Identifying the Genetic Basis of Mineral Elements in Rice Grain Using Genome-Wide Association Mapping
Abstract
1. Introduction
2. Materials and Methods
2.1. Plant Materials
2.2. Sample Preparation for Phenotyping
2.3. Phenotypic Measurements
2.4. Analysis of Phenotypic Data
2.5. Genotyping
2.6. Analysis of Population Structure and Kinship Coefficient
2.7. Linkage Disequilibrium (LD) Analysis
2.8. Genome-Wide Association Analysis (GWAS)
2.9. In Silico Gene Expression Analysis
3. Results
3.1. Population Structure and Linkage Disequilibrium (LD)
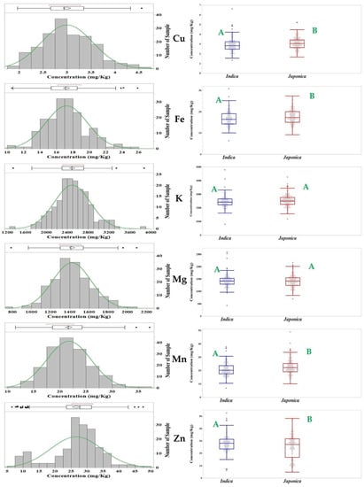
3.2. Phenotypic Variation Analysis
3.3. GWAS Analysis
3.4. In silico Gene Expression Analysis
3.5. Gene Enrichment Analysis
4. Discussion
4.1. Population Structure, LD, and Phenotypic Variation
4.2. Performance of Single and Multi-Locus GWAS Models
4.3. Comparison and Reliability of Our GWAS Studies
4.4. Functional Annotation of Candidate Genes
5. Conclusions
Supplementary Materials
Author Contributions
Funding
Institutional Review Board Statement
Informed Consent Statement
Data Availability Statement
Acknowledgments
Conflicts of Interest
References
- Huang, Y.; Sun, C.; Min, J.; Chen, Y.; Tong, C.; Bao, J. Association Mapping of Quantitative Trait Loci for Mineral Element Contents in Whole Grain Rice (Oryza sativa L.). J. Agric. Food Chem. 2015, 63, 10885–10892. [Google Scholar] [CrossRef]
- Kaluzna-Czaplinska, J.; Gątarek, P.; Chirumbolo, S.; Chartrand, M.S.; Bjørklund, G. How important is tryptophan in human health? Crit. Rev. Food Sci. Nutr. 2019, 59, 72–88. [Google Scholar] [CrossRef]
- Nawaz, Z.; Kakar, K.U.; Li, X.-B.; Li, S.; Zhang, B.; Shou, H.-X.; Shu, Q.-Y. Genome-wide Association Mapping of Quantitative Trait Loci (QTLs) for Contents of Eight Elements in Brown Rice (Oryza sativa L.). J. Agric. Food Chem. 2015, 63, 8008–8016. [Google Scholar] [CrossRef]
- Graham, R.D.; Welch, R.M.; Saunders, D.A.; Ortiz-Monasterio, I.; Bouis, H.E.; Bonierbale, M.; de Haan, S.; Burgos, G.; Thiele, G.; Liria, R.; et al. Nutritious subsistence food. Systems 2007, 92, 1–74. [Google Scholar]
- Qin, J.; Shi, A.; Mou, B.; Grusak, M.A.; Weng, Y.; Ravelombola, W.; Bhattarai, G.; Dong, L.; Yang, W. Genetic diversity and association mapping of mineral element concentrations in spinach leaves. BMC Genom. 2017, 18, 941. [Google Scholar] [CrossRef] [PubMed]
- Egbuna, C.; Dable-Tupas, G. Functional Foods and Nutraceuticals; Springer Nature Switzerland AG: Basel, Switzerland, 2020; Volume 1, pp. 1–632. [Google Scholar]
- Mishra, G.P.; Dikshit, H.K.; Priti; Kukreja, B.; Aski, M.; Yadava, D.K.; Sarker, A.; Kumar, S. Historical Overview of Biofortification in Crop Plants and Its Implications. In Biofortification of Staple Crops; Kumar, S., Dikshit, H.K., Mishra, G.P., Singh, A., Eds.; Springer: Singapore, 2022; pp. 31–61. [Google Scholar]
- Pfeiffer, W.H.; McClafferty, B. HarvestPlus: Breeding crops for better nutrition. Crop. Sci. 2007, 47, S-88–S-105. [Google Scholar] [CrossRef]
- Bouis, H.E.; Saltzman, A. Improving nutrition through biofortification: A review of evidence from Harvest Plus, 2003 through 2016. Glob. Food Secur. 2017, 12, 49–58. [Google Scholar] [CrossRef]
- Mahender, A.; Anandan, A.; Pradhan, S.K.; Pandit, E. Rice grain nutritional traits and their enhancement using relevant genes and QTLs through advanced approaches. SpringerPlus 2016, 5, 2086. [Google Scholar] [CrossRef] [PubMed]
- Qiu, X.; Pang, Y.; Yuan, Z.; Xing, D.; Xu, J.; Dingkuhn, M.; Li, Z.; Ye, G. Genome-Wide Association study of grain appearance and milling quality in a worldwide collection of indica rice germplasm. PLoS ONE 2015, 10, e0145577. [Google Scholar] [CrossRef] [PubMed]
- Gong, J.; Miao, J.; Zhao, Y.; Zhao, Q.; Feng, Q.; Zhan, Q.; Cheng, B.; Xia, J.; Huang, X.; Yang, S.; et al. Dissecting the genetic basis of grain shape and chalkiness traits in hybrid rice using multiple collaborative populations. Mol. Plant 2017, 10, 1353–1356. [Google Scholar] [CrossRef]
- Mezmouk, S.; Dubreuil, P.; Bosio, M.; Décousset, L.; Charcosset, A.; Praud, S.; Mangin, B. Effect of population structure corrections on the results of association mapping tests in complex maize diversity panels. Theor. Appl. Genet. 2011, 122, 1149–1160. [Google Scholar] [CrossRef] [PubMed]
- Huang, X.; Wei, X.; Sang, T.; Zhao, Q.; Feng, Q.; Zhao, Y.; Li, C.; Zhu, C.; Lu, T.; Zhang, Z.; et al. Genome-wide association studies of 14 agronomic traits in rice landraces. Nat. Genet. 2010, 42, 961–967. [Google Scholar] [CrossRef] [PubMed]
- Bradbury, P.J.; Zhang, Z.; Kroon, D.E.; Casstevens, T.M.; Ramdoss, Y.; Buckler, E.S. TASSEL: Software for association mapping of complex traits in diverse samples. Bioinformatics 2007, 23, 2633–2635. [Google Scholar] [CrossRef]
- Xu, Y.; Yang, T.; Zhou, Y.; Yin, S.; Li, P.; Liu, J.; Xu, S.; Yang, Z.; Xu, C. Genome-wide association mapping of starch pasting properties in maize using single-locus and multi-locus models. Front. Plant Sci. 2018, 9, 1311. [Google Scholar] [CrossRef]
- Li, C.; Fu, Y.; Sun, R.; Wang, Y.; Wang, Q. Single-locus and multi-locus genome-wide association studies in the genetic dissection of fiber quality traits in upland cotton (Gossypium hirsutum L.). Front. Plant Sci. 2018, 9, 1083. [Google Scholar] [CrossRef] [PubMed]
- Liu, S.; Zhong, H.; Meng, X.; Sun, T.; Li, Y.; Pinson, S.R.M.; Chang, S.K.C.; Peng, Z. Genome-wide association studies of ionomic and agronomic traits in USDA mini core collection of rice and comparative analyses of different mapping methods. BMC Plant Biol. 2020, 20, 441. [Google Scholar] [CrossRef]
- Cui, Y.; Zhang, F.; Zhou, Y. The application of multi-locus GWAS for the detection of salt-tolerance loci in rice. Front. Plant Sci. 2018, 9, 1464. [Google Scholar] [CrossRef]
- Tan, Y.; Sun, L.; Song, Q.; Mao, D.; Zhou, J.; Jiang, Y.; Wang, J.; Fan, T.; Zhu, Q.; Huang, D.; et al. Genetic architecture of subspecies divergence in trace mineral accumulation and elemental correlations in the rice grain. Theor. Appl. Genet. 2020, 133, 529–545. [Google Scholar] [CrossRef]
- Cu, S.T.; Warnock, N.I.; Pasuquin, J.; Dingkuhn, M.; Stangoulis, J. A high-resolution genome-wide association study of the grain ionome and agronomic traits in rice Oryza sativa subsp. indica. Sci. Rep. 2021, 11, 17. [Google Scholar] [CrossRef]
- Wu, X.; Islam, A.S.M.F.; Limpot, N.; Mackasmiel, L.; Mierzwa, J.; Cortés, A.J.; Blair, M.W. Genome-wide SNP identification and association mapping for seed mineral concentration in mung bean (Vigna radiata L.). Front. Genet. 2020, 11, 656. [Google Scholar] [CrossRef]
- Nardi, E.P.; Evangelista, F.S.; Tormen, L.; Saint´pierre, T.D.; Curtius, A.J.; de Souza, S.S.; Barbosa, F. The use of inductively coupled plasma mass spectrometry (ICP-MS) for the determination of toxic and essential elements in different types of food samples. Food Chem. 2009, 112, 727–732. [Google Scholar] [CrossRef]
- Low, K.H.; Zain, S.M.; Abas, M.R. Evaluation of metal concentrations in red tilapia (Oreochromis spp.) from three sampling sites in Jelebu, Malaysia using principal component analysis. Food Anal. Methods 2011, 4, 276–285. [Google Scholar] [CrossRef]
- Morales, K.Y.; Singh, N.; Perez, F.A.; Ignacio, J.C.; Thapa, R.; Arbelaez, J.D.; Tabien, R.E.; Famoso, A.; Wang, D.R.; Septiningsih, E.M.; et al. An improved 7K SNP array, the C7AIR, provides a wealth of validated SNP markers for rice breeding and genetics studies. PLoS ONE 2020, 15, e0232479. [Google Scholar] [CrossRef] [PubMed]
- Li, Y.; Willer, C.J.; Ding, J.; Scheet, P.; Abecasis, G.R. MaCH: Using sequence and genotype data to estimate haplotypes and unobserved genotypes. Genet. Epidemiol. 2010, 34, 816–834. [Google Scholar] [CrossRef] [PubMed]
- Pritchard, J.K.; Stephens, M.; Donnelly, P. Inference of population structure using multilocus genotype data. Genetics 2000, 155, 945–959. [Google Scholar] [CrossRef]
- Evanno, G.; Regnaut, S.; Goudet, J. Detecting the number of clusters of individuals using the software structure: A simulation study. Mol. Ecol. 2005, 14, 2611–2620. [Google Scholar] [CrossRef]
- Zhang, C.; Dong, S.-S.; Xu, J.-Y.; He, W.-M.; Yang, T.-L. PopLDdecay: A fast and effective tool for linkage disequilibrium decay analysis based on variant call format files. Bioinformatics 2019, 35, 1786–1788. [Google Scholar] [CrossRef]
- Zhang, Y.-W.; Tamba, C.L.; Wen, Y.-J.; Li, P.; Ren, W.-L.; Ni, Y.-L.; Gao, J.; Zhang, Y.-M. mrMLM v4.0: An r platform for multi-locus genome-wide association studies. Genom. Proteom. Bioinform. 2020, 18, 481–487. [Google Scholar] [CrossRef]
- Teslovich, T.M.; Musunuru, K.; Smith, A.V.; Edmondson, A.C.; Stylianou, I.M.; Koseki, M.; Pirruccello, J.P.; Ripatti, S.; Chasman, D.I.; Willer, C.J.; et al. Biological, clinical and population relevance of 95 loci for blood lipids. Nature 2010, 466, 707–713. [Google Scholar] [CrossRef]
- Civáň, P.; Ali, S.; Batista-Navarro, R.; Drosou, K.; Ihejieto, C.; Chakraborty, D.; Ray, A.; Gladieux, P.; Brown, T.A. Origin of the aromatic group of cultivated rice (Oryza sativa L.) traced to the Indian subcontinent. Genome Biol. Evol. 2019, 11, 832–843. [Google Scholar] [CrossRef]
- Xu, F.; Bao, J.; He, Q.; Park, Y.-J. Genome-wide association study of eating and cooking qualities in different subpopulations of rice (Oryza sativa L.). BMC Genom. 2016, 17, 663. [Google Scholar] [CrossRef] [PubMed]
- Mather, K.A.; Caicedo, A.L.; Polato, N.R.; Olsen, K.M.; McCouch, S.; Purugganan, M.D. The Extent of Linkage Disequilibrium in Rice (Oryza sativa L.). Genetics 2007, 177, 2223–2232. [Google Scholar] [CrossRef] [PubMed]
- Zhang, Y.-M.; Jia, Z.; Dunwell, J.M. Editorial: The applications of new multi-locus GWAS methodologies in the genetic dissection of complex Traits. Front. Plant Sci. 2019, 10, 100. [Google Scholar] [CrossRef] [PubMed]
- Norton, G.J.; Douglas, A.; Lahner, B.; Yakubova, E.; Guerinot, M.L.; Pinson, S.R.M.; Tarpley, L.; Eizenga, G.C.; McGrath, S.P.; Zhao, F.-J.; et al. Genome wide association mapping of grain arsenic, copper, molybdenum and zinc in rice (Oryza sativa L.) grown at four international field sites. PLoS ONE 2014, 9, e89685. [Google Scholar] [CrossRef] [PubMed]
- White, P.J.; Broadley, M.R. Biofortification of crops with seven mineral elements often lacking in human diets–iron, zinc, copper, calcium, magnesium, selenium and iodine. New Phytol. 2009, 182, 49–84. [Google Scholar] [CrossRef] [PubMed]
- Zhang, M.; Pinson, S.R.M.; Tarpley, L.; Huang, X.-Y.; Lahner, B.; Yakubova, E.; Baxter, I.; Guerinot, M.L.; Salt, D.E. Mapping and validation of quantitative trait loci associated with concentrations of 16 elements in unmilled rice grain. Theor. Appl. Genet. 2014, 127, 137–165. [Google Scholar] [CrossRef]
- Bollinedi, H.; Yadav, A.K.; Vinod, K.K.; Krishnan, S.G.; Bhowmick, P.K.; Nagarajan, M.; Neeraja, C.N.; Ellur, R.K.; Singh, A.K. Genome-wide association study reveals novel marker-trait associations (MTAs) governing the localization of fe and zn in the rice grain. Front. Genet. 2020, 11, 213. [Google Scholar] [CrossRef]
- Lee, S.; Jeon, U.S.; Lee, S.J.; Kim, Y.K.; Persson, D.P.; Husted, S.; Schjørring, J.K.; Kakei, Y.; Masuda, H.; Nishizawa, N.K.; et al. Iron fortification of rice seeds through activation of the nicotianamine synthase gene. Proc. Natl. Acad. Sci. USA 2009, 6, 22014–22019. [Google Scholar] [CrossRef]






| Power (W) | % Max | Time (min) to Raise Temperature (℃) | Temperature | Running Time (min) |
|---|---|---|---|---|
| 1600 | 50 | 20.5 | 160 | 4.5 |
| Trait | SNP | Alleles | Chr. | Pos.(bp) | Single-Locus GWAS | Multi-Locus GWAS | ||||
|---|---|---|---|---|---|---|---|---|---|---|
| Cu | −log10P | R2 | Model | LOD | R2 | Model | ||||
| 304,900 a | G/A | 1 | 10,100,605 | 4.07–4.55 | 8.37–17.62 | C, EC, G | 3.84–6.82 | 9.38–20.57 | M, FM, PK, PL, Ib | |
| SNP-1.13478728. | G/A | 1 | 13,479,755 | 3.55 | 10.04 | G | ||||
| 760,644 | A/C | 1 | 22,723,681 | 3.57 | 7.81 | G | ||||
| 907,175 | G/A | 1 | 27,047,209 | 3.67 | 7.28 | G | ||||
| id2015767 | A/G | 2 | 34,868,096 | 3.50 | 7.20 | G | ||||
| id4000574 | C/A | 4 | 972,749 | 3.22 | 9.12 | C | ||||
| 4,572,241 | G/A | 4 | 26,688,183 | 3.02, 3.23 | 7.20, 13.60 | C, EC | ||||
| SNP-6.2196821. | A/T | 6 | 2,197,821 | 3.01 | 8.16 | G | ||||
| 6,147,112 | G/A | 6 | 10,199,497 | 3.01 | 5.91 | G | ||||
| SNP-6_10761128. | A/G | 6 | 10,762,128 | 3.47 | 6.93 | G | ||||
| 6,285,634 | G/A | 6 | 13,487,635 | 3.21 | 9.08 | C | ||||
| 6,427,131 | A/G | 6 | 16,508,748 | 3.40 | 9.73 | G | ||||
| id7001155 | G/A | 7 | 6,987,625 | 3.37–3.91 | 6.97–15.91 | C, EC, G | 3.30 | 41.99 | M | |
| 7,993,541 | C/A | 8 | 416,250 | 3.51 | 7.46 | G | ||||
| id8006885 | G/A | 8 | 24,753,844 | 3.21 | 9.10 | C | ||||
| SNP-10.9068762. | G/A | 10 | 9,139,902 | 3.17 | 8.96 | C | ||||
| 11,233,430 | G/A | 11 | 11,715,177 | 3.06 | 13.70 | EC | ||||
| SNP-11.13313880. | G/A | 11 | 13,777,560 | 3.35 | 14.46 | EC | ||||
| SNP-11.25392640. | A/C | 11 | 25,858,722 | 3.25, 4.16 | 5.33, 8.69 | I, PK | ||||
| Fe | 153,297 | G/A | 1 | 4,823,701 | 3.77 | 10.55 | C | |||
| SNP-1.32376151. | G/A | 1 | 32,377,196 | 3.48 | 9.71 | C | ||||
| 1,202,195 | A/C | 1 | 37,230,818 | 3.16, 3.21 | 6.60, 8.77 | C, G | ||||
| 1,257,104 | A/G | 1 | 39,282,883 | 3.24 | 12.81 | G | ||||
| SNP-2.2575985. | G/A | 2 | 2,575,988 | 3.17 | 8.79 | C | ||||
| SNP-2.8455563. | G/C | 2 | 8,455,565 | 3.38 | 6.64 | G | ||||
| 2,087,054 | A/G | 2 | 22,324,900 | 3.15 | 8.75 | C | ||||
| 2,267,750 | A/C | 2 | 27,548,893 | 3.25 | 9.05 | C | ||||
| id3004190 | A/G | 3 | 7,849,199 | 3.02 | 8.38 | C | ||||
| 3,501,392 | G/A | 3 | 33,987,612 | 3.45 | 6.77 | G | ||||
| SNP-4.6317262. | G/A | 4 | 6,321,823 | 3.28 | 6.49 | G | ||||
| SNP-4.10930754. | A/G | 4 | 10,940,054 | 3.08 | 8.54 | C | ||||
| 4,128,471 | C/A | 4 | 12,879,859 | 3.10 | 8.59 | C | ||||
| SNP-4.13348501. | C/A | 4 | 13,357,791 | 3.28 | 9.12 | C | ||||
| 4,241,771 | G/A | 4 | 16,199,670 | 3.54 | 9.87 | C | ||||
| SNP-4.22128339. | G/A | 4 | 22,313,458 | 3.66 | 10.22 | C | ||||
| 4,678,550 | G/A | 4 | 30,601,123 | 4.28 | 12.08 | C | ||||
| 4,882,140 | A/C | 5 | 2,378,143 | 3.23 | 8.97 | C | ||||
| 5,196,119 | A/G | 5 | 10,528,231 | 3.36–3.52 | 6.97–18.43 | C, EC, G | 3.47–3.99 | 6.06 × 10−10–26.83 | FM, PK, PL | |
| 5,735,083 | A/G | 5 | 27,094,485 | 3.17–3.47 | 6.89–17.89 | C, EC, G | ||||
| SNP-6.1343132. | A/G | 6 | 1,344,132 | 3.38 | 9.41 | C | ||||
| SNP-6.2196821. | A/T | 6 | 2,197,821 | 3.14 | 8.70 | C | ||||
| id6007260 | A/G | 6 | 11,618,178 | 3.13 | 8.68 | C | ||||
| 6,285,634 | G/A | 6 | 13,487,635 | 3.86 | 10.82 | C | ||||
| 7,179,219 | A/G | 7 | 7,619,494 | 3.37 | 9.37 | C | ||||
| 7,643,802 | G/A | 7 | 18,573,822 | 3.67, 4.34 | 4.94, 5.33 | FM, I | ||||
| SNP-7.29385457. | A/G | 7 | 29,386,450 | 3.02 | 8.38 | C | ||||
| 8,067,129 | G/A | 8 | 2,887,584 | 3.25, 3.60 | 6.71, 10.07 | C, G | ||||
| 9,921,984 | A/G | 10 | 650,031 | 3.53 | 3.56 | FM | ||||
| SNP-10.13843768. | T/A | 10 | 13,915,001 | 3.31 | 9.21 | C | ||||
| 10,555,828 | G/A | 10 | 14,438,582 | 3.09 | 8.56 | C | ||||
| SNP-10.20587837. | G/A | 10 | 20,659,359 | 3.13 | 8.70 | C | ||||
| 10,778,744 | A/G | 10 | 21,397,933 | 3.16 | 17.88 | EC | ||||
| SNP-11.28200021. | C/G | 11 | 28,723,243 | 3.29 | 9.14 | C | ||||
| SNP-12.6356528. | C/A | 12 | 6,357,639 | 3.73 | 10.44 | C | ||||
| K | SNP-1.6382810. | G/A | 1 | 6,383,811 | 3.06 | 8.62 | C | 3.22 | 14.41 | M |
| SNP-1.23170758. | G/A | 1 | 23,171,803 | 3.70 | 34.37 | PK | ||||
| 1,202,195 | A/C | 1 | 37,230,818 | 3.37, 3.75 | 6.59, 23.80 | EC, G | ||||
| SNP-1.41998191. | T/A | 1 | 41,999,235 | 3.90–5.05 | 5.27–8.37 | FM, I, M | ||||
| 2,375,486 | G/A | 2 | 31,547,627 | 3.01 | 10.55 | M | ||||
| SNP-3.5666296. | G/A | 3 | 5,667,297 | 3.10 | 8.74 | C | ||||
| 2,964,807 | G/A | 3 | 17,453,008 | 3.03 | 6.02 | G | ||||
| 3,173,191 | A/G | 3 | 22,657,915 | 3.31 | 6.56 | G | ||||
| id5004837 | G/A | 5 | 10,539,124 | 3.00, 4.06 | 6.57, 8.44 | C, G | ||||
| 5,452,087 | A/G | 5 | 17,598,723 | 3.33, 3.67 | 7.05, 11.58 | FM, M | ||||
| SNP-5.28500625. | C/G | 5 | 28,563,271 | 4.32 | 18.56 | G | 3.11, 4.40 | 5.69, 12.04 | FM, M | |
| 5,787,299 | A/G | 5 | 29,150,826 | 3.12, 3.30 | 6.03, 22.76 | EC, G | ||||
| SNP-6_1500959. | A/G | 6 | 1,501,961 | 3.44 | 7.69 | PK | ||||
| 6,674,186 | C/A | 6 | 22,249,886 | 3.06 | 7.61 | G | ||||
| 7,892,688 | G/A | 7 | 26,282,546 | 3.78, 4.51 | 4.92, 8.06 | FM, M | ||||
| 8,966,923 | C/A | 8 | 25,213,697 | 3.24, 3.30 | 3.28, 3.85 | I, M | ||||
| id8007977 | A/G | 8 | 28,377,609 | 3.31 | 6.59 | G | 3.19 | 5.86 | FM | |
| c9p4565514 | C/A | 9 | 4,565,515 | 3.15 | 6.09 | G | ||||
| 10,063,204 | A/G | 10 | 3,400,212 | 3.10 | 6.13 | G | ||||
| 10,480,545 | G/A | 10 | 12,310,115 | 3.15, 4.27 | 6.97, 8.81 | C, G | ||||
| id10003608 | G/A | 10 | 13,711,367 | 3.09 | 8.70 | C | ||||
| SNP-11.235195. | G/A | 11 | 236,194 | 3.04 | 8.57 | C | ||||
| 13,022,382 | A/C | 12 | 25,490,919 | 3.00, 4.06 | 6.57, 8.45 | C, G | ||||
| Mg | 153,297 | G/A | 1 | 4,823,701 | 3.19 | 8.82 | C | |||
| 170,435 | G/A | 1 | 5,408,523 | 3.34 | 9.28 | C | ||||
| 572,891 | G/A | 1 | 17,008,280 | 3.11 | 8.62 | C | ||||
| id1012746 | A/G | 1 | 22,494,508 | 3.16 | 6.14 | G | ||||
| SNP-1.23342685. | G/A | 1 | 23,343,730 | 2.98 | 8.22 | C | ||||
| 899,561 | A/G | 1 | 26,762,494 | 3.10 | 6.71 | C | ||||
| 907,175 | G/A | 1 | 27,047,209 | 3.16 | 6.13 | G | ||||
| 1,202,195 | A/C | 1 | 37,230,818 | 3.02–3.29 | 5.83–25.51 | C, EC, G | ||||
| 1,257,104 | A/G | 1 | 39,282,883 | 3.98 | 9.82 | G | 3.16, 3.42 | 3.62, 4.18 | I, PL | |
| SNP-2.2575985. | G/A | 2 | 2,575,988 | 3.05 | 8.42 | C | ||||
| 2,031,305 | G/A | 2 | 20,616,529 | 4.13 | 10.43 | G | ||||
| 2,087,054 | A/G | 2 | 22,324,900 | 3.03 | 8.38 | C | ||||
| SNP-3.5666296. | G/A | 3 | 5,667,297 | 3.63 | 10.12 | C | ||||
| 2,853,978 | G/A | 3 | 14,652,096 | 3.17 | 16.40 | M | ||||
| 2,972,375 | G/A | 3 | 17,674,269 | 3.08 | 8.50 | C | ||||
| 3,501,392 | G/A | 3 | 33,987,612 | 3.71 | 7.40 | G | ||||
| 4,288,833 | A/G | 4 | 17,316,219 | 3.39 | 6.96 | G | 3.79, 3.80 | 5.49, 7.13 | I, PL | |
| 4,448,877 | G/A | 4 | 21,864,875 | 4.60 | 13.00 | C | ||||
| 4,678,550 | G/A | 4 | 30,601,123 | 3.36 | 9.34 | C | ||||
| 4,833,352 | A/G | 5 | 922,530 | 3.52–3.85 | 7.51–26.75 | C, EC, G | 4.84–7.43 | 7.65–13.28 | FM, I, M, PL | |
| 4,882,140 | A/C | 5 | 2,378,143 | 3.05 | 8.44 | C | ||||
| id5002528 | C/A | 5 | 4,819,475 | 3.35 | 9.30 | C | ||||
| 5,011,602 | G/A | 5 | 6,374,926 | 3.21 | 8.88 | C | ||||
| 5,121,882 | A/G | 5 | 8,842,405 | 3.00–4.02 | 4.90–12.68 | FM, M, PL | ||||
| id5004837 | G/A | 5 | 10,539,124 | 3.32, 3.77 | 7.30, 7.48 | C, G | ||||
| SNP-5.28500625. | C/G | 5 | 28,563,271 | 3.93 | 8.55 | G | ||||
| SNP-6.1343132. | A/G | 6 | 1,344,132 | 3.09 | 8.55 | C | ||||
| SNP-6.2196821. | A/T | 6 | 2,197,821 | 3.31 | 9.18 | C | ||||
| 6,285,634 | G/A | 6 | 13,487,635 | 3.69 | 10.30 | C | ||||
| 6,351,040 | G/A | 6 | 14,937,819 | 3.45 | 9.58 | C | ||||
| 6,496,457 | C/A | 6 | 17,969,922 | 3.50 | 7.80 | G | 3.50, 4.80 | 4.84, 8.31 | FM, M | |
| 7,179,219 | A/G | 7 | 7,619,494 | 3.53 | 9.82 | C | ||||
| 8,067,129 | G/A | 8 | 2,887,584 | 3.62 | 10.07 | C | ||||
| 8,322,255 | G/A | 8 | 9,019,202 | 3.28 | 9.09 | C | ||||
| c9p4565514 | C/A | 9 | 4,565,515 | 3.27 | 6.40 | G | ||||
| SNP-10.13843768. | T/A | 10 | 13,915,001 | 4.10 | 11.51 | C | ||||
| SNP-10.20587837. | G/A | 10 | 20,659,359 | 3.21 | 8.89 | C | ||||
| SNP-11.235195. | G/A | 11 | 236,194 | 3.04 | 8.41 | C | ||||
| 10,943,015 | A/G | 11 | 4,419,880 | 3.06, 3.99 | 8.11, 24.99 | EC, G | 3.62, 4.04 | 7.65, 8.59 | I, PL | |
| 11,112,426 | G/A | 11 | 8,788,201 | 3.12 | 10.39 | G | ||||
| 11,130,199 | G/A | 11 | 9,217,367 | 3.12 | 10.39 | G | ||||
| 13,022,382 | A/C | 12 | 25,490,919 | 3.32–3.77 | 7.3–7.48 | C, G | ||||
| Mn | SNP-1.5867020. | A/G | 1 | 5,868,021 | 3.42–3.68 | 10.92–20.24 | FE, I, PK | |||
| SNP-1.14460354. | G/A | 1 | 14,461,381 | 3.25 | 14.16 | EC | ||||
| 5,868,825 | A/C | 6 | 1,521,855 | 4.01 | 6.54 | PK | ||||
| SNP-6.22337184. | G/A | 6 | 22,338,182 | 3.31 | 4.87–7.88 | FM, M | ||||
| 7,066,952 | G/A | 7 | 4,232,489 | 3.10 | 5.94 | G | ||||
| id10002943 | C/A | 10 | 11,195,773 | 3.05 | 13.66 | EC | ||||
| Zn | 1,280,193 | A/G | 1 | 40,154,802 | 3.76, 4.34 | 8.87, 49.90 | EC, G | |||
| SNP-1.40596823. | T/A | 1 | 40,597,867 | 3.48, 3.86 | 7.92, 49.46 | EC, G | 6.08 | 23.93 | FE | |
| 1,305,247 | G/A | 1 | 41,042,727 | 3.66–4.74 | 9.73–50.06 | C, EC, G | 3.03–6.73 | 8.61–11.01 | I, PK, PL | |
| SNP-1.41998191. | T/A | 1 | 41,999,235 | 4.22 | 6.01 | PL | ||||
| SNP-3.4621271. | G/A | 3 | 4,622,270 | 3.26 | 6.89 | G | ||||
| SNP-3.28426789. | G/A | 3 | 28,433,737 | 3.04 | 6.45 | G | ||||
| 3,405,830 | G/A | 3 | 29,987,079 | 4.78 | 16.90, 24.44 | FM, M | ||||
| rd3001044 | A/G | 3 | 31,627,459 | 3.00 | 6.11 | G | ||||
| id4004654 | G/A | 4 | 16,559,384 | 3.17 | 8.77 | C | ||||
| 4,572,241 | G/A | 4 | 26,688,183 | 3.92 | 7.80 | G | ||||
| id4010220 | A/G | 4 | 30,330,971 | 3.44 | 7.40 | I | ||||
| id5002528 | C/A | 5 | 4,819,475 | 4.05 | 50.34 | EC | 3.18 | 6.65, 13.02 | FM, M | |
| rd6001756 | G/A | 6 | 5,007,776 | 4.17 | 9.26 | G | ||||
| SNP-6.6241072. | A/G | 6 | 6,242,072 | 3.31 | 6.00, 11.38 | FM, M | ||||
| 6,496,457 | C/A | 6 | 17,969,922 | 3.08–3.47 | 5.32, 7.43 | PK, PL | ||||
| SNP-6.25063527. | G/A | 6 | 25,064,525 | 3.01 | 6.15 | G | 7.36 | 10.14, 14.37 | FM, M | |
| 6,783,797 | G/A | 6 | 25,387,111 | 3.00, 3.88 | 6.44, 50.08 | C, EC | ||||
| 10,430,775 | A/G | 10 | 11,051,662 | 5.96 | 12.63 | PK | ||||
| id10007301 | A/G | 10 | 23,033,344 | 3.66 | 10.18 | C | ||||
| 11,769,276 | G/A | 11 | 23,660,957 | 3.85, 8.13 | 5.35, 14.00 | FE, PK | ||||
| 11,915,122 | G/A | 11 | 27,015,384 | 3.65 | 49.72 | EC | ||||
| 12,134,336 | G/A | 12 | 4,433,511 | 3.04 | 8.39 | C |
Publisher’s Note: MDPI stays neutral with regard to jurisdictional claims in published maps and institutional affiliations. |
© 2022 by the authors. Licensee MDPI, Basel, Switzerland. This article is an open access article distributed under the terms and conditions of the Creative Commons Attribution (CC BY) license (https://creativecommons.org/licenses/by/4.0/).
Share and Cite
Islam, A.S.M.F.; Mustahsan, W.; Tabien, R.; Awika, J.M.; Septiningsih, E.M.; Thomson, M.J. Identifying the Genetic Basis of Mineral Elements in Rice Grain Using Genome-Wide Association Mapping. Genes 2022, 13, 2330. https://doi.org/10.3390/genes13122330
Islam ASMF, Mustahsan W, Tabien R, Awika JM, Septiningsih EM, Thomson MJ. Identifying the Genetic Basis of Mineral Elements in Rice Grain Using Genome-Wide Association Mapping. Genes. 2022; 13(12):2330. https://doi.org/10.3390/genes13122330
Chicago/Turabian StyleIslam, A. S. M. Faridul, Wardah Mustahsan, Rodante Tabien, Joseph M. Awika, Endang M. Septiningsih, and Michael J. Thomson. 2022. "Identifying the Genetic Basis of Mineral Elements in Rice Grain Using Genome-Wide Association Mapping" Genes 13, no. 12: 2330. https://doi.org/10.3390/genes13122330
APA StyleIslam, A. S. M. F., Mustahsan, W., Tabien, R., Awika, J. M., Septiningsih, E. M., & Thomson, M. J. (2022). Identifying the Genetic Basis of Mineral Elements in Rice Grain Using Genome-Wide Association Mapping. Genes, 13(12), 2330. https://doi.org/10.3390/genes13122330

