Abstract
F-box/LR (FBXL), Leucine-rich repeats in F-box proteins, belongs to the Skp1-Cullin1-F-box protein (SCF) E3 ligase family. FBXL genes play important roles in plant growth, such as plant hormones, responses to environmental stress, and floral organ development. Here, a total of 518 FBXL genes were identified and analyzed in six plant species. Phylogenetic analysis showed that AtFBXLs, VvFBXLs, and GrFBXLs were clustered into three subfamilies (Ⅰ-Ⅲ). Based on the composition of the F-box domain and carboxyl-terminal amino acid sequence, FBXL proteins were classified into three types (Type-A/-B/-C). Whole-genome duplication (WGD) along with tandem duplications and segmental contributed to the expansion of this gene family. The result indicates that four cotton species are also divided into three subfamilies. FBXLs in cotton were classified into three clades by phylogenetic and structural analyses. Furthermore, expression analyses indicated that the expression patterns of GhFBXLs in different cotton tissues were different. The highly expressed of GH_A07G2363 in 5–8 mm anthers, indicates that this gene might play a role in the reproductive process, providing candidate genes for future studies on cotton fertility materials. This study provides an original functional opinion and a useful interpretation of the FBXL protein family in cotton.
1. Introduction
The intracellular proteins in eukaryotes are degraded through the ubiquitin/26S proteasome system (UPS) [1]. The substrates of UPS were recruited in the ubiquitin ligase complex which is generated by the interaction of F-box proteins with the following: kinetochore protein 1 suppressor (Skp1), Cullin 1 (CUL1), and Ring-Box 1 (RBX1) [2]. The 40–50 amino acid-based F-box domain is present at the N-terminus of F-box proteins and interacts with Skp1. The F-box proteins’ name originated from the identification of the first N-terminal region of cyclin F [3]. The highly variable protein—protein interaction (PPI) domains such as WD40 repeats, Kelch repeats, and Leucine-rich repeats (LRR) are present at the C-terminus of the F-box proteins. These domains interact with their specific target molecules [4]. Several SCF component-related F-box proteins have been identified [5,6], but the F-box protein also functions with non-SCF complexes [7,8,9]. In eukaryotes such as yeast, flies, nematodes, humans, and plants, many F-box proteins have been identified in the past few years [5,6,10,11,12,13,14]. The subfamily “FBXL” is named for those F-box proteins which contain the LRR domain at the C-terminus of the F-box protein and are associated with the recognition of substrate, function, and disease association [15]. The FBXL subfamily is present in animals as well as in plants. In mammals, FBXL2 controls the phosphatidylinositol-3-kinase (PI3K) signaling cascade by interacting with the β-subunit of the p85 pool in the proteasomal degradation process [16]. The FBXL2 protein also interacts with the forkhead box M1 (FoxM1) transcription factor in gastric cancer [17], with ubiquitinates Aurora B to inhibit tumorigenesis [18]. The over-expression of FBXL7 in mice is associated with Alzheimer’s disease [19]. These results showed that FBXL proteins play an important role in mammals.
In plants, various kinds of FBPs have been characterized which play an important role in regulating different cell functions like nodulation [5,6,13], cell cycle control [20,21,22], photomorphogenesis [23,24], the identity of floral organs [25], self-incompatibility [26,27], leaf senescence [28], circadian rhythms [29,30], and the stress response [31,32]. The wheat FBXL protein “TaFBXL” interacts with the TaGPI-AP protein in the nucleus and plasma membrane for degradation through the 26S proteasome system. It is suggested that the TaGPI-AP protein is regulated by the TaFBXL protein [33]. In Arabidopsis, the F-box motif is very important for vein patterning at the cotyledon because an over-expression of FBXL produced the cotyledon with abnormal vein patterns [34]. The LRR domain in FBXL targets the suitable substrate through PPI, which results in the degradation of ubiquitinated proteins [35,36]. The AXR1 and HVE/CAND affect the cotyledon vein patterning through ubiquitination [37,38]. Moreover, FBXL is only expressed in the vascular tissues suggesting that their role may be associated with vascular tissues. The mutation in the vascular-specific genes i.e., CVP1 and CVP2, caused the abnormal venation pattern in cotyledon [37,38]. The over-expression of the FBXL gene also exhibited an abnormal vein pattern at the Arabidopsis cotyledon [34]. It showed that FBXL proteins have a strong association with cotyledon vein patterning vascular tissues. Additionally, the plant-specific domain, FBD motif, is also present at the C-terminus of the FBXL protein. Although the exact function is unknown of the FBD motif in FBPs, FBXL proteins may be involved in the vein patterning of cotyledon as an FBP depends on the F-box, LRRs, and FBD [34].
Cotton has a unique position among fiber-producing crops. Previously, Zhang et al. analyzed then characterized and identified 592 F-box protein encoding genes [39]. In this work, we present the detailed study of the F-box proteins’ subfamily FBXL in four cotton species (Gossypium hirsutum, Gh; Gossypium barbadense, Gb; Gossypium arboreum, Ga; and Gossypium raimondii, Gr) along with Arabidopsis thaliana (At), and Vitis vinifera (Vv). Our results will provide the first overview of the FBXL protein family in six different plant species which will serve as a foundation in the investigation of the FBXL function in plants for future studies.
2. Material and Methods
2.1. Identification and Physicochemical Analysis of the FBXL Protein Family Members
This study used the same sequence database of genome and identification methods as our previous study [40], including Gh, Gb, Ga, Gr, At, and Vv [41,42,43,44,45].
The original inquiry sequences were the 592 published F-box protein sequences from G. hirsutum [46]. The FBXL genes with the F-box domain at the N-terminus and LRR at the C-terminal were selected as the candidate gene. FBXL candidate genes were identified in G. hirsutum, and their amino acid sequences were used as inquiry sequences to search the homologous sequences in the protein databases of four cotton species by blastp software (Blast+, Camacho et al., MD, USA) [47].
Furthermore, the ExPASy tool (http://web.expasy.org/, accessed on 26 September 2021) was used to analyze the physicochemical property (i.e., isoelectric point, molecular weight, and length) of FBXLs of cotton, which were identified from the currently available genome database. The use of the CELLO v2.5 (Yu et al., Taiwan, China) server predicated the subcellular localization of FBXL genes [48].
2.2. Analysis of the FBXLs Conserved Motifs and Gene Structure
FBXL conserved motifs were identified using the MEME (Multiple Em for Motif Elimination) website (http://meme-suite.org/, accessed on 1 March 2022, Bailey, et al., Washington, USA), where the p-value of each motif was lower than that of 1 × 10−5. FBXLs protein domains were predicted by the SMART database (http://smart.embl-heidelberg.de/, accessed on 1 March 2022, v2020, Letunic, et al., Heidelberg, Germany). The motif, exon/intron structure, and conserved domain of FBXL genes in cotton were constructed by TBtools (v1.098661, Chen et al., Guangzhou, China) [49,50,51].
The template file was obtained from the AlphaFold DB (AlphaFold Protein Structure Database, https://alphafold.ebi.ac.uk, accessed on 11 May 2022, Varadi, et al., Hinxton, UK) [52], and the SWISS-MODEL (https://swissmodel.expasy.org/, accessed on 12 May 2022, Waterhouse, et al., Basel, Switzerland) [53] was used to generate the three-dimensional protein structure.
2.3. Sequences Alignments and Phylogenetic Analysis
The FBXL proteins’ amino acid sequences were aligned using the default parameters of MUSCLE 3.8.31 (Robert C Edgar, CA, USA) [54]. We used MEGA 7.0 (Kumar, et al., Philadelphia, USA) [55] to construct the maximum likelihood (ML) tree, by finding the best model, the bootstrap tests of 1000 replicates, the WAG + G + F model, the γ Distribution option, and the partial deletion option.
2.4. FBXLs in Four Cotton Species Chromosome Locations and Collinearity Analysis
The TBtools software and the BLAST (basic Local Alignment Search Tool) were used to locate the FBXL genes on the chromosomes of 4 cotton species and all the protein sequences were incorporated into the local database [51]. The whole protein sequence was used as a query to search the above database, and its e-value was 1 × 10−5. The results of blastp were analyzed by MCSCAN, and a collinear block covering the whole genome was produced. The collinear pairs belonging to the FBXL family were extracted and a collinear diagram was drawn by the Circos and TBtools software [47,56,57].
2.5. FBXL Gene Family Duplicated Gene Pairs Calculation of Selection Pressure
Using the MEGA 7.0 and the TBtools v1.098661 software simple Ka/Ks calculator operates according to the method published in our previous research, and finally estimated the selection pressure of each duplicate FBXL gene pair [40,51,54,55].
2.6. Analysis of Cis-Elements Promoter Regions of GhFBXLs
The 2000 bp DNA sequences in upstream regions of GhFBXLs were obtained from CottonFGD (https://cottonfgd.org/, accessed on 9 September 2021) as promoters [41]. We searched and analyzed the cis-regulatory elements of the GhFBXL gene in the promoter region through the PlantCARE website (http://bioinformatics.psb.ugent.be/webtools/plantcare/html/, accessed on 9 September 2021) [58,59].
2.7. Analysis of GhFBXL Genes Expression
RNA-Seq data were obtained from the Cotton Omics Database (http://cotton.zju.edu.cn/10.rnasearch.html, accessed on 15 September 2021) to analyze differentially expressed genes under different tissues [43]. RNA-seq data were evaluated by quantitative RT-PCR (qRT-PCR). Total RNA was extracted from roots, stems, leaves, and anthers (bud size < 3 mm, 4–5 mm, 5–8 mm, and >8 mm) of Zhongmiansuo 100 (Gossypium hirsutum L., cultivated in Baibi Town, Anyang, Henan Province, China). The developmental stages of different anthers were divided as described by Koltunow [60] and Scot [61]. All the primer sequences are shown in Table S10. The GhActin gene was selected as the internal control gene. The experiment was repeated 3 times, and the relative expression level of the GhFBXL genes was calculated by the 2−∆ct method. The experimental reagents and instruments used were referred to by Zhu et al. [40].
2.8. FBXL Proteins Gene Interaction Network Analysis
Based on the homologous genes of Arabidopsis thaliana, the multiple sequence search of STRING network analysis was performed by STRING software (https://string-db.org/, accessed on 19 April 2022, Szklarczyk, et al., Zurich, Switzerland) [62]. The confidence parameter was set to 0.4 thresholds, and the interaction of the FBXL protein was analyzed.
3. Results
3.1. Identification and Physicochemical Properties of FBXL Genes in Cotton
The 121, 119, 57, and 51 FBXLs genes after the blast analysis were obtained from the genome of Gh, Gb, Ga, and Gr, respectively (Table S1). The F-box and LRR domain were confirmed in the candidate genes through Interproscan 5 (http://www.ebi.ac.uk/interpro/, accessed on 10 July 2021) and SMART (http://smart.embl.de/, accessed on 10 July 2021) tools. We noticed that the tetraploid Gh contains almost double the number of FBXL genes as its diploid parents Ga and Gr. The results suggests that mostly FBXL genes remain preserved during polyploidization between Ga and Gr. Detailed information on physical parameters like transcript ID, protein length (aa), location on chromosome, isoelectric point (pI), protein weight (kDs), and predicted subcellular location of all the FBXL genes of four Gossypium species are listed in Table S1. The molecular weight of the FBXL proteins varied from 24.53 (GH_A06G0370) to 111.067 (GH_A07G0202) kDs in Gh, from 21.61 (GB_A02G0078) to 115.04 (GB_A11G3348) in Gb from 24.65 (Ga02G0228) to 103.64 (Ga06G0927) in Ga, and from 24.62 (Gorai.003G025500) to 110.7 (Gorai.001G020200) kDs in Gri with an average molecular weight of between 57.38~61.84 (Table S1). It can be seen that the genes in the FBXL family have differences in their molecular weight, amino acid number, and isoelectric points, which leads to subtle differences in the functions of genes. The predicted subcellular localization indicates that FBXL proteins are found in almost all organelles. In addition to the nucleus (20.69%) and plasma membrane (22.13%), other FBXL genes localize to the mitochondria, chloroplast, cytoplasmic and extracellular organelles (Table S1).
3.2. Domain, Conserved Motif, and Gene Structure Analysis
Gene function is closely related to the domain arrangement, conserved motifs, and gene structure. The FBXL protein family can be classified into 3 different groups based on their functional domains in the C-terminal region (Figure 1A–C). Groups A and B of the FBXL protein subfamily contain a different number of LRR regions at the C-terminal, and the various LRRs accumulate together to shape the domed docking structure [63]. Group C contains LRR and plant-specific FBD domains. The FBD domain contains about 80 amino acids and its function is supposed to associate with nuclear processes [12]. We selected three Arabidopsis orthologs genes (TIR1, FBL17, At1g13570) from Groups A, B and C, respectively. The molecular structure file of Arabidopsis FBXL genes was downloaded from AlphaFold, and then imported into SWISS-MODEL to build the model (Figure 1D–F). The 3D protein structures show that one α-helix and a β-strand consisted of an LRR [64]. These three proteins are composed of different numbers of LRR; this effectively supports the three types of our classification.
Figure 1.
The classification of FBXL proteins. (A–C) Group-Ⅰ, Group-Ⅱ, and Group-Ⅲ domain structures, respectively. (D–F) Three-dimensional structure of representative genes of Group-Ⅰ, Group-Ⅱ, and Group-Ⅲ.
Further, in order to study the existence and conservation of homologous sequences in the two domains, F-box and LRR or LRR/FBD, we used the online MEME tool to make multiple sequence alignments to generate sequence logos of the two domains in the cotton species. Among the 25 motifs identified in GhFBXL, 1 motif was found to be conserved in 22 genes of clad-I, 64 genes of clade-II, and 35 genes of clad-III (Figure 2). Motifs 1,7,10 and 17 were only found in clad-I (Figure 2). It is speculated that a certain function has been lost in the evolutionary process. There are consistent structural domains in each category, with semblable structural characteristics. Using the same method to analyze the motifs of GaFBXL, and GrFBXL, they had similar motifs compared with GhFBXL, except for the number of genes that is only about half in GhFBXL (Supplementary Figures S1 and S2).
Figure 2.
The conserved motifs, exon–intron structures of GhFBXLs. (A) Phylogenetics tree of GhFBXL genes. Used maximum likelihood (ML) method in MEGA7.0 software to create the phylogenetic tree. (B) Gh FBXL protein Motif prediction. (C) Analysis of exon—intron and gene structure of GhFBXL genes. (I: Grpup I; II:Group II; III: Group III).
The gene structural analysis was carried out to assess the structural evolution of each FBXL gene in three cotton species. The presence of introns in FBXL genes ranged from 0 to 18 (Table S2). Based on introns presence, the FBXL genes can be split into four classes i.e., intronless, 1-intron, 2-intron, and more than 3-intron at each gene. The maximum FBXL genes (34.9%; 80) were observed in the 2-intron class followed by the 3-intron class, which contains 31.9 % genes. The intronless class contains the minimum number (10.5%) of intron regions (Table S2). The distribution of exons and introns of FBXL genes are more uniform and consistent within each class. The structural differences among different FBXL classes may be due to their unique characteristics and conservation of various components.
3.3. Phylogenetic Analysis of FBXL Genes
To elucidate the evolutionary relationship of the FBXL gene family in Gossypium species, the maximum-likelihood approach was applied to construct the phylogenetic tree using 1000 bootstrap replicates with AtFBXL (127), VvFBXL (43), and GrFBXL (57) named as Group-A. The same method was used to remodel the phylogenetic tree from GhFBXL (121), GbFBXL (119), GaFBXL (51) and GrFBXL (57), named as Group-B (Figure 3). The phylogenetic tree analysis showed that the FBXL members were divided into three monophyletic clades in both trees, in which FBXL family members containing the same or similar C-terminal region fall together in one cluster. In Group-A, the number of Gh, Ga, Gr, and Gb FBXL genes in clad-I was almost double that of those in clad-II, and clad-III, the same distribution of At, Vv and Gr, was also observed in Group B (Table S3). The variation in the number of FBXL distribution in each clad was found. For example, 71, 29, and 127 FBXL members were found in clad-I, clad-II, and clad-III, respectively (Figure 3A). The same pattern of FBXL gene distribution was also observed within the cotton species phylogenetic tree (Figure 3B).
Figure 3.
Phylogenetic relationship among FBXL proteins. (A) 227 FBXL genes from 3 plant species analyzed regarding the phylogenetic relationship. (B) 348 FBXL genes from 4 cotton species analyzed regarding the phylogenetic relationship. The two maximum likelihood (ML) phylogeny trees were constructed by the MEGA 7.0 software. The bootstrap method was used and replicated 1000 times. (I: Grpup I; II:Group II; III: Group III).
3.4. Chromosomal Location and Duplication Event of FBXL Genes
To further analyze the characteristics of the FBXL family genes, we performed a chromosome location analysis of the four Gossypium species of the gene family and drew a physical map of the chromosome distribution of the FBXL family genes (Supplementary Figure S2 and Table S7). In the four Gossypium species, the FBXL family genes were distributed on different and specific chromosomes. The number of genes on chromosomes of Gh and Gb tended to be the same. The chromosomes D04, D09, scaffold31727_obj_D02, and scaffold467_obj_A13 of Gh and chromosomes A09, D04, D09, and scaffold31993_obj of Gb contain a minimum of 1 gene. Two to 8 FBXL genes in Gh and Gb range from other chromosomes, respectively (Supplementary Figure S3). Analysis of the FBXL genes on different chromosomes of Ga revealed that the A genome is consistent with the A genome chromosomes of Gh and Gb, except for chromosomes A02, A03, A04, A05, A06, A08, A09, and A13. The distribution of the FBXL genes on chromosomes has undergone a large number of new additions and losses. Only the number of genes on chromosomes D03, D04, D09, D10, D11, and D12 were the same as that of the Gh and Gb D genome. There was no correlation between chromosome length and the number of FBXL genes in the four cotton species. These results explain the fact that longer chromosomes do not essentially contain a maximum number of FBXL genes (Supplementary Figure S3).
Several cotton genes have been observed to be duplicated at the whole genome level when the A-genome of Ga and the D-genome of Gr are combined to develop allotetraploid cotton containing the AD genome. The evolution of gene families generally undergoes three processes, namely fragment replication, whole-genome replication, and tandem replication. A joint analysis of the FBXL genes of Gh, Gb, Gr, and Ga was carried out, and the gene duplication and collinearity between them were analyzed, which indicated that the two tetraploid genomes of Gh and Gb are composed of two ploidy genomes (Gr and Ga) during genetic transformation. Homologous sequences can usually be predicted by genomic collinearity analysis, and some functions of homologous sequences might be similar. Therefore, genome-wide collinearity analysis is of great value for function prediction. The genes connected by collinearity lines represent the same gene. Several chromosomes in the GhAt/GhDt, GbAt/GbDt subgenome, and GaA and GrD genomes are connected by lines of the same color, namely, the GhAt/GhDt and GbAt/GbDt subgenomes have FBXL homologous genes in the GaA and GrD genomes (Figure 4). These findings indicate that these genomes/subgenomes are closely related during evolution, and most of the FBXL genes have been obtained during the evolutionary process of polyploidy. Genes located in the same chromosome region are classified as tandem duplications (TD), while genes from the same genome are known as whole-genome duplication (WGD)/segmental duplications (SD). Observed were 41 FBXLs, which arepart of tandem duplicated; 152 FBXLs, which are part of WGD/segmental duplicated, and 36 FBXLs part of other replication types among 3 cotton species (Tables S4 and S5). The tandem duplicated GaFBXL genes are located on Chr01, Chr03, and Chr11, the GrFBXL genes on the Chr01, Chr02, Chr05, Chr07, Chr10, and Chr 13, and the GhFBXL genes on the A01, A02, A04, A06, A07, A13, D02, D05, and D06. It is suggested that the regularity of the tandem repetition and further verification of the allotetraploid cotton species is derived from the evolutionary hybridization of the diploid cotton species [57]. The number of WGD/SD FBXL genes was higher than the TD and SD genes and our findings correlate with previous studies, which were based on the gene duplication events in different Gh gene families [46,65].
Figure 4.
The analysis of synteny and collinearity in Ga, Gr, and Gh. The chromosomes of Ga, Gr, and Gh represents orange, light blue, and grass green colors, respectively. The lines of blue, orange and rose lines represent the GrD/GaA, GhAD/GrD, GhAD/GaA genomes, respectively.
3.5. Ka/Ks Selective Pressure Analysis of FBXL Gene Family
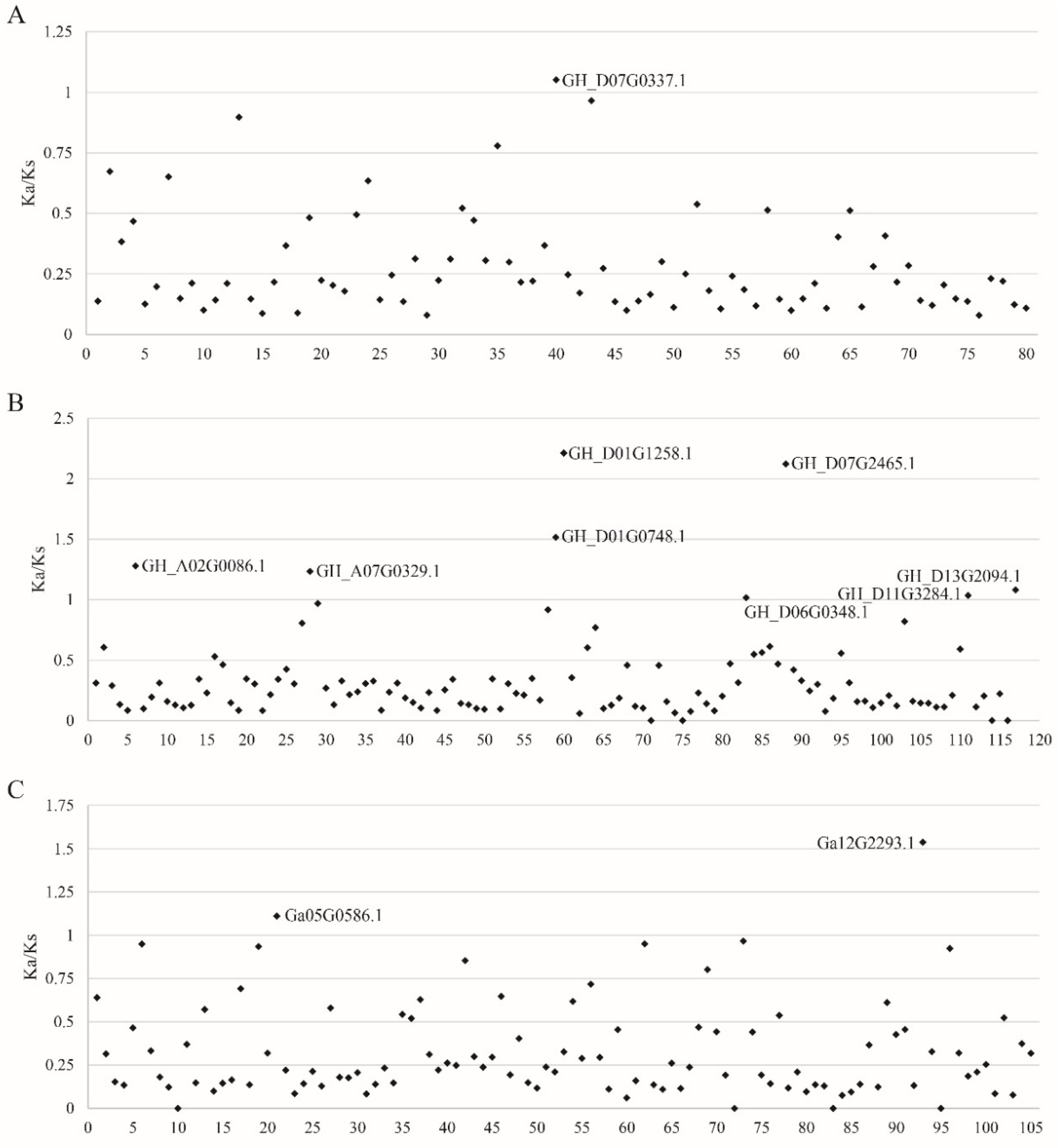
The evolution dynamics of the FBXL family genes of G. hirsutum were explored through comparative analysis of different modes of duplication. This includes the calculation of non-synonymous substitutions/site (Ka), synonymous substitutions/site (Ks), and their ratio (Ka/Ks) of each duplicated pair, resulting in a calculation of the divergence of cotton FBXL gene family members. The evolution of FBXL family gene pairs of three cotton species was carried out through the selection pressure analysis to observe whether there is selective pressure acting on the FBXL family. In the process of evolution, the duplicated gene pair may also deviate from its original function, which eventually leads to loss of original function (non-functionalization), division of original function (sub-functionalization), and acquisition of new function (new functionalization) [66]. To study whether Darwin’s positive selection is related to FBXL gene divergence after duplication, and to determine the nature and degree of selection pressure on these duplication gene pairs, we calculated the Ka and Ks values of duplication gene pairs. These combinations include Gh-Gh, Gh-Gr, Gh-Ga. According to the Ka/Ks ratio, the selection pressure of repeated gene pairs can be inferred. It is generally believed that Ka/Ks = 1 means neutral selection (pseudogene), Ka/Ks < 1 means positive selection effect, and Ka/Ks > 1 means purifying selection effect. A total of 80, 117, and 105 pairs of FBXL family genes in the Gh-Gh, Gh-Gr, and Gh-Ga, respectively, were observed. The 1 pair FBXL genes in Gh-Gh, 8 pairs in Gh-Gr, and 2 pairs in Gh-Ga were under positive selection effect while others are of purifying selection, indicating that FBXL family genes are relatively conservative in the evolutionary process (Figure 5).
Figure 5.
The distribution of Ka/Ks ratio of orthologous pairs between GhFBXL, GrFBXL, and GaFBXL. (A) Ka/Ks analysis of GhFBXL-GhFBXL. (B) Ka/Ks analysis of GhFBXL-GrFBXL. (C) Ka/Ks analysis of GhFBXL-GaFBXL.
Similarly, Gh-Gh, Gh-Gr, and Gh-Ga duplications gene pairs with Ka/Ks values from 0.99 to 0.5 were 10, 13, and 20, respectively (Table S8). The number of duplicated gene pairs with a Ka/Ks ratio from 0.49 to 0 was 69, 96, and 83 (Table S8). Our results suggested that these gene pairs may have undergone rapid evolution after repetition and have experienced positive selection pressure. Since most of the Ka/Ks values were less than 1.0, we predicted that the cotton FBXL gene family has experienced strong purification selection pressure and limited functional differentiation after fragment replication and WGD [67] (Figure 5).
3.6. Analysis of Cis-Elements in Predicted Promoter Regions of GhFBXLs
The location in the gene promoter region of the cis-acting element can be used as a reference for tissue specificity and stress response to different environments. The cis-acting elements of the FBXL gene family mainly include the cis-acting regulatory elements involved in plant growth and development, hormonal response, plant defense, and light-responsive elements. For the sake of delve the possible managerial functions of GhFBXL genes under hormone regulation pathways and diverse environmental stresses, the 121 GhFBXL genes promoter regions of 2000-bp were submitted to the online database (PlantCARE: http://bioinformatics.psb.ugent.be/webtools/plantcare/html/, accessed on 9 September 2021) for the identification of presumptive plants growth, development, abiotic stress, and phytohormones cis-elements. To cis-elements engaged in plant development and growth, the responded elements of light are the most abundant (39.83%) element in 121 FBXL genes promoter regions (Figure 6) and were widely distributed throughout the promoter regions. Other related cis-acting elements involved in plant development and growth include MYB, MYB-like sequence, Myb, MYB recognition site, and Myb-binding site, occupy 17.07%. Another category of cis-acting elements abundant in the promoter section of GhFBXL genes was hormone-responsive elements, which the ABA-responsive and MeJA-responsive elements comprised 8.76% and 7.07% of total repeats, respectively, (Table S9). These GhFBXLs elements were randomly spread in the promoter regions and were forecasted to participate in plant development and growth, stress, phytohormone, and responses (Figure 6).
Figure 6.
Analysis of cis-elements in promoter regions of GhFBXLs. (A) Phylogenetic tree of GhFBXL genes. (B) Analysis of cis-elements in GhFBXLs promoters. (I: Grpup I; II:Group II; III: Group III).
3.7. Gene Expression Profiles of GhFBXLs
To infer the potential biological function of FBXLs, we investigated the expression patterns of different FBXL genes in Gh based on the download from COTTONOMICS (http://cotton.zju.edu.cn/, accessed on 15 September 2021) of the RNA-seq data. Gene expression patterns showed that some GhFBXL genes such as GH_A06G0371, GH_A06G0372, GH_A07G2522, GH_D05G1692, GH_D06G0349, GH_D07G2465, GH_A04G0512, GH_D01G0740, GH_D02G2630, GH_D02G0090, GH_D11G3284, and GH_D13G1598 were significantly expressed during the later stage of fiber development (20 DPA: Day Post Anthesis, and 25 DPA fibers). At 10 DPA fibers, remarkable alteration in the expression of two genes (GH_D11G3232 and GH_A06G0370) were observed. The GH_A13G1643 and GH_D05G3541 were prominently expressed in ovule at 10 DPA. The two genes (GH_A07G2364 and GH_D07G2363) display a significant expression in 20 DPA ovule. Four genes (GH_A01G0747, GH_D01G0748, GH_A11G3047, and GH_D11G3076) were significantly expressed in roots and four genes (GH_A06G0343, GH_D06G0328, GH_A10G0227, and GH_D10G0239) were significantly expressed in stems. Five genes (GH_A01G0749, GH_A08G2719, GH_A13G1638, GH_D08G1411, and GH_D08G1648) were significantly expressed in anther, while the remaining GhFBXLs were lowly expressed or had no expression (Figure 7).
Figure 7.
Expression pattern analysis of GhFBXL genes. This website’s (http://cotton.zju.edu.cn/, accessed on 15 September 2021) RNA—seq data generated heat maps, and color scale as shown in the figure above on the right side.
Using the RNA-seq database, we chose seven GhFBXL genes (GH_A06G0370, GH_D01G0740, GH_D13G1598, GH_A07G2363, GH_A07G2364, GH_D07G2305, and GH_D07G2307) in different segments to verify the expression profile of GhFBXLs by qRT-PCR. The gene expression patterns assessed via qRT-PCR showed a semblable trend to those measured by the RNA-seq data, exhibited in Figure 7 and Figure 8. Amusingly, phylogenetic analysis indicated that Gorai.001G243000 and Gorai.001G243100 had the highest homology with VIT 207s0141g00330 and AtFBL17(AT3G54650), belonging to subfamily I (Figure 3A). Gorai.001G243000, Gorai.001G243100, Ga07G2428, Ga07G2429, GH_A07G2363, GH_A07G2364, GH_D07G2305, GH_D07G2307, GB_A07G2452, GB_A07G2453, GB_D07G2423, and GB_D07G2425 also belong to subfamily I (Figure 3B). Based on the above results, GH_A07G2363, GH_A07G2364, GH_D07G2305, and GH_D07G2307 may have the same functions as AtFBL17 (AT3G54650), participating in the growth and development of flowering plants, such as twin sperm cell production, double fertilization, cell proliferation, and internal replication [21,22].
Figure 8.
Expression levels of seven GhFBXLs in different tissues. GhActin was selected as an internal reference for the expression analysis of cotton genes. Error bars represent the standard deviation calculated from three independent experiments.
3.8. Gene Interaction Network of FBXLs
For the sake of analysis of the FBXL protein function, we used multiple sequences (Figure 9A) and a protein family (Figure 9B) search to analyze the interaction network by the STRING website (https://string-db.org/, accessed on 19 April 2022), based on Arabidopsis homologous genes.
Figure 9.
Interaction network of FBXLs. (A) Interaction network of GrFBXL and AtFBXL proteins with other proteins. (B) Interaction network of FBXL protein families. Nodes’ annotation is shown in Table S11.
Using the method of the multiple sequences search, we found many plant hormone-related proteins in the interaction network, such as AUX1, AXR3, EIL1, EIN3, IAA1, IAA12, IAA14, IAA28, IAA7, IAA8, and JAZ1, among others. As an essential protein for male fertility, FBL17 is closely related to SKP1 (S-phase kinase-associated protein 1) and UFO (Protein UNUSUAL FLORAL ORGANS); it is also indirectly related to other plant hormones such as auxin (Figure 9A). Using the method of the protein family multiple sequences search, the generative cell mitosis signaling pathway (NOG243239) was discovered in the center (Figure 9B), and other pathways that were pertinent to the phenotypes, such as the regulation of cyclin-dependent protein serine/threonine kinase inhibitor activity (NOG248406), suggesting that the FBXL protein plays a crucial part in the regulation of cell cycle. Transcription factor E2F/dimerization partner (TDP) (KOG2577) was found around the interaction network, a pivotal regulator of cell cycle progression [67]. It is speculated that cotton FBL17 genes have similar roles in the cell cycle.
4. Discussion
The LRR gene family is classified into different subfamilies such as NBS-LRR (nucleotide-binding site leucine-rich repeat), LRR-RPs/LRR-RLPs (leucine-rich repeat receptor/receptor-like proteins), LRR-RKs/RLKs (leucine-rich repeat receptor/receptor-like kinases) and FBXL (F-box/LRR-repeat protein), based on the LRRs (leucine-rich repeats) conserved domain presence at the C-terminus. The LRR domain plays a vital role in defense mechanisms of plants. The main characteristics of LRR genes are the presence of a 20–30 aa structural domain. The F-box protein family is one of the biggest protein families containing members from two in yeast to several hundred in different eukaryotes. The bipartite structure is present in the F-box proteins [14]. Several F-box proteins such as SCF components have been identified in the past few years. F-box proteins, on account of the C-terminus motif, have been classified into three subfamilies i.e., the Fbw or FBXW subfamily contains Kelch, Armadillo and the tetratricopeptide repeats domain at C-terminus, the Fbx or FBXO subfamily had the proline-rich domain, and third Fbl or FBXL subfamily comprises LRR domains at C-terminus of the F-box proteins [10,68].
FBXL is an important F-box subfamily and is reported in many plants such as Arabidopsis (160), rice (61), M. truncatula (53), soybean (46), apple (34), chickpea (32), and maize (16) [4,11]. Former research indicated that plant FBXLs’ mediated target proteins degraded in hormonal signals and responded to developmental [12,69]. The FBXL gene family plays a significant role in various aspects of plant growth, such as the hormone-related TIR1 and EBF1, EBF2 of FBXL gene family members in Arabidopsis [70,71,72], the growth and development-related genes OE9, and the FBL17 control of cell cycle regulation and double fertilization in Arabidopsis [21,22,28]. The information about the role of FBXLs in the life cycle of the cotton plant is very limited, but before exploring the biological function of the FBXLs in cotton, its comprehensive genome-wide analysis is very important. Here, we present a detailed report of the FBXL gene family in cotton in terms of its phylogeny relationship, motif structure, gene structure, chromosome location, duplication events, and expression analysis. Gene structure analysis of 160 Arabidopsis FBXL genes found in previous studies, screening sequences with F-box at the N-terminus and LRR at the C-terminus and identified 127 Arabidopsis FBXL genes. The 127 Arabidopsis FBXL protein sequences and 592 G. hirsutum F-box protein sequences were used as queries and they identified 121, 119, 57, and 51 FBXLs in Gh, Gb, Ga, and Gr, respectively (Figure 3). The C-terminus of cotton FBXL protein also had the same pattern of the LRR domain as reported in yeast, bacteria, animals, and plants. LRRs are present in various proteins but their function in plant species is highly conserved. This provides a platform for specific PPI [70], which is very significant for protein function because they recognized ligand or other compositions of the docking pathway [73]. Phylogenetic analysis, motif structure and gene structure analysis indicated that Arabidopsis TIR1 (AT3G62980) and cotton homologous genes were located in the one branch and had similar gene structure. Arabidopsis FBL17 (AT3554650) and cotton homologous genes also had semblable gene structure and were located in a branch. We speculate that TIR1 and FBL17 in cotton may have the uniform function as Arabidopsis thaliana, which can provide a basis for the study in the development and the fusion of male and female gametes [21,22,71].
When comparing the FBXL genes with other studied plant species, we found that FBXL gene numbers in G. hirsutum (121) and G. barbadense (119) are the second and third largest after A. thaliana (127). The number of FBXL genes is species-specific but extraneous with the genome scale. The large variation in the FBXLs among different plant species is due to bountiful increases or losses of FBXLs. Gene loss and repetition events also happened in the cotton genome, which results in the underrepresentation of the FBXLs in cotton. The G. hirsutum is the best example of domesticated plant polyploidy and genome-scale duplication because it is the hybrid product of G. raimondii and G. arboretum, but slight gene loss also occurs during the cotton polyploidization. Previous studies suggested that the WGD event is the main source of increase in the gene members of the family in G. hirsutum. Comparison with the 121 FBXLs in the G. hirsutum genome, the 119 FBXLs in the G. barbadense genome, 57 FBXLs in G. arboretum, and 51 in G. raimondii genome were also observed (Figure 3), which suggested that slight change in FBXL family members also occur as done for other families in the cotton genome after the evolution process from diploid to tetraploid. Replication modes besides WGD contributed to the increase of the FBXL members in cotton. The increase in the FBXL family members in cotton indicated that the FBXL family is essential to enhance the different characters and adaptation of upland cotton in response to various environmental factors.
Different PPI domains are present at the C-termini of the F-box, which is known to interact with different substrates [4,11]. Domain analysis of the cotton FBXL genes revealed the presence of three types of LRR domains such as a, b, and c at their C-terminus, allowing their classification into three groups (Figure 1). In four cotton species, 46.26% of the predicted genes were found in LRR domain, 30.46% genes contained type b, and 23.28% genes had type c domain (Table S6). Similarly, FBXL genes with FBD domains at C-terminal were also observed in other species like chickpea (39), rice (9), and M. truncatula (139) [4,74,75]. FBD is the plant-specific domain of F-box proteins. Although, the precise function of the FBD domain is unknown but thought to be associated with a biochemical process in the nucleus [74]. The cotyledon vein patterning may be associated with the FBXL protein-containing, plant-specific FBD domain by setting the biochemical base for the interplay between the protein with other unidentified cell components. Therefore, it is suggested that FBXL may be correlated with cotyledon vein patterning [34].
The intron—exon arrangement of FBXL family members confirmed the presence of 10.48% intron-free genes in the gene family, which is also a prominent character of the FBXL gene family as also observed in the Arabidopsis, rice, M. truncatula, soybean, apple, chickpea, maize, respectively [4,11,74,75,76,77,78]. In addition, we observed that the intron—exon structure of most of the subfamily members are the same (Figure 2), which suggests the close structural relationship among the FBXL genes within the subfamily. The phylogenetic tree among the cotton FBXL proteins was built to research the evolutionary relation. It divides the FBXL proteins into three clades. The arrangement of the FBXL proteins through phylogenetic analysis showed that FBXLs with semblable C-terminal domains co-evolved as observed in other plant species. The identical domain arrangement was observed in the members of each clade which suggested that they interact with a similar substrate for function. A similar phylogenetic arrangement was observed in soybean [46], chickpea [74], Arabidopsis [11], and rice [4] suggesting the gene family has a common evolutionary origin in dicots and monocots.
The gene duplication event is a momentous source of increasing the number of family members and variety of functions during the evolution process across chromosomal segmental duplication or tandem duplication [79]. Erstwhile studies showed that the replication event is a significant method of gene family amplification [80]. Moreover, FBXLs’ expansion is also the consequence of the replication event. The duplication analysis of the FBXL protein family revealed that 222 of 229 (96.94%) FBXL genes undergo a duplication event. The segmental/WGD duplication was observed in 152 genes (68.47%), while 41 (18.47%) genes arose through tandem duplication (Tables S4 and S5), suggesting that segmental/WGD duplications influence surpassed tandem duplication in the FBXL gene family expansion in cotton. A similar observation was also found in soybean [46], chickpea [74], Arabidopsis [11], and rice [4], indicating that plant genomes follow the same mechanism for the duplication event of FBXL genes. The strong tendency for negative selection in the F-box domain and positive selection in the C-terminal domain of the genes was reported during the evolutionary process, which leads to the F-box domain having sequence conservation and the C-terminal domain having sequence variation [81,82]. This was also the cause for the remarkable variation in F-box protein length, as reported in different plant species [80]. This may also be due to the amino acid gain or loss within the F-box protein for resilient evolution to recognize different substrates.
In the upstream promoter region of the GhFBXL genes many cis-elements were found that related to phytohormones signals and environmental stress, most of which were Abscisic acid, Salicylic acid, and auxin; these are essential for the anaerobic induction element (Figure 6 and Table S9). Cyclin-dependent protein serine/threonine kinase inhibitor activity (NOG248406) and numerous phytohormones related proteins (such as AUX1, IAA1, IAA12, etc.) and plant reproductive development-related protein (FBL17 and UFO), have been found in the gene interaction network, which provides strong support for the role of FBXL genes in growth and development [21,22,25].
5. Conclusions
In this study, we preliminarily analyzed the gene sequence, exon—intron structure, conserved motifs, phylogenetic relationships, gene collinearity, Ka/Ks selective pressure, and gene expression profiles of cotton FBXL genes. It laid the foundation for the study of FBXL genes in cotton growth and development, such as floral organ development, male and female gametophytes, and male sterility. Further research on TIR1, FBL17, and other FBXL genes in cotton may reveal the auxin regulation mechanism and cultivate male sterile lines in cotton.
Supplementary Materials
The following are available online at https://www.mdpi.com/article/10.3390/genes13122194/s1. Table S1: The characterization of four cotton species FBXL genes in this study. Table S2: The gene structure of three cotton species FBXL genes in this study. Table S3: Phylogenetic analysis of FBXL gene numbers among different species. Table S4: The number of duplication types of FBXL gene among different cotton species. Table S5: Duplication types of the FBXL Gene in different Cotton species. Table S6: The domain of four cotton species FBXL genes in this study. Table S7: The number of FBXL genes on chromosomes among different cotton species. Table S8: Ka/Ks values of duplicated FBXL gene pairs from three cotton species. Table S9: Analysis of GhFBXLs cis-elements. Table S10: The primers used for qRT-PCR in this study. Table S11: Notes on nodes of FBXL proteins interaction network. Figure S1: The conserved motifs, Exon–intron structures of G. arboretum FBXLs. Figure S2: The conserved motifs, Exon–intron structures of G. raimondii FBXLs. Figure S3: The location of FBXL genes on Ga, Gr, Gh, and Gb.
Author Contributions
Formal analysis, J.P., S.Z. and W.C.; investigation, J.Y., A.Y. and T.L., validation, J.P; data curation, Y.L. and S.F.; writing original draft, J.P. and M.Z.A.; writing—review and editing, L.H. and Y.Z. All authors have read and agreed to the published version of the manuscript.
Funding
This project was supported by the project of the State Key Laboratory of Cotton Biology (CB2021C11).
Institutional Review Board Statement
Not applicable.
Informed Consent Statement
Not applicable.
Data Availability Statement
The data presented in this study are available in the Supplementary Materials.
Conflicts of Interest
The authors declare no conflict of interest.
References
- Nguyen, K.M.; Busino, L. The Biology of F-box Proteins: The SCF Family of E3 Ubiquitin Ligases. Adv. Exp. Med. Biol. 2020, 1217, 111–122. [Google Scholar] [CrossRef] [PubMed]
- Au, W.C.; Zhang, T.; Mishra, P.K.; Eisenstatt, J.R.; Walker, R.L.; Ocampo, J.; Dawson, A.; Warren, J.; Costanzo, M.; Baryshnikova, A.; et al. Skp, Cullin, F-box (SCF)-Met30 and SCF-Cdc4-Mediated Proteolysis of CENP-A Prevents Mislocalization of CENP-A for Chromosomal Stability in Budding Yeast. PLoS Genet. 2020, 16, e1008597. [Google Scholar] [CrossRef] [PubMed]
- Bai, C.; Richman, R.; Elledge, S.J. Human cyclin F. Embo J. 1994, 13, 6087–6098. [Google Scholar] [CrossRef] [PubMed]
- Jain, M.; Nijhawan, A.; Arora, R.; Agarwal, P.; Ray, S.; Sharma, P.; Kapoor, S.; Tyagi, A.K.; Khurana, J.P. F-box proteins in rice. Genome-wide analysis, classification, temporal and spatial gene expression during panicle and seed development, and regulation by light and abiotic stress. Plant Physiol. 2007, 143, 1467–1483. [Google Scholar] [CrossRef] [PubMed]
- Ahmad, M.Z.; Rehman, N.U.; Yu, S.; Zhou, Y.; Haq, B.U.; Wang, J.; Li, P.; Zeng, Z.; Zhao, J. GmMAX2-D14 and -KAI interaction-mediated SL and KAR signaling play essential roles in soybean root nodulation. Plant J. 2020, 101, 334–351. [Google Scholar] [CrossRef] [PubMed]
- Haq, B.U.; Ahmad, M.Z.; Rehman, N.U.; Wang, J.; Li, P.; Li, D.; Zhao, J. Functional characterization of soybean strigolactone biosynthesis and signaling genes in Arabidopsis MAX mutants and GmMAX3 in soybean nodulation. BMC Plant Biol. 2017, 17, 259. [Google Scholar] [CrossRef]
- Kim, J.; Kim, J.H.; Lee, S.H.; Kim, D.H.; Kang, H.Y.; Bae, S.H.; Pan, Z.Q.; Seo, Y.S. The novel human DNA helicase hFBH1 is an F-box protein. J. Biol. Chem. 2002, 277, 24530–24537. [Google Scholar] [CrossRef] [PubMed]
- Galan, J.M.; Wiederkehr, A.; Seol, J.H.; Haguenauer-Tsapis, R.; Deshaies, R.J.; Riezman, H.; Peter, M. Skp1p and the F-box protein Rcy1p form a non-SCF complex involved in recycling of the SNARE Snc1p in yeast. Mol. Cell. Biol. 2001, 21, 3105–3117. [Google Scholar] [CrossRef] [PubMed]
- Clifford, R.; Lee, M.H.; Nayak, S.; Ohmachi, M.; Giorgini, F.; Schedl, T. FOG-2, a novel F-box containing protein, associates with the GLD-1 RNA binding protein and directs male sex determination in the C. elegans hermaphrodite germline. Development 2000, 127, 5265–5276. [Google Scholar] [CrossRef] [PubMed]
- Jin, J.; Cardozo, T.; Lovering, R.C.; Elledge, S.J.; Pagano, M.; Harper, J.W. Systematic analysis and nomenclature of mammalian F-box proteins. Genes Dev. 2004, 18, 2573–2580. [Google Scholar] [CrossRef]
- Gagne, J.M.; Downes, B.P.; Shiu, S.H.; Durski, A.M.; Vierstra, R.D. The F-box subunit of the SCF E3 complex is encoded by a diverse superfamily of genes in Arabidopsis. Proc. Natl. Acad. Sci. USA 2002, 99, 11519–11524. [Google Scholar] [CrossRef] [PubMed]
- Kuroda, H.; Takahashi, N.; Shimada, H.; Seki, M.; Shinozaki, K.; Matsui, M. Classification and expression analysis of Arabidopsis F-box-containing protein genes. Plant Cell Physiol. 2002, 43, 1073–1085. [Google Scholar] [CrossRef] [PubMed]
- Rehman, N.U.; Ali, M.; Ahmad, M.Z.; Liang, G.; Zhao, J. Strigolactones promote rhizobia interaction and increase nodulation in soybean (Glycine max). Microb. Pathog. 2018, 114, 420–430. [Google Scholar] [CrossRef] [PubMed]
- Kipreos, E.T.; Pagano, M. The F-box protein family. Genome Biol. 2000, 1, S3002. [Google Scholar] [CrossRef]
- Mason, B.; Laman, H. The FBXL family of F-box proteins: Variations on a theme. Open Biol. 2020, 10, 200319. [Google Scholar] [CrossRef] [PubMed]
- Bentham, A.; Burdett, H.; Anderson, P.A.; Williams, S.J.; Kobe, B. Animal NLRs provide structural insights into plant NLR function. Ann. Bot. 2017, 119, 702–827. [Google Scholar] [CrossRef]
- Li, L.Q.; Pan, D.; Chen, H.; Zhang, L.; Xie, W.J. F-box protein FBXL2 inhibits gastric cancer proliferation by ubiquitin-mediated degradation of forkhead box M1. FEBS Lett. 2016, 590, 445–452. [Google Scholar] [CrossRef] [PubMed]
- Chen, B.B.; Glasser, J.R.; Coon, T.A.; Mallampalli, R.K. Skp-cullin-F box E3 ligase component FBXL2 ubiquitinates Aurora B to inhibit tumorigenesis. Cell Death Dis. 2013, 4, e759. [Google Scholar] [CrossRef]
- Tosto, G.; Fu, H.; Vardarajan, B.N.; Lee, J.H.; Cheng, R.; Reyes-Dumeyer, D.; Lantigua, R.; Medrano, M.; Jimenez-Velazquez, I.Z.; Elkind, M.S.V.; et al. F-box/LRR-repeat protein 7 is genetically associated with Alzheimer’s disease. Ann. Clin. Transl. Neurol. 2015, 2, 810–820. [Google Scholar] [CrossRef] [PubMed]
- Craig, K.L.; Tyers, M. The F-box: A new motif for ubiquitin dependent proteolysis in cell cycle regulation and signal transduction. Prog. Biophys. Mol. Biol. 1999, 72, 299–328. [Google Scholar] [CrossRef] [PubMed]
- Kim, H.J.; Oh, S.A.; Brownfield, L.; Hong, S.H.; Ryu, H.; Hwang, I.; Twell, D.; Nam, H.G. Control of plant germline proliferation by SCF(FBL17) degradation of cell cycle inhibitors. Nature 2008, 455, 1134–1137. [Google Scholar] [CrossRef]
- Noir, S.; Marrocco, K.; Masoud, K.; Thomann, A.; Gusti, A.; Bitrian, M.; Schnittger, A.; Genschik, P. The Control of Arabidopsis thaliana Growth by Cell Proliferation and Endoreplication Requires the F-Box Protein FBL17. Plant Cell 2015, 27, 1461–1476. [Google Scholar] [CrossRef] [PubMed]
- Somers, D.E.; Kim, W.Y.; Geng, R. The F-box protein ZEITLUPE confers dosage-dependent control on the circadian clock, photomorphogenesis, and flowering time. Plant Cell 2004, 16, 769–782. [Google Scholar] [CrossRef] [PubMed]
- Dieterle, M.; Zhou, Y.C.; Schäfer, E.; Funk, M.; Kretsch, T. EID1, an F-box protein involved in phytochrome A-specific light signaling. Genes Dev. 2001, 15, 939–944. [Google Scholar] [CrossRef] [PubMed]
- Samach, A.; Klenz, J.E.; Kohalmi, S.E.; Risseeuw, E.; Haughn, G.W.; Crosby, W.L. The UNUSUAL FLORAL ORGANS gene of Arabidopsis thaliana is an F-box protein required for normal patterning and growth in the floral meristem. Plant J. 1999, 20, 433–445. [Google Scholar] [CrossRef] [PubMed]
- Sun, P.; Li, S.; Lu, D.; Williams, J.S.; Kao, T.H. Pollen S-locus F-box proteins of Petunia involved in S-RNase-based self-incompatibility are themselves subject to ubiquitin-mediated degradation. Plant J. 2015, 83, 213–223. [Google Scholar] [CrossRef] [PubMed]
- Ushijima, K.; Sassa, H.; Dandekar, A.M.; Gradziel, T.M.; Tao, R.; Hirano, H. Structural and transcriptional analysis of the self-incompatibility locus of almond: Identification of a pollen-expressed F-box gene with haplotype-specific polymorphism. Plant Cell 2003, 15, 771–781. [Google Scholar] [CrossRef] [PubMed]
- Woo, H.R.; Chung, K.M.; Park, J.; Oh, S.A.; Ahn, T.; Hong, S.H.; Jang, S.K.; Nam, H.G. ORE9, an F-box protein that regulates leaf senescence in Arabidopsis. Plant Cell 2001, 13, 1779–1790. [Google Scholar] [CrossRef] [PubMed]
- Somers, D.E.; Schultz, T.F.; Milnamow, M.; Kay, S.A. ZEITLUPE encodes a novel clock-associated PAS protein from Arabidopsis. Cell 2000, 101, 319–329. [Google Scholar] [CrossRef]
- Nelson, D.C.; Lasswell, J.; E Rogg, L.; A Cohen, M.; Bartel, B. FKF1, a Clock-Controlled Gene that Regulates the Transition to Flowering in Arabidopsis. Cell 2000, 101, 331–340. [Google Scholar] [CrossRef] [PubMed]
- Zhou, S.M.; Kong, X.Z.; Kang, H.H.; Sun, X.D.; Wang, W. The involvement of wheat F-box protein gene TaFBA1 in the oxidative stress tolerance of plants. PLoS ONE 2015, 10, e0122117. [Google Scholar] [CrossRef] [PubMed]
- Yan, Y.S.; Chen, X.Y.; Yang, K.; Sun, Z.X.; Fu, Y.P.; Zhang, Y.M.; Fang, R.X. Overexpression of an F-box protein gene reduces abiotic stress tolerance and promotes root growth in rice. Mol. Plant 2011, 4, 190–197. [Google Scholar] [CrossRef] [PubMed]
- Hong, M.J.; Kim, J.B.; Seo, Y.W.; Kim, D.Y. Regulation of Glycosylphosphatidylinositol-Anchored Protein (GPI-AP) Expression by F-Box/LRR-Repeat (FBXL) Protein in Wheat (Triticum aestivum L.). Plants 2021, 10, 1606. [Google Scholar] [CrossRef] [PubMed]
- Cui, X.; Xu, X.; He, Y.; Du, X.; Zhu, J. Overexpression of an F-box protein gene disrupts cotyledon vein patterning in Arabidopsis. Plant Physiol. Biochem. 2016, 102, 43–52. [Google Scholar] [CrossRef] [PubMed]
- Lechner, E.; Achard, P.; Vansiri, A.; Potuschak, T.; Genschik, P. F-box proteins everywhere. Curr. Opin. Plant Biol. 2006, 9, 631–638. [Google Scholar] [CrossRef]
- Hershko, A.; Ciechanover, A. The ubiquitin system. Annu. Rev. Biochem. 1998, 67, 425–479. [Google Scholar] [CrossRef]
- Feng, S.; Shen, Y.; Sullivan, J.A.; Rubio, V.; Xiong, Y.; Sun, T.P.; Deng, X.W. Arabidopsis CAND1, an unmodified CUL1-interacting protein, is involved in multiple developmental pathways controlled by ubiquitin/proteasome-mediated protein Degradation. Plant Cell 2004, 16, 1870–1882. [Google Scholar] [CrossRef]
- Del, P.J.; Dharmasiri, S.; Hellmann, H.; Walker, L.; Gray, W.M.; Estelle, M. AXR1-ECR1-dependent conjugation of RUB1 to the Arabidopsis Cullin AtCUL1 is required for auxin response. Plant Cell 2002, 14, 421–433. [Google Scholar] [CrossRef]
- Zhang, S.; Tian, Z.; Li, H.; Guo, Y.; Zhang, Y.; Roberts, J.A.; Zhang, X.; Miao, Y. Genome-wide analysis and characterization of F-box gene family in Gossypium hirsutum L. BMC Genom. 2019, 20, 993. [Google Scholar] [CrossRef]
- Zhu, S.; Wang, X.; Chen, W.; Yao, J.; Li, Y.; Fang, S.; Lv, Y.; Li, X.; Pan, J.; Liu, C.; et al. Cotton DMP gene family: Characterization, evolution, and expression profiles during development and stress. Int. J. Biol. Macromol. 2021, 183, 1257–1269. [Google Scholar] [CrossRef]
- Hu, Y.; Chen, J.; Fang, L.; Zhang, Z.; Ma, W.; Niu, Y.; Ju, L.; Deng, J.; Zhao, T.; Lian, J.; et al. Gossypium barbadense and Gossypium hirsutum genomes provide insights into the origin and evolution of allotetraploid cotton. Nat. Genet. 2019, 51, 739–748. [Google Scholar] [CrossRef] [PubMed]
- Zhu, T.; Liang, C.; Meng, Z.; Sun, G.; Meng, Z.; Guo, S.; Zhang, R. CottonFGD: An integrated functional genomics database for cotton. BMC Plant Biol. 2017, 17, 101. [Google Scholar] [CrossRef] [PubMed]
- Li, F.; Fan, G.; Wang, K.; Sun, F.; Yuan, Y.; Song, G.; Li, Q.; Ma, Z.; Lu, C.; Zou, C.; et al. Genome sequence of the cultivated cotton Gossypium arboreum. Nat. Genet. 2014, 46, 567–572. [Google Scholar] [CrossRef] [PubMed]
- Paterson, A.H.; Wendel, J.F.; Gundlach, H.; Guo, H.; Jenkins, J.; Jin, D.; Llewellyn, D.; Showmaker, K.C.; Shu, S.; Udall, J.; et al. Repeated polyploidization of Gossypium genomes and the evolution of spinnable cotton fibres. Nature 2012, 492, 423–427. [Google Scholar] [CrossRef] [PubMed]
- Wang, K.; Wang, Z.; Li, F.; Ye, W.; Wang, J.; Song, G.; Yue, Z.; Cong, L.; Shang, H.; Zhu, S.; et al. The draft genome of a diploid cotton Gossypium raimondii. Nat. Genet. 2012, 44, 1098–1103. [Google Scholar] [CrossRef] [PubMed]
- Goodstein, D.M.; Shu, S.; Howson, R.; Neupane, R.; Hayes, R.D.; Fazo, J.; Mitros, T.; Dirks, W.; Hellsten, U.; Putnam, N.; et al. Phytozome: A comparative platform for green plant genomics. Nucleic Acids Res. 2012, 40, D1178–D1186. [Google Scholar] [CrossRef]
- Camacho, C.; Coulouris, G.; Avagyan, V.; Ma, N.; Papadopoulos, J.; Bealer, K.; Madden, T.L. BLAST+: Architecture and applications. BMC Bioinform. 2009, 10, 421. [Google Scholar] [CrossRef]
- Yu, C.S.; Lin, C.J.; Hwang, J.K. Predicting subcellular localization of proteins for Gram-negative bacteria by support vector machines based on n-peptide compositions. Protein Sci. 2004, 13, 1402–1406. [Google Scholar] [CrossRef]
- Bailey, T.L.; Boden, M.; Buske, F.A.; Frith, M.; Grant, C.E.; Clementi, L.; Ren, J.; Li, W.W.; Noble, W.S. MEME SUITE: Tools for motif discovery and searching. Nucleic Acids Res. 2009, 37, W202–W208. [Google Scholar] [CrossRef]
- Letunic, I.; Khedkar, S.; Bork, P. SMART: Recent updates, new developments and status in 2020. Nucleic Acids Res. 2021, 49, D458–D460. [Google Scholar] [CrossRef]
- Chen, C.; Chen, H.; Zhang, Y.; Thomas, H.R.; Frank, M.H.; He, Y.; Xia, R. TBtools: An Integrative Toolkit Developed for Interactive Analyses of Big Biological Data. Mol. Plant 2020, 13, 1194–1202. [Google Scholar] [CrossRef] [PubMed]
- Varadi, M.; Anyango, S.; Deshpande, M.; Nair, S.; Natassia, C.; Yordanova, G.; Yuan, D.; Stroe, O.; Wood, G.; Laydon, A.; et al. AlphaFold Protein Structure Database: Massively expanding the structural coverage of protein-sequence space with high-accuracy models. Nucleic Acids Res. 2022, 50, D439–D444. [Google Scholar] [CrossRef] [PubMed]
- Waterhouse, A.; Bertoni, M.; Bienert, S.; Studer, G.; Tauriello, G.; Gumienny, R.; Heer, F.T.; de Beer, T.A.P.; Rempfer, C.; Bordoli, L.; et al. SWISS-MODEL: Homology modelling of protein structures and complexes. Nucleic Acids Res. 2018, 46, W296–W303. [Google Scholar] [CrossRef] [PubMed]
- Edgar, R.C. MUSCLE: A multiple sequence alignment method with reduced time and space complexity. BMC Bioinform. 2004, 5, 113. [Google Scholar] [CrossRef] [PubMed]
- Kumar, S.; Stecher, G.; Tamura, K. MEGA7: Molecular Evolutionary Genetics Analysis Version 7.0 for Bigger Datasets. Mol. Biol. Evol. 2016, 33, 1870–1874. [Google Scholar] [CrossRef] [PubMed]
- Wang, Y.; Tang, H.; Debarry, J.D.; Tan, X.; Li, J.; Wang, X.; Lee, T.H.; Jin, H.; Marler, B.; Guo, H.; et al. MCScanX: A toolkit for detection and evolutionary analysis of gene synteny and collinearity. Nucleic Acids Res. 2012, 40, e49. [Google Scholar] [CrossRef]
- Krzywinski, M.; Schein, J.; Birol, I.; Connors, J.; Gascoyne, R.; Horsman, D.; Jones, S.J.; Marra, M.A. Circos: An information aesthetic for comparative genomics. Genome Res. 2009, 19, 1639–1645. [Google Scholar] [CrossRef]
- Malik, W.A.; Wang, X.; Wang, X.; Shu, N.; Cui, R.; Chen, X.; Wang, D.; Lu, X.; Yin, Z.; Wang, J.; et al. Genome-wide expression analysis suggests glutaredoxin genes response to various stresses in cotton. Int. J. Biol. Macromol. 2020, 153, 470–491. [Google Scholar] [CrossRef]
- Lescot, M.; Dehais, P.; Thijs, G.; Marchal, K.; Moreau, Y.; Van de Peer, Y.; Rouze, P.; Rombauts, S. PlantCARE, a database of plant cis-acting regulatory elements and a portal to tools for in silico analysis of promoter sequences. Nucleic Acids Res. 2002, 30, 325–327. [Google Scholar] [CrossRef]
- Koltunow, A.M.; Truettner, J.; Cox, K.H.; Wallroth, M.; Goldberg, R.B. Different Temporal and Spatial Gene Expression Patterns Occur during Anther Development. Plant Cell 1990, 2, 1201–1224. [Google Scholar] [CrossRef]
- Scott, R.; Hodge, R.; Paul, W.; Draper, J. The molecular biology of anther differentiation. Plant Sci. 1991, 80, 167–191. [Google Scholar] [CrossRef]
- Szklarczyk, D.; Gable, A.L.; Nastou, K.C.; Lyon, D.; Kirsch, R.; Pyysalo, S.; Doncheva, N.T.; Legeay, M.; Fang, T.; Bork, P.; et al. The STRING database in 2021: Customizable protein-protein networks, and functional characterization of user-uploaded gene/measurement sets. Nucleic Acids Res. 2021, 49, D605–D612. [Google Scholar] [CrossRef] [PubMed]
- Andrade, M.A.; Perez-Iratxeta, C.; Ponting, C.P. Protein repeats: Structures, functions, and evolution. J. Struct. Biol. 2001, 134, 117–131. [Google Scholar] [CrossRef]
- Kobe, B.; Deisenhofer, J. A structural basis of the interactions between leucine-rich repeats and protein ligands. Nature 1995, 374, 183–186. [Google Scholar] [CrossRef] [PubMed]
- Sun, L.; Williams, J.S.; Li, S.; Wu, L.; Khatri, W.A.; Stone, P.G.; Keebaugh, M.D.; Kao, T.H. S-Locus F-Box Proteins Are Solely Responsible for S-RNase-Based Self-Incompatibility of Petunia Pollen. Plant Cell 2018, 30, 2959–2972. [Google Scholar] [CrossRef]
- Prince, V.E.; Pickett, F.B. Splitting pairs: The diverging fates of duplicated genes. Nat. Rev. Genet. 2002, 3, 827–837. [Google Scholar] [CrossRef]
- Hurst, L.D. The Ka/Ks ratio: Diagnosing the form of sequence evolution. Trends Genet. 2002, 18, 486. [Google Scholar] [CrossRef]
- Wang, L.; Chen, H.; Wang, C.; Hu, Z.; Yan, S. Negative regulator of E2F transcription factors links cell cycle checkpoint and DNA damage repair. Proc. Natl. Acad. Sci. USA 2018, 115, E3837–E3845. [Google Scholar] [CrossRef] [PubMed]
- Petroski, M.D.; Deshaies, R.J. Function and regulation of cullin-RING ubiquitin ligases. Nat. Rev. Mol. Cell Biol. 2005, 6, 9–20. [Google Scholar] [CrossRef]
- Hellmann, H.; Estelle, M. Plant development: Regulation by protein degradation. Science 2002, 297, 793–797. [Google Scholar] [CrossRef]
- Dharmasiri, N.; Dharmasiri, S.; Estelle, M. The F-box protein TIR1 is an auxin receptor. Nature 2005, 435, 441–445. [Google Scholar] [CrossRef] [PubMed]
- Guo, H.; Ecker, J.R. Plant responses to ethylene gas are mediated by SCF(EBF1/EBF2)-dependent proteolysis of EIN3 transcription factor. Cell 2003, 115, 667–677. [Google Scholar] [CrossRef] [PubMed]
- Kobe, B.; Kajava, A.V. The leucine-rich repeat as a protein recognition motif. Curr. Opin. Struct. Biol. 2001, 11, 725–732. [Google Scholar] [CrossRef] [PubMed]
- Forsthoefel, N.R.; Cutler, K.; Port, M.D.; Yamamoto, T.; Vernon, D.M. PIRLs: A novel class of plant intracellular leucine-rich repeat proteins. Plant Cell Physiol. 2005, 46, 913–922. [Google Scholar] [CrossRef] [PubMed]
- Gupta, S.; Garg, V.; Bhatia, S. A new set of ESTs from chickpea (Cicer arietinum L.) embryo reveals two novel F-box genes, CarF-box_PP2 and CarF-box_LysM, with potential roles in seed development. PLoS ONE 2015, 10, e0121100. [Google Scholar] [CrossRef] [PubMed]
- Song, J.B.; Wang, Y.X.; Li, H.B.; Li, B.W.; Zhou, Z.S.; Gao, S.; Yang, Z.M. The F-box family genes as key elements in response to salt, heavy mental, and drought stresses in Medicago truncatula. Funct. Integr. Genom. 2015, 15, 495–507. [Google Scholar] [CrossRef] [PubMed]
- Doerks, T.; Copley, R.R.; Schultz, J.; Ponting, C.P.; Bork, P. Systematic identification of novel protein domain families associated with nuclear functions. Genome Res. 2002, 12, 47–56. [Google Scholar] [CrossRef]
- Jia, F.; Wu, B.; Li, H.; Huang, J.; Zheng, C. Genome-wide identification and characterisation of F-box family in maize. Mol. Genet. Genom. 2013, 288, 559–577. [Google Scholar] [CrossRef] [PubMed]
- Cui, H.R.; Zhang, Z.R.; Lv, W.; Xu, J.N.; Wang, X.Y. Genome-wide characterization and analysis of F-box protein-encoding genes in the Malus domestica genome. Mol. Genet. Genom. 2015, 290, 1435–1446. [Google Scholar] [CrossRef]
- Cannon, S.B.; Mitra, A.; Baumgarten, A.; Young, N.D.; May, G. The roles of segmental and tandem gene duplication in the evolution of large gene families in Arabidopsis thaliana. BMC Plant Biol. 2004, 4, 10. [Google Scholar] [CrossRef]
- Hua, Z.; Zou, C.; Shiu, S.H.; Vierstra, R.D. Phylogenetic comparison of F-Box (FBX) gene superfamily within the plant kingdom reveals divergent evolutionary histories indicative of genomic drift. PLoS ONE 2011, 6, e16219. [Google Scholar] [CrossRef] [PubMed]
- Navarro-Quezada, A.; Schumann, N.; Quint, M. Plant F-box protein evolution is determined by lineage-specific timing of major gene family expansion waves. PLoS ONE 2013, 8, e68672. [Google Scholar] [CrossRef] [PubMed]
Publisher’s Note: MDPI stays neutral with regard to jurisdictional claims in published maps and institutional affiliations. |
© 2022 by the authors. Licensee MDPI, Basel, Switzerland. This article is an open access article distributed under the terms and conditions of the Creative Commons Attribution (CC BY) license (https://creativecommons.org/licenses/by/4.0/).








