Abstract
Novel genetic markers like microhaplotypes and compound markers show promising potential in forensic research. Based on previously reported single nucleotide polymorphism (SNP) and insertion/deletion (InDel) polymorphism loci, 29 genetic markers including 22 microhaplotypes and seven compound markers were identified. Genetic distributions of the 29 loci in five continental populations, Kazak and Mongolian groups in China were investigated. We found that the expected heterozygosity values of these 29 loci were >0.4 in these populations, indicating these loci were relatively high polymorphisms. Population genetic analyses of five continental populations showed that five loci displayed relatively high genetic variations among these continental populations and could be useful markers for ancestry analysis. In summary, the 29 loci displayed relatively high genetic diversities in continental populations and Chinese two groups and could be informative loci for forensic research.
1. Introduction
In forensic research, human identification and paternity testing are two important research items. Since short tandem repeats (STRs) are highly polymorphic and widely distributed in the human genome, they are universally employed in forensic practice [,]. However, there are some deficiencies of STRs in the application. For example, their relatively longer amplicon lengths make the detection difficult in degraded DNA samples, which may lead to the loss of some alleles with long amplicon lengths [], and the high mutation rate of STRs may bring about difficulty in paternity analyses []. Compared to STRs, single nucleotide polymorphisms (SNPs) and insertion/deletion (InDel) polymorphisms possess some favorable characteristics like a relatively low mutation rate and small amplicon size, and they have been paid considerable attention by forensic geneticists [,,,,]. Even so, SNPs and InDels commonly demonstrate di-allelic variations, which lead to low polymorphisms. Therefore, more SNPs and InDels need to be identified to meet the forensic efficiency of commonly used STRs.
Forensic geneticists recently explored the application values of some novel genetic markers in forensic practice. Liu et al. proposed a novel compound marker that was a combination of one InDel and one SNP in a genomic region; they evaluated the power of the novel genetic marker to detect the DNA mixture, and their results revealed that the novel marker was able to disentangle the unbalanced mixture []. Microhaplotypes, defined by two or more closely linked SNPs, refer to short DNA segments (<300 nucleotides) []. Allele amplicons of microhaplotypes are commonly shorter than those of STRs, which suggest they can be utilized in degraded samples because alleles with short amplicons could be successfully amplified. Moreover, there are no polymerase slippages in polymerase chain reaction (PCR) of microhaplotype, so no stutter peaks are observed in microhaplotype analyses []. More importantly, microhaplotypes have multiple allele variations, which further improve their genetic diversities compared with a single SNP or InDel locus. Considerable research on the forensic effectiveness of microhaplotypes has been conducted in recent years. Turchi et al. selected 89 microhaplotypes, evaluated their genetic distributions in the Italian population using the next generation sequencing (NGS) and found that these loci showed great potential in forensic individual identification []. Chen et al. chose some microhaplotypes with high effective numbers of alleles (Ae) for mixture deconvolution based on NGS and found that these loci could distinguish between minor and the major contributors []. Pang et al. constructed a multiplex system of 124 microhaplotypes based on NGS and compared the forensic efficiency of these loci with commonly used STRs; their results demonstrated that 20 microhaplotypes with top Ae values possessed similar power to differentiate unrelated individuals in comparison with 20 STRs []. Cheung et al. compared performances of microhaplotypes and SNPs for ancestry analyses of different continental populations and concluded that microhaplotypes showed the highest performances for ancestry analyses of five continental populations []. Zhu et al. explored the effectiveness of microhaplotypes in kinship analysis and found that 11 novel selected microhaplotypes possessed high application values []. In summary, microhaplotypes and compound markers show great potential in forensic research, but more loci must be identified for forensic application.
In the present study, 29 novel microhaplotypes and compound markers (InDel-SNP) were selected from the dbSNP database (https://www.ncbi.nlm.nih.gov/snp) based on previously reported SNPs [,,,,,] and InDels [,]. Genetic distributions and forensic efficiencies of these loci in different continental populations were evaluated, and then population genetic analyses of these continental populations were performed based on the selected loci. Next, a multiplex amplification system consisting of these 29 loci was developed using NGS, and 112 Kazak and 106 Mongolian individuals in China were detected. Finally, we assessed the forensic application values of these 29 loci in both studied groups.
2. Materials and Methods
2.1. Selection of Novel Microhaplotypes and Compound Markers
Based on previously reported SNP [,,,,,] and InDel loci [,], we selected the loci with neighboring regions (<200 bp) that had polymorphic SNP or InDel loci (minor allele frequency >0.01). These loci selected initially were further screened using the following criteria: (1) located in intronic regions, (2) different allelic frequencies of SNPs/InDels in the same region, (3) conform to Hardy–Weinberg equilibrium (HWE) in East Asian population [], and (4) the polymorphism information content (PIC) value of each locus is larger than 0.5 in East Asian population. Finally, we identified the 29 novel genetic markers including the 22 microhaplotypes and seven compound markers that were used to construct the multiplex amplification system based on NGS platform.
2.2. Sample Preparation and DNA Extraction
Blood samples were collected from 112 Kazaks and 106 Mongolians living in northwest China after obtaining their written informed consent. There were no blood kinships among analyzed participants according to their self-descriptions. Genomic DNA was extracted using Magbead Blood Spots DNA kit (CWBIO, Beijing, China). A NanoDrop 2000 instrument (Thermo Fisher Scientific, Waltham, MA, USA) was utilized to determine the concentration of each DNA sample. PCR primers for each region were designed on Primer 6.0 software. The primer sequences used in this study are given in Supplementary Table S1. The study fully complied with the human and ethical research principles of Xi’an Jiaotong University Health Science Center, China (XJTULAC201, 2019–1039).
2.3. Reference Populations
Five continental populations (including African, American, East Asian, European and South Asian) were used as reference populations for the initial evaluations of genetic distributions of selected SNPs/InDels. Genetic genotypes of all the selected SNPs/InDels in these continental populations were obtained from 1000 Genome Project Phase 3 [].
2.4. Libraries Construction and Sequencing Using the NGS
The sequencing library of each sample was prepared according to the following instructions. The total PCR system was 25 μL, consisting of 12.5 μL 2× Platinum multiplex PCR master mix, 3 μL GC enhancer, 2.5 μL primer mix (2 μM), 10 ng genomic DNA and ddH2O (up to 25 μL). We performed thermal cycling with the following conditions: denaturation for 2 min at 95 °C; 35 cycles of 30 s at 95 °C, 90 s at 60 °C and 30 s at 72 °C; extension was performed for 5 min at 72 °C. After PCR, we used 2% agarose gel electrophoresis to segregate DNA segments, and magnetic beads were used to purify DNA samples using CMPure MagBead DNA Purification kit (CWBIO, Beijing, China). Next, we conducted the second round amplification based on KAPA HiFi HotStart ReadyMixPCR kit (Kapa Biosystems, Boston, MA, USA). The reaction reagents were 12.5 μL 2× KAPAHIFI mix, 2.5 μL Barcode (50 μM), 2.5 μL PE 1.0 (50 μM), 5 μL purified PCR product and 2.5 μL ddH2O. PCR was conducted on the GeneAmp PCR System 9700 based on the following parameters: 98 °C for 2 min; 8 cycles of 98 °C for 20 s, 65 °C for 30 s, 72 °C for 20 s; 72 °C for 5 min and hold at 4 °C. Then constructed DNA libraries were separated using 2% agarose gel electrophoresis. We further purified DNA libraries using CMPure MagBead DNA Purification kit (CWBIO, Beijing, China). The Qubit dsDNA HS Assay kit (Thermo Fisher Scientific, Waltham, MA, USA) was employed to quantify the concentration of each library.
We denatured and diluted libraries using the standard normalization method. The final concentration of the library pool was 1.8 pM. Moreover, 1% PhiX control was used as the quality control and added to the library pool. The detailed instructions were referenced in the NextSeq System Denature and Dilute Libraries Guide (https://support.illumina.com.cn/sequencing/sequencing_instruments/nextseq-500/documentation.html?langsel=/cn/).
The NextSeq 500 High Output kit v2.5 (Illumina, Inc., San Diego, CA, USA) was used to conduct paired-end sequencing (150×) of each sample on the Illumina NextSeq 500 platform (Illumina, Inc., San Diego, CA, USA). The Local Run Manager was used as the run mode to perform sequencing reactions. The number of cycles was 300. We removed reads with self-ligation primer, low quality, multiple N and very short sequences using Cutadapt (http://code.google.com/p/cutadapt/). We compared clean data with the reference genome (h19) using the BWA (http://bio-bwa.sourceforge.net/). We annotated all detected SNP and InDel loci with GATK (https://software.broadinstitute.org/gatk/) and VarScan software packages [].
2.5. Statistical Analyses
We used PHASE software version 2.1 [] to conduct haplotype reconstruction of each region in different intercontinental populations and the studied Kazak and Mongolian groups. The distribution information of the selected 29 loci on different chromosomes was plotted using the RCircos package [] in R software v3.3 []. Expected heterozygosity (He), discrimination power (DP), probability of exclusion (PE) and PIC values of 29 loci in different intercontinental populations were calculated with STRAF online program v1.0.5 []; Ae was calculated based on a previous report []. Boxplots of He and PIC values and the Ae heatmap of 29 loci in different continental populations were drawn with the ggplot2 [] and pheatmap packages [] in R software, respectively. Principal component analysis (PCA) of different continental populations was built using STRAF online program based on estimated haplotypic data. We conducted genetic structure analyses from K = 2 to K = 5 with five independent replicates using STRUCTURE software v2.3.4 []. The detailed parameters in STRUCTURE software were 10,000 burn-ins and 10,000 MCMC replications with the admixture, allelic frequency correlated model. We determined the best K value with the STRUCTURE HARVESTER online program (http://taylor0.biology.ucla.edu/structureHarvester/). We processed the data of the STRUCTURE replicated run to reduce stochastic effects with CLUMPP software v1.1 []. Then the graphic display of CLUMPP outputs was performed with the CLUMPAK online program []. We calculated informativeness (In) value of each locus in five intercontinental populations with the INFOCALC program []. Finally, we estimated haplotypic frequencies, PIC, DP, PE, He, observed heterozygosity (Ho), match probability (MP), p-values for HWE and linkage disequilibrium (LD) tests of these 29 loci in Kazak and Mongolian groups using STRAF online program. The Ae values of 29 loci in Kazak and Mongolian groups were calculated based on the description mentioned above. The allele coverage ratio (ACR) of each SNP/InDel was estimated according to a published description [].
3. Results
3.1. General Information of the 29 Microhaplotypes and Compound Markers
In the present study, 29 microhaplotypes and compound markers were identified from previously reported SNP [,,,,,] and InDel loci [,]. We named each locus based on the nomenclature criteria proposed by Kidd et al. []. These 29 loci consisted of 69 SNP/InDel loci, and their chromosomal location information is presented in Supplementary Table S2. The results revealed that these 29 loci included 22 microhaplotypes (one InDel-InDel and 21 SNP-SNP markers) and seven compound markers (InDel-SNP); the numbers of SNP/InDel in each locus ranged from 2 to 5. The distribution patterns of these 29 loci in different chromosomes are displayed in Figure 1. The results indicated that they were located in 18 different autosomes.

Figure 1.
Physical positions of the 29 loci in different chromosomes.
3.2. Genetic Diversities and Forensic Efficiencies of 29 Loci in Five Continental Populations
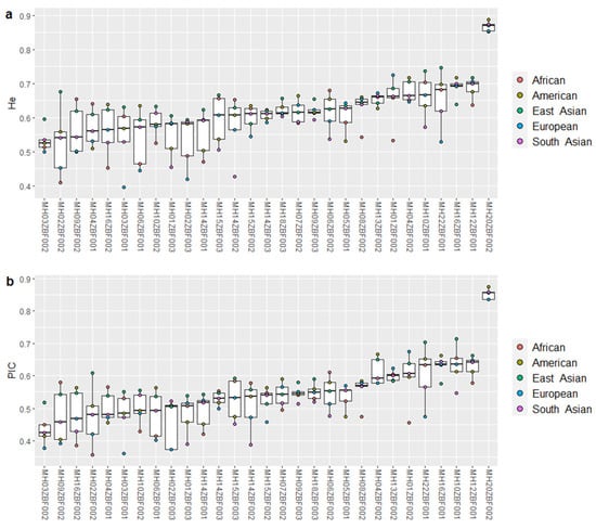
Based on the population genetic data reported in 1000 Genomes Phase 3 [], we assessed genetic distributions of the selected 29 loci in five continental populations. First, we displayed the He values (Figure 2a) and found that they were >0.4 for all loci in these populations, with the highest value for MH20ZBF002 (>0.85) and the lowest for MH03ZBF002. Next, we calculated the PIC values of the 29 loci in these populations (Figure 2b). Similar to the He distribution patterns in these populations, MH20ZBF002 had the highest PIC value, while MH03ZBF002 was relatively low. Even so, the He and PIC values of the 29 loci were greater than 0.5 in East Asian population, implying that they had relatively high genetic diversities in East Asian population. We also analyzed Ae values of the 29 loci in these five continental populations (Supplementary Figure S1). Nineteen loci had relatively high Ae values (>2), with the highest value for MH20ZBF002 (>6), indicating that the locus showed more even allele distributions in these populations and could be utilized for mixture sample analysis.

Figure 2.
Boxplots of (a) expected heterozygosity and (b) polymorphism information content of the 29 loci in five continental populations.
We also calculated the cumulative discrimination power (CDP), cumulative match probability (CMP) and cumulative probability of exclusion (CPE) values of the selected 29 loci in these five continental populations (Table 1). The CDP values of the 29 loci ranged from 0.99999999999999999982977 in the European population to 0.99999999999999999999968073 in the East Asian population. The CMP values of these loci ranged from 3.1928E-22 in the East Asian population to 1.7023E-19 in the European population. The CPE values distributed from 0.999954 in the European population to 0.999998 in the East Asian population.

Table 1.
Cumulative discrimination power, match probability and probability of exclusion values of 29 microhaplotypes and compound markers in five continental populations.
3.3. Genetic Divergences and Population Structure Evaluations of Different Continental Populations
Based on haplotypic frequencies of the 29 loci, we conducted PCA of five continental populations (Figure 3). We found that PC1 on the horizontal axis could distinguish African individuals from the other individuals, PC2 (Figure 3a) on the vertical axis could differentiate East Asian individuals from other individuals and PC3 (Figure 3b) could differentiate some South Asian individuals from other individuals. Next, we further explored the genetic structures of these continental populations (Figure 4a). Ancestral components (brown color) in the African population could be discerned at K = 2 in comparison with other continental populations mainly showing yellow ancestral components. When K increased to 3, the East Asian population could be separated from other populations. As K reached 4, African, East Asian, European and South Asian populations displayed different ancestral components: African for brown, East Asian for green, European for yellow, South Asian for pink; American population showed admixed ancestral proportions. The STRUCTURE HARVESTER results are shown in Figure 4b. Similar L(K) values could be discerned at K = 3–5, indicating that K = 3 was the most suitable for the data in this study. The population genetic analyses mentioned above suggested that these 29 loci showed different genetic distributions in these continental populations, which might be useful for differentiating these continental populations. We also estimated the In values of the 29 loci among five continental populations (Supplementary Figure S2) and found that MH02ZBF003, MH06ZBF001, MH22ZBF001, MH10ZBF001 and MH20ZBF002 showed relatively high In values (>0.1).

Figure 3.
Principal component analysis of five continental populations at (a) PC1 and PC2 and (b) PC1 and PC3 based on the same 29 loci.

Figure 4.
Genetic structure analyses of five continental populations at (a) K = 2–5 and (b) L(K) value of each K based on the same 29 loci.
3.4. Sequencing Results of the Developed Multiplex System Using the NGS Platform
Depth of coverage (DoC) and ACR were used to evaluate the sequencing results of the developed multiplex system (Supplementary Table S3). The mean DoC values ranged from 116 to 23,495. The rs1382755 and rs33911727 loci at the MH04ZBF001 locus showed low DoC values. For ACR, they ranged from 0.4573 to 0.9606. Most loci in these 29 loci showed relatively high ACR values, indicating relatively good intra-locus balances.
We also estimated Q30 of sequencing data for each individual. We found that they were greater than 90%, implying high accuracy. Some same individuals were analyzed by the developed system twice, and identical results of these loci were observed for the same individuals. Therefore, the developed system showed good performance and high genotyping accuracy.
3.5. Genetic Distributions and Forensic Parameters of the 29 Loci in Kazak and Mongolian Groups
HWE test results (p-values) of the 29 loci in Kazak and Mongolian groups are given in Table 2 and Table 3. After applying Bonferroni correction (p = 0.05/29 = 0.0017), the MH01ZBF002 locus deviated from HWE in the Kazak group, and the MH01ZBF002 and MH08ZBF002 loci deviated from HWE in the Mongolian group. LD analyses of pairwise loci in Kazak and Mongolian groups are given in Supplementary Tables S4 and S5. For the Kazak group, all pairwise loci conformed to linkage equilibrium after Bonferroni correction (p = 0.05/406 = 0.00012). However, one pair (MH06ZBF002 and MH07ZBF002) deviated from linkage equilibrium in the Mongolian group.

Table 2.
Forensic parameters of 29 microhaplotypes and compound markers in Kazak group.

Table 3.
Forensic parameters of 29 microhaplotypes and compound markers in Mongolian group.
We plotted the stacked histograms of haplotypic frequencies and Ae values of the 29 loci in the Kazak and Mongolian groups (Figure 5). For the Kazak group, 3 to 18 alleles at the 29 loci could be observed, and their frequencies ranged from 0.0045 to 0.6250; Ae values of the 29 loci distributed from 2.05 at the MH03ZBF002 locus to 8.19 at MH20ZBF002 locus (Figure 5a). For the Mongolian group, a total of 116 alleles (3–15 alleles at each locus) were observed at the 29 loci with allelic frequencies ranging from 0.0047 to 0.6179; the smallest Ae (2.14) was at the MH03ZBF002 locus, while the largest Ae (7.45) was at the MH20ZBF002 locus (Figure 5b).

Figure 5.
Haplotypic frequencies and the effective number of alleles at the 29 loci in (a) Kazak and (b) Mongolian groups. Stacked histogram indicated haplotypic frequencies of the 29 loci; the triangles in stacked histograms indicated the effective number of alleles at the 29 loci.
The forensic parameters of the selected 29 loci in Kazak and Mongolian groups are presented in Table 2 and Table 3. The mean Ho, He, PIC, DP, MP and PE values of the 29 loci in the Kazak group were 0.6502, 0.6367, 0.5677, 0.7862, 0.2138 and 0.3689, respectively; they were 0.6490, 0.6439, 0.5743, 0.7897, 0.2103 and 0.3670 in the Mongolian group. There were four loci with PIC values <0.5 in both groups. Next, we calculated the CMP and CPE of the 29 loci, as shown in Figure 6. The results revealed that the CMP values of the 29 loci were less than 1.00E-20 and CPE values were close to 1 in both groups.

Figure 6.
Cumulative match probability and probability of exclusion values of the 29 loci in (a) Kazak and (b) Mongolian groups.
4. Discussion
STRs are the gold standard markers that are widely used in forensic DNA laboratories. The relatively larger amplicon size, stutter peak and high mutation rate exert the adverse influences on STR analysis. Microhaplotypes and compound markers are novel genetic markers that possess some advantageous forensic application features compared with STRs. Previous studies have constructed some panels of these novel genetic markers for different forensic research purposes [,]. In this study, we selected 29 novel loci including 22 microhaplotypes and seven compound markers (InDel-SNP) for forensic human identification and paternity testing in East Asian populations. We investigated genetic polymorphisms and forensic statistical parameters of the 29 loci in Kazak and Mongolian groups in China, and the results revealed that these loci showed relatively high polymorphisms in both groups.
The 29 loci presented in this study are distributed on 18 autosomal chromosomes. The physical distances between the 29 loci and the commonly used CODIS system on the same chromosomes were 10 Mb apart, implying that they were less likely to be in genetic linkage. Accordingly, these 29 loci could be used to forensic application along with these STRs.
Loci with high heterozygosity and relatively balanced allelic frequencies in populations could be viewed as valuable markers for forensic human identifications []. The PIC is an index that measures whether a marker is informative []. Ae is an indicator revealing loci usefulness in resolving DNA mixtures: the higher the Ae, the better the power of a locus to detect the mixture []. We assessed the He, Ae, and PIC values of 29 loci in five intercontinental populations (Figure 2 and Supplementary Figure S1). Not surprisingly, all loci demonstrated high He (>0.5) and PIC values (>0.5) in the East Asian population. There were one, two, five, and five loci with He values less than 0.5 in American, South Asian, African and European populations, respectively, and 9, 10, 11 and 13 loci with PIC values less than 0.5 in American, African, South Asian and European populations, respectively. Even so, all PIC values were larger than 0.25, suggesting that they were reasonably informative in these populations. The Ae values of the 29 loci in different continental populations revealed that most loci were relatively high (>2), especially for the East Asian population (Supplementary Figure S1). Therefore, the selected 29 loci could be used as informative markers for mixture deconvolution. The high CDP values of the 29 loci suggested that the panel could be regarded as a useful tool for human identifications in these populations. Moreover, the relatively high CPE values (>0.9999) implied that the panel was also appropriate for paternity analysis.
Population genetic analyses among five continental populations were conducted based on the 29 loci. According to PCA results, most East Asian and African individuals could be differentiated from other individuals at the first three PCs (Figure 3). Moreover, four continental populations (including African, European, South Asian and East Asian) displayed distinct genetic component distributions in the STRUCTURE analysis. Therefore, we inferred that some of the 29 loci may show large genetic variations among these populations, which led to population distribution patterns in PCA and STRUCTURE. In is generally considered as a parameter to evaluate genetic variations of the locus in different populations []. The In values of the 29 loci among these continental populations (Supplementary Figure S2) revealed that five loci had relatively high In values (>0.1), suggesting that they could be used as informative markers for ancestry inference of these continental populations.
Using the system presented in this study, most loci showed high DoC values. However, the rs1382755 and rs33911727 loci at MH04ZBF001 locus had low DoC values, implying low performance of the region during multiplex PCR and sequencing. We also observed that most loci showed relatively high ACR values (>0.66), indicating that they may be useful to analyze mixed sample. Next, we investigated genetic distributions of the 29 loci in Kazak and Mongolian groups. The results revealed that all loci had at least three allele variations in both groups, and MH20ZBF002 locus had the most alleles. The average Ae values of the 29 loci were 2.92 and 2.93 in the Kazak and Mongolian groups, respectively. According to the previous research published by Kidd et al. the cumulative probability of resolving a mixture is 0.9471 if there are five loci with Ae values of 3.00 []. In this study, there were five and six loci with Ae values greater than three in the Mongolian and Kazak groups, respectively, indicating the cumulative probability of the 29 loci to detect a mixture of two unrelated individuals theoretically was above 0.9471. We did not test the capability of these loci to resolve the mixture, which should be evaluated in future analyses. The CMP and CPE values of the 29 loci in the Kazak and Mongolian groups are shown in Figure 6. Compared to the results for 35 InDels and 30 InDels in the Kazak [,] and Mongolian groups [,], we found that the 29 loci had higher CDP and CPE values (Supplementary Table S6), suggesting that the panel could be employed for human identification and paternity analyses in the two groups.
5. Conclusions
We selected 29 novel loci including 22 microhaplotypes and seven compound markers for forensic application in the East Asian populations. We found that most of these 29 loci were relatively high polymorphisms in different continental populations. Moreover, five loci showed relatively high In values and could be used for ancestry inferences of these continental populations. Further evaluations of the 29 loci in Kazak and Mongolian groups yielded a similar conclusion: the 29 loci could be a valuable tool for human identification and paternity testing. The power of the 29 loci to detect the mixture needs to be validated.
Supplementary Materials
The following are available online at https://www.mdpi.com/2073-4425/11/9/1027/s1. Supplementary Figure S1. Heatmap of effective number of alleles at the 29 loci in five continental populations. Supplementary Figure S2. Informativeness (In) values of the 29 loci in five continental populations. Supplementary Table S1. Primer information of 69 SNP/InDel loci at 29 microhaplotypes and compound markers. Supplementary Table S2. General information of 29 microhaplotypes and compound markers. Supplementary Table S3. Depth of coverage and allele coverage ratio distributions of 69 SNP/InDel loci at 29 microhaplotypes and compound markers. Supplementary Table S4. Linkage disequilibrium analyses (p-values) of pairwise loci in Kazak group. Supplementary Table S5. Linkage disequilibrium analyses (p-values) of pairwise loci in Mongolian group. Supplementary Table S6. Forensic efficiency comparisons of the 29 microhaplotypes and compound markers in this study and other published panels in Kazak and Mongolian groups.
Author Contributions
X.J. and X.Z. wrote the main text; C.S. collected samples; X.J., C.S. and Y.L. performed experiment; W.C. and C.C. conducted statistical analysis; Y.G. revised the manuscript; B.Z. designed the work and provided the conception. All authors have read and agreed to the published version of the manuscript.
Funding
This study was supported by the National Natural Science Foundation of China (81525015), Guangdong Province Universities and Colleges Pearl River Scholar Funded Scheme (GDUPS, 2017).
Conflicts of Interest
The authors stated that they have no conflict of interest.
References
- Sheng, X.; Wang, Y.; Zhang, J.; Chen, L.; Lin, Y.; Zhao, Z.; Li, C.; Zhang, S. Forensic investigation of 23 autosomal STRs and application in Han and Mongolia ethnic groups. Forensic Sci. Res. 2018, 3, 138–144. [Google Scholar] [CrossRef]
- Wang, Z.; Lu, B.; Jin, X.; Yan, J.; Meng, H.; Zhu, B. Genetic and structural characterization of 20 autosomal short tandem repeats in the Chinese Qinghai Han population and its genetic relationships and interpopulation differentiations with other reference populations. Forensic Sci. Res. 2018, 3, 145–152. [Google Scholar] [CrossRef]
- Butler, J.M.; Shen, Y.; McCord, B.R. The development of reduced size STR amplicons as tools for analysis of degraded DNA. J. Forensic Sci. 2003, 48, 1054–1064. [Google Scholar] [CrossRef]
- Kidd, K.K.; Pakstis, A.J.; Speed, W.C.; Grigorenko, E.L.; Kajuna, S.L.; Karoma, N.J.; Kungulilo, S.; Kim, J.J.; Lu, R.B.; Odunsi, A.; et al. Developing a SNP panel for forensic identification of individuals. Forensic Sci. Int. 2006, 164, 20–32. [Google Scholar] [CrossRef]
- Avent, I.; Kinnane, A.G.; Jones, N.; Petermann, I.; Daniel, R.; Gahan, M.E.; McNevin, D. The QIAGEN 140-locus single-nucleotide polymorphism (SNP) panel for forensic identification using massively parallel sequencing (MPS): An evaluation and a direct-to-PCR trial. Int. J. Leg. Med. 2019, 133, 677–688. [Google Scholar] [CrossRef]
- Borsting, C.; Mogensen, H.S.; Morling, N. Forensic genetic SNP typing of low-template DNA and highly degraded DNA from crime case samples. Forensic Sci. Int. Genet. 2013, 7, 345–352. [Google Scholar] [CrossRef]
- Liu, Y.; Liao, H.; Liu, Y.; Guo, J.; Sun, Y.; Fu, X.; Xiao, D.; Cai, J.; Lan, L.; Xie, P.; et al. Developing a new nonbinary SNP fluorescent multiplex detection system for forensic application in China. Electrophoresis 2017, 38, 1154–1162. [Google Scholar] [CrossRef]
- Pan, X.; Liu, C.; Du, W.; Chen, L.; Han, X.; Yang, X.; Liu, C. Genetic analysis and forensic evaluation of 47 autosomal InDel markers in four different Chinese populations. Int. J. Leg. Med. 2019. [Google Scholar] [CrossRef]
- Li, C.; Zhao, S.; Zhang, S.; Li, L.; Liu, Y.; Chen, J.; Xue, J. Genetic polymorphism of 29 highly informative InDel markers for forensic use in the Chinese Han population. Forensic Sci. Int. Genet. 2011, 5, e27–e30. [Google Scholar] [CrossRef]
- Liu, Z.; Liu, J.; Wang, J.; Chen, D.; Liu, Z.; Shi, J.; Li, Z.; Li, W.; Zhang, G.; Du, B. A set of 14 DIP-SNP markers to detect unbalanced DNA mixtures. Biochem. Biophys. Res. Commun. 2018, 497, 591–596. [Google Scholar] [CrossRef]
- Kidd, K.K.; Pakstis, A.J.; Speed, W.C.; Lagace, R.; Chang, J.; Wootton, S.; Haigh, E.; Kidd, J.R. Current sequencing technology makes microhaplotypes a powerful new type of genetic marker for forensics. Forensic Sci. Int. Genet. 2014, 12, 215–224. [Google Scholar] [CrossRef] [PubMed]
- Oldoni, F.; Kidd, K.K.; Podini, D. Microhaplotypes in forensic genetics. Forensic Sci. Int. Genet. 2019, 38, 54–69. [Google Scholar] [CrossRef] [PubMed]
- Turchi, C.; Melchionda, F.; Pesaresi, M.; Tagliabracci, A. Evaluation of a microhaplotypes panel for forensic genetics using massive parallel sequencing technology. Forensic Sci. Int. Genet. 2019, 41, 120–127. [Google Scholar] [CrossRef] [PubMed]
- Chen, P.; Deng, C.; Li, Z.; Pu, Y.; Yang, J.; Yu, Y.; Li, K.; Li, D.; Liang, W.; Zhang, L.; et al. A microhaplotypes panel for massively parallel sequencing analysis of DNA mixtures. Forensic Sci. Int. Genet. 2019, 40, 140–149. [Google Scholar] [CrossRef]
- Pang, J.B.; Rao, M.; Chen, Q.F.; Ji, A.Q.; Zhang, C.; Kang, K.L.; Wu, H.; Ye, J.; Nie, S.J.; Wang, L. A 124-plex Microhaplotype Panel Based on Next-generation Sequencing Developed for Forensic Applications. Sci. Rep. 2020, 10, 1945. [Google Scholar] [CrossRef]
- Cheung, E.Y.; Phillips, C.; Eduardoff, M.; Lareu, M.V.; McNevin, D. Performance of ancestry-informative SNP and microhaplotype markers. Forensic Sci. Int. Genet. 2019, 43, 102141. [Google Scholar] [CrossRef]
- Zhu, J.; Chen, P.; Qu, S.; Wang, Y.; Jian, H.; Cao, S.; Liu, Y.; Zhang, R.; Lv, M.; Liang, W.; et al. Evaluation of the microhaplotype markers in kinship analysis. Electrophoresis 2019, 40, 1091–1095. [Google Scholar] [CrossRef]
- Mo, S.K.; Ren, Z.L.; Yang, Y.R.; Liu, Y.C.; Zhang, J.J.; Wu, H.J.; Li, Z.; Bo, X.C.; Wang, S.Q.; Yan, J.W.; et al. A 472-SNP panel for pairwise kinship testing of second-degree relatives. Forensic Sci. Int. Genet. 2018, 34, 178–185. [Google Scholar] [CrossRef]
- Li, L.; Wang, Y.; Yang, S.; Xia, M.; Yang, Y.; Wang, J.; Lu, D.; Pan, X.; Ma, T.; Jiang, P.; et al. Genome-wide screening for highly discriminative SNPs for personal identification and their assessment in world populations. Forensic Sci. Int. Genet. 2017, 28, 118–127. [Google Scholar] [CrossRef]
- Zhang, S.; Bian, Y.; Chen, A.; Zheng, H.; Gao, Y.; Hou, Y.; Li, C. Developmental validation of a custom panel including 273 SNPs for forensic application using Ion Torrent PGM. Forensic Sci. Int. Genet. 2017, 27, 50–57. [Google Scholar] [CrossRef]
- Zha, L.; Yun, L.; Chen, P.; Luo, H.; Yan, J.; Hou, Y. Exploring of tri-allelic SNPs using pyrosequencing and the SNaPshot methods for forensic application. Electrophoresis 2012, 33, 841–848. [Google Scholar] [CrossRef] [PubMed]
- Westen, A.A.; Matai, A.S.; Laros, J.F.; Meiland, H.C.; Jasper, M.; de Leeuw, W.J.; de Knijff, P.; Sijen, T. Tri-allelic SNP markers enable analysis of mixed and degraded DNA samples. Forensic Sci. Int. Genet. 2009, 3, 233–241. [Google Scholar] [CrossRef] [PubMed]
- Gao, Z.; Chen, X.; Zhao, Y.; Zhao, X.; Zhang, S.; Yang, Y.; Wang, Y.; Zhang, J. Forensic genetic informativeness of an SNP panel consisting of 19 multi-allelic SNPs. Forensic Sci. Int. Genet. 2018, 34, 49–56. [Google Scholar] [CrossRef]
- Jin, X.Y.; Wei, Y.Y.; Cui, W.; Chen, C.; Guo, Y.X.; Zhang, W.Q.; Zhu, B.F. Development of a novel multiplex polymerase chain reaction system for forensic individual identification using insertion/deletion polymorphisms. Electrophoresis 2019, 40, 1691–1698. [Google Scholar] [CrossRef] [PubMed]
- Wendt, F.R.; Warshauer, D.H.; Zeng, X.; Churchill, J.D.; Novroski, N.M.M.; Song, B.; King, J.L.; LaRue, B.L.; Budowle, B. Massively parallel sequencing of 68 insertion/deletion markers identifies novel microhaplotypes for utility in human identity testing. Forensic Sci. Int. Genet. 2016, 25, 198–209. [Google Scholar] [CrossRef]
- Genomes Project, C.; Auton, A.; Brooks, L.D.; Durbin, R.M.; Garrison, E.P.; Kang, H.M.; Korbel, J.O.; Marchini, J.L.; McCarthy, S.; McVean, G.A.; et al. A global reference for human genetic variation. Nature 2015, 526, 68–74. [Google Scholar] [CrossRef]
- Koboldt, D.C.; Chen, K.; Wylie, T.; Larson, D.E.; McLellan, M.D.; Mardis, E.R.; Weinstock, G.M.; Wilson, R.K.; Ding, L. VarScan: Variant detection in massively parallel sequencing of individual and pooled samples. Bioinformatics 2009, 25, 2283–2285. [Google Scholar] [CrossRef] [PubMed]
- Stephens, M.; Smith, N.J.; Donnelly, P. A new statistical method for haplotype reconstruction from population data. Am. J. Hum. Genet. 2001, 68, 978–989. [Google Scholar] [CrossRef]
- Zhang, H.; Meltzer, P.; Davis, S. RCircos: An R package for Circos 2D track plots. BMC Bioinform. 2013, 14, 244. [Google Scholar] [CrossRef]
- R Core Team. R: A Language and Environment for Statistical Computing; R Foundation for Statistical Computing: Vienna, Austria, 2019. [Google Scholar]
- Gouy, A.; Zieger, M. STRAF-A convenient online tool for STR data evaluation in forensic genetics. Forensic Sci. Int. Genet. 2017, 30, 148–151. [Google Scholar] [CrossRef]
- Kidd, K.K.; Speed, W.C. Criteria for selecting microhaplotypes: Mixture detection and deconvolution. Investig. Genet. 2015, 6, 1. [Google Scholar] [CrossRef]
- Wickham, H. Ggplot2: Elegant Graphics for Data Analysis; Springer: New York, NY, USA, 2016. [Google Scholar]
- Kolde, R. Pheatmap: Pretty Heatmaps; R Package Version 1.0.12; R Studio: Boston, MA, USA, 2019. [Google Scholar]
- Falush, D.; Stephens, M.; Pritchard, J.K. Inference of population structure using multilocus genotype data: Linked loci and correlated allele frequencies. Genetics 2003, 164, 1567–1587. [Google Scholar] [PubMed]
- Jakobsson, M.; Rosenberg, N.A. CLUMPP: A cluster matching and permutation program for dealing with label switching and multimodality in analysis of population structure. Bioinformatics 2007, 23, 1801–1806. [Google Scholar] [CrossRef] [PubMed]
- Kopelman, N.M.; Mayzel, J.; Jakobsson, M.; Rosenberg, N.A.; Mayrose, I. Clumpak: A program for identifying clustering modes and packaging population structure inferences across K. Mol. Ecol. Resour. 2015, 15, 1179–1191. [Google Scholar] [CrossRef] [PubMed]
- Rosenberg, N.A.; Li, L.M.; Ward, R.; Pritchard, J.K. Informativeness of genetic markers for inference of ancestry. Am. J. Hum. Genet. 2003, 73, 1402–1422. [Google Scholar] [CrossRef]
- Jin, X.Y.; Guo, Y.X.; Chen, C.; Cui, W.; Liu, Y.F.; Tai, Y.C.; Zhu, B.F. Ancestry Prediction Comparisons of Different AISNPs for Five Continental Populations and Population Structure Dissection of the Xinjiang Hui Group via a Self-Developed Panel. Genes 2020, 11, 505. [Google Scholar] [CrossRef]
- Kidd, K.K. Proposed nomenclature for microhaplotypes. Hum. Genom. 2016, 10, 16. [Google Scholar] [CrossRef]
- Chen, P.; Yin, C.; Li, Z.; Pu, Y.; Yu, Y.; Zhao, P.; Chen, D.; Liang, W.; Zhang, L.; Chen, F. Evaluation of the Microhaplotypes panel for DNA mixture analyses. Forensic Sci. Int. Genet. 2018, 35, 149–155. [Google Scholar] [CrossRef]
- Liu, J.; Li, W.; Wang, J.; Chen, D.; Liu, Z.; Shi, J.; Cheng, F.; Li, Z.; Ren, J.; Zhang, G.; et al. A new set of DIP-SNP markers for detection of unbalanced and degraded DNA mixtures. Electrophoresis 2019, 40, 1795–1804. [Google Scholar] [CrossRef]
- Botstein, D.; White, R.L.; Skolnick, M.; Davis, R.W. Construction of a genetic linkage map in man using restriction fragment length polymorphisms. Am. J. Hum. Genet. 1980, 32, 314–331. [Google Scholar]
- Phillips, C. Forensic genetic analysis of bio-geographical ancestry. Forensic Sci. Int. Genet. 2015, 18, 49–65. [Google Scholar] [CrossRef]
- Kong, T.; Chen, Y.; Guo, Y.; Wei, Y.; Jin, X.; Xie, T.; Mu, Y.; Dong, Q.; Wen, S.; Zhou, B.; et al. Autosomal InDel polymorphisms for population genetic structure and differentiation analysis of Chinese Kazak ethnic group. Oncotarget 2017, 8, 56651–56658. [Google Scholar] [CrossRef] [PubMed]
- Zhao, S.M.; Zhang, S.H.; Li, C.T. InDel_typer30: A multiplex PCR system for DNA identification among five Chinese populations. Fa Yi Xue Za Zhi 2010, 26, 343–348, 356. [Google Scholar] [PubMed]
- Zhang, W.; Jin, X.; Wang, Y.; Kong, T.; Cui, W.; Chen, C.; Guo, Y.; Zhu, B. Genetic Polymorphisms and Forensic Efficiencies of a Set of Novel Autosomal InDel Markers in a Chinese Mongolian Group. Biomed. Res. Int. 2020, 2020, 3925189. [Google Scholar] [CrossRef] [PubMed]
© 2020 by the authors. Licensee MDPI, Basel, Switzerland. This article is an open access article distributed under the terms and conditions of the Creative Commons Attribution (CC BY) license (http://creativecommons.org/licenses/by/4.0/).