Synthesis and Evaluation of Novel Pyrazole Ethandiamide Compounds as Inhibitors of Human THP-1 Monocytic Cell Neurotoxicity
Abstract
:1. Introduction
2. Materials and Methods
2.1. Chemical Synthesis
2.2. Synthesis of 2-Oxo-2-substituted-N-(4-cyano-1-phenyl-1H-pyrazol-5-yl)acetamides
2.3. Cell Culture
2.4. Measurement of Cell Viability by the 3-(4,5-dimethylthiazol-2-yl)-2,5-diphenyltetrazolium Bromide (MTT) Assay
2.5. Cytotoxicity of Pyrazole Derivatives
2.6. Anti-Neurotoxic Activity of Pyrazole Derivatives
2.7. Neuroprotective Activity of Pyrazole Derivatives
2.8. Statistical Analysis
3. Results
3.1. Synthesis of Pyrazolyloxaladiamide Analogs
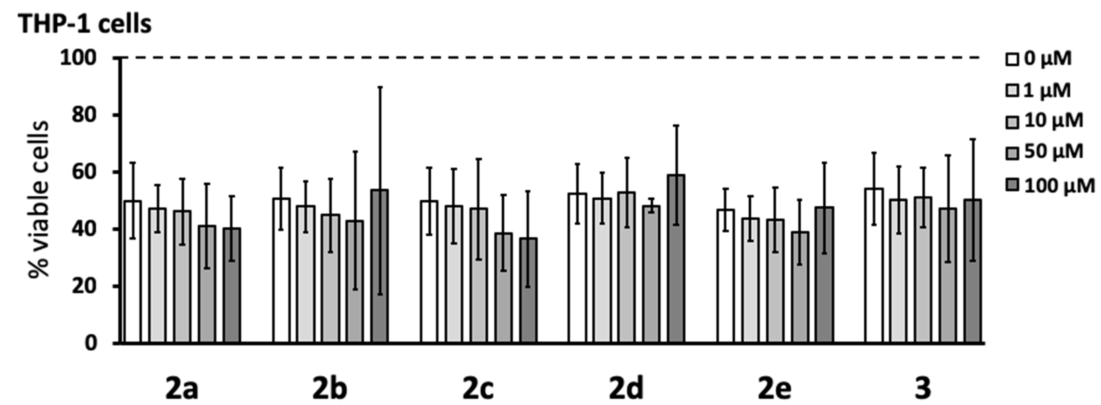
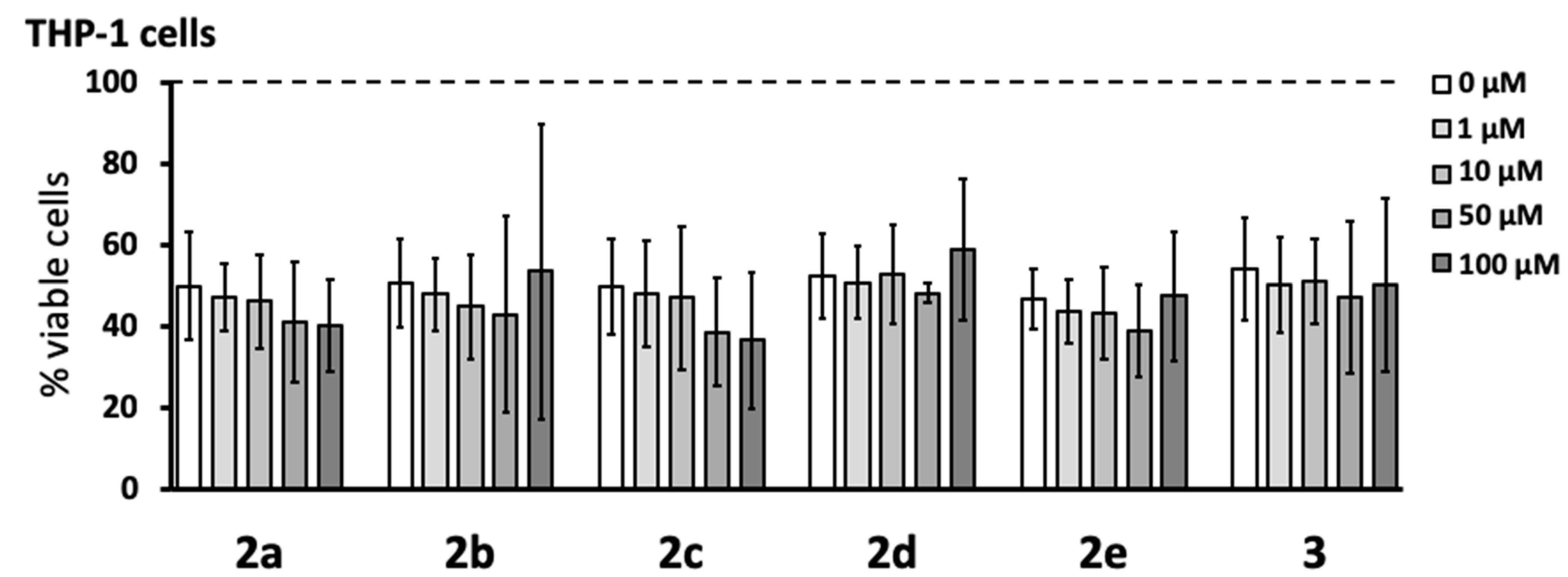
3.2. Cytotoxic Effects
3.3. Anti-Neurotoxic Effects
3.4. Neuroprotective Effects
4. Discussion
Supplementary Materials
Author Contributions
Funding
Acknowledgments
Conflicts of Interest
References
- Frere, S.; Slutsky, I. Alzheimer’s Disease: From Firing Instability to Homeostasis Network Collapse. Neuron 2018, 97, 32–58. [Google Scholar] [CrossRef] [PubMed]
- Van Eldik, L.J.; Carrillo, M.C.; Cole, P.E.; Feuerbach, D.; Greenberg, B.D.; Hendrix, J.A.; Kennedy, M.; Kozauer, N.; Margolin, R.A.; Molinuevo, J.L.; et al. The roles of inflammation and immune mechanisms in Alzheimer’s disease. Alzheimers Dement. Transl. Res. Clin. Interv. 2016, 2, 99–109. [Google Scholar] [CrossRef] [PubMed]
- Zhang, F.J.; Jang, L.L. Neuroinflammation in Alzheimer’s disease. Neuropsychiatr. Dis. Treat. 2005, 11, 243–256. [Google Scholar]
- Thompson, K.K.; Tsirka, S.E. The Diverse Roles of Microglia in the Neurodegenerative Aspects of Central Nervous System (CNS) Autoimmunity. Int. J. Mol. Sci. 2017, 18, 504. [Google Scholar] [CrossRef] [PubMed]
- Wang, X.; Zhu, M.; Hjorth, E.; Cortés-Toro, V.; Eyjolfsdottir, H. Resolution of inflammation is altered in Alzheimer’s disease. Alzheimers Dement. 2015, 11, 40–50. [Google Scholar] [CrossRef] [PubMed]
- Mullane, K.; Williams, M. Alzheimer’s therapeutics: continued clinical failures question the validity of the amyloid hypothesis-but what lies beyond? Biochem. Pharmacol. 2013, 85, 289–305. [Google Scholar] [CrossRef]
- Wenzel, T.J.; Klegeris, A. Novel multi-target directed ligand-based strategies for reducing neuroinflammation in Alzheimer’s disease. Life Sci. 2018, 207, 314–322. [Google Scholar] [CrossRef]
- Bronzuoli, M.R.; Iacomino, A.; Steardo, L.; Scuderi, C. Targeting neuroinflammation in Alzheimer’s disease. J. Inflamm. Res. 2016, 9, 199–208. [Google Scholar] [CrossRef]
- Drachman, D.A. The amyloid hypothesis, time to move on: Amyloid is the downstream result, not cause, of Alzheimer’s disease. Alzheimers Dement. 2014, 10, 372–380. [Google Scholar] [CrossRef]
- Bandgar, B.P.; Totre, J.V.; Gawande, S.S.; Khobragade, C.; Warangkar, S.C.; Kadam, P.D. Synthesis of novel 3,5-diaryl pyrazole derivatives using combinatorial chemistry as inhibitors of tyrosinase as well as potent anticancer, anti-inflammatory agents. Bioorganic Med. Chem. 2010, 18, 6149–6155. [Google Scholar] [CrossRef]
- Iñiguez, M.A.; Punzón, C.; Cacheiro-Llaguno, C.; Díaz-Muñoz, M.D.; Duque, J.; Cuberes, R.; Álvarez, I.; Andrés, E.M.; Buxens, J.; Buschmann, H.; et al. Cyclooxygenase-independent inhibitory effects on T cell activation of novel 4,5-dihydro-3 trifluoromethyl pyrazole cyclooxygenase-2 inhibitors. Int. Immunopharmacol. 2010, 10, 1295–1304. [Google Scholar] [CrossRef] [PubMed]
- Nitulescu, G.M.; Draghici, C.; Missir, A.V. Synthesis of new pyrazole derivatives and their anticancer evaluation. Eur. J. Med. Chem. 2010, 45, 4914–4919. [Google Scholar] [CrossRef] [PubMed]
- Nitulescu, G.M.; Draghici, C.; Olaru, O.T.; Matei, L.; Ioana, A.; Dragu, L.D.; Bleotu, C. Synthesis and apoptotic activity of new pyrazole derivatives in cancer cell lines. Bioorganic Med. Chem. 2015, 23, 5799–5808. [Google Scholar] [CrossRef] [PubMed]
- Hashioka, S.; McLarnon, J.G.; Ryu, J.K.; Youssef, A.M.; Abd-El-Aziz, A.S.; Neeland, E.G.; Klegeris, A. Pyrazole Compound 2-MBAPA as a Novel Inhibitor of Microglial Activation and Neurotoxicity in vitro and in vivo. J. Alzheimer’s Dis. 2011, 27, 531–541. [Google Scholar] [CrossRef] [PubMed]
- Youssef, A.M.; Neeland, E.G.; Villanueva, E.B.; White, M.S.; El-Ashmawy, I.M.; Patrick, B.; Klegeris, A.; Abd-El-Aziz, A.S. Synthesis and biological evaluation of novel pyrazole compounds. Bioorganic Med. Chem. 2010, 18, 5685–5696. [Google Scholar] [CrossRef] [PubMed]
- Youssef, A.M.; White, M.S.; Villanueva, E.B.; El-Ashmawy, I.M.; Klegeris, A. Synthesis and biological evaluation of novel pyrazolyl-2,4-thiazolidinediones as anti-inflammatory and neuroprotective agents. Bioorganic Med. Chem. 2010, 18, 2019–2028. [Google Scholar] [CrossRef] [PubMed]
- Liu, X.H.; Ruan, B.F.; Liu, J.X.; Song, B.A.; Jing, L.H.; Li, J.; Yang, Y.; Zhu, H.L.; Qi, X.B. Design and synthesis of N-phenylacetyl (sufonyl) 4,5-dihydropyrazole derivatives as potential anti-tumor agents. Bioorg. Med. Chem. Lett. 2011, 21, 2916–2920. [Google Scholar] [CrossRef]
- Klegeris, A.; Walker, D.; McGeer, P. Toxicity of human THP-1 monocytic cells towards neuron-like cells is reduced by non-steroidal anti-inflammatory drugs (NSAIDs). Neuropharmacology 1999, 38, 1017–1025. [Google Scholar] [CrossRef]
- Mosmann, T. Rapid colorimetric assay for cellular growth and survival: Application to proliferation and cytotoxicity assays. J. Immunol. Methods 1983, 65, 55–63. [Google Scholar] [CrossRef]
- Hansen, M.B.; Nielsen, S.E.; Berg, K. Re-examination and further development of a precise and rapid dye method for measuring cell growth/cell kill. J. Immunol. Methods 1989, 119, 203–210. [Google Scholar] [CrossRef]
- Klegeris, A.; Bissonnette, C.J.; McGeer, P.L. Modulation of human microglia and THP-1 cell toxicity by cytokines endogenous to the nervous system. Neurobiol. Aging 2005, 26, 673–682. [Google Scholar] [CrossRef] [PubMed]
- Klegeris, A.; McGeer, P.L. Interaction of various intracellular signaling mechanisms involved in mononuclear phagocyte toxicity toward neuronal cells. J. Leukoc. Boil. 2000, 67, 127–133. [Google Scholar] [CrossRef] [PubMed]
- Alford, M.A.; Tian, Z.; Menard, F.; Klegeris, A. Characterization of novel kainic acid analogs as inhibitors of select microglial functions. Eur. J. Pharmacol. 2019, 851, 25–35. [Google Scholar] [CrossRef] [PubMed]
- Tavares, A.A.; Lewsey, J.; Dewar, D.; Pimlott, S.L. Radiotracer properties determined by high performance liquid chromatography: a potential tool for brain radiotracer discovery. Nucl. Med. Boil. 2012, 39, 127–135. [Google Scholar] [CrossRef] [PubMed]
- Hitchcock, S.A.; Pennington, L.D. Structure−Brain Exposure Relationships. J. Med. Chem. 2006, 49, 7559–7583. [Google Scholar] [CrossRef] [PubMed]
- Yang, Y.S.; Yang, B.; Zou, Y.; Li, G.G.; Zhu, H.L. Design, biological evaluation and 3D QSAR studies of novel dioxin-containing triaryl pyrazoline derivatives as potential B-Raf inhibitors. Bioorganic Med. Chem. 2016, 24, 3052–3061. [Google Scholar] [CrossRef] [PubMed]
- Eftekhari-Sis, B.; Zirak, M. Chemistry of α-oxoesters: a powerful tool for the synthesis of heterocycles. Chem. Rev. 2015, 115, 151–264. [Google Scholar] [CrossRef]
- Beesu, M.; Caruso, G.; Salyer, A.C.; Khetani, K.K.; Sil, D.; Weerasinghe, M.; Tanji, H.; Ohto, U.; Shimizu, T.; David, S.A. Structure-Based Design of Human TLR8-Specific Agonists with Augmented Potency and Adjuvanticity. J. Med. Chem. 2015, 58, 7833–7849. [Google Scholar] [CrossRef]
- Beesu, M.; Caruso, G.; Salyer, A.C.; Shukla, N.M.; Khetani, K.K.; Smith, L.J.; Fox, L.M.; Tanji, H.; Ohto, U.; Shimizu, T.; et al. Identification of a human toll-like receptor (TLR) 8-secific agonist and a functional pan-TLR inhibitor in 2-aminoimidazoles. J. Med. Chem. 2016, 59, 3311–3330. [Google Scholar] [CrossRef]





© 2019 by the authors. Licensee MDPI, Basel, Switzerland. This article is an open access article distributed under the terms and conditions of the Creative Commons Attribution (CC BY) license (http://creativecommons.org/licenses/by/4.0/).
Share and Cite
McKenzie, J.A.; Barghash, R.F.; Alsaggaf, A.T.; Kulkarni, O.; Boudreau, K.; Menard, F.; Neeland, E.G.; Klegeris, A. Synthesis and Evaluation of Novel Pyrazole Ethandiamide Compounds as Inhibitors of Human THP-1 Monocytic Cell Neurotoxicity. Cells 2019, 8, 655. https://doi.org/10.3390/cells8070655
McKenzie JA, Barghash RF, Alsaggaf AT, Kulkarni O, Boudreau K, Menard F, Neeland EG, Klegeris A. Synthesis and Evaluation of Novel Pyrazole Ethandiamide Compounds as Inhibitors of Human THP-1 Monocytic Cell Neurotoxicity. Cells. 2019; 8(7):655. https://doi.org/10.3390/cells8070655
Chicago/Turabian StyleMcKenzie, Jordan A., Reham F. Barghash, Azhaar T. Alsaggaf, Omkar Kulkarni, Kalun Boudreau, Frederic Menard, Edward G. Neeland, and Andis Klegeris. 2019. "Synthesis and Evaluation of Novel Pyrazole Ethandiamide Compounds as Inhibitors of Human THP-1 Monocytic Cell Neurotoxicity" Cells 8, no. 7: 655. https://doi.org/10.3390/cells8070655
APA StyleMcKenzie, J. A., Barghash, R. F., Alsaggaf, A. T., Kulkarni, O., Boudreau, K., Menard, F., Neeland, E. G., & Klegeris, A. (2019). Synthesis and Evaluation of Novel Pyrazole Ethandiamide Compounds as Inhibitors of Human THP-1 Monocytic Cell Neurotoxicity. Cells, 8(7), 655. https://doi.org/10.3390/cells8070655

