Abstract
Astragalus sinicus is an important winter-growing cover crop. It is widely utilized, not only as a cover crop for its benefits in fertilizing the soil but also as a landscape ground cover plant. Anthocyanins are involved in the pigmentation of plants in leaves and flowers, which is a crucial characteristic trait for A. sinicus. The formation of anthocyanins depends significantly on the enzyme chalcone isomerase (CHI). However, research on the CHI gene of A. sinicus remains unexplored. The rapid amplification of cDNA ends (RACE) approach was used in this research to clone the CHI sequence from A. sinicus (AsiCHI). The expression profiles of the AsiCHI gene in multiple tissues of A. sinicus were subsequently examined by qRT-PCR (Quantitative Real-Time PCR). Furthermore, the function of the AsiCHI was identified by the performance of ectopic expression in Arabidopsis (Arabidopsis thaliana). The outcomes revealed that the full-length cDNA of the AsiCHI gene (GeneBank: OQ870547) measured 972 bp in length and included an open reading frame of 660 bp. The encoded protein contains 219 amino acids with a molecular weight of 24.14 kDa and a theoretical isoelectric point of 5.11. In addition, the remarkable similarity between the AsiCHI protein and the CHI proteins of other Astragalus species was demonstrated by the sequence alignment and phylogenetic analysis. Moreover, the highest expression level of AsiCHI was observed in leaves and showed a positive correlation with anthocyanin content. The functional analysis further revealed that the overexpression of AsiCHI enhanced the anthocyanidin accumulation in the transgenic lines. This study provided a better understanding of AsiCHI and elucidated its role in anthocyanin production.
1. Introduction
Anthocyanins, a category of water-soluble pigment, are generated through a branch of the flavonoid pathway and are responsible for the majority of the red, blue, and purple colors seen in plant leaves, fruits, and flowers [1,2]. Besides their role in promoting visual aesthetic appeal in natural and managed landscapes, anthocyanins also protect plants from a range of stresses, such as UV radiation, temperature fluctuations, insects, herbivores, and fungal infections [3,4]. In addition, anthocyanins show many medicinal values regarding human health benefits, especially in preventing cardiovascular diseases, promoting night vision, and alleviating oncogenicity [5,6]. Anthocyanins’ complex features underline their importance in both plant physiology and human health, making them a subject of substantial scientific interest and research.
Chalcone isomerase (CHI) is an enzyme that plays an important role in the synthesis of flavonoids, including proanthocyanidins and anthocyanins [7]. CHI, the second rate-limiting enzyme in the flavonoid pathway, is involved in a range of plant growth, stress, and defense responses. It catalyzes the intramolecular cyclization process, transforming the bicyclic chalcone into tricyclic (2S)-flavanone, which is the exclusive substrate for downstream enzymes [8]. Previous research has shown that mutations with a deletion of the CHI gene can result in a considerable drop in the number of anthocyanins generated, and the expression level of CHI genes can significantly impact anthocyanin accumulation. [9]. For example, in Petunia hybrida, the low CHI expression levels in white petals reduced pelargonidin (PelC) production. In contrast, high expression levels of CHI and anthocyanin production were observed in red petals [10]. Furthermore, the CHI gene in G. biloba L. was transformed into E. coli, and the activity of CHI showed a strong correlation with the flavonoid content [11]. Additionally, novel CmCHI genes from Clivia miniata were discovered, which were shown to be strongly expressed in anthocyanin-accumulating tissues [12]. Moreover, CHI co-expression may also have a profound influence on the deposition of flavonoids [13]. Co-expression of two transcription factors, the Delilah (Del)/Rosea1 (Ros1) gene and the CHI gene, in tomato plants resulted in considerably higher anthocyanin content compared to all transgenic tomatoes containing only CHI or Del/Ros1 [14]. Thus, genetic manipulation of CHI expression is a promising approach for modulating flavonoid/anthocyanin content in plants.
Chinese milk vetch, also known as A. sinicus, is a winter cover crop that has been extensively employed in regions with temperate climates, including southern China, Korea, and Japan [15]. In addition, A. sinicus serves as a landscape ground cover plant for the sea of flowers, fodder for animals, a source of honey for bees, and an important Chinese traditional herb [16]. As a leguminous cover crop, A. sinicus plays a significant role in biological nitrogen fixation, thereby contributing to nitrogen input in cropping systems [17,18]. Rotation of A. sinicus during fallow periods can effectively exploit natural resources such as light, water, and heat, leading to sustainable improvements in agroecosystems [15]. However, the scarcity of phosphorus (P) frequently limits the ability to fix nitrogen [19,20]. Anthocyanin content is an indicator in plants, as A. sinicus cultivars with higher anthocyanin content are more tolerant to low-P stress [21,22]. Moreover, anthocyanins are involved in the pigmentation of leaves and flowers [22], which is an important trait for A. sinicus as a landscape ground cover plant. Hence, it is essential to reveal the pathway involved in the production of anthocyanin in A. sinicus.
This article presents the initial report on the cloning and characterization of a novel chalcone isomerase gene obtained from A. sinicus. The cDNA of chalcone isomerase in A. sinicus was successfully isolated. Indeed, a comprehensive analysis was carried out to examine the expression pattern of the AsiCHI gene across various tissues of A. sinicus. In addition, the role of the AsiCHI gene in anthocyanin biosynthesis was identified through the overexpressed lines of Arabidopsis. The findings suggested that AsiCHI may be crucial in boosting the A. sinicus plant’s ability to produce anthocyanins. It provides a scientific basis for further studies on the molecular biological function of the anthocyanin biosynthesis pathway in A. sinicus.
2. Materials and Methods
2.1. Plant Materials
The selected white petal A. sinicus population was meticulously cultivated in the greenhouse of the Zhe Jiang Academy of Agricultural Sciences, Hang Zhou, Zhe Jiang, China. The transgenic Arabidopsis plants were maintained in a controlled environment (25 °C, 16 h light/8 h dark) until harvesting. Fresh and clean Arabidopsis seedlings and plant tissues of A. sinicus, such as stems, flowers, flower buds, leaves, and roots, were sampled with three biological repeats, respectively, for evaluating relative gene expression and anthocyanin content. Upon collection, the samples were promptly submerged in liquid nitrogen and subsequently stored at a temperature of −80 °C for future utilization.
2.2. Extraction of Total RNA and Genomic DNA
Genomic DNA and total RNA were extracted from plant tissues with the Super Plant Genomic DNA Kit (Tiangen Biotech, Beijing, China) and the FastPure Universal Plant Total RNA Isolation Kit (Vazyme, Nanjing, China), following the manufacturer’s instructions. Spectrophotometer analysis and agarose gel electrophoresis were then implemented to evaluate the quality and concentration of the isolated DNA and RNA.
2.3. Cloning of CHI and Bioinformatics Analyses
Transcriptome analysis was conducted to obtain genes in response to anthocyanin biosynthesis. One of the cDNA fragments was predicted to encode chalcone isomerase. Based on this sequence, gene-specific primers were created to amplify the full-length cDNA sequence of CHI from A. sinicus. 5′ and 3′ RACE PCR methods were applied to acquire the A. sinicus CHI. The first-strand cDNAs were synthesized from A. sinicus RNA and used as templates for both 5′ and 3′ end sequence cloning. According to the manufacturer’s instructions, the 3′-cDNA and 5′-cDNA were performed by GeneRacer Kit (Invitrogen, CA, USA). Then the full-length cDNA sequence was obtained by assembling the original cDNA fragment with its 5′ and 3′ cDNA ends. Primer data are listed in Table 1.
Table 1.
Primer information.
The NCBI website (www.ncbi.nlm.nih.gov, accessed on 6 April 2023) was leveraged to evaluate the nucleotide sequences, deduced amino acid sequences, open reading frame (ORF), and homologous sequences. The ProtParam software (http://web.expasy.org/protparam/, accessed on 6 April 2023) was employed to predict the physicochemical properties of CHI, which encompassed the determination of its amino acid sequence, relative molecular weight, and isoelectric point. The multiple alignments of CHI were aligned with ClustalX, and the phylogenetic tree was generated with 1000 bootstraps by MEGA 6.0. The protein sequence of A. sinicus L. Chalcone isomerase was compared with orthologous sequences from other representative species. The Genbank accession numbers are as follows: A. sinicus L. (OQ870547), Astragalus membranaceus (ATY39974.1), Astragalus mongholicus (ABA55017.2), Glycine max (Q53B70.1), Pueraria montana var. lobata (ADV71377.1), Pisum sativum (XP_050892596.1), Vigna unguiculata (QCE05742.1), and Medicago sativa (AAB41524.1).
2.4. Quantitative Real-Time PCR (qRT-PCR) and Determination of Anthocyanins Content
By using the FQD-48A(A4) real-time PCR detection system (BIOER, Hangzhou, China) and Power SYBR® Green PCR Master Mix, quantitative real-time PCR was performed to measure the degree of CHI gene expression across several A. sinicus tissues. The first-strand cDNAs were synthesized from A. sinicus RNA using Hifair® II 1st Strand cDNA Synthesis SuperMix for qPCR (Yeasen, Shanghai, China). Two specific primers were designed according to the sequence of AsiCHI (Table 1). The reference gene employed in this study was β-tubulin from A. sinicus (GeneBank: OR198065) Each qPCR reaction was conducted in a 20 μL total volume, comprising specific components including SYBR Premix Ex Taq, forward and reverse primers, cDNA template, and ddH2O. The thermal cycling conditions consisted of an initial step at 95 °C for 30 s, followed by 40 cycles of specific durations at 95 °C and 60 °C for 20 s. Three replicates of each reaction were carried out, and the 2−ΔΔCt method was applied for calculating the relative fold change of gene expression in qRT-PCR.
Six kinds of anthocyanins including Cyanidin (CC), Delphinidin (DC), Pelargonidin (PelC), Peonidin (PeoC), Petunidin (PT), and Malvidin (MV) in different A. sinicus tissues were identified and quantified by HPLC-MS/MS analysis, using the modified Wu et al. method [5].
2.5. Transformation and Phenotypic Analysis of Transgenic Arabidopsis
The transformation of Arabidopsis ecotype Columbia (Col-0) was performed using the floral dip method. After being inserted into the pCAMBIA1302 vector, the full-length AsiCHI cDNA was sequenced to ensure its accuracy. Seeds of different transgenic lines were placed on ½-strength MS medium, which contains 50 mg/L hygromycin. Then the hygromycin-resistant transgenic plants were tested by PCR analysis. Homozygous transgenic progeny lines were obtained for further experiments through the kanamycin-resistance test and PCR analysis.
The interrelationship between AsiCHI expression level and anthocyanin accumulation in the transgenic system was detected. Seedings of wild-type and transgenic Arabidopsis were harvested for qRT-PCR and anthocyanin content analysis, following the protocols described above.
2.6. Statistical Analysis
All of the above data were repeated in three biological replicates and analyzed using SPSS 26.0 (SPSS, Chicago, IL, USA).
3. Results
3.1. Full-Length Cloning of AsiCHI and Sequence Analysis
A CHI gene was first obtained from A. sinicus by the rapid amplification of cDNA ends (RACE) method and submitted to NCBI (accession number: OQ870547). The AsiCHI gene had a full length of 972 bp, with the 5′ and 3′ untranslated regions (UTR) of 131 bp and 181 bp, respectively. The gene contains an open reading frame (ORF) of 660 nucleotide sequences, which encodes a protein of 219 amino acids. The predicted molecular weight of the AsiCHI protein is 24.14 kDa with an isoelectric point (pI) of 5.11 (Table 2).
Table 2.
Comparison of AsiCHI and the orthologous proteins from other species.
3.2. Sequence Alignment and Phylogenetic Analysis of AsiCHI Protein
Sequence alignment analysis of the AsiCHI protein and ten sequences from well-characterized orthologous proteins from various species (Astragalus membranaceus, Astragalus mongholicus, Glycine max, Pueraria montana var. lobata, Pisum sativum, Vigna unguiculata, Medicago sativa) was performed using Clustal X 1.83. The several alignments demonstrated that A. sinicus and the examined sequences were exceptionally comparable, ranging from 59.72% to 82.65% (Table 2). The AsiCHI protein presented the highest similarity with Astragalus membranaceus (82.65%) and Astragalus mongholicus (82.19%) while exhibiting the lowest similarity with Medicago sativa (59.72%) (Table 2).
To further analyze the relationship between various proteins, protein sequences were aligned using the Mega X program to create a phylogenetic tree, and a bootstrap test with 1000 iterations was used to determine the tree’s credibility. The result revealed that A. sinicus, Astragalus membranaceus, and Astragalus mongholicus clustered closely together in the same branch due to their close evolutionary relationship (Figure 1). These genes’ placement in the phylogenetic tree was compatible with where they had evolved.
Figure 1.
The phylogenetic analyses of AsiCHI and CHIs from different plant species. The Genbank accession numbers are as follows: Astragalus sinicus (OQ870547), Astragalus membranaceus (ATY39974.1), Astragalus mongholicus (ABA55017.2), Glycine max (Q53B70.1), Pueraria montana var. lobata (ADV71377.1), Pisum sativum (XP_050892596.1), Vigna unguiculata (QCE05742.1), and Medicago sativa (AAB41524.1).
Additionally, the AsiCHI protein contained 13 active amino acid sites: Arg36, Gly37, Leu38, Phe47, Thr48, Ile50, Tyr106, Lys110, Val111, Asn113, Cys114, Thr190, and Met191. These amino acid residues are found to be highly conserved in all the CHI proteins analyzed in this study (Figure 2).
Figure 2.
Multiple sequence alignments of the amino acid sequence of CHI. Asterisk represents the active site of AsiCHI. The height of the pink bar under the residues represents the conservation of the respective residue. Other same colors represent the same base. The Genbank accession numbers are as follows: Astragalus sinicus (OQ870547), Astragalus membranaceus (ATY39974.1), Astragalus mongholicus (ABA55017.2), Glycine max (Q53B70.1), Pueraria montana var. lobata (ADV71377.1), Pisum sativum (XP_050892596.1), Vigna unguiculata (QCE05742.1), and Medicago sativa (AAB41524.1). *, p < 0.05; **, p < 0.01; ***, p < 0.001.
3.3. Gene Expression Profiles of AsiCHI by qRT-PCR
The AsiCHI transcriptional expression in different tissues (roots, stems, leaves, flower buds, and flowers) of A. sinicus was determined by qRT-PCR. The outcome proved that AsiCHI expression was identified in all tissues examined, with leaves expressing it at the highest level and flower buds at the lowest level (Figure 3). An extremely high expression level of the AsiCHI gene was observed in leaves, but no significant difference was found among the expression levels of roots, stems, flower buds, and flowers of A. sinicus.
Figure 3.
Relative Expression of AsiCHI gene in different tissues of A. sinicus. Data represent mean ± SD of three biological replicates. Means denoted by the same letter did not differ significantly at p < 0.05 according to Duncan’s multiple-range test. Vertical bars indicate the standard deviation of the mean. Roots ®, stems (S), leaves (L), flower buds (FB), and flowers (F).
3.4. The Content of Anthocyanidins
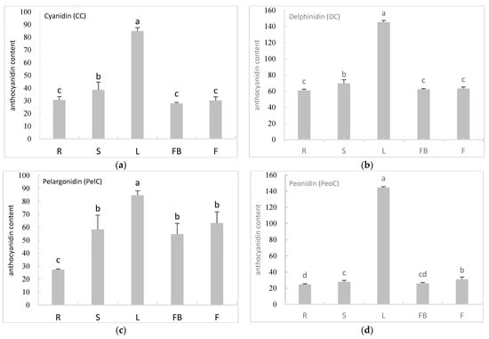
Anthocyanidins were isolated from a variety of A. sinicus tissues, including the roots, stems, leaves, flower buds, and flowers, in order to investigate the association between gene expression and anthocyanin synthesis in this plant. HPLC-MS/MS was used to detect the content of six anthocyanidins, including cyanidin (CC), delphinidin (DC), pelargonidin (PelC), peonidin (PeoC), petunidin (PT), and malvidin (MV). The results demonstrated that these six anthocyanidins were all detected in the tested tissues of A. sinicus. The examined anthocyanidins showed significantly higher accumulation in leaves compared to roots, stems, flower buds, and flower tissues. The total anthocyanidin content in leaves (689.75 μg/g) was about two to three times higher than in roots (211.97 μg/g), stems (268.69 μg/g), flower buds (241.68 μg/g), and flowers (263.29 μg/g) (Figure 4). The levels of AsiCHI expression were significantly positively correlated with anthocyanin concentration (Table 3).

Figure 4.
The concentration of six anthocyanidins in different tissues of A. sinicus. Data represent mean ± SD of three biological replicates. Means denoted by the same letter did not differ significantly at p < 0.05 according to Duncan’s multiple-range test. Vertical bars indicate the standard deviation of the mean. Roots (R), stems (S), leaves (L), flower buds (FB), and flowers (F). (a) The concentration of Cyanidin (CC). (b) The concentration of Delphinidin (DC). (c) The concentration of Pelargonidin (PelC). (d) The concentration of Peonidin (PeoC). (e) The concentration of Petunidin (PT). (f) The concentration of Malvidin (MV).
Table 3.
Correlation of anthocyanins content and AsiCHI gene relative expression level.
3.5. Anthocyanidins Analysis in Transgenic Arabidopsis
To examine the function of the AsiCHI gene in A. sinicus, the cDNA was overexpressed in Arabidopsis Col-0 (wild-type WT). Here, 55 independent homozygous transgenic lines were obtained through the kanamycin-resistance test and PCR analysis. The AsiCHI gene was expressed in transgenic lines but not detected in wild-type seedlings. In order to delve deeper into the impact of AsiCHI overexpression on anthocyanin production, the levels of anthocyanidins were quantitatively analyzed in both AsiCHI-overexpression transgenic lines and the wild-type using HPLC-MS/MS techniques. In accordance with the AsiCHI gene expression levels, the results illustrated that the contents of six anthocyanins in the AsiCHI-overexpression seedlings were significantly higher than those in the wild-type (Figure 5).
Figure 5.
The concentration of six anthocyanidins in AsiCHI-overexpression transgenic Arabidopsis lines (CHI) and wild-type (WT). Data represent mean ± SD of three biological replicates. Vertical bars indicate the standard deviation of the mean. Cyanidin (CC), Delphinidin (DC), Pelargonidin (PelC), peonidin (PeoC), petunidin (PT), and malvidin (MV).
4. Discussion
Anthocyanin is a flavonoid substance that serves a vital role in various biological functions, including color formation and stress response [23,24]. In addition to giving A. sinicus’ leaves and flowers their distinctive purple color, anthocyanin also protects plants from various stresses, such as low P-stress [21,22]. Due to its crucial biological functions, increasing the amount of anthocyanin and/or flavonoids in A. sinicus has been a significant research objective. However, anthocyanin metabolism was poorly understood in A. sinicus. The involvement of chalcone isomerase (CHI) in this context is of particular relevance since it is an indispensable enzyme in the generation of anthocyanins/flavonoids and the second rate-limiting enzyme in their biosynthetic pathway [25]. A. sinicus was used in this investigation to clone a novel CHI gene called AsiCHI. The AsiCHI gene was identified and characterized through sequence alignment, tissue expression distribution, phylogenetic tree construction, and function analysis.
According to their phylogenetic relationships and functions, CHIs can be classified into four types [26]. Type I CHIs are commonly found in vascular plants and possess the ability to specifically catalyze the transformation of naringenin chalcone into naringenin [27]. Type II CHIs, which are more common in ancient land plants, such as Selaginella and liverworts than Type I CHIs, which are primarily observed in leguminous plants [28]. They can catalyze both isoliquiritigenin and naringenin chalcone, resulting in the formation of liquiritigenin and naringenin, respectively [29]. Type III CHIs, also known as fatty-acid-binding proteins (FAPs), are associated with fatty acid metabolism [13]. Furthermore, chalcone isomerase-like (CHIL) proteins, commonly referred to as Type IV CHIs, lack some of CHI’s catalytic properties and are involved in plant flavonoid biosynthesis as enhancers or rectifiers [30,31,32]. Previous studies have discovered that the deduced amino acid sequences of CHIs of the same type from different species showed a high identity of about 70%, while the similarity between different types was only about 50% [26]. The sequence alignment analysis in this research illustrated a significant alignment between the deduced polypeptide sequence of AsiCHI and the well-established type II CHI of Glycine max, demonstrating an overall identity of 70.64% to Glycine max CHI (Table 1) [33,34]. In addition, the combination of two amino acid residues at positions 190 and 191 (the residue numbering is based on the MsCHI sequence scheme) was postulated to determine substrate preference and found to be clearly different between type I and type II CHIs [27,35]. Residues at positions 190 and 191 of type II CHI were Thr and Met [8]. In this paper, the AsiCHI ortholog sequences contain 13 active amino acid sites: Arg36, Gly37, Leu38, Phe47, Thr48, Ile50, Tyr106, Lys110, Val111, Asn113, Cys114, Thr190, and Met191. When compared to known type II CHIs, they have several similar residues, such as Thr190 and Met191 [8] (Figure 2). Therefore, the results illustrated that the AsiCHI gene encodes a type II CHI and is essential in the anthocyanin pathway.
Previous investigations on the diversity of CHI gene expression in different plant tissues and their distinctive physiological roles have shown that gene expression patterns are strongly associated with their particular functions [36,37]. To elucidate the physiological role of AsiCHI in anthocyanin biosynthesis, the expression profile of AsiCHI was evaluated by qRT-PCR in different A. sinicus tissues. Notably, previous research has shown that leguminous type II CHIs exhibit root-specific expression and can act as signaling molecules for root-nodule development [38]. In contrast, the AsiCHI gene was ubiquitously expressed in tested tissues, with an extremely high expression level observed in leaves. The significantly low expression of AsiCHI in roots indicated that AsiCHI probably does not respond to bradyrhizobium inoculation but plays a critical role in the formation of anthocyanin.
Six different anthocyanidins, including cyanidin (CC), delphinidin (DC), pelargonidin (PelC), peonidin (PeoC), petunidin (PT), and malvidin (MV), were additionally found in various A. sinicus tissues in this experiment to further support the correlation between gene expression and anthocyanin synthesis. All the examined anthocyanidins accumulated significantly higher in leaves compared to roots, stems, flower buds, and flowers. This demonstrated a strong consistency between the expression of AsiCHI transcripts in different tissues and the accumulation of anthocyanins, further verifying its function in anthocyanin biosynthesis.
Previous studies have highlighted the significant influence of CHI gene expression on flavonoid and anthocyanin biosynthesis in plants. Overexpression of the CHI gene in transgenic plants has been shown to effectively enhance the content of flavonoids [9]. For instance, through the cloning of a FtCHI gene from Tartary buckwheat and subsequent overexpression in transgenic Arabidopsis, it was observed that the total flavonoid content in the transgenic Arabidopsis plants was notably higher compared to the wild-type counterparts [39]. Similarly, flavonoid accumulation was enhanced by overexpressing CtCHI genes from Carthamus tinctorius in transgenic Arabidopsis [9]. By introducing sweet potato IbCHI into the Arabidopsis tt5 mutant, researchers were able to restore the seed coats’ pigmentation as well as the purple hue of the cotyledons and hypocotyls, demonstrating the importance of CHI in the formation of flavonoids and anthocyanins [40]. The transfer of the Solanum melongena SmCHI gene into Arabidopsis resulted in increased anthocyanin content and visible pigments in the stems and siliques of Arabidopsis transgenic plants [41]. The overexpression of the CHI gene from the onion Allium cepa in tomatoes displayed an increase in flavonol and anthocyanin content in the peel [14]. By inserting the overexpression Paeonia suffruticosa Ps-CHI1 gene into tobacco (Nicotiana tabacum L.), up to three-fold higher total flavonols and flavones were produced compared to the wild-type control [42]. Furthermore, silencing CHI in plants exhibits biological effects that alter total flavonoid and anthocyanin content. For example, transient RNA silencing of chi in Petunia hybrida resulted in a significant reduction of anthocyanin accumulation in floral tissues [43]. Likewise, VIGS (virus-induced gene silence) targeting MmCHI1 and MmCHI2 led to a substantial (about 50%) decrease of approximately 50% in anthocyanin content [44]. In the present study, an AsiCHI-overexpression vector was constructed and transferred into Arabidopsis ecotype Columbia (Col-0) successfully. The qRT-PCR investigation discovered that the AsiCHI gene had significant relative expression in the overexpression lines, while it was not expressed in wild-type plants. The anthocyanin detection results revealed that the transgenic lines had a significantly higher content of anthocyanins than the wild-type. The anthocyanin production was significantly enhanced in transgenic lines. These results indicate that AsiCHI activity is essential for in vivo anthocyanin production.
5. Conclusions
In this study, the AsiCHI, an anthocyanin synthesis-related enzyme gene, has been isolated and characterized from A. sinicus. The sequence alignment and phylogenetic analysis of the AsiCHI protein confirmed that AsiCHI is closely related to the other species of the genus Astragalus and forms the same group. Moreover, this investigation indicates that the expression of AsiCHI was tissue-specific, with high expression in leaves. The functional analysis also revealed that the overexpression of AsiCHI played a key role in enhancing anthocyanidin production. These discoveries significantly enhance a deeper understanding of the anthocyanin biosynthesis mechanism in A. sinicus.
Author Contributions
X.Z.: designed and performed the experiments. H.L. and J.X.: data collection, software, and editing. L.S., K.C. and Y.W.: methodology, sampling, and reviewing the draft. X.Z. and J.W. wrote and revised the manuscript. revised the manuscript. All authors have read and agreed to the published version of the manuscript.
Funding
This research was funded by the Natural Science Foundation of Zhejiang Province (LY14D010004) and the China Agricultural Research System of MOF and MARA (CARS-22).
Institutional Review Board Statement
Not applicable.
Informed Consent Statement
Not applicable.
Data Availability Statement
Not applicable.
Acknowledgments
We are grateful to Keke Yi from the Institute of Agricultural Resources and Regional Planning, Chinese Academy of Agricultural Sciences, for providing the full-length transcripts data.
Conflicts of Interest
The authors declare no conflict of interest.
References
- Lloyd, A.M.; Walbot, V. Arabidopsis and Nicotiana anthocyanin production activated by maize regulators R and C1. Science 1992, 258, 1773–1775. [Google Scholar] [CrossRef]
- Chen, M.; Zhu, W.J. Isolation and characterization of a chalcone isomerase gene promoter from potato cultivars. Genet. Mol. Res. 2015, 14, 18872–18885. [Google Scholar] [CrossRef]
- Kumar, A.; Sharma, M. Homology modeling and molecular dynamics based insights into Chalcone synthase and Chalcone isomerase in Phyllanthus emblica L. 3 Biotech 2020, 10, 373. [Google Scholar] [CrossRef] [PubMed]
- Song, C.P.; Xia, S.B. Cloning and Expression Analysis of Chalcone Synthase and Chalcone Isomerase Encoding Genes in Gossypium hirsutum. Agric. Biotechnol. 2018, 7, 15–21+26. [Google Scholar]
- Wu, X.L.; Prior, R.L. Systematic identification and characterization of anthocyanins by HPLC-ESI-MS/MS in common foods in the United States: Fruits and berries. J. Agric. Food Chem. 2005, 53, 2589–2599. [Google Scholar] [CrossRef] [PubMed]
- Wang, H.; Wang, W. Tissue-specific accumulation and subcellular localization of chalcone isomerase (CHI) in grapevine. Plant Cell Tissue Organ Cult. 2019, 137, 125–137. [Google Scholar] [CrossRef]
- Li, X.G.; Wang, J. Cloning of an anthocyanidin synthase gene homolog from blackcurrant (Ribes nigrum L.) and its expression at different fruit stages. Genet. Mol. Res. 2015, 14, 2726–2734. [Google Scholar] [CrossRef]
- Jez, J.; Bowman, M. Structure and mechanism of the evolutionarily unique plant enzyme chalcone isomerase. Nat. Struct. Mol. Biol. 2000, 7, 786–791. [Google Scholar]
- Liu, X.M.; Ahmad, N. Molecular cloning and functional characterization of chalcone isomerase from Carthamus tinctorius. AMB Express 2019, 9, 132. [Google Scholar] [CrossRef]
- Keykha, F.; Bagheri, A. Analysis of Chalcone Synthase and Chalcone Isomerase Gene Expression in Pigment Production Pathway at Different Flower Colors of Petunia Hybrida. J. Cell. Mol. Med. 2016, 8, 8–14. [Google Scholar]
- Cheng, H.; Li, L. Molecular cloning and function assay of a chalcone isomerase gene (GbCHI) from Ginkgo biloba. Plant Cell Rep. 2011, 30, 49–62. [Google Scholar] [CrossRef]
- Liu, Y.; Xue, X. Cloning and Functional Characterization of Chalcone Isomerase Genes Involved in Anthocyanin Biosynthesis in Clivia miniata. Ornam. Plant Res. 2021, 1, 2. [Google Scholar] [CrossRef]
- Yin, Y.C.; Zhang, X.D. The Research Progress of Chalcone Isomerase (CHI) in Plants. Mol. Biotechnol. 2019, 61, 32–52. [Google Scholar] [CrossRef]
- Lim, W.S.; Li, J.R. Co-expression of onion chalcone isomerasein Del/Ros1-expressing tomato enhances anthocyanin and flavonol production. Plant Cell Tissue Organ Cult. 2017, 128, 113–124. [Google Scholar] [CrossRef]
- Chang, D.N.; Gao, S.J. The chromosome-level genome assembly of Astragalus sinicus and comparative genomic analyses provide new resources and insights for understanding legume-rhizobial interactions. Plant Commun. 2021, 3, 100263. [Google Scholar] [CrossRef]
- Cho, H.J.; Widholm, J.M. Agrobacterium rhizogenes-mediated transformation and regeneration of the legume Astragalus sinicus (Chinese milk vetch). Plant Sci. 1998, 138, 53–65. [Google Scholar] [CrossRef]
- Chou, M.X.; Wei, X.Y. A novel nodule-enhanced gene encoding a putative universal stress protein from Astragalus sinicus. J. Plant Physiol. 2007, 164, 764–772. [Google Scholar] [CrossRef] [PubMed]
- Xie, Z.; Zhou, C. The role of Chinese Milk Vetch as cover crop in complex soil nitrogen dynamics in rice rotation system of South China. Sci. Rep. 2018, 8, 12061. [Google Scholar] [CrossRef]
- Fan, Q.Y.; Xu, C.X. Application of milk vetch (Astragalus sinicus L.) with reduced chemical fertilizer improves rice yield and nitrogen, phosphorus, and potassium use efficiency in southern China. Eur. J. Agron. 2023, 144, 126762. [Google Scholar] [CrossRef]
- Vandamme, E.; Renkens, M. Root hairs explain P uptake efficiency of soybean genotypes grown in a P-deficient Ferralsol. Plant Soil 2013, 369, 269–282. [Google Scholar] [CrossRef]
- Zhang, Y.B.; Wang, L. Revealing the underlying molecular basis of phosphorus recycling in the green manure crop Astragalus sinicus. J. Clean. Prod. 2022, 341, 130924. [Google Scholar] [CrossRef]
- Guo, Z.H.; Ruan, W.Y. Vacuolar phosphate transporters account for variation in phosphate accumulation in Astragalus sinicus cultivars. Crop J. 2021, 9, 227–237. [Google Scholar] [CrossRef]
- Dare, A.P.; Tomes, S. Overexpression of chalcone isomerase in apple reduces phloridzin accumulation and increases susceptibility to herbivory by two-spotted mites. Plant J. 2020, 103, 293–307. [Google Scholar] [CrossRef]
- Yang, M.; Li, J. Characterization and expression analysis of a chalcone isomerase-like gene in relation to petal color of Actinidia chrysantha. Biologia 2017, 72, 753–763. [Google Scholar] [CrossRef]
- Elarabi, N.I.; Abdelhadi, A.A. Overexpression of chalcone isomerase A gene in Astragalus trigonus for stimulating apigenin. Sci. Rep. 2021, 11, 24176. [Google Scholar] [CrossRef] [PubMed]
- Shimada, N.; Aoki, T. A cluster of genes encodes the two types of chalcone isomerase involved in the biosynthesis of general flavonoids and legume-specific 5-deoxy(iso)flavonoids in Lotus japonicus. Plant Physiol. 2003, 131, 941–951. [Google Scholar] [CrossRef] [PubMed]
- Wang, J.; Jiang, Y. Genome-Wide Classification and Evolutionary Analysis Reveal Diverged Patterns of Chalcone Isomerase in Plants. Biomolecules 2022, 12, 961. [Google Scholar] [CrossRef]
- Yu, S.; Li, J. Identification of Chalcone Isomerase Family Genes and Roles of CnCHI4 in Flavonoid Metabolism in Camellia nitidissima. Biomolecules 2023, 13, 41. [Google Scholar] [CrossRef]
- Ni, R.; Zhu, T.T. Identification and evolutionary analysis of chalcone isomerase-fold proteins in ferns. J. Exp. Bot. 2020, 71, 290–304. [Google Scholar] [CrossRef]
- Xu, H.; Lan, Y. AfCHIL, a Type IV Chalcone Isomerase, Enhances the Biosynthesis of Naringenin in Metabolic Engineering. Front. Plant Sci. 2022, 13, 891066. [Google Scholar] [CrossRef]
- Morita, Y.; Takagi, K. A chalcone isomerase-like protein enhances flavonoid production and flower pigmentation. Plant J. 2014, 78, 294–304. [Google Scholar] [CrossRef] [PubMed]
- Waki, T.; Mameda, R. A conserved strategy of chalcone isomerase-like protein to rectify promiscuous chalcone synthase specificity. Nat. Commun. 2020, 11, 870. [Google Scholar] [CrossRef] [PubMed]
- Dastmalchi, M.; Dhaubhadel, S. Soybean chalcone isomerase: Evolution of the fold, and the differential expression and localization of the gene family. Planta 2015, 241, 507–523. [Google Scholar] [CrossRef] [PubMed]
- Ralston, L.; Subramanian, S. Partial Reconstruction of Flavonoid and Isoflavonoid Biosynthesis in Yeast Using Soybean Type I and Type II Chalcone Isomerases. Plant Physiol. 2005, 137, 1375–1388. [Google Scholar] [CrossRef] [PubMed]
- Hur, S.; Newby, Z.E. Transition state stabilization by general acid catalysis, water expulsion, and enzyme reorganization in Medicago savita chalcone isomerase. Biochemistry 2004, 101, 2730–2735. [Google Scholar] [CrossRef] [PubMed]
- Kong, X.J.; Khan, A. Identification of chalcone synthase genes and their expression patterns reveal pollen abortion in cotton. Saudi J. Biol. Sci. 2020, 27, 3691–3699. [Google Scholar] [CrossRef]
- Zu, Q.L.; Qu, Y.Y. The Chalcone Isomerase Family in Cotton: Whole-Genome Bioinformatic and Expression Analyses of the Gossypium barbadense L. Response to Fusarium Wilt Infection. Genes 2019, 10, 1006. [Google Scholar] [CrossRef]
- McKhann, H.I.; Hirsch, A.M. Isolation of chalcone synthase and chalcone isomerase cDNAs from alfalfa (Medicago sativa L.): Highest transcript levels occur in young roots and root tips. Plant Mol. Biol. 1994, 24, 767–777. [Google Scholar] [CrossRef]
- Nan, G.; Wu, H. Cloning, identification, and functional analysis of chalcone isomerase gene and its promoter from Tartary buckwheat. Acta Physiol. Plant 2022, 44, 78. [Google Scholar] [CrossRef]
- Guo, J.Y.; Zhou, W. Isolation and Functional Analysis of Chalcone Isomerase Gene from Purple-Fleshed Sweet Potato. Plant Mol. Biol. Rep. 2015, 33, 1451–1463. [Google Scholar] [CrossRef]
- Jiang, M.; Liu, Y. Molecular cloning and characterization of anthocyanin biosynthesis genes in eggplant (Solanum melongena L.). Acta Physiol. Plant 2016, 38, 163. [Google Scholar] [CrossRef]
- Zhou, L.; Wang, Y. Overexpression of Ps-CHI1, a homologue of the chalcone isomerase gene from tree peony (Paeonia suffruticosa), reduces the intensity of flower pigmentation in transgenic tobacco. Plant Cell Tissue Organ Cult. 2014, 116, 285–295. [Google Scholar] [CrossRef]
- Keykha, F.; Bagheri, A. RNAi-induced silencing in floral tissues of Petunia hybrida by agroinfiltration: A rapid assay for chalcone isomerase gene function analysis. Cell. Mol. Biol. 2016, 62, 26–31. [Google Scholar] [PubMed]
- Chao, N.; Wang, R.F. Functional characterization of two chalcone isomerase (CHI) revealing their responsibility for anthocyanins accumulation in mulberry. Plant Physiol. Biochem. 2021, 161, 65–73. [Google Scholar] [CrossRef] [PubMed]
Disclaimer/Publisher’s Note: The statements, opinions and data contained in all publications are solely those of the individual author(s) and contributor(s) and not of MDPI and/or the editor(s). MDPI and/or the editor(s) disclaim responsibility for any injury to people or property resulting from any ideas, methods, instructions or products referred to in the content. |
© 2023 by the authors. Licensee MDPI, Basel, Switzerland. This article is an open access article distributed under the terms and conditions of the Creative Commons Attribution (CC BY) license (https://creativecommons.org/licenses/by/4.0/).