A Compositional Heterogeneity Analysis of Mitochondrial Phylogenomics in Chalcidoidea Involving Two Newly Sequenced Mitogenomes of Eupelminae (Hymenoptera: Chalcidoidea)
Abstract
1. Introduction
2. Materials and Methods
2.1. Sample Collection, DNA Extraction and Identification
2.2. Next-Generation Sequencing, Assembly, and Annotation
2.3. Sequence Analysis
2.4. Phylogenetic Analysis
2.5. Construction of Phylogenetic Trees Based on the Site-Homogeneity Model and Site-Heterogeneity Model
3. Results
3.1. General Features of the Two Mitochondrial Genomes
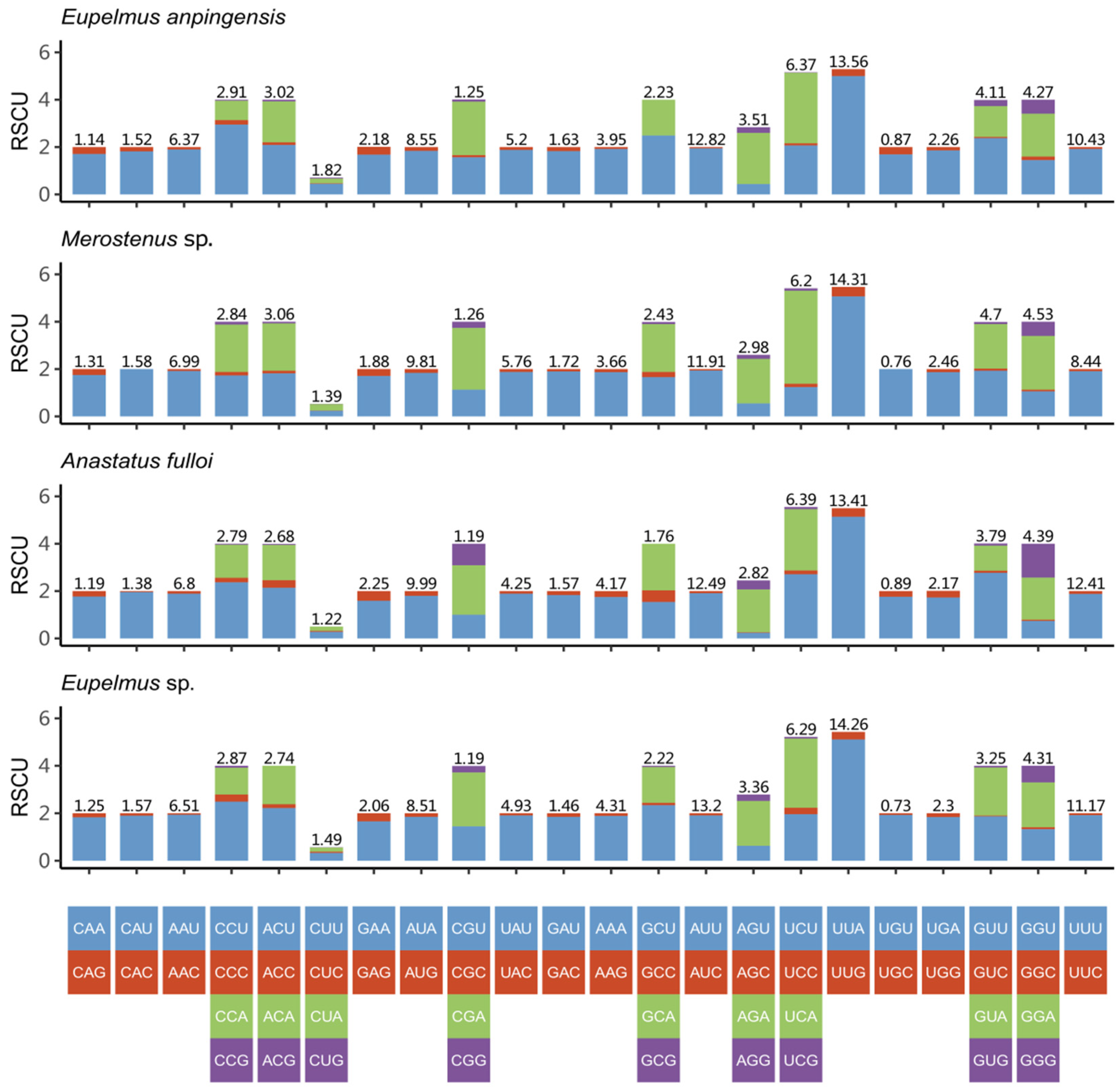
3.2. Protein-Coding Genes and Codon Usage
3.3. tRNA Genes and rRNA Genes
3.4. Phylogenetic Tree Based on Homogeneity Model
3.5. Phylogenetic Tree Based on Heterogeneity Model
3.6. Comparative Analysis Based on Homogeneity Model and Heterogeneity Model
4. Conclusions
Supplementary Materials
Author Contributions
Funding
Institutional Review Board Statement
Informed Consent Statement
Data Availability Statement
Conflicts of Interest
References
- Peng, L.F.; Lin, N.Q. Recent advances in Eupelmidae (Hymenoptera: Chalcidoidea) systematics. Fujian J. Agric. Sci. 2012, 27, 1269–1273. [Google Scholar]
- Noyes, J.S. Universal Chalcidoidea Database. Available online: https://www.nhm.ac.uk/our-science/data/chalcidoids/ (accessed on 3 July 2022).
- Munro, J.B.; Heraty, J.M.; Burks, R.A.; Hawks, D.; Mottern, J.; Cruaud, A.; Rasplus, J.Y.; Jansta, P. A Molecular Phylogeny of the Chalcidoidea (Hymenoptera). PLoS ONE 2011, 6, e27023. [Google Scholar] [CrossRef]
- Heraty, J.M.; Burks, R.A.; Cruaud, A.; Gibson, G.A.P.; Liljeblad, J.; Munro, J.; Rasplus, J.Y.; Delvare, G.; Janšta, P.; Gumovsky, A.; et al. A phylogenetic analysis of the megadiverse Chalcidoidea (Hymenoptera). Cladistics 2013, 29, 466–542. [Google Scholar] [CrossRef] [PubMed]
- Peters, R.S.; Niehuis, O.; Gunkel, S.; Bläser, M.; Mayer, C.; Podsiadlowski, L.; Kozlov, A.; Donath, A.; van Noort, S.; Liu, S.; et al. Transcriptome sequence-based phylogeny of chalcidoid wasps (Hymenoptera: Chalcidoidea) reveals a history of rapid radiations, convergence, and evolutionary success. Mol. Phylogenet Evol. 2017, 120, 286–296. [Google Scholar] [CrossRef] [PubMed]
- Zhang, J.; Lindsey, A.R.I.; Peters, S.; Heraty, J.M.; Hopper, K.R.; Werren, J.H.; Martinson, E.O.; Woolley, J.B.; Yoder, M.J.; Krogmann, L. Conflicting signal in transcriptomic markers leads to a poorly resolved backbone phylogeny of chalcidoid wasps. Syst. Entomol. 2020, 45, 783–802. [Google Scholar] [CrossRef]
- Yi, J.; Wu, H.; Liu, J.; Li, J.; Lu, Y.; Zhang, Y.; Cheng, Y.; Guo, Y.; Li, D.; An, Y. Novel gene rearrangement in the mitochondrial genome of Anastatus fulloi (Hymenoptera Chalcidoidea) and phylogenetic implications for Chalcidoidea. Sci. Rep. 2022, 12, 1351. [Google Scholar] [CrossRef]
- Boore, J.L. Animal mitochondrial genomes. Nucleic Acids Res. 1999, 27, 1767–1780. [Google Scholar] [CrossRef]
- Alcolado, J. Power, sex suicide: Mitochondria and the meaning of life. BMJ 2005, 331, 851. [Google Scholar] [CrossRef]
- Cameron, S.L. Insect mitochondrial genomics: Implications for evolution and phylogeny. Annu. Rev. Entomol. 2014, 59, 95–117. [Google Scholar] [CrossRef]
- Ballard, J.W.O.; Rand, D.M. The population biology of mitochondrial DNA and its phylogenetic implications. Annu. Rev. Ecol. Evol. Syst. 2005, 36, 621–642. [Google Scholar] [CrossRef]
- Wei, S.J.; Shi, M.; Sharkey, M.J.; van Achterberg, C.; Chen, X.X. Comparative mitogenomics of Braconidae (Insecta: Hymenoptera) and the phylogenetic utility of mitochondrial genomes with special reference to holometabolous insects. BMC Genom. 2010, 11, 371. [Google Scholar] [CrossRef] [PubMed]
- Li, Q. Comparative Mitogenomes and Phylogenetic Analysis of Braconidae (Hymenoptera) Based on Mitochondrial Genomes. Ph.D. Dissertation, Zhejiang University, Hangzhou, China, 2014. [Google Scholar]
- Wolstenholme, D.R.; Clary, D.O. Sequence evolution of Drosophila mitochondria DNA. Genetics 1985, 109, 725–744. [Google Scholar] [CrossRef] [PubMed]
- Sharkey, M.J.; Chapman, E. Ten new genera of Agathidini (Hymenoptera, Braconidae, Agathidinae) from Southeast Asia. ZooKeys 2017, 660, 107–150. [Google Scholar] [CrossRef] [PubMed]
- Wei, S.J. Characterization and Evolution of Hymenopteran Mitochondrial Genomes and Their Phylogenetic Utility. Ph.D. Thesis, Zhejiang University, Hangzhou, China, 2009. [Google Scholar]
- Liu, Y.; Song, F.; Jiang, P.; Wilson, J.J.; Cai, W.; Li, H. Compositional heterogeneity in true bug mitochondrial phylogenomics. Mol. Phylogenet. Evol. 2018, 118, 135–144. [Google Scholar] [CrossRef] [PubMed]
- Song, S.N.; Tang, P.; Wei, S.J.; Chen, X.X. Comparative and phylogenetic analysis of the mitochondrial genomes in basal hymenopterans. Sci. Rep. 2016, 6, e20972. [Google Scholar] [CrossRef] [PubMed]
- Song, N.; Zhang, H.; Zhao, T. Insights into the phylogeny of Hemiptera from increased mitogenomic taxon sampling. Mol. Phylogenet. Evol. 2019, 137, 236–249. [Google Scholar] [CrossRef]
- Jermiin LSHo, S.Y.W.; Ababneh, F.; Robinson, J.; Larkum, A.W.D. The Biasing Effect of Compositional Heterogeneity on Phylogenetic Estimates May be Underestimated. Syst. Biol. 2004, 53, 638–643. [Google Scholar] [CrossRef]
- Ai, D.; Peng, L.; Qin, D.; Zhang, Y. Characterization of Three Complete Mitogenomes of Flatidae (Hemiptera: Fulgoroidea) and Compositional Heterogeneity Analysis in the Planthoppers’ Mitochondrial Phylogenomics. Int. J. Mol. Sci. 2021, 22, 5586. [Google Scholar] [CrossRef]
- Xu, S.; Wu, Y.; Liu, Y.; Zhao, P.; Chen, Z.; Song, F.; Li, H.; Cai, W. Comparative Mitogenomics and Phylogenetic Analyses of Pentatomoidea (Hemiptera: Heteroptera). Genes 2021, 12, 1306. [Google Scholar] [CrossRef]
- Cameron, S.L.; Barker, S.C.; Whiting, M.F. Mitochondrial genomics and the new insect order Mantophasmatodea. Mol. Phylogenet. Evol. 2006, 38, 274–279. [Google Scholar] [CrossRef]
- Lartillot, N.; Philippe, H. A Bayesian Mixture Model for Across-Site Heterogeneities in the Amino-Acid Replacement Process. Mol. Biol. Evol. 2004, 21, 1095–1109. [Google Scholar] [CrossRef] [PubMed]
- Li, D.; Liu, C.M.; Luo, R.; Sadakane, K.; Lam, T.W. MEGAHIT: An ultra-fast single-node solution for large and complex metagenomics assembly via succinct de Bruijn graph. Bioinformatics 2015, 31, 1674–1676. [Google Scholar] [CrossRef] [PubMed]
- Bankevich, A.; Nurk, S.; Antipov, D.; Gurevich, A.A.; Dvorkin, M.; Kulikov, A.S.; Lesin, V.M.; Nikolenko, S.I.; Pham, S.; Prjibelski, A.D.; et al. SPAdes: A new genome assembly algorithm and its applications to single-cell sequencing. J. Comput. Biol. 2012, 19, 455–477. [Google Scholar] [CrossRef] [PubMed]
- Donath, A.; Jühling, F.; Al-Arab, M.; Bernhart, S.H.; Reinhardt, F.; Stadler, P.F.; Middendorf, M.; Bernt, M. Improved annotation of protein-coding genes boundaries in metazoan mitochondrial genomes. Nucleic Acids Res. 2019, 47, 10543–10552. [Google Scholar] [CrossRef]
- Lowe, T.M.; Eddy, S.R. tRNAscan-SE: A program for improved detection of transfer RNA genes in genomic sequence. Nucleic Acids Res. 1997, 25, 955–964. [Google Scholar] [CrossRef]
- Laslett, D.; Canbäck, B. ARWEN: A program to detect tRNA genes in metazoan mitochondrial nucleotide sequences. Bioinformatics 2008, 24, 172–175. [Google Scholar] [CrossRef]
- Kumar, S.; Stecher, G.; Tamura, K. MEGA7: Molecular evolutionary genetics analysis version 7.0 for bigger datasets. Mol. Biol. Evol. 2016, 33, 1870–1874. [Google Scholar] [CrossRef]
- Perna, N.T.; Kocher, T.D. Patterns of nucleotide composition at fourfold degenerate sites of animal mitochondrial genomes. J. Mol. Evol. 1995, 41, 353–358. [Google Scholar] [CrossRef]
- Librado, P.; Rozas, J. DnaSP v5: A software for comprehensive analysis of DNA polymorphism data. Bioinformatics 2009, 25, 1451–1452. [Google Scholar] [CrossRef]
- Kück, P.; Meid, S.A.; Groß, C.; Wägele, J.W.; Misof, B. AliGROOVE—Visualization of heterogeneous sequence divergence within multiple sequence alignments and detection of inflated branch support. BMC Bioinform. 2014, 15, 294. [Google Scholar] [CrossRef]
- Zhang, D.; Gao, F.; Jakovli’c, I.; Zou, H.; Zhang, J.; Li, W.X.; Wang, G.T. PhyloSuite: An integrated and scalable desktop platform for streamlined molecular sequence data management and evolutionary phylogenetics studies. Mol. Ecol. Resour. 2020, 20, 348–355. [Google Scholar] [CrossRef] [PubMed]
- Katoh, K.; Standley, D.M. MAFFT multiple sequence alignment software version 7: Improvements in performance and usability. Mol. Biol. Evol. 2013, 30, 772–780. [Google Scholar] [CrossRef] [PubMed]
- Talavera, G.; Castresana, J. Improvement of phylogenies after removing divergent and ambiguously aligned blocks from protein sequence alignments. Syst. Biol. 2007, 56, 564–577. [Google Scholar] [CrossRef] [PubMed]
- Huang, Z.; Dai, H.; Lin, Q.; Zhang, B. The mitochondrial genome of parasitic wasp: Anisopteromalus calandrae (Howard, 1881) (Hymenoptera: Pteromalidae). Mitochondrial DNA Part B 2021, 6, 2048–2049. [Google Scholar] [CrossRef]
- Tang, X.; Lyu, B.; Lu, H.; Tang, J.; Meng, R.; Cai, B. Characterization of the mitochondrial genome of Tetrastichus howardi (Olliff 1893) (Hymenoptera: Eulophidae). Mitochondrial DNA Part B 2021, 6, 2683–2685. [Google Scholar] [CrossRef]
- Tang, X.; Lyu, B.; Lu, H.; Tang, J.; Meng, R.; Cai, B. The mitochondrial genome of a parasitic wasp, Chouioia cunea Yang (Hymenoptera: Chalcidoidea: Eulophidae) and phylogenetic analysis. Mitochondrial DNA Part B 2021, 6, 872–874. [Google Scholar] [CrossRef]
- Tian, X.; Xian, X.; Zhang, G.; Castañé, C.; Romeis, J.; Wan, F.; Zhang, Y. Complete mitochondrial genome of a predominant parasitoid, Necremnus tutae (Hymenoptera: Eulophidae) of the South American tomato leafminer Tuta absoluta (Lepidoptera: Gelechiidae). Mitochondrial DNA Part B 2021, 6, 562–563. [Google Scholar] [CrossRef]
- Chen, L.; Chen, P.; Xue, X.; Hua, H.; Li, Y.; Zhang, F.; Wei, S. Extensive gene rearrangements in the mitochondrial genomes of two egg parasitoids, Trichogramma japonicum and Trichogramma ostriniae (Hymenoptera: Chalcidoidea: Trichogrammatidae). Sci. Rep. 2018, 8, 7034. [Google Scholar] [CrossRef]
- Nedoluzhko, A.V.; Sharko, F.S.; Boulygina, E.S.; Tsygankova, S.V.; Sokolov, A.S.; Mazur, A.M.; Polilov, A.A.; Prokhortchouk, E.B.; Skryabin, K.G. Mitochondrial genome of Megaphragma amalphitanum (Hymenoptera: Trichogrammatidae). Mitochondrial DNA Part A DNA Mapp. Seq. Anal. 2016, 27, 4526–4527. [Google Scholar] [CrossRef]
- Zhao, H.; Chen, Y.; Wang, Z.; Chen, H.; Qin, Y. Two Complete Mitogenomes of Chalcididae (Hymenoptera: Chalcidoidea): Genome Description and Phylogenetic Implications. Insects 2021, 12, 1049. [Google Scholar] [CrossRef]
- Ma, Y.; Zheng, B.; Zhu, J.; Tang, P.; Chen, X. The mitochondrial genome of Aenasius arizonensis (Hymenoptera: Encyrtidae) with novel gene order. Mitochondrial DNA Part B 2019, 4, 2023–2024. [Google Scholar] [CrossRef]
- Xiong, M.; Zhou, Q.-S.; Zhang, Y.-Z. The complete mitochondrial genome of Encyrtus infelix (Hymenoptera: Encyrtidae). Mitochondrial DNA Part B 2019, 4, 114–115. [Google Scholar] [CrossRef]
- Du, Y.; Song, X.; Liu, X.; Zhong, B. Mitochondrial genome of Diaphorencyrtus aligarhensis (Hymenoptera: Chalcidoidea: Encyrtidae) and phylogenetic analysis. Mitochondrial DNA Part B 2019, 4, 3190–3191. [Google Scholar] [CrossRef] [PubMed]
- Tang, P.; Zhu, J.; Zheng, B.; Wei, S.; Sharkey, M.; Chen, X.; Vogler, A.P. Mitochondrial phylogenomics of the Hymenoptera. Mol. Phylogenet. Evol. 2019, 131, 8–18. [Google Scholar] [CrossRef] [PubMed]
- Xia, X. DAMBE7: New and improved tools for data analysis in molecular biology and evolution. Mol. Biol. Evol. 2018, 35, 1550–1552. [Google Scholar] [CrossRef]
- Lanfear, R.; Calcott, B.; Ho, S.Y.; Guindon, S. Partitionfinder: Combined selection of partitioning schemes and substitution models for phylogenetic analyses. Mol. Biol. Evol. 2012, 29, 1695–1701. [Google Scholar] [CrossRef]
- Ronquist, F.; Teslenko, M.; van der Mark, P.; Ayres, D.L.; Darling, A.; Höhna, S.; Larget, B.; Liu, L.; Suchard, M.A.; Huelsenbeck, J.P. MrBayes 3.2: Efficient Bayesian phylogenetic inference and model choice across a large model space. Syst. Biol. 2012, 61, 539–542. [Google Scholar] [CrossRef]
- Nguyen, L.T.; Schmidt, H.A.; von Haeseler, A.; Minh, B.Q. IQ-TREE: A fast and effective stochastic algorithm for estimating maximum-likelihood phylogenies. Mol. Biol. Evol. 2015, 32, 268–274. [Google Scholar] [CrossRef]
- Guindon, S.; Dufayard, J.F.; Lefort, V.; Anisimova, M.; Hordijk, W.; Gascuel, O. New algorithms and methods to estimate maximum-likelihood phylogenies: Assessing the performance of PhyML 3.0. Syst. Biol. 2010, 59, 307–321. [Google Scholar] [CrossRef]
- Minh, B.Q.; Nguyen, M.A.; von Haeseler, A. Ultrafast approximation for phylogenetic bootstrap. Mol. Biol. Evol. 2013, 30, 1188–1195. [Google Scholar] [CrossRef]
- Nicolas, R.; Nicolas, L. Site-heterogeneous mutation-selection models within the PhyloBayes-MPI package. Bioinformatics 2014, 30, 1020–1021. [Google Scholar]
- Ma, Y.; Zheng, B.Y.; Zhu, J.C.; Achterberg, C.V.; Tang, P.; Chen, X.X. The first two mitochondrial genomes of wood wasps (Hymenoptera: Symphyta): Novel gene rearrangements and higher-level phylogeny of the basal hymenopterans. Int. J. Biol. Macromol. 2019, 123, 1189–1196. [Google Scholar] [CrossRef] [PubMed]
- Wang, D.Y.; Wang, Y.T.; Yu, L.B.; Han, H.B.; Xu, L.B.; Cui, Y.W.; Kang, A.G.; Pang, H.Y. Sequencing and analysis of the complete mitochondrial genome of Zele chlorophthalmus (Hymenoptera: Braconidae). Acta Entomol. Sin. 2020, 63, 1028–1038. [Google Scholar]
- Crozier, R.H.; Crozier, Y.C. The mitochondrial genome of the honeybee Apis mellifera—Complete sequence and genome organization. Genetics 1993, 133, 97–117. [Google Scholar] [CrossRef] [PubMed]
- Chen, P.Y.; Zheng, B.Y.; Liu, J.X.; Wei, S.J. Next-generation sequencing of two mitochondrial genomes from family Pompilidae (Hymenoptera: Vespoidea) reveal novel patterns of gene arrangement. Int. J. Mol. Sci. 2016, 17, 1641. [Google Scholar] [CrossRef] [PubMed]









| Subfamily | Species Name | Accession Number | Length (bp) | A + T (%) | Reference |
|---|---|---|---|---|---|
| Pteromalidae | Anisopteromalus calandrae | MW817149 | 15,954 | 82.9 | [37] |
| Nasonia vitripennis | MT985330 | 15,291 | 83.5 | Unpublished | |
| Pteromalus puparum | NC_039656 | 18,217 | 84.7 | Unpublished | |
| Eulophidae | Tetrastichus howardi | MZ334468 | 14,791 | 85.5 | [38] |
| Chouioia cunea | MW192646 | 14,930 | 85.1 | [39] | |
| Necremnus tutae | NC_053857 | 15,252 | 84.5 | [40] | |
| Trichogrammatidae | Trichogramma dendrolimi | KU836507 | 16,878 | 84.7 | Unpublished |
| Trichogramma ostriniae | NC_039535 | 16,472 | 85.4 | [41] | |
| Megaphragma amalphitanu | NC_028196 | 15,041 | 85.3 | [42] | |
| Trichogramma japonicum | NC_039534 | 15,962 | 84.9 | [41] | |
| Trichogramma chilonis | MT712144 | 16,176 | 85.2 | Unpublished | |
| Chalcididae | Brachymeria lasus | MZ615567 | 15,147 | 84.5 | [43] |
| Haltichella nipponensis | MZ615568 | 15,334 | 83.8 | [43] | |
| Encyrtidae | Encyrtus rhodococcusiae | NC_051460 | 15,694 | 79.1 | Unpublished |
| Encyrtus eulecaniumiae | NC_051459 | 15,692 | 80 | Unpublished | |
| Encyrtus sasakii | NC_051458 | 15,708 | 79.2 | Unpublished | |
| Aenasius arizonensis | NC_045852 | 15,373 | 79.6 | [44] | |
| Encyrtus infelix | NC_041176 | 15,698 | 78.4 | [45] | |
| Diaphorencyrtus aligarhensis | NC_046058 | 16,264 | 81.8 | [46] | |
| Metaphycus eriococci | NC_056349 | 15,749 | 84.2 | Unpublished | |
| Eupelmidae | Anastatus fulloi | OK545741 | 15,692 | 83.9 | [7] |
| Eupelmus sp. | MG923493 | 17,037 | 83.5 | [47] | |
| Merostenus sp. ★ | OP374146 | 16,370 | 82.7 | This study | |
| Eupelmus anpingensis ★ | OP374147 | 15,479 | 83.3 | This study |
| Merostenus sp. | |||||||||
| Regions | Size (bp) | T(U)% | C% | A% | G% | A + T% | G + C% | AT-skew | GC-skew |
| Full genomes | 16,370 | 43 | 6.2 | 39.7 | 11 | 82.7 | 17.3 | −0.040 | 0.277 |
| PCGs | 11,022 | 44.7 | 8.3 | 36.5 | 10.4 | 81.3 | 18.7 | −0.101 | 0.112 |
| 1st codon position | 3674 | 38.2 | 8.4 | 38.3 | 15.2 | 76.5 | 23.5 | 0.001 | 0.289 |
| 2nd codon position | 3674 | 50.4 | 14.5 | 23.2 | 11.9 | 73.6 | 26.4 | −0.370 | −0.098 |
| 3rd codon position | 3674 | 45.7 | 2.2 | 48.1 | 4.0 | 93.8 | 6.2 | 0.026 | 0.290 |
| rrnS | 775 | 43.4 | 4.5 | 42.7 | 9.4 | 86.1 | 13.9 | −0.008 | 0.353 |
| rrnL | 1289 | 42.7 | 5.0 | 42.8 | 9.4 | 85.5 | 14.5 | 0.001 | 0.303 |
| Eupelmus anpingensis | |||||||||
| Regions | Size (bp) | T(U)% | C% | A% | G% | A + T% | G + C% | AT-skew | GC-skew |
| Full genomes | 15,479 | 44.8 | 6.7 | 38.5 | 10.1 | 83.3 | 16.7 | −0.076 | 0.204 |
| PCGs | 11,058 | 46.9 | 8.5 | 34.5 | 10.1 | 81.4 | 18.6 | −0.152 | 0.086 |
| 1st codon position | 3686 | 38.9 | 8.6 | 38.1 | 14.4 | 77.0 | 23.0 | −0.010 | 0.252 |
| 2nd codon position | 3686 | 51.1 | 14.5 | 22.3 | 12.1 | 73.4 | 26.6 | −0.392 | 0.090 |
| 3rd codon position | 3686 | 50.8 | 2.4 | 43.1 | 3.7 | 93.9 | 6.1 | −0.082 | 0.213 |
| rrnS | 644 | 43.3 | 5.6 | 41.5 | 9.6 | 84.4 | 15.2 | −0.021 | 0.263 |
| rrnL | 1292 | 45.0 | 5.1 | 40.1 | 9.8 | 85.1 | 14.9 | −0.058 | 0.315 |
Publisher’s Note: MDPI stays neutral with regard to jurisdictional claims in published maps and institutional affiliations. |
© 2022 by the authors. Licensee MDPI, Basel, Switzerland. This article is an open access article distributed under the terms and conditions of the Creative Commons Attribution (CC BY) license (https://creativecommons.org/licenses/by/4.0/).
Share and Cite
Jiang, J.; Wu, T.; Deng, J.; Peng, L. A Compositional Heterogeneity Analysis of Mitochondrial Phylogenomics in Chalcidoidea Involving Two Newly Sequenced Mitogenomes of Eupelminae (Hymenoptera: Chalcidoidea). Genes 2022, 13, 2340. https://doi.org/10.3390/genes13122340
Jiang J, Wu T, Deng J, Peng L. A Compositional Heterogeneity Analysis of Mitochondrial Phylogenomics in Chalcidoidea Involving Two Newly Sequenced Mitogenomes of Eupelminae (Hymenoptera: Chalcidoidea). Genes. 2022; 13(12):2340. https://doi.org/10.3390/genes13122340
Chicago/Turabian StyleJiang, Jingtao, Tong Wu, Jun Deng, and Lingfei Peng. 2022. "A Compositional Heterogeneity Analysis of Mitochondrial Phylogenomics in Chalcidoidea Involving Two Newly Sequenced Mitogenomes of Eupelminae (Hymenoptera: Chalcidoidea)" Genes 13, no. 12: 2340. https://doi.org/10.3390/genes13122340
APA StyleJiang, J., Wu, T., Deng, J., & Peng, L. (2022). A Compositional Heterogeneity Analysis of Mitochondrial Phylogenomics in Chalcidoidea Involving Two Newly Sequenced Mitogenomes of Eupelminae (Hymenoptera: Chalcidoidea). Genes, 13(12), 2340. https://doi.org/10.3390/genes13122340

