Autoantibody against Tumor-Associated Antigens as Diagnostic Biomarkers in Hispanic Patients with Hepatocellular Carcinoma
Abstract
1. Introduction
2. Materials and Methods
2.1. Serum Samples
2.2. Cell Culture
2.3. Two-dimensional Gel Electrophoresis
2.4. Western Blotting Analysis
2.5. Mass Spectrometry Analysis
2.6. Enzyme-linked Immunosorbent Assay (ELISA)
2.7. Bioinformatic Analysis
2.8. Statistical Analysis
3. Results
3.1. Nine Potential TAA Targets were Identified by Serological Proteome Analysis (SERPA)
3.2. Ten Potential TAA Targets Were Identified from HCC Driver Genes
3.3. Frequencies and Titers of Autoantibodies against 19 Potential TAA Targets by ELISA
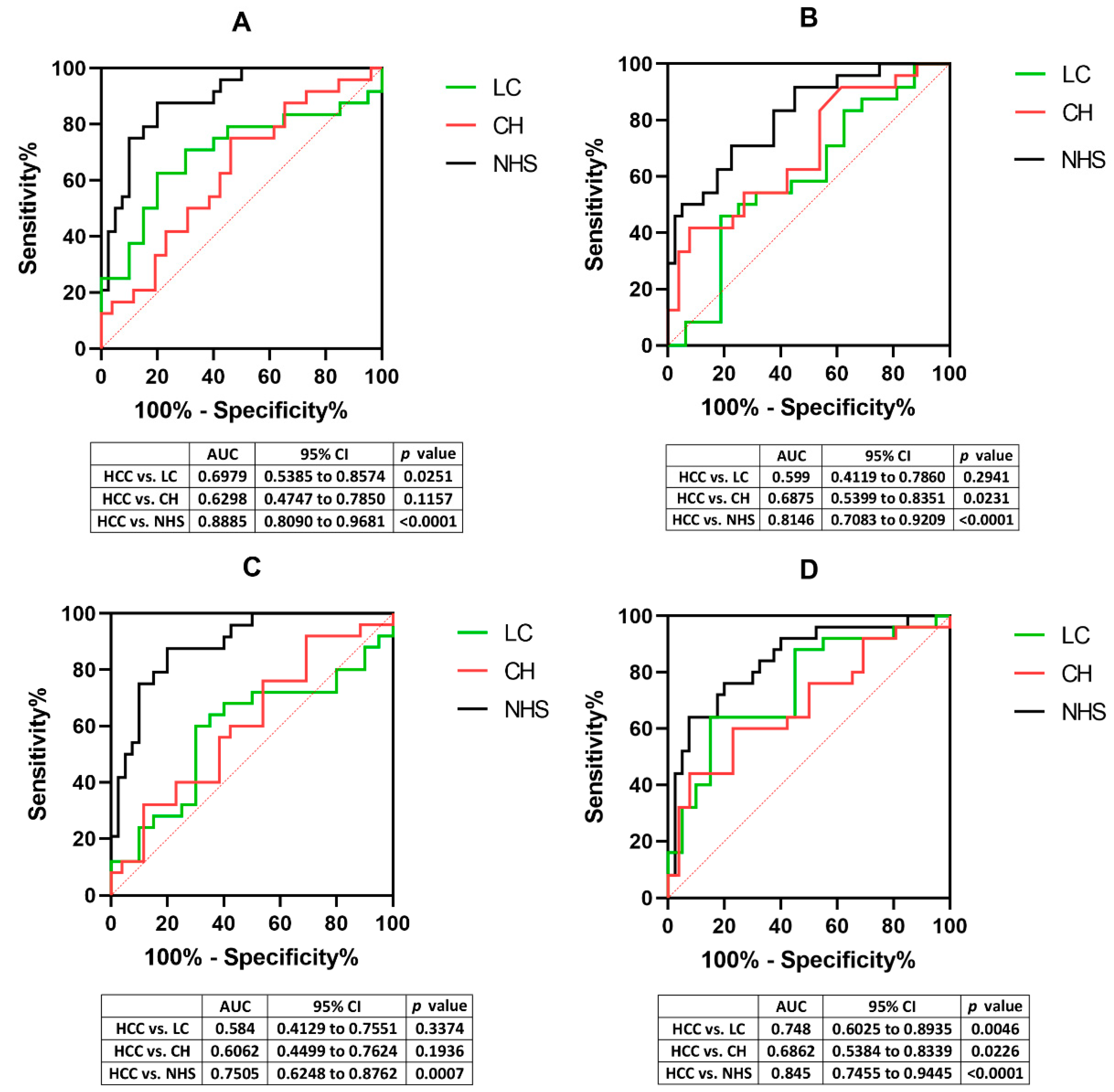
3.4. Diagnostic Value of Anti-TAA Autoantibodies and Autoantibody Panel as Biomarkers for Hispanic HCC
3.5. Validation of Four Anti-TAA Autoantibodies in a Separate Asian Sera Cohort
4. Discussion
Supplementary Materials
Author Contributions
Funding
Institutional Review Board Statement
Informed Consent Statement
Data Availability Statement
Acknowledgments
Conflicts of Interest
References
- Bray, F.; Ferlay, J.; Soerjomataram, I.; Siegel, R.L.; Torre, L.A.; Jemal, A. Global cancer statistics 2018: GLOBOCAN estimates of incidence and mortality worldwide for 36 cancers in 185 countries. CA A Cancer J. Clin. 2018, 68, 394–424. [Google Scholar] [CrossRef] [PubMed]
- World Health Organization. International Agency for Research on Cancer. 2019. Available online: https://gco.iarc.fr/today/online-analysis-map?v=2020&mode=population&mode_population=continents&population=900&populations=900&key=asr&sex=0&cancer=11&type=0&statistic=5&prevalence=0&population_group=0&ages_group%5B%5D=0&ages_group%5B%5D=17&nb_items=10&group_cancer=1&include_nmsc=0&include_nmsc_other=0&projection=natural-earth&color_palette=default&map_scale=quantile&map_nb_colors=5&continent=0&show_ranking=0&rotate=%255B10%252C0%255D (accessed on 13 October 2022).
- Llovet, J.M.; Kelley, R.K.; Villanueva, A.; Singal, A.G.; Pikarsky, E.; Roayaie, S.; Lencioni, R.; Koike, K.; Zucman-Rossi, J.; Finn, R.S. Hepatocellular carcinoma. Nat. Rev. Dis. Primers 2021, 7, 1–28. [Google Scholar] [CrossRef] [PubMed]
- Zhang, J.; Chen, G.; Zhang, P.; Zhang, J.; Li, X.; Gan, D.N.; Cao, X.; Han, M.; Du, H.; Ye, Y.A. The threshold of alpha-fetoprotein (AFP) for the diagnosis of hepatocellular carcinoma: A systematic review and meta-analysis. PLoS ONE 2020, 15, e0228857. [Google Scholar] [CrossRef] [PubMed]
- Sauzay, C.; Petit, A.; Bourgeois, A.-M.; Barbare, J.-C.; Chauffert, B.; Galmiche, A.; Houessinon, A. Alpha-foetoprotein (AFP): A multi-purpose marker in hepatocellular carcinoma. Clin. Chim. Acta 2016, 463, 39–44. [Google Scholar] [CrossRef]
- Bruix, J.; Sherman, M. Management of hepatocellular carcinoma. Hepatology 2005, 42, 1208–1236. [Google Scholar] [CrossRef] [PubMed]
- Caron, M.; Choquet-Kastylevsky, G.; Joubert-Caron, R. Cancer immunomics using autoantibody signatures for biomarker discovery. Mol. Cell. Proteom. 2007, 6, 1115–1122. [Google Scholar] [CrossRef] [PubMed]
- Tan, E.M. Autoantibodies as reporters identifying aberrant cellular mechanisms in tumorigenesis. J. Clin. Investig. 2001, 108, 1411–1415. [Google Scholar] [CrossRef]
- Tan, E.M.; Zhang, J. Autoantibodies to tumor-associated antigens: Reporters from the immune system. Immunol. Rev. 2008, 222, 328–340. [Google Scholar] [CrossRef] [PubMed]
- Kim, H.-S.; El-Serag, H.B. The epidemiology of hepatocellular carcinoma in the USA. Curr. Gastroenterol. Rep. 2019, 21, 1–8. [Google Scholar] [CrossRef] [PubMed]
- Ha, J.; Chaudhri, A.; Avirineni, A.; Pan, J.-J. Burden of hepatocellular carcinoma among hispanics in South Texas: A systematic review. Biomark. Res. 2017, 5, 1–6. [Google Scholar] [CrossRef] [PubMed]
- Smits, M.M.; Ioannou, G.N.; Boyko, E.J.; Utzschneider, K.M. Non-alcoholic fatty liver disease as an independent manifestation of the metabolic syndrome: Results of a US national survey in three ethnic groups. J. Gastroenterol. Hepatol. 2013, 28, 664–670. [Google Scholar] [CrossRef] [PubMed]
- Lazo, M.; Hernaez, R.; Eberhardt, M.S.; Bonekamp, S.; Kamel, I.; Guallar, E.; Koteish, A.; Brancati, F.L.; Clark, J.M. Prevalence of nonalcoholic fatty liver disease in the United States: The Third National Health and Nutrition Examination Survey, 1988–1994. Am. J. Epidemiol. 2013, 178, 38–45. [Google Scholar] [CrossRef] [PubMed]
- Looi, K.S.; Nakayasu, E.S.; Diaz, R.A.d.; Tan, E.M.; Almeida, I.C.; Zhang, J.-Y. Using proteomic approach to identify tumor-associated antigens as markers in hepatocellular carcinoma. J. Proteome Res. 2008, 7, 4004–4012. [Google Scholar] [CrossRef] [PubMed]
- Dai, L.; Li, J.; Tsay, J.-C.J.; Yie, T.-A.; Munger, J.S.; Pass, H.; Rom, W.N.; Tan, E.M.; Zhang, J.-Y. Identification of autoantibodies to ECH1 and HNRNPA2B1 as potential biomarkers in the early detection of lung cancer. Oncoimmunology 2017, 6, e1310359. [Google Scholar] [CrossRef]
- Martínez-Jiménez, F.; Muiños, F.; Sentís, I.; Deu-Pons, J.; Reyes-Salazar, I.; Arnedo-Pac, C.; Mularoni, L.; Pich, O.; Bonet, J.; Kranas, H. A compendium of mutational cancer driver genes. Nat. Rev. Cancer 2020, 20, 555–572. [Google Scholar] [CrossRef] [PubMed]
- Zhang, J.; Zhu, W.; Imai, H.; Kiyosawa, K.; Chan, E.; Tan, E. De-novo humoral immune responses to cancer-associated autoantigens during transition from chronic liver disease to hepatocellular carcinoma. Clin. Exp. Immunol. 2001, 125, 3–9. [Google Scholar] [CrossRef]
- Zhang, J.-Y.; Megliorino, R.; Peng, X.-X.; Tan, E.M.; Chen, Y.; Chan, E.K. Antibody detection using tumor-associated antigen mini-array in immunodiagnosing human hepatocellular carcinoma. J. Hepatol. 2007, 46, 107–114. [Google Scholar] [CrossRef] [PubMed]
- Kulik, L.; El-Serag, H.B. Epidemiology and management of hepatocellular carcinoma. Gastroenterology 2019, 156, 477–491.e471. [Google Scholar] [CrossRef]
- Venepalli, N.K.; Modayil, M.V.; Berg, S.A.; Nair, T.D.; Parepally, M.; Rajaram, P.; Gaba, R.C.; Bui, J.T.; Huang, Y.; Cotler, S.J. Features of hepatocellular carcinoma in Hispanics differ from African Americans and non-Hispanic Whites. World J. Hepatol. 2017, 9, 391. [Google Scholar] [CrossRef] [PubMed]
- Wong, A.; Le, A.; Lee, M.-H.; Lin, Y.-J.; Nguyen, P.; Trinh, S.; Dang, H.; Nguyen, M.H. Higher risk of hepatocellular carcinoma in Hispanic patients with hepatitis C cirrhosis and metabolic risk factors. Sci. Rep. 2018, 8, 1–8. [Google Scholar] [CrossRef]
- Peng, B.; Huang, X.; Nakayasu, E.S.; Petersen, J.R.; Qiu, S.; Almeida, I.C.; Zhang, J.-Y. Using immunoproteomics to identify alpha-enolase as an autoantigen in liver fibrosis. J. Proteome Res. 2013, 12, 1789–1796. [Google Scholar] [CrossRef]
- Nwosu, Z.C.; Battello, N.; Rothley, M.; Piorońska, W.; Sitek, B.; Ebert, M.P.; Hofmann, U.; Sleeman, J.; Wölfl, S.; Meyer, C. Liver cancer cell lines distinctly mimic the metabolic gene expression pattern of the corresponding human tumours. J. Exp. Clin. Cancer Res. 2018, 37, 1–15. [Google Scholar]
- Qiu, Z.; Zou, K.; Zhuang, L.; Qin, J.; Li, H.; Li, C.; Zhang, Z.; Chen, X.; Cen, J.; Meng, Z. Hepatocellular carcinoma cell lines retain the genomic and transcriptomic landscapes of primary human cancers. Sci. Rep. 2016, 6, 1–13. [Google Scholar] [CrossRef]
- Waks, Z.; Weissbrod, O.; Carmeli, B.; Norel, R.; Utro, F.; Goldschmidt, Y. Driver gene classification reveals a substantial overrepresentation of tumor suppressors among very large chromatin-regulating proteins. Sci. Rep. 2016, 6, 1–12. [Google Scholar] [CrossRef]
- Macdonald, I.K.; Parsy-Kowalska, C.B.; Chapman, C.J. Autoantibodies: Opportunities for early cancer detection. Trends Cancer 2017, 3, 198–213. [Google Scholar] [CrossRef]
- Zaenker, P.; Gray, E.S.; Ziman, M.R. Autoantibody production in cancer—the humoral immune response toward autologous antigens in cancer patients. Autoimmun. Rev. 2016, 15, 477–483. [Google Scholar] [CrossRef]
- Rhodes, D.R.; Yu, J.; Shanker, K.; Deshpande, N.; Varambally, R.; Ghosh, D.; Barrette, T.; Pander, A.; Chinnaiyan, A.M. ONCOMINE: A cancer microarray database and integrated data-mining platform. Neoplasia 2004, 6, 1–6. [Google Scholar] [CrossRef]
- Chandrashekar, D.S.; Bashel, B.; Balasubramanya, S.A.H.; Creighton, C.J.; Ponce-Rodriguez, I.; Chakravarthi, B.V.; Varambally, S. UALCAN: A portal for facilitating tumor subgroup gene expression and survival analyses. Neoplasia 2017, 19, 649–658. [Google Scholar] [CrossRef]
- Wong, K.K.; Lawrie, C.H.; Green, T.M. Oncogenic roles and inhibitors of DNMT1, DNMT3A, and DNMT3B in acute myeloid leukaemia. Biomark. Insights 2019, 14, 1177271919846454. [Google Scholar] [CrossRef]
- Hassona, M.M.; Naguib, M.; Radwan, E.M.; Abdel-Samiee, M.; Estaphan, S.; Abdelsameea, E. DNA methyltransferases as potential biomarkers for HCV related hepatocellular carcinoma. Asian Pac. J. Cancer Prev. APJCP 2020, 21, 3357. [Google Scholar] [CrossRef]
- Wang, J.; Wang, Z.; Yuan, J.; Wang, Q.; Shen, X. Upregulation of miR-137 Expression Suppresses Tumor Growth and Progression via Interacting with DNMT3a Through Inhibiting the PTEN/Akt Signaling in HCC. OncoTargets Ther. 2021, 14, 165. [Google Scholar] [CrossRef] [PubMed]
- Zhang, L.; Niu, H.; Ma, J.; Yuan, B.-Y.; Chen, Y.-H.; Zhuang, Y.; Chen, G.-W.; Zeng, Z.-C.; Xiang, Z.-L. The molecular mechanism of LncRNA34a-mediated regulation of bone metastasis in hepatocellular carcinoma. Mol. Cancer 2019, 18, 1–15. [Google Scholar] [CrossRef]
- Liu, D.; Wong, C.C.; Fu, L.; Chen, H.; Zhao, L.; Li, C.; Zhou, Y.; Zhang, Y.; Xu, W.; Yang, Y. Squalene epoxidase drives NAFLD-induced hepatocellular carcinoma and is a pharmaceutical target. Sci. Transl. Med. 2018, 10, eaap9840. [Google Scholar] [CrossRef]
- Csepregi, A.; Ebert, M.; Röcken, C.; Schneider-Stock, R.; Hoffmann, J.; Schulz, H.-U.; Roessner, A.; Malfertheiner, P. Promoter methylation of CDKN2A and lack of p16 expression characterize patients with hepatocellular carcinoma. BMC Cancer 2010, 10, 1–12. [Google Scholar] [CrossRef]
- Zhou, Y.; Wang, X.-b.; Qiu, X.-p.; Zhang, S.; Wang, C.; Zheng, F. CDKN2A promoter methylation and hepatocellular carcinoma risk: A meta-analysis. Clin. Res. Hepatol. Gastroenterol. 2018, 42, 529–541. [Google Scholar] [CrossRef] [PubMed]
- Zucman-Rossi, J.; Villanueva, A.; Nault, J.C.; Llovet, J.M. Genetic Landscape and Biomarkers of Hepatocellular Carcinoma. Gastroenterology 2015, 149, 1226–1239. [Google Scholar] [CrossRef]
- Koziol, J.A.; Imai, H.; Dai, L.; Zhang, J.-Y.; Tan, E.M. Early detection of hepatocellular carcinoma using autoantibody profiles from a panel of tumor-associated antigens. Cancer Immunol. Immunother. 2018, 67, 835–841. [Google Scholar] [CrossRef]
- Wang, J.; Xu, Y.; Wang, Y.; Zhang, X.; Zhang, G. Further study of circulating antibodies to P16, CD25 and FOXP3 in hepatocellular carcinoma. OncoTargets Ther. 2019, 12, 10487. [Google Scholar] [CrossRef] [PubMed]
- Hoter, A.; Rizk, S.; Naim, H.Y. Heat shock protein 60 in hepatocellular carcinoma: Insights and perspectives. Front. Mol. Biosci. 2020, 7, 60. [Google Scholar] [CrossRef] [PubMed]
- Shao, Q.; Ren, P.; Li, Y.; Peng, B.; Dai, L.; Lei, N.; Yao, W.; Zhao, G.; Li, L.; Zhang, J. Autoantibodies against glucose-regulated protein 78 as serological diagnostic biomarkers in hepatocellular carcinoma. Int. J. Oncol. 2012, 41, 1061–1067. [Google Scholar] [CrossRef]
- Liu, H.; Zhang, J.; Wang, S.; Pang, Z.; Wang, Z.; Zhou, W.; Wu, M. Screening of autoantibodies as potential biomarkers for hepatocellular carcinoma by using T7 phase display system. Cancer Epidemiol. 2012, 36, 82–88. [Google Scholar] [CrossRef] [PubMed]
- Hong, Y.; Long, J.; Li, H.; Chen, S.; Liu, Q.; Zhang, B.; He, X.; Wang, Y.; Li, H.; Li, Y. An analysis of immunoreactive signatures in early stage hepatocellular carcinoma. eBioMedicine 2015, 2, 438–446. [Google Scholar] [CrossRef]
- Nakagawa, H.; Umemura, A.; Taniguchi, K.; Font-Burgada, J.; Dhar, D.; Ogata, H.; Zhong, Z.; Valasek, M.A.; Seki, E.; Hidalgo, J. ER stress cooperates with hypernutrition to trigger TNF-dependent spontaneous HCC development. Cancer Cell 2014, 26, 331–343. [Google Scholar] [CrossRef] [PubMed]



| Identified Protein Name/ Protein Symbol | Molecular Weight (kDa) | Isoelectric Point | Origination | Function |
|---|---|---|---|---|
| Endoplasmic reticulum chaperone BiP/HSPA5 | 78 | 5.07 | HepG2/SNU449 | Protein folding and misfolded proteins degradation |
| 60 kDa heat shock protein/HSP60 | 60 | 5.70 | HepG2/SNU449 | Mitochondrial protein import and macromolecular assembly |
| Triosephosphate isomerase/TPI | 26 | 6.45 | HepG2/SNU449 | Catalyzes metabolites interconversion in glycolysis and gluconeogenesis |
| Protein disulfide-isomerase/P4HB | 57 | 4.76 | HepG2/SNU449 | Disulfide bonds catalyzation |
| Actin, cytoplasmic 2/ACTG1 | 41 | 5.31 | HepG2 | Highly conserved protein in various cells |
| Heat shock 70 kDa protein/HSP70 | 70 | 5.11 | SNU449 | Molecular chaperone that surveillance protein quality control |
| Alpha-enolase/ENO1 | 47 | 7.01 | HepG2 | Glycolytic enzyme and growth controller |
| Tropomyosin alpha-3 chain/TPM3 | 32 | 4.68 | HepG2 | Regulates calcium-dependent muscle contraction |
| Calreticulin/CALR | 48 | 4.29 | HepG2 | Calcium-binding chaperone that promotes protein folding |
| Gene Name/ Protein Symbol | Mutation Counts | Mutated Samples | Mutation Types | Cohorts Number With Fold Change > 1.5 | Function |
|---|---|---|---|---|---|
| CDKN2A/ p16 | 34 | 29 | Missense (70%), truncating (26%), synonymous (14%) | 2 | Induce cell cycle arrest in G1 and G2 phases |
| SETDB1/ SETDB1 | 32 | 12 | Missense (71%), synonymous (19%), truncating (10%) | 3 | Histone methyltransferase |
| DHX9/ RNA helicase A | 33 | 11 | Missense (84%), synonymous (13%), truncating (13%) | 2 | Nucleic acid helicase that unwinds DNA and RNA |
| SMARCA4/ BRG1 | 30 | 9 | Missense (62%), synonymous (21%), truncating (17%) | 3 | Transcriptional activator |
| GNAS/GNAS | 26 | 8 | Missense (65%), synonymous (23%), truncating (8%), splice-site (4%) | 2 | Key component of adenylyl cyclase signal transduction pathways |
| NF2/ Merlin | 14 | 6 | Missense (50%), truncating (42%), synonymous (8%) | 3 | Regulator of Sav/Wts/Hpo signaling pathway |
| DNMT3A/ DNMT3A | 25 | 4 | Missense (52%), synonymous (22%), truncating (22%), splice-site (4%) | 2 | DNA methylation |
| NRAS/ NRAS | 12 | 4 | Missense (91%), synonymous (9%) | 2 | Bind GDP/GTP and possess intrinsic GTPase activity |
| GMPS/ GMPS | 9 | 4 | Missense (100%) | 4 | Catalyzes the conversion of XMP to GMP |
| MAPK1/ ERK2 | 10 | 3 | Missense (90%), synonymous (10%) | 2 | Serine/threonine kinase in MAP signal transduction pathway |
| Antigens | HCC (n = 24) | LC (n = 20) | CH (n = 26) | NHS (n = 40) |
|---|---|---|---|---|
| HSPA5 | 8 (33.3%) * | 12 (60.0%) ** | 4 (15.4%) | 3 (7.5%) |
| HSP60 | 9 (37.5%) ** | 15 (75.0%) ** | 2 (7.7%) | 1 (2.5%) |
| TPI | 2 (8.3%) | 1 (5.0%) | 0 (0.0%) | 0 (0.0%) |
| P4HB | 6 (25.0%) | 10 (50.0%) ** | 2 (7.7%) | 3 (7.5%) |
| ACTG1 | 4 (16.7%) | 6 (30.0%) * | 1 (3.8%) | 2 (5.0%) |
| HSP70 | 1 (4.2%) | 14 (70.0%) ** | 0 (0.0%) | 2 (5.0%) |
| ENO1 | 4 (16.7%) | 10 (50.0%) ** | 0 (0.0%) | 2 (5.0%) |
| TPM3 | 5 (20.8%) | 2 (10.0%) | 1 (3.8%) | 2 (5.0%) |
| CALR | 3 (12.5%) | 0 (0.0%) | 0 (0.0%) | 2 (5.0%) |
| P16 | 10 (41.7%) ** | 9 (45.0%) ** | 6 (23.1%) * | 1 (2.5%) |
| SETDB1 | 3 (12.5%) | 4 (20.0%) | 1 (3.8%) | 1 (2.5%) |
| RNA helicase A | 4 (16.7%) | 1 (5.0%) | 2 (7.7%) | 3 (7.5%) |
| BRG1 | 0 (0.00%) | 2 (10.0%) | 1 (3.8%) | 1 (2.5%) |
| GNAS | 4 (16.7%) | 1 (5.0%) | 2 (7.7%) | 2 (5.0%) |
| NF2 | 2 (8.3%) | 5 (25.0%) | 0 (0.0%) | 2 (5.0%) |
| DNMT3A | 11 (45.8%) ** | 17 (85.0%) ** | 5 (19.2%) | 2 (5.0%) |
| Merlin | 5 (20.8%) | 7 (35.0%) ** | 4 (15.4%) | 2 (5.0%) |
| GMPS | 1 (4.2%) | 2 (10.0%) | 1(3.8%) | 1 (2.5%) |
| ERK2 | 3 (12.5%) | 15 (75.0%) ** | 4 (15.4%) | 2 (5.0%) |
| Antigens | HCC | NHS | Se | Sp | FP | FN | PPV | NPV | LR+ | LR- | |
|---|---|---|---|---|---|---|---|---|---|---|---|
| 1 TAA | DNMT3A | 45.8% | 5% | 45.8% | 95% | 5% | 54.2% | 90.2% | 63.7% | 9.16 | 0.57 |
| 2 TAA | DNMT3A or P16 | 58.3% | 7.5% | 58.3% | 92.5% | 7.5% | 41.7% | 88.6% | 68.9% | 7.77 | 0.45 |
| 3 TAA | DNMT3A or P16 or HSP60 | 70.8% | 10% | 70.8% | 90% | 10% | 29.2% | 87.6% | 75.5% | 7.08 | 0.32 |
| 4 TAA | DNMT3A or P16 or HSP60 or HSPA5 | 75% | 15% | 75% | 85% | 15% | 25% | 83.3% | 77.3% | 5.00 | 0.29 |
| Antigens | Asian HCC (n = 53) | Asian LC (n = 20) | Asian CH (n = 44) | NHS (n = 40) |
|---|---|---|---|---|
| DNMT3A | 5 (9.4%) | 5 (25%) | 3 (6.8%) | 2 (5%) |
| P16 | 9 (17.0%) | 7 (35.0%) * | 4 (9.1%) | 3 (7.5%) |
| HSPA5 | 15 (28.3%) ** | 8 (40%) *** | 4 (9.1%) | 1 (2.5%) |
| HSP60 | 6 (11.3%) | 3 (15%) | 3 (6.8%) | 2 (5%) |
Publisher’s Note: MDPI stays neutral with regard to jurisdictional claims in published maps and institutional affiliations. |
© 2022 by the authors. Licensee MDPI, Basel, Switzerland. This article is an open access article distributed under the terms and conditions of the Creative Commons Attribution (CC BY) license (https://creativecommons.org/licenses/by/4.0/).
Share and Cite
Ma, Y.; Qiu, C.; Wang, B.; Zhang, X.; Wang, X.; Aguilera, R.J.; Zhang, J.-Y. Autoantibody against Tumor-Associated Antigens as Diagnostic Biomarkers in Hispanic Patients with Hepatocellular Carcinoma. Cells 2022, 11, 3227. https://doi.org/10.3390/cells11203227
Ma Y, Qiu C, Wang B, Zhang X, Wang X, Aguilera RJ, Zhang J-Y. Autoantibody against Tumor-Associated Antigens as Diagnostic Biomarkers in Hispanic Patients with Hepatocellular Carcinoma. Cells. 2022; 11(20):3227. https://doi.org/10.3390/cells11203227
Chicago/Turabian StyleMa, Yangcheng, Cuipeng Qiu, Bofei Wang, Xiaojun Zhang, Xiao Wang, Renato J. Aguilera, and Jian-Ying Zhang. 2022. "Autoantibody against Tumor-Associated Antigens as Diagnostic Biomarkers in Hispanic Patients with Hepatocellular Carcinoma" Cells 11, no. 20: 3227. https://doi.org/10.3390/cells11203227
APA StyleMa, Y., Qiu, C., Wang, B., Zhang, X., Wang, X., Aguilera, R. J., & Zhang, J.-Y. (2022). Autoantibody against Tumor-Associated Antigens as Diagnostic Biomarkers in Hispanic Patients with Hepatocellular Carcinoma. Cells, 11(20), 3227. https://doi.org/10.3390/cells11203227

