Metagenomic Insights into the Enhancement of Bioavailable Nitrogen in Continuous Cropping Soil Through the Application of Traditional Chinese Medicine Residue Following Fumigation
Abstract
1. Introduction
2. Materials and Methods
2.1. Soil Sampling and Treatments
2.2. Soil Microcosm Experiments
2.3. Soil Nutrient Determination
2.4. DNA Extraction and High-Throughput Sequencing
2.5. Data Analyses
3. Results
3.1. Responses of Rhizospheric Soil Nutrients to TCMR Application
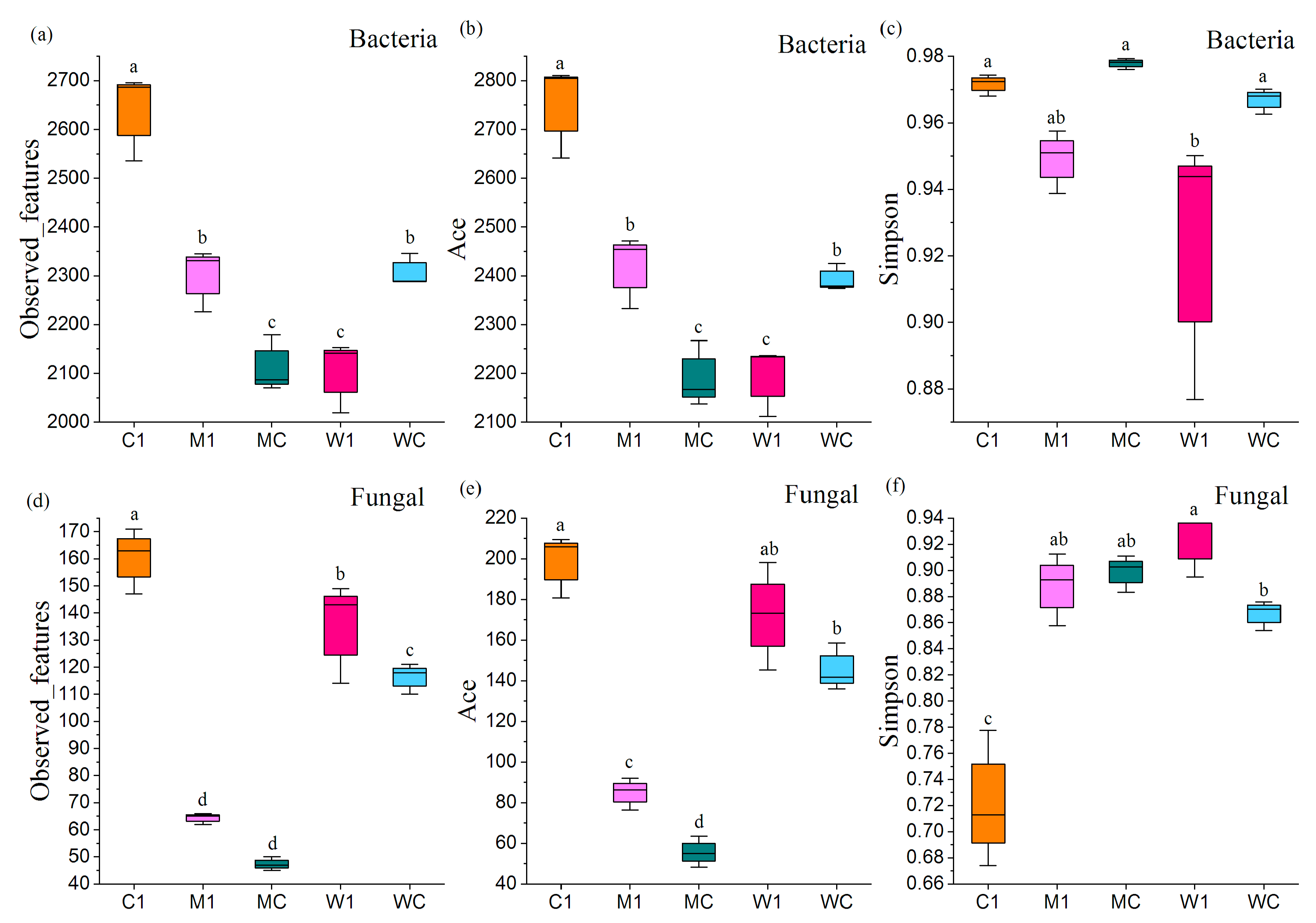
3.2. Responses of the Rhizosphere Microbial Community Composition and Diversity to TCMR Application
3.3. Relationships Among Rhizosphere Soil Nutrients, Keystone Species, and Community Building
3.4. Analysis of Nitrogen Metabolic Activity in Various Different Conditions
3.5. Responses of Functional Genes and Factors of Nitrogen Cycle in TCMR Application
4. Discussion
4.1. Response of the Microbial Community Construction to Added TCMR and Its Influencing Factors
4.2. Responses of Keystone Genes in the Nitrogen Cycle to Added TCMR and Their Correlations with the Microbial Community Structure
5. Conclusions
Author Contributions
Funding
Institutional Review Board Statement
Informed Consent Statement
Data Availability Statement
Acknowledgments
Conflicts of Interest
References
- Berendsen, R.L.; Pieterse, C.M.J.; Bakker, P.A.H.M. The rhizosphere microbiome and plant health. Trends Plant Sci. 2012, 17, 478–486. [Google Scholar] [CrossRef] [PubMed]
- Pervaiz, Z.H.; Iqbal, J.; Zhang, Q.; Chen, D.; Saleem, M. Continuous Cropping Alters Multiple Biotic and Abiotic Indicators of Soil Health. Soil Syst. 2020, 4, 59. [Google Scholar] [CrossRef]
- Avis, T.J.; Gravel, V.; Antoun, H.; Tweddell, R.J. Multifaceted beneficial effects of rhizosphere microorganisms on plant health and productivity. Soil Biol. Biochem. 2008, 40, 1733–1740. [Google Scholar] [CrossRef]
- Wang, Q.; Ma, Y.; Yang, H.; Chang, Z. Effect of biofumigation and chemical fumigation on soil microbial community structure and control of pepper Phytophthora blight. World J. Microbiol. Biotechnol. 2014, 30, 507–518. [Google Scholar] [CrossRef] [PubMed]
- Zhang, D.; Yan, D.; Cheng, H.; Fang, W.; Huang, B.; Wang, X.; Wang, X.; Yan, Y.-G.; Ouyang, C.; Li, Y.; et al. Effects of multi-year biofumigation on soil bacterial and fungal communities and strawberry yield. Environ. Pollut. 2019, 256, 113415. [Google Scholar] [CrossRef]
- Li, Q.; Zhang, D.; Song, Z.; Ren, L.; Jin, X.; Fang, W.; Yan, D.; Li, Y.; Wang, Q.; Cao, A. Organic fertilizer activates soil beneficial microorganisms to promote strawberry growth and soil health after fumigation. Environ. Pollut. 2022, 295, 118653. [Google Scholar] [CrossRef] [PubMed]
- Ma, J.; Chen, Y.; Zhao, Y.; Chen, D.; Wang, H. Effects of traditional Chinese medicine residue on plant growth and soil properties: A case study with maize (Zea mays L.). Environ. Sci. Pollut. Res. 2019, 26, 32880–32890. [Google Scholar] [CrossRef]
- Zhou, Y.; Selvam, A.; Wong, J.W.C. Chinese medicinal herbal residues as a bulking agent for food waste composting. Bioresour. Technol. 2017, 249, 182–188. [Google Scholar] [CrossRef]
- Lu, Q.; Li, C. Comprehensive utilization of Chinese medicine residues for industry and environment protection: Turning waste into treasure. J. Clean. Prod. 2020, 279, 123856. [Google Scholar] [CrossRef]
- Zhou, Y.; Selvam, A.; Wong, J.W.C. Evaluation of humic substances during co-composting of food waste, sawdust and Chinese medicinal herbal residues. Bioresour. Technol. 2014, 168, 229–234. [Google Scholar] [CrossRef] [PubMed]
- Ma, J.; Chen, Y.-p.; Wang, H.; Wu, J. Traditional Chinese medicine residue act as a better fertilizer for improving soil aggregation and crop yields than manure. Soil Tillage Res. 2019, 195, 104386. [Google Scholar] [CrossRef]
- Blagodatsky, S.; Kesik, M.; Papen, H.; Butterbach-Bahl, K. Production of NO and N2O by the Heterotrophic Nitrifier Alcaligenes faecalis parafaecalis under Varying Conditions of Oxygen Saturation. Geomicrobiol. J. 2006, 23, 165–176. [Google Scholar] [CrossRef]
- Kartal, B.; Maalcke, W.J.; De Almeida, N.M.; Cirpus, I.; Gloerich, J.; Geerts, W.; Op den Camp, H.J.; Harhangi, H.R.; Janssen-Megens, E.M.; Francoijs, K.J.; et al. Molecular mechanism of anaerobic ammonium oxidation. Nature 2011, 479, 127–130. [Google Scholar] [CrossRef] [PubMed]
- Bremner, J.M.; Mulvaney, C.S. Nitrogen—Total. In Methods of Soil Analysis; American Society of Agronomy, Inc.: Madison, WI, USA, 1982; pp. 595–624. [Google Scholar]
- Guseva, K.; Darcy, S.; Simon, E.; Alteio, L.V.; Montesinos-Navarro, A.; Kaiser, C. From diversity to complexity: Microbial networks in soils. Soil Biol. Biochem. 2022, 169, 108604. [Google Scholar] [CrossRef] [PubMed]
- Li, M.; Wei, Y.; Yin, Y.; Ding, H.; Zhu, W.; Zhou, Y. The Effect of Intercropping Mulberry (Morus alba L.) with Peanut (Arachis hypogaea L.), on the Soil Rhizosphere Microbial Community. Forests 2022, 13, 1757. [Google Scholar] [CrossRef]
- Castellano-Hinojosa, A.; Karlsen-Ayala, E.; Boyd, N.S.; Strauss, S.L. Impact of repeated fumigant applications on soil properties, crop yield, and microbial communities in a plastic-mulched tomato production system. Sci. Total Environ. 2024, 919, 170659. [Google Scholar] [CrossRef] [PubMed]
- Fang, W.; Huang, B.; Sun, Y.; Yan, D.; Li, Y.; Bruno, T.; Roncada, P.; Wang, Q.; Cao, A. Soil amendments promoting nitrifying bacteria recovery faster than the denitrifying bacteria at post soil fumigation. Sci. Total Environ. 2024, 908, 168041. [Google Scholar] [CrossRef] [PubMed]
- Zhu, F.; Xiao, J.; Zhang, Y.; Wei, L.; Liang, Z. Dazomet application suppressed watermelon wilt by the altered soil microbial community. Sci. Rep. 2020, 10, 21668. [Google Scholar] [CrossRef]
- Banerjee, S.; Schlaeppi, K.; van der Heijden, M.G. Keystone taxa as drivers of microbiome structure and functioning. Nat. Rev. Microbiol. 2018, 16, 567–576. [Google Scholar] [CrossRef]
- Song, L.; Yang, T.; Xia, S.; Yin, Z.; Liu, X.; Li, S.; Sun, R.; Gao, H.; Chu, H.; Ma, C. Soil depth exerts stronger impact on bacterial community than elevation in subtropical forests of Huangshan Mountain. Sci Total Environ. 2022, 852, 158438. [Google Scholar] [CrossRef] [PubMed]
- Naylor, D.; Fansler, S.; Brislawn, C.; Nelson, W.C.; Hofmockel, K.S.; Jansson, J.K.; McClure, R. Deconstructing the Soil Microbiome into Reduced-Complexity Functional Modules. mBio 2020, 11, e01349-20. [Google Scholar] [CrossRef]
- Ouchene, R.; Intertaglia, L.; Zaatout, N.; Kecha, M.; Suzuki, M.T. Selective isolation, antimicrobial screening and phylogenetic diversity of marine actinomycetes derived from the Coast of Bejaia City (Algeria), a polluted and microbiologically unexplored environment. J. Appl. Microbiol. 2022, 132, 2870–2882. [Google Scholar] [CrossRef] [PubMed]
- Guo, Z.; Wan, S.; Hua, K.; Yin, Y.; Chu, H.; Wang, D.; Guo, X.-S. Fertilization regime has a greater effect on soil microbial community structure than crop rotation and growth stage in an agroecosystem. Appl. Soil Ecol. 2020, 149, 103510. [Google Scholar] [CrossRef]
- Wu, C.; Yan, B.; Wei, F.; Wang, H.; Gao, L.; Ma, H.; Liu, Q.-H.; Liu, Y.; Liu, G.; Wang, G. Long-term application of nitrogen and phosphorus fertilizers changes the process of community construction by affecting keystone species of crop rhizosphere microorganisms. Sci. Total Environ. 2023, 897, 165239. [Google Scholar] [CrossRef]
- Mykrä, H.; Tolkkinen, M.; Heino, J. Environmental degradation results in contrasting changes in the assembly processes of stream bacterial and fungal communities. Oikos 2017, 126, 1291–1298. [Google Scholar] [CrossRef]
- Cheng, L.; Booker, F.L.; Tu, C.; Burkey, K.O.; Zhou, L.; Shew, H.D.; Rufty, T.W.; Hu, S. Arbuscular Mycorrhizal Fungi Increase Organic Carbon Decomposition Under Elevated CO2. Science 2012, 337, 1084–1087. [Google Scholar] [CrossRef] [PubMed]
- Schweigert, M.; Herrmann, S.; Miltner, A.; Fester, T.; Kästner, M. Fate of ectomycorrhizal fungal biomass in a soil bioreactor system and its contribution to soil organic matter formation. Soil Biol. Biochem. 2015, 88, 120–127. [Google Scholar] [CrossRef]
- Jiao, S.; Chu, H.; Zhang, B.; Wei, X.; Chen, W.; Wei, G. Linking soil fungi to bacterial community assembly in arid ecosystems. iMeta 2022, 1, e2. [Google Scholar] [CrossRef]
- Krysenko, S.; Wohlleben, W. Polyamine and Ethanolamine Metabolism in Bacteria as an Important Component of Nitrogen Assimilation for Survival and Pathogenicity. Med. Sci 2022, 10, 40. [Google Scholar] [CrossRef] [PubMed]
- Luo, G.; Xue, C.; Jiang, Q.; Xiao, Y.; Zhang, F.; Guo, S.; Shen, Q.; Ling, N. Soil Carbon, Nitrogen, and Phosphorus Cycling Microbial Populations and Their Resistance to Global Change Depend on Soil C:N:P Stoichiometry. mSystems 2020, 5, e00162-20. [Google Scholar] [CrossRef] [PubMed]
- Yao, Q.; Li, Z.; Song, Y.; Wright, S.J.; Guo, X.; Tringe, S.G.; Tfaily, M.M.; Paša-Tolić, L.; Hazen, T.C.; Turner, B.L.; et al. Community proteogenomics reveals the systemic impact of phosphorus availability on microbial functions in tropical soil. Nat. Ecol. Evol. 2018, 2, 499–509. [Google Scholar] [CrossRef]
- Wang, X.; Chi, Y.; Song, S. Important soil microbiota’s effects on plants and soils: A comprehensive 30-year systematic literature review. Front. Microbiol. 2024, 15, 1347745. [Google Scholar] [CrossRef] [PubMed]
- Liu, L.; Zheng, N.; Yu, Y.; Zheng, Z.; Yao, H. Soil carbon and nitrogen cycles driven by iron redox: A review. Sci. Total Environ. 2024, 918, 170660. [Google Scholar] [CrossRef]
- Meng, X.; Zhang, X.; Li, Y.; Jiao, Y.; Fan, L.; Jiang, Y.; Qu, C.; Filimonenko, E.; Jiang, Y.; Tian, X.; et al. Nitrogen fertilizer builds soil organic carbon under straw return mainly via microbial necromass formation. Soil Biol. Biochem. 2024, 188, 109223. [Google Scholar] [CrossRef]
- Fang, W.; Wang, X.; Huang, B.; Zhang, D.; Liu, J.; Zhu, J.; Yan, D.; Wang, Q.; Cao, A.; Han, Q. Comparative analysis of the effects of five soil fumigants on the abundance of denitrifying microbes and changes in bacterial community composition. Ecotoxicol. Environ. Saf. 2020, 187, 109850. [Google Scholar] [CrossRef] [PubMed]
- Pu, R.; Wang, P.; Guo, L.; Li, M.; Cui, X.; Wang, C.; Liu, Y.; Yang, Y. The remediation effects of microbial organic fertilizer on soil microorganisms after chloropicrin fumigation. Ecotoxicol. Environ. Saf. 2022, 231, 113188. [Google Scholar] [CrossRef]
- Maia, L.B.; Moura, J.J. How biology handles nitrite. Chem. Rev. 2014, 114, 5273–5357. [Google Scholar] [CrossRef] [PubMed]
- Mandernack, K.W.; Mills, C.T.; Johnson, C.A.; Rahn, T.; Kinney, C. The δ15N and δ18O values of N2O produced during the co-oxidation of ammonia by methanotrophic bacteria. Chem. Geol. 2009, 267, 96–107. [Google Scholar] [CrossRef]
- Butala, N.S.; Falkinham, J.O. Nitrate and nitrite reductase activities of Mycobacterium avium. Int. J. Mycobacteriol. 2018, 7, 328–331. [Google Scholar] [CrossRef] [PubMed]
- Wang, Z.; Su, J.; Ali, A.; Gao, Z.; Zhang, R.; Li, Y.; Yang, W. Microbially induced calcium precipitation driven by denitrification: Performance, metabolites, and molecular mechanisms. J. Environ. Manag. 2023, 338, 117826. [Google Scholar] [CrossRef] [PubMed]
- Ma, L.; Gao, W.; Luan, H.-A.; Tang, J.-W.; Li, M.-Y.; Huang, S.-W. Effects of partial substitution of chemical fertilizer with manure and/or straw on the abundance of functional genes related to soil N-cycling. J. Plant Nutr. Fertil. 2021, 27, 1767–1778. [Google Scholar]
- Li, P.-P.; Zhang, S.-Q.; Li, F.; Zhang, Y.-T.; Han, Y.-L. Long term combined fertilization and soil aggregate size on the denitrification and community of denitrifiers. Appl. Soil Ecol. 2020, 156, 103718. [Google Scholar] [CrossRef]
- Sheng, R.; Meng, D.; Wu, M.; Di, H.; Qin, H.; Wei, W. Effect of agricultural land use change on community composition of bacteria and ammonia oxidizers. J. Soils Sediments 2013, 13, 1246–1256. [Google Scholar] [CrossRef]
- He, M.; Dijkstra, F.A. Phosphorus addition enhances loss of nitrogen in a phosphorus-poor soil. Soil Biol. Biochem. 2015, 82, 99–106. [Google Scholar] [CrossRef]






| Treatment | pH | SWC/(%) | SOM/ (g·kg−1) | TN/ (g·kg−1) | TP/ (g·kg−1) | AP/ (g·kg−1) |
|---|---|---|---|---|---|---|
| CK | 6.54a | 18.62a | 42.98 ± 1.51a | 0.96 ± 0.03a | 0.18 ± 0.01a | 2.40 ± 0.01a |
| C1 | 7.13a | 19.86a | 41.53 ± 0.88a | 1.12 ± 0.06b | 0.37 ± 0.18b | 4.54 ± 0.18b |
| M1 | 7.1a | 25.66a | 37.91 ± 2.50b | 1.03 ± 0.11a | 0.37 ± 0.18b | 5.20 ± 0.28c |
| MC | 7.35a | 23.04a | 46.42 ± 0.92c | 1.17 ± 0.08b | 0.48 ± 0.10b | 3.88 ± 0.45b |
| W1 | 7.1a | 20.56a | 35.94 ± 0.13d | 1.10 ± 0.02a | 0.70 ± 0.16c | 2.74 ± 0.56a |
| WC | 7.4a | 21.46a | 35.48 ± 0.92d | 1.18 ± 0.01b | 0.86 ± 0.10d | 4.97 ± 0.29b |
| Treatment | NO3−-N/(mg·kg−1) | NH4+-N/(mg·kg−1) | Urease/ (μg·g−1·d−1) | Catalase/(U·g−1) | Sucrase/ (mg·g−1·d−1) | Neutral phosphatase/(μmoL·g−1·d−1) |
| CK | 15.31 ± 0.16a | 2.34 ± 0.15a | 1354.32 ± 5.11a | 36.23 ± 0.12a | 29.52 ± 0.08a | 1.96 ± 0.02a |
| C1 | 19.42 ± 0.05b | 1.98 ± 0.25b | 1537.62 ± 5.78b | 37.04 ± 0.11a | 33.72 ± 0.10b | 2.17 ± 0.03b |
| M1 | 20.32 ± 0.18b | 1.93 ± 0.08b | 1146.99 ± 2.47c | 26.32 ± 0.09b | 23.16 ± 0.12c | 1.55 ± 0.01c |
| MC | 25.31 ± 0.14c | 1.67 ± 0.17c | 1898.11 ± 3.08d | 30.63 ± 0.13c | 29.14 ± 0.17a | 1.93 ± 0.02a |
| W1 | 19.90 ± 0.16b | 1.84 ± 0.10b | 1214.76 ± 2.49d | 26.69 ± 0.04b | 21.34 ± 0.06c | 1.46 ± 0.01d |
| WC | 23.58 ± 0.21d | 1.73 ± 0.11c | 1781.55 ± 9.00d | 28.75 ± 0.07d | 28.46 ± 0.08a | 1.87 ± 0.03a |
Disclaimer/Publisher’s Note: The statements, opinions and data contained in all publications are solely those of the individual author(s) and contributor(s) and not of MDPI and/or the editor(s). MDPI and/or the editor(s) disclaim responsibility for any injury to people or property resulting from any ideas, methods, instructions or products referred to in the content. |
© 2024 by the authors. Licensee MDPI, Basel, Switzerland. This article is an open access article distributed under the terms and conditions of the Creative Commons Attribution (CC BY) license (https://creativecommons.org/licenses/by/4.0/).
Share and Cite
Xu, X.; Gao, X.; Gui, C.; Wang, H.; Liu, X.; Wu, G. Metagenomic Insights into the Enhancement of Bioavailable Nitrogen in Continuous Cropping Soil Through the Application of Traditional Chinese Medicine Residue Following Fumigation. Genes 2024, 15, 1532. https://doi.org/10.3390/genes15121532
Xu X, Gao X, Gui C, Wang H, Liu X, Wu G. Metagenomic Insights into the Enhancement of Bioavailable Nitrogen in Continuous Cropping Soil Through the Application of Traditional Chinese Medicine Residue Following Fumigation. Genes. 2024; 15(12):1532. https://doi.org/10.3390/genes15121532
Chicago/Turabian StyleXu, Xiangqin, Xi Gao, Chen Gui, Hang Wang, Xiaowen Liu, and Guoxing Wu. 2024. "Metagenomic Insights into the Enhancement of Bioavailable Nitrogen in Continuous Cropping Soil Through the Application of Traditional Chinese Medicine Residue Following Fumigation" Genes 15, no. 12: 1532. https://doi.org/10.3390/genes15121532
APA StyleXu, X., Gao, X., Gui, C., Wang, H., Liu, X., & Wu, G. (2024). Metagenomic Insights into the Enhancement of Bioavailable Nitrogen in Continuous Cropping Soil Through the Application of Traditional Chinese Medicine Residue Following Fumigation. Genes, 15(12), 1532. https://doi.org/10.3390/genes15121532

