed]
- Bouchon, D.; Cordaux, R.; Grève, P. Feminizing Wolbachia and the evolution of sex determination in isopods. In Insect Symbiosis; Bourtzis, K., Miller, T., Eds.; Taylor and Francis Group LLC: Boca Raton, FL, USA, 2008; Volume 3, pp. 273–294. [Google Scholar]
- Hiroki, M.; Kato, Y.; Kamito, T.; Miura, K. Feminization of genetic males by a symbiotic bacterium in a butterfly, Eurema hecabe (Lepidoptera: Pieridae). Naturwissenschaften 2002, 89, 167–170. [Google Scholar] [CrossRef] [PubMed]
- Negri, I.; Pellecchia, M.; Mazzoglio, P.J.; Patetta, A.; Alma, A. Feminizing Wolbachia in Zyginidia pullula (Insecta, Hemiptera), a leafhopper with an XX/X0 sex-determination system. Proc. Biol. Sci. 2006, 273, 2409–2416. [Google Scholar] [CrossRef] [PubMed]
- Cordaux, R.; Michel-Salzat, A.; Frelon-Raimond, M.; Rigaud, T.; Bouchon, D. Evidence for a new feminizing Wolbachia strain in the isopod Armadillidium vulgare: Evolutionary implications. Heredity 2004, 93, 78–84. [Google Scholar] [CrossRef] [PubMed]
- Martin, G.; Juchault, P.; Legrand, J.-J. Mise en évidence d’un micro-organisme intracytoplasmique symbiote de l’oniscoïde Armadillidium vulgare latr. dont la présence accompagne l’intersexualité ou la féminisation totale des mâles génétiques de la lignée thélygène. CR Acad Sci Paris Ser. D 1973, 276, 2313–2316. (In French) [Google Scholar]
- Rigaud, T.; Juchault, P.; Mocquard, J.P. Experimental study of temperature effects on the sex ratio of broods in Terrestrial Crustacea Armadillidium vulgare Latr. Possible implications in natural populations. J. Evol. Biol. 1991, 4, 603–617. [Google Scholar] [CrossRef]
- Juchault, P.; Legrand, J.-J. Croisement de néo-mâles experimentaux chez Armadillidium vulgare Latr. (Crustace, Isopode, Oniscoide). Mise en evidence d’une hétérogamétie femelle. CR Acad Sci Paris Ser. D 1972, 274, 1387–1389. (In French) [Google Scholar]
- Cordaux, R.; Gilbert, C. Evolutionary significance of Wolbachia-to-animal horizontal gene transfer: Female sex determination and the f element in the isopod Armadillidium vulgare. Genes 2017, 8, 186. [Google Scholar] [CrossRef] [PubMed]
- Leclercq, S.; Thézé, J.; Chebbi, M.A.; Giraud, I.; Moumen, B.; Ernenwein, L.; Grève, P.; Gilbert, C.; Cordaux, R. Birth of a W sex chromosome by horizontal transfer of Wolbachia bacterial symbiont genome. Proc. Natl. Acad. Sci. USA 2016, 113, 15036–15041. [Google Scholar] [CrossRef] [PubMed]
- Bhattacharya, T.; Newton, I.L. Mi Casa es Su Casa: How an intracellular symbiont manipulates host biology. Environ. Microbiol. 2017. [Google Scholar] [CrossRef] [PubMed]
- Al-Khodor, S.; Al-Quadan, T.; Abu Kwaik, Y. Temporal and differential regulation of expression of the eukaryotic-like ankyrin effectors of Legionella pneumophila. Environ. Microbiol. Rep. 2010, 2, 677–684. [Google Scholar] [CrossRef] [PubMed]
- Gavotte, L.; Henri, H.; Stouthamer, R.; Charif, D.; Charlat, S.; Boulétreau, M.; Vavre, F. A Survey of the bacteriophage WO in the endosymbiotic bacteria Wolbachia. Mol. Biol. Evol. 2007, 24, 427–435. [Google Scholar] [CrossRef] [PubMed]
- Kent, B.N.; Bordenstein, S.R. Phage WO of Wolbachia: Lambda of the endosymbiont world. Trends Microbiol. 2010, 18, 173–181. [Google Scholar] [CrossRef] [PubMed]
- Bordenstein, S.R.; Bordenstein, S.R. Eukaryotic association module in phage WO genomes from Wolbachia. Nat. Commun. 2016, 7, 13155. [Google Scholar] [CrossRef] [PubMed]
- Pan, X.; Lührmann, A.; Satoh, A.; Laskowski-Arce, M.A.; Roy, C.R. Ankyrin repeat proteins comprise a diverse family of bacterial type IV effectors. Science 2008, 320, 1651–1654. [Google Scholar] [CrossRef] [PubMed]
- Richards, A.M.; Von Dwingelo, J.E.; Price, C.T.; Abu Kwaik, Y. Cellular microbiology and molecular ecology of Legionella-amoeba interaction. Virulence 2013, 4, 307–314. [Google Scholar] [CrossRef] [PubMed]
- Lührmann, A.; Nogueira, C.V.; Carey, K.L.; Roy, C.R. Inhibition of pathogen-induced apoptosis by a Coxiella burnetii type IV effector protein. Proc. Natl. Acad. Sci. USA 2010, 107, 18997–19001. [Google Scholar] [CrossRef] [PubMed]
- Rikihisa, Y.; Lin, M. Anaplasma phagocytophilum and Ehrlichia chaffeensis type IV secretion and ANK proteins. Curr. Opin. Microbiol. 2010, 13, 59–66. [Google Scholar] [CrossRef] [PubMed]
- Papafotiou, G.; Oehler, S.; Savakis, C.; Bourtzis, K. Regulation of Wolbachia ankyrin domain encoding genes in Drosophila gonads. Res. Microbiol. 2011, 162, 764–772. [Google Scholar] [CrossRef] [PubMed]
- Duron, O.; Boureux, A.; Echaubard, P.; Berthomieu, A.; Berticat, C.; Fort, P.; Weill, M. Variability and expression of ankyrin domain genes in Wolbachia variants infecting the mosquito Culex pipiens. J. Bacteriol. 2007, 189, 4442–4448. [Google Scholar] [CrossRef] [PubMed]
- Sinkins, S.P.; Walker, T.; Lynd, A.R.; Steven, A.R.; Makepeace, B.L.; Godfray, H.C.J.; Parkhill, J. Wolbachia variability and host effects on crossing type in Culex mosquitoes. Nature 2005, 436, 257–260. [Google Scholar] [CrossRef] [PubMed]
- Walker, T.; Klasson, L.; Sebaihia, M.; Sanders, M.J.; Thomson, N.R.; Parkhill, J.; Sinkins, S.P. Ankyrin repeat domain-encoding genes in the wPip strain of Wolbachia from the Culex pipiens group. BMC Biol. 2007, 5, 39. [Google Scholar] [CrossRef] [PubMed]
- Pichon, S.; Bouchon, D.; Liu, C.; Chen, L.; Garrett, R.A.; Grève, P. The expression of one ankyrin PK2 allele of the WO prophage is correlated with the Wolbachia feminizing effect in isopods. BMC Microbiol. 2012, 12, 55. [Google Scholar] [CrossRef] [PubMed]
- Pichon, S.; Bouchon, D.; Cordaux, R.; Chen, L.; Garrett, R.A.; Grève, P. Conservation of the Type IV secretion system throughout Wolbachia evolution. Biochem. Biophys. Res. Commun. 2009, 385, 557–562. [Google Scholar] [CrossRef] [PubMed]
- Wu, M.; Sun, L.V.; Vamathevan, J.; Riegler, M.; Deboy, R.; Brownlie, J.C.; McGraw, E.A.; Martin, W.; Esser, C.; Ahmadinejad, N.; et al. Phylogenomics of the reproductive parasite Wolbachia pipientis wMel: A streamlined genome overrun by mobile genetic elements. PLoS Biol. 2004, 2, e69. [Google Scholar] [CrossRef] [PubMed]
- Foster, J.; Ganatra, M.; Kamal, I.; Ware, J.; Makarova, K.; Ivanova, N.; Bhattacharyya, A.; Kapatral, V.; Kumar, S.; Posfai, J.; et al. The Wolbachia genome of Brugia malayi: Endosymbiont evolution within a human pathogenic nematode. PLoS Biol. 2005, 3. [Google Scholar] [CrossRef] [PubMed]
- Félix, C.; Pichon, S.; Braquart-Varnier, C.; Braig, H.; Chen, L.; Garrett, R.A.; Martin, G.; Grève, P. Characterization and transcriptional analysis of two gene clusters for type IV secretion machinery in Wolbachia of Armadillidium vulgare. Res. Microbiol. 2008, 159, 481–485. [Google Scholar] [CrossRef] [PubMed]
- Beckmann, J.F.; Ronau, J.A.; Hochstrasser, M. A Wolbachia deubiquitylating enzyme induces cytoplasmic incompatibility. Nat. Microbiol. 2017, 2, 17007. [Google Scholar] [CrossRef] [PubMed]
- LePage, D.P.; Metcalf, J.A.; Bordenstein, S.R.; On, J.; Perlmutter, J.I.; Shropshire, J.D.; Layton, E.M.; Funkhouser-Jones, L.J.; Beckmann, J.F.; Bordenstein, S.R. Prophage WO genes recapitulate and enhance Wolbachia-induced cytoplasmic incompatibility. Nature 2017, 543, 243–247. [Google Scholar] [CrossRef] [PubMed]
- Bonneau, M.; Atyame, C.; Beji, M.; Justy, F.; Cohen-Gonsaud, M.; Sicard, M.; Weill, M. Culex pipiens crossing type diversity is governed by an amplified and polymorphic operon of Wolbachia. Nat. Commun. 2018, 9, 319. [Google Scholar] [CrossRef] [PubMed]
- Rice, D.W.; Sheehan, K.B.; Newton, I.L.G. Large-Scale Identification of Wolbachia pipientis Effectors. Genome Biol. Evol. 2017, 9, 1925–1937. [Google Scholar] [CrossRef] [PubMed]
- Moret, Y.; Juchault, P.; Rigaud, T. Wolbachia endosymbiont responsible for cytoplasmic incompatibility in a terrestrial crustacean: Effects in natural and foreign hosts. Heredity 2001, 86, 325–332. [Google Scholar] [CrossRef] [PubMed]
- Cordaux, R.; Pichon, S.; Hatira, H.B.A.; Doublet, V.; Grève, P.; Marcadé, I.; Braquart-Varnier, C.; Souty-Grosset, C.; Charfi-Cheikhrouha, F.; Bouchon, D. Widespread Wolbachia infection in terrestrial isopods and other crustaceans. ZooKeys 2012, 123–131. [Google Scholar] [CrossRef] [PubMed]
- Badawi, M.; Grève, P.; Cordaux, R. Feminization of the isopod Cylisticus convexus after transinfection of the wVulC Wolbachia Strain of Armadillidium vulgare. PLoS ONE 2015, 10, e0128660. [Google Scholar] [CrossRef] [PubMed]
- Bouchon, D.; Rigaud, T.; Juchault, P. Evidence for widespread Wolbachia infection in isopod crustaceans: Molecular identification and host feminization. Proc. Biol. Sci. 1998, 265, 1081–1090. [Google Scholar] [CrossRef] [PubMed]
- Le Clec’h, W.; Braquart-Varnier, C.; Raimond, M.; Ferdy, J.-B.; Bouchon, D.; Sicard, M. High virulence of Wolbachia after host switching: When autophagy hurts. PLoS Pathog. 2012, 8, e1002844. [Google Scholar] [CrossRef] [PubMed]
- Chandler, C.H.; Badawi, M.; Moumen, B.; Grève, P.; Cordaux, R. Multiple Conserved Heteroplasmic Sites in tRNA genes in the mitochondrial genomes of terrestrial isopods (Oniscidea). Genes Genomes Genet. 2015, 5, 1317–1322. [Google Scholar] [CrossRef] [PubMed]
- Darling, A.E.; Mau, B.; Perna, N.T. progressiveMauve: Multiple genome alignment with gene gain, loss and rearrangement. PLoS ONE 2010, 5, e11147. [Google Scholar] [CrossRef] [PubMed]
- Husemann, P.; Stoye, J. r2cat: Synteny plots and comparative assembly. Bioinformatics 2010, 26, 570–571. [Google Scholar] [CrossRef] [PubMed]
- Kent, W.J. BLAT—The BLAST-like alignment tool. Genome Res. 2002, 12, 656–664. [Google Scholar] [CrossRef] [PubMed]
- Seemann, T. PROKKA: Rapid prokaryotic genome annotation. Bioinformatics 2014, 30, 2068–2069. [Google Scholar] [CrossRef] [PubMed]
- Li, L.; Stoeckert, C.J.; Roos, D.S. OrthoMCL: Identification of ortholog groups for eukaryotic genomes. Genome Res. 2003, 13, 2178–2189. [Google Scholar] [CrossRef] [PubMed]
- Suzuki, S. Androgenic Gland Hormone Is a Sex-Reversing Factor but Cannot Be a Sex-Determining Factor in the Female Crustacean Isopods Armadillidium vulgare. Gen. Comp. Endocrinol. 1999, 115, 370–378. [Google Scholar] [CrossRef] [PubMed]
- Suzuki, S.; Yamasaki, K. Sexual bipotentiality of developing ovaries in the terrestrial isopod Armadillidium vulgare (Malacostraca, Crustacea). Gen. Comp. Endocrinol. 1997, 107, 136–146. [Google Scholar] [CrossRef] [PubMed]
- Suzuki, S.; Yamasaki, K. Sex reversal by implantations of ethanol-treated androgenic glands of female isopods, Armadillidium vulgare (Malacostraca, Crustacea). Gen. Comp. Endocrinol. 1998, 111, 367–375. [Google Scholar] [CrossRef] [PubMed]
- Pfaffl, M.W.; Tichopad, A.; Prgomet, C.; Neuvians, T.P. Determination of stable housekeeping genes, differentially regulated target genes and sample integrity: BestKeeper-Excel-based tool using pair-wise correlations. Biotechnol. Lett. 2004, 26, 509–515. [Google Scholar] [CrossRef] [PubMed]
- Zhao, S.; Fernald, R.D. Comprehensive algorithm for quantitative real-time polymerase chain reaction. J. Comput. Biol. 2005, 12, 1047–1064. [Google Scholar] [CrossRef] [PubMed]
- R Development CORE TEAM. R: A Language and Environment for Statistical Computing; R Foundation for Statistical Computing: Vienna, Austria, 2008. [Google Scholar]
- Finn, R.D.; Bateman, A.; Clements, J.; Coggill, P.; Eberhardt, R.Y.; Eddy, S.R.; Heger, A.; Hetherington, K.; Holm, L.; Mistry, J.; et al. Pfam: The protein families database. Nucleic Acids Res. 2014, 42, D222–D230. [Google Scholar] [CrossRef] [PubMed]
- Letunic, I.; Doerks, T.; Bork, P. SMART 7: Recent updates to the protein domain annotation resource. Nucleic Acids Res. 2012, 40, D302–D305. [Google Scholar] [CrossRef] [PubMed]
- Marchler-Bauer, A.; Zheng, C.; Chitsaz, F.; Derbyshire, M.K.; Geer, L.Y.; Geer, R.C.; Gonzales, N.R.; Gwadz, M.; Hurwitz, D.I.; Lanczycki, C.J.; et al. CDD: Conserved domains and protein three-dimensional structure. Nucleic Acids Res. 2013, 41, D348–D352. [Google Scholar] [CrossRef] [PubMed]
- Tatusov, R.L.; Galperin, M.Y.; Natale, D.A.; Koonin, E.V. The COG database: A tool for genome-scale analysis of protein functions and evolution. Nucleic Acids Res. 2000, 28, 33–36. [Google Scholar] [CrossRef] [PubMed]
- Tatusov, R.L.; Fedorova, N.D.; Jackson, J.D.; Jacobs, A.R.; Kiryutin, B.; Koonin, E.V.; Krylov, D.M.; Mazumder, R.; Mekhedov, S.L.; Nikolskaya, A.N.; et al. The COG database: An updated version includes eukaryotes. BMC Bioinform. 2003, 4, 41. [Google Scholar] [CrossRef] [PubMed]
- Petersen, T.N.; Brunak, S.; von Heijne, G.; Nielsen, H. SignalP 4.0: Discriminating signal peptides from transmembrane regions. Nat. Methods 2011, 8, 785–786. [Google Scholar] [CrossRef] [PubMed]
- Rubtsov, A.M.; Lopina, O.D. Ankyrins. FEBS Lett. 2000, 482, 1–5. [Google Scholar] [CrossRef]
- Mosavi, L.K.; Cammett, T.J.; Desrosiers, D.C.; Peng, Z.-Y. The ankyrin repeat as molecular architecture for protein recognition. Protein Sci. 2004, 13, 1435–1448. [Google Scholar] [CrossRef] [PubMed]
- Kajava, A.V. Structural diversity of leucine-rich repeat proteins. J. Mol. Biol. 1998, 277, 519–527. [Google Scholar] [CrossRef] [PubMed]
- Kobe, B.; Kajava, A.V. The leucine-rich repeat as a protein recognition motif. Curr. Opin. Struct. Biol. 2001, 11, 725–732. [Google Scholar] [CrossRef]
- Blatch, G.L.; Lässle, M. The tetratricopeptide repeat: A structural motif mediating protein-protein interactions. BioEssays 1999, 21, 932–939. [Google Scholar] [CrossRef]
- Walenta, J.H.; Didier, A.J.; Liu, X.; Krämer, H. The Golgi-Associated hook3 protein is a member of a novel family of microtubule-binding proteins. J. Cell Biol. 2001, 152, 923–934. [Google Scholar] [CrossRef] [PubMed]
- Kerres, A.; Vietmeier-Decker, C.; Ortiz, J.; Karig, I.; Beuter, C.; Hegemann, J.; Lechner, J.; Fleig, U. The fission yeast kinetochore component Spc7 associates with the EB1 family member Mal3 and is required for kinetochore-spindle association. Mol. Biol. Cell 2004, 15, 5255–5267. [Google Scholar] [CrossRef] [PubMed]
- Hirano, M.; Hirano, T. Hinge-mediated dimerization of SMC protein is essential for its dynamic interaction with DNA. EMBO J. 2002, 21, 5733–5744. [Google Scholar] [CrossRef] [PubMed]
- Jensen, R.B.; Shapiro, L. Cell-cycle-regulated expression and subcellular localization of the Caulobacter crescentus SMC Chromosome Structural Protein. J. Bacteriol. 2003, 185, 3068–3075. [Google Scholar] [CrossRef] [PubMed]
- Yu, R.C.; Hanson, P.I.; Jahn, R.; Brünger, A.T. Structure of the ATP-dependent oligomerization domain of N-ethylmaleimide sensitive factor complexed with ATP. Nat. Struct. Biol. 1998, 5, 803–811. [Google Scholar] [CrossRef] [PubMed]
- Gorina, S.; Pavletich, N.P. Structure of the p53 tumor suppressor bound to the ankyrin and SH3 domains of 53BP2. Science 1996, 274, 1001–1005. [Google Scholar] [CrossRef] [PubMed]
- Anthonsen, H.W.; Baptista, A.; Drabløs, F.; Martel, P.; Petersen, S.B.; Sebastião, M.; Vaz, L. Lipases and esterases: A review of their sequences, structure and evolution. Biotechnol. Annu. Rev. 1995, 1, 315–371. [Google Scholar] [PubMed]
- Wong, H.; Schotz, M.C. The lipase gene family. J. Lipid Res. 2002, 43, 993–999. [Google Scholar] [CrossRef] [PubMed]
- Nocek, B.P.; Gillner, D.M.; Fan, Y.; Holz, R.C.; Joachimiak, A. Structural basis for catalysis by the mono and dimetalated forms of the dapE-encoded N-succinyl-L,L-diaminopimelic acid desuccinylase. J. Mol. Biol. 2010, 397, 617–626. [Google Scholar] [CrossRef] [PubMed]
- Rowsell, S.; Pauptit, R.A.; Tucker, A.D.; Melton, R.G.; Blow, D.M.; Brick, P. Crystal structure of carboxypeptidase G2, a bacterial enzyme with applications in cancer therapy. Structure 1997, 5, 337–347. [Google Scholar] [CrossRef]
- John, G.B.; Shang, Y.; Li, L.; Renken, C.; Mannella, C.A.; Selker, J.M.L.; Rangell, L.; Bennett, M.J.; Zha, J. The mitochondrial inner membrane protein mitofilin controls cristae morphology. Mol. Biol. Cell 2005, 16, 1543–1554. [Google Scholar] [CrossRef] [PubMed]
- Odgren, P.R.; Toukatly, G.; Bangs, P.L.; Gilmore, R.; Fey, E.G. Molecular characterization of mitofilin (HMP), a mitochondria-associated protein with predicted coiled coil and intermembrane space targeting domains. J. Cell Sci. 1996, 109 Pt 9, 2253–2264. [Google Scholar] [PubMed]
- Fields, K.A.; Fischer, E.; Hackstadt, T. Inhibition of fusion of Chlamydia trachomatis inclusions at 32 degrees C correlates with restricted export of IncA. Infect. Immun. 2002, 70, 3816–3823. [Google Scholar] [CrossRef] [PubMed]
- Pautsch, A.; Schulz, G.E. Structure of the outer membrane protein a transmembrane domain. Nat. Struct. Biol. 1998, 5, 1013–1017. [Google Scholar] [CrossRef] [PubMed]
- Islam, M.S. (Ed.) Transient Receptor Potential Channels; Springer: Dordrecht, The Netherlands, 2011; ISBN 978-94-007-0264-6. [Google Scholar]
- Gutzwiller, F.; Carmo, C.R.; Miller, D.E.; Rice, D.W.; Newton, I.L.G.; Hawley, R.S.; Teixeira, L.; Bergman, C.M. Dynamics of Wolbachia pipientis gene expression across the Drosophila melanogaster life cycle. Genes Genomes Genet. 2015, 5, 2843–2856. [Google Scholar] [CrossRef] [PubMed]
- Dossi, F.C.A.; da Silva, E.P.; Cônsoli, F.L. Population dynamics and growth rates of endosymbionts during Diaphorina citri (Hemiptera, Liviidae) ontogeny. Microb. Ecol. 2014, 68, 881–889. [Google Scholar] [CrossRef] [PubMed]
- Fast, E.M.; Toomey, M.E.; Panaram, K.; Desjardins, D.; Kolaczyk, E.D.; Frydman, H.M. Wolbachia enhance Drosophila stem cell proliferation and target the germline stem cell niche. Science 2011, 334, 990–992. [Google Scholar] [CrossRef] [PubMed]
- Fenn, K.; Blaxter, M. Quantification of Wolbachia bacteria in Brugia malayi through the nematode lifecycle. Mol. Biochem. Parasitol. 2004, 137, 361–364. [Google Scholar] [CrossRef] [PubMed]
- Landmann, F.; Foster, J.M.; Slatko, B.; Sullivan, W. Asymmetric Wolbachia segregation during early Brugia malayi embryogenesis determines its distribution in adult host tissues. PLoS Negl. Trop. Dis. 2010, 4, e758. [Google Scholar] [CrossRef] [PubMed]
- Landmann, F.; Bain, O.; Martin, C.; Uni, S.; Taylor, M.J.; Sullivan, W. Both asymmetric mitotic segregation and cell-to-cell invasion are required for stable germline transmission of Wolbachia in filarial nematodes. Biol. Open 2012, 1, 536–547. [Google Scholar] [CrossRef] [PubMed]
- Landmann, F.; Foster, J.M.; Michalski, M.L.; Slatko, B.E.; Sullivan, W. Co-evolution between an endosymbiont and its nematode host: Wolbachia asymmetric posterior localization and AP polarity establishment. PLoS Negl. Trop. Dis. 2014, 8, e3096. [Google Scholar] [CrossRef] [PubMed]
- Creasey, E.A.; Isberg, R.R. Maintenance of vacuole integrity by bacterial pathogens. Curr. Opin. Microbiol. 2014, 17, 46–52. [Google Scholar] [CrossRef] [PubMed]
- Kumar, Y.; Valdivia, R.H. Leading a sheltered life: Intracellular pathogens and maintenance of vacuolar compartments. Cell Host Microbe 2009, 5, 593–601. [Google Scholar] [CrossRef] [PubMed]
- Juchault, P.; Legrand, J.-J. Modification de la sex ratio dans les croisements entre différentes populations du crustacé oniscoïde Armadllidium vulgare Latr. Notion de déterminisme polygénique et épigénétique du sexe. Arch. Zool. Exp. Gen. 1976, 1117, 81–93. (In French) [Google Scholar]
- Juchault, P.; Legrand, J.-J.; Martin, G. Action interspécifique du facteur épigénétique féminisant responsable de la thélygénie et de l’intersexualité du crustacé Armadillididium vulgare (Isopode Oniscoïde). Ann. Embryol. Morphog. 1974, 7, 265–276. (In French) [Google Scholar]
- Juchault, P.; Legrand, J.-J. Nature et action interspécifique du facteur épigénétique féminisant responsable d’une perturbation totale ou partielle de l’équilibre endocrinien contrôlant le phénotype sexuel du crustacé Armadillidium vulgare (Isopode Oniscoïde). Ann. Endocrinol. 1974, 35, 387–392. (In French) [Google Scholar]
- Becking, T.; Giraud, I.; Raimond, M.; Moumen, B.; Chandler, C.; Cordaux, R.; Gilbert, C. Diversity and evolution of sex determination systems in terrestrial isopods. Sci. Rep. 2017, 7, 1084. [Google Scholar] [CrossRef] [PubMed]


| Supergroup | B | B | B | B | A | A | A | C | D | F |
|---|---|---|---|---|---|---|---|---|---|---|
| Strain | wCon | wVulC | wNo | wPip-Pel | wMel | wRi | wHa | wOo | wBm | wCle |
| Host | Cylisticus convexus | Armadillidium vulgare | Drosophila simulans | Culex quinque-fasciatus | Drosophila melanogaster | Drosophila simulans | Drosophila simulans | Onchocerca ochengi | Brugia malayi | Cimex lectularius |
| Size (bp) | 2,109,518 | 1,663,741 | 1,301,823 | 1,482,455 | 1,267,782 | 1,445,873 | 1,295,804 | 957,990 | 1,080,084 | 1,250,060 |
| G + C% | 34.69 | 34.49 | 34.50 | 34.60 | 35.46 | 35.40 | 35.34 | 32.10 | 35.20 | 36.30 |
| Coding sequences | 2356 | 1888 | 1040 | 1275 | 1195 | 1150 | 1010 | 842 | 805 | 1216 |
| Coding base density | 0.78 | 0.83 | 0.80 | 0.86 | 0.94 | 0.80 | 0.78 | 0.67 | 0.75 | 0.75 |
| Gene average size | 702 | 725 | 1013 | 951 | 851 | 976 | 1000 | 757 | 899 | 771 |
| rRNA | 3 | 3 | 3 | 3 | 3 | 3 | 3 | 3 | 3 | 3 |
| tRNA | 35 | 35 | 34 | 34 | 34 | 34 | 34 | 34 | 34 | 34 |
| Pseudogenes | NA | 375 | 95 | 110 | 74 | 114 | 93 | 196 | 98 | 109 |
| Gene Number | Annotation | Brief Description |
|---|---|---|
| 67; 85; 375 | Smc | Chromosome Segregation |
| 375 | AAA | DNA breaks |
| 375 | Spc7 | Chromosome Segregation |
| 67 | Hook | N-term binding to microtubules |
| 85 | Mitofilin | Mitochondria inner membrane protein |
| 359 | OMPA-like | Surface |
| 1360 | IncA | Recruitment of lipids |
| 1408; 1775 | Trp | Transient receptor channels |
| 493 | LRR | Eukaryotic-like domain |
| 881 | TPR | Eukaryotic-like domain |
| 303; 1408; 1775 | ANK | Eukaryotic-like domain |
| 873 | Lipase | Hydrolizetriglycerides |
| 1408; 1454; 1775 | Peptidase/protease | Hydrolise peptide bonds |
| 1775 | p53 | Bind to DNA, eukaryotic-like domain |
© 2018 by the authors. Licensee MDPI, Basel, Switzerland. This article is an open access article distributed under the terms and conditions of the Creative Commons Attribution (CC BY) license (http://creativecommons.org/licenses/by/4.0/).
Share and Cite
Badawi, M.; Moumen, B.; Giraud, I.; Grève, P.; Cordaux, R. Investigating the Molecular Genetic Basis of Cytoplasmic Sex Determination Caused by Wolbachia Endosymbionts in Terrestrial Isopods. Genes 2018, 9, 290. https://doi.org/10.3390/genes9060290
Badawi M, Moumen B, Giraud I, Grève P, Cordaux R. Investigating the Molecular Genetic Basis of Cytoplasmic Sex Determination Caused by Wolbachia Endosymbionts in Terrestrial Isopods. Genes. 2018; 9(6):290. https://doi.org/10.3390/genes9060290
Chicago/Turabian StyleBadawi, Myriam, Bouziane Moumen, Isabelle Giraud, Pierre Grève, and Richard Cordaux. 2018. "Investigating the Molecular Genetic Basis of Cytoplasmic Sex Determination Caused by Wolbachia Endosymbionts in Terrestrial Isopods" Genes 9, no. 6: 290. https://doi.org/10.3390/genes9060290
APA StyleBadawi, M., Moumen, B., Giraud, I., Grève, P., & Cordaux, R. (2018). Investigating the Molecular Genetic Basis of Cytoplasmic Sex Determination Caused by Wolbachia Endosymbionts in Terrestrial Isopods. Genes, 9(6), 290. https://doi.org/10.3390/genes9060290

