T Lymphocyte Maturation Profile in the EBUS-TBNA Lymph Node Depending on the DLCO Parameter in Patients with Pulmonary Sarcoidosis
Abstract
1. Introduction
2. Materials and Methods
2.1. Patients
2.2. Materials
2.3. Flow Cytometry Analysis
2.4. Statistical Analysis
3. Results
3.1. Patients Characteristics
3.2. Leukocyte Main Subsets in the Lymph Node
3.3. T Cells Maturation Depending on the DLCO Parameter
4. Discussion
5. Conclusions
Supplementary Materials
Author Contributions
Funding
Institutional Review Board Statement
Informed Consent Statement
Data Availability Statement
Conflicts of Interest
References
- Jain, R.; Yadav, D.; Puranik, N.; Guleria, R.; Jin, J.O. Sarcoidosis: Causes, Diagnosis, Clinical Features, and Treatments. J. Clin. Med. 2020, 9, 1081. [Google Scholar] [CrossRef] [PubMed]
- Correia, F.; Marchini, G.S.; Torricelli, F.C.; Danilovic, A.; Vicentini, F.C.; Srougi, M.; Nahas, W.C.; Mazzucchi, E. Renal manifestations of sarcoidosis: From accurate diagnosis to specific treatment. Int. Braz. J. Urol. Off. J. Braz. Soc. Urol. 2020, 46, 15–25. [Google Scholar] [CrossRef] [PubMed]
- Grunewald, J.; Grutters, J.C.; Arkema, E.V.; Saketkoo, L.A.; Moller, D.R.; Muller-Quernheim, J. Sarcoidosis. Nat. Rev. Dis. Primers 2019, 5, 45. [Google Scholar] [CrossRef] [PubMed]
- Zhou, Y.; Li, H.P.; Li, Q.H.; Zheng, H.; Zhang, R.X.; Chen, G.; Baughman, R.P. Differentiation of sarcoidosis from tuberculosis using real-time PCR assay for the detection and quantification of Mycobacterium tuberculosis. Sarcoidosis Vasc. Diffus. Lung Dis. Off. J. WASOG World Assoc. Sarcoidosis Other Granulomatous Disord. 2008, 25, 93–99. [Google Scholar]
- Crouser, E.D.; Maier, L.A.; Wilson, K.C.; Bonham, C.A.; Morgenthau, A.S.; Patterson, K.C.; Abston, E.; Bernstein, R.C.; Blankstein, R.; Chen, E.S.; et al. Diagnosis and Detection of Sarcoidosis. An Official American Thoracic Society Clinical Practice Guideline. Am. J. Respir. Crit. Care Med. 2020, 201, e26–e51. [Google Scholar] [CrossRef] [PubMed]
- Grunewald, J.; Eklund, A. Role of CD4+ T cells in sarcoidosis. Proc. Am. Thorac. Soc. 2007, 4, 461–464. [Google Scholar] [CrossRef] [PubMed]
- Broos, C.E.; van Nimwegen, M.; Hoogsteden, H.C.; Hendriks, R.W.; Kool, M.; van den Blink, B. Granuloma formation in pulmonary sarcoidosis. Front. Immunol. 2013, 4, 437. [Google Scholar] [CrossRef]
- Drent, M.; Mansour, K.; Linssen, C. Bronchoalveolar lavage in sarcoidosis. Semin. Respir. Crit. Care Med. 2007, 28, 486–495. [Google Scholar] [CrossRef] [PubMed]
- Baughman, R.P.; Lower, E.E.; du Bois, R.M. Sarcoidosis. Lancet 2003, 361, 1111–1118. [Google Scholar] [CrossRef]
- Kantrow, S.P.; Meyer, K.C.; Kidd, P.; Raghu, G. The CD4/CD8 ratio in BAL fluid is highly variable in sarcoidosis. Eur. Respir. J. 1997, 10, 2716–2721. [Google Scholar] [CrossRef]
- Danila, E.; Norkuniene, J.; Jurgauskiene, L.; Malickaite, R. Diagnostic role of BAL fluid CD4/CD8 ratio in different radiographic and clinical forms of pulmonary sarcoidosis. Clin. Respir. J. 2009, 3, 214–221. [Google Scholar] [CrossRef]
- James, W.E. Leaving History Behind: CD4/CD8 Ratio as a Diagnostic Tool in Sarcoidosis. EBioMedicine 2016, 8, 20. [Google Scholar] [CrossRef] [PubMed]
- Mukhopadhyay, S.; Gal, A.A. Granulomatous lung disease: An approach to the differential diagnosis. Arch. Pathol. Lab. Med. 2010, 134, 667–690. [Google Scholar] [CrossRef]
- Annema, J.T.; Veselic, M.; Rabe, K.F. Endoscopic ultrasound-guided fine-needle aspiration for the diagnosis of sarcoidosis. Eur. Respir. J. 2005, 25, 405–409. [Google Scholar] [CrossRef]
- Navasakulpong, A.; Auger, M.; Gonzalez, A.V. Yield of EBUS-TBNA for the diagnosis of sarcoidosis: Impact of operator and cytopathologist experience. BMJ Open Respir. Res. 2016, 3, e000144. [Google Scholar] [CrossRef]
- Akao, K.; Minezawa, T.; Yamamoto, N.; Okamura, T.; Inoue, T.; Yamatsuta, K.; Uozu, S.; Goto, Y.; Hayashi, M.; Isogai, S.; et al. Flow cytometric analysis of lymphocyte profiles in mediastinal lymphadenopathy of sarcoidosis. PLoS ONE 2018, 13, e0206972. [Google Scholar] [CrossRef] [PubMed]
- Trisolini, R.; Baughman, R.P.; Spagnolo, P.; Culver, D.A. Endobronchial ultrasound-guided transbronchial needle aspiration in sarcoidosis: Beyond the diagnostic yield. Respirology 2019, 24, 531–542. [Google Scholar] [CrossRef]
- Oki, M.; Saka, H.; Kitagawa, C.; Tanaka, S.; Shimokata, T.; Kawata, Y.; Mori, K.; Kajikawa, S.; Ichihara, S.; Moritani, S. Real-time endobronchial ultrasound-guided transbronchial needle aspiration is useful for diagnosing sarcoidosis. Respirology 2007, 12, 863–868. [Google Scholar] [CrossRef] [PubMed]
- Wong, M.; Yasufuku, K.; Nakajima, T.; Herth, F.J.; Sekine, Y.; Shibuya, K.; Iizasa, T.; Hiroshima, K.; Lam, W.K.; Fujisawa, T. Endobronchial ultrasound: New insight for the diagnosis of sarcoidosis. Eur. Respir. J. 2007, 29, 1182–1186. [Google Scholar] [CrossRef]
- Garwood, S.; Judson, M.A.; Silvestri, G.; Hoda, R.; Fraig, M.; Doelken, P. Endobronchial ultrasound for the diagnosis of pulmonary sarcoidosis. Chest 2007, 132, 1298–1304. [Google Scholar] [CrossRef]
- Fink, P.J. The biology of recent thymic emigrants. Annu. Rev. Immunol. 2013, 31, 31–50. [Google Scholar] [CrossRef] [PubMed]
- Van den Broek, T.; Borghans, J.A.M.; van Wijk, F. The full spectrum of human naive T cells. Nat. Rev. Immunol. 2018, 18, 363–373. [Google Scholar] [CrossRef] [PubMed]
- Boldt, A.; Borte, S.; Fricke, S.; Kentouche, K.; Emmrich, F.; Borte, M.; Kahlenberg, F.; Sack, U. Eight-color immunophenotyping of T-, B-, and NK-cell subpopulations for characterization of chronic immunodeficiencies. Cytom. Part B Clin. Cytom. 2014, 86, 191–206. [Google Scholar] [CrossRef] [PubMed]
- Ranu, H.; Wilde, M.; Madden, B. Pulmonary function tests. Ulst. Med. J. 2011, 80, 84–90. [Google Scholar]
- Nakazawa, S.; Shimizu, K.; Mogi, A.; Kuwano, H. Low diffusing capacity, emphysema, or pulmonary fibrosis: Who is truly pulling the lung cancer strings? J. Thorac. Dis. 2018, 10, 600–602. [Google Scholar] [CrossRef]
- Hoeper, M.M.; Meyer, K.; Rademacher, J.; Fuge, J.; Welte, T.; Olsson, K.M. Diffusion Capacity and Mortality in Patients With Pulmonary Hypertension Due to Heart Failure With Preserved Ejection Fraction. JACC Heart Fail. 2016, 4, 441–449. [Google Scholar] [CrossRef] [PubMed]
- Jose, A.; Delio, J.; Gwizdala, J.; Goulart, H.; Ahari, J.E. Predictive value of pulmonary function testing in the evaluation of pulmonary hypertension in sarcoidosis. Sarcoidosis Vasc. Diffus. Lung Dis. Off. J. WASOG World Assoc. Sarcoidosis Other Granulomatous Disord. 2018, 35, 308–316. [Google Scholar] [CrossRef]
- Polychronopoulos, V.S.; Prakash, U.B.S. Airway involvement in sarcoidosis. Chest 2009, 136, 1371–1380. [Google Scholar] [CrossRef]
- Tanizawa, K.; Handa, T.; Nagai, S.; Niimi, A.; Oguma, T.; Kubo, T.; Ito, Y.; Aihara, K.; Ikezoe, K.; Matsumoto, H.; et al. Comprehensive evaluation of airway involvement in pulmonary sarcoidosis. ERJ Open Res. 2017, 3, 00105-2016. [Google Scholar] [CrossRef]
- Lamberto, C.; Nunes, H.; Le Toumelin, P.; Duperron, F.; Valeyre, D.; Clerici, C. Membrane and capillary blood components of diffusion capacity of the lung for carbon monoxide in pulmonary sarcoidosis: Relation to exercise gas exchange. Chest 2004, 125, 2061–2068. [Google Scholar] [CrossRef][Green Version]
- Graham, B.L.; Brusasco, V.; Burgos, F.; Cooper, B.G.; Jensen, R.; Kendrick, A.; MacIntyre, N.R.; Thompson, B.R.; Wanger, J. 2017 ERS/ATS standards for single-breath carbon monoxide uptake in the lung. Eur. Respir. J. 2017, 49, 16E0016. [Google Scholar] [CrossRef]
- Travis, W.D.; Costabel, U.; Hansell, D.M.; King, T.E., Jr.; Lynch, D.A.; Nicholson, A.G.; Ryerson, C.J.; Ryu, J.H.; Selman, M.; Wells, A.U.; et al. An official American Thoracic Society/European Respiratory Society statement: Update of the international multidisciplinary classification of the idiopathic interstitial pneumonias. Am. J. Respir. Crit. Care Med. 2013, 188, 733–748. [Google Scholar] [CrossRef] [PubMed]
- Ziegenhagen, M.W.; Rothe, M.E.; Schlaak, M.; Muller-Quernheim, J. Bronchoalveolar and serological parameters reflecting the severity of sarcoidosis. Eur. Respir. J. 2003, 21, 407–413. [Google Scholar] [CrossRef] [PubMed]
- Greaves, S.A.; Atif, S.M.; Fontenot, A.P. Adaptive Immunity in Pulmonary Sarcoidosis and Chronic Beryllium Disease. Front. Immunol. 2020, 11, 474. [Google Scholar] [CrossRef] [PubMed]
- Iannuzzi, M.C.; Rybicki, B.A.; Teirstein, A.S. Sarcoidosis. N. Engl. J. Med. 2007, 357, 2153–2165. [Google Scholar] [CrossRef] [PubMed]
- Rutkowska, E.; Kwiecien, I.; Bednarek, J.; Jahnz-Rozyk, K.; Rzepecki, P. Role of fibrocytes and endothelial progenitor cells among low-differentiated CD34+ cells in the progression of lung sarcoidosis. BMC Pulm. Med. 2020, 20, 306. [Google Scholar] [CrossRef]
- Zhou, E.R.; Arce, S. Key Players and Biomarkers of the Adaptive Immune System in the Pathogenesis of Sarcoidosis. Int. J. Mol. Sci. 2020, 21, 7398. [Google Scholar] [CrossRef] [PubMed]
- Oda, K.; Ishimoto, H.; Yatera, K.; Yamada, S.; Nakao, H.; Ogoshi, T.; Noguchi, S.; Yamasaki, K.; Kawanami, T.; Mukae, H. Relationship between the ratios of CD4/CD8 T-lymphocytes in the bronchoalveolar lavage fluid and lymph nodes in patients with sarcoidosis. Respir. Investig. 2014, 52, 179–183. [Google Scholar] [CrossRef] [PubMed]
- Darlington, P.; Haugom-Olsen, H.; von Sivers, K.; Wahlstrom, J.; Runold, M.; Svjatoha, V.; Porwit, A.; Eklund, A.; Grunewald, J. T-cell phenotypes in bronchoalveolar lavage fluid, blood and lymph nodes in pulmonary sarcoidosis-indication for an airborne antigen as the triggering factor in sarcoidosis. J. Intern. Med. 2012, 272, 465–471. [Google Scholar] [CrossRef]
- Kraaijvanger, R.; Janssen Bonas, M.; Vorselaars, A.D.M.; Veltkamp, M. Biomarkers in the Diagnosis and Prognosis of Sarcoidosis: Current Use and Future Prospects. Front. Immunol. 2020, 11, 1443. [Google Scholar] [CrossRef]
- Iannuzzi, M.C.; Fontana, J.R. Sarcoidosis: Clinical presentation, immunopathogenesis, and therapeutics. JAMA 2011, 305, 391–399. [Google Scholar] [CrossRef]
- Baumer, I.; Zissel, G.; Schlaak, M.; Muller-Quernheim, J. Th1/Th2 cell distribution in pulmonary sarcoidosis. Am. J. Respir. Cell Mol. Biol. 1997, 16, 171–177. [Google Scholar] [CrossRef]
- Lee, N.S.; Barber, L.; Kanchwala, A.; Childs, C.J.; Kataria, Y.P.; Judson, M.A.; Mazer, M.A.; Arce, S. Low levels of NF-kappaB/p65 mark anergic CD4+ T cells and correlate with disease severity in sarcoidosis. Clin. Vaccine Immunol. CVI 2011, 18, 223–234. [Google Scholar] [CrossRef] [PubMed]
- Parasa, V.R.; Forsslund, H.; Enger, T.; Lorenz, D.; Kullberg, S.; Eklund, A.; Skold, M.; Wahlstrom, J.; Grunewald, J.; Brighenti, S. Enhanced CD8(+) cytolytic T cell responses in the peripheral circulation of patients with sarcoidosis and non-Lofgren’s disease. Respir. Med. 2018, 138S, S38–S44. [Google Scholar] [CrossRef]
- Sweiss, N.J.; Salloum, R.; Gandhi, S.; Alegre, M.L.; Sawaqed, R.; Badaracco, M.; Pursell, K.; Pitrak, D.; Baughman, R.P.; Moller, D.R.; et al. Significant CD4, CD8, and CD19 lymphopenia in peripheral blood of sarcoidosis patients correlates with severe disease manifestations. PLoS ONE 2010, 5, e9088. [Google Scholar] [CrossRef]
- Baughman, R.P.; Hurtubise, P.E. Systemic immune response of patients with active pulmonary sarcoidosis. Clin. Exp. Immunol. 1985, 61, 535–541. [Google Scholar] [PubMed]


| All Patients n = 29 | DLCO > 80% n = 18 | DLCO < 80% n = 11 | |
|---|---|---|---|
| Sex: F/M (n) | 14/15 | 7/11 | 7/4 |
| Age (mean ± SD years) | 44 ± 11 | 44 ± 11 | 46 ± 12 |
| DLCO (%) (mean ± SD) | 82.8 ± 7.8 | 87.3 ± 6.0 | 75.5 ± 3.2 |
| Clinical symptoms (n,%) | |||
| - Cough | 11, 37.9% | 6, 33.3% | 5, 45.4% |
| - Dyspnoea | 4, 13.8% | 1, 5.5% | 3, 27.3% |
| - Fever | 14, 48.3% | 4, 22.2% | 10, 90.9% |
| - Arthralgia | 17, 58.6% | 9, 50.0% | 8, 72.7% |
| - Lymphadenopathy | 29, 100.0% | 18, 100.0% | 11, 100.0% |
| - Pulmonary fibrosis | 3, 10.3% | 2, 11.1% | 1, 9.1% |
| Stage of disease (n,%) | |||
| I | 12, 41.4% | 8, 44.4% | 4, 36.4% |
| II | 17, 58.6% | 10, 55.6% | 7, 63.6% |
| [median (Q1–Q3)] | DLCO > 80% n = 18 | DLCO < 80% n = 11 | * p < 0.05 The Mann–Whitney U Test |
|---|---|---|---|
| WBC cells/µL | 525 (163–1068) | 546 (150–871) | p = 1.0000 |
| Leukocytes subpopulation [%] | |||
| Lymphocytes | 90.6 (82.3–95.7) | 90.8 (77.2–97.7) | p = 0.9120 |
| T Lymphocytes | 63.5 (57.6–69.0) | 52.4 (42.2–59.9) | * p = 0.0144 |
| CD4 cells | 49.1 (45.9–51.5) | 41.5 (31.2–45.9) | * p = 0.0243 |
| CD8 cells | 13.8 (10.7–16.3) | 8.2 (7.3–12.6) | * p = 0.0494 |
| Ratio CD4/CD8 | 3.3 (3.0–4.1) | 3.6 (2.7–5.6) | p = 0.7070 |
| B Lymphocytes | 22.3 (17.1–33.7) | 29.7 (25.0–44.9) | p = 0.9120 |
| NK cells | 2.3 (1.8–3.2) | 1.4 (1.0–2.1) | p = 0.1115 |
| Neutrophils | 4.7 (0.8–12.2) | 7.1 (1.8–19.3) | p = 0.4379 |
| Monocytoid line cells | 1.4 (0.8–2.3) | 1.5 (1.0–2.9) | p = 0.5501 |
| [median (Q1–Q3)] | DLCO > 80% n = 18 | DLCO < 80% n = 11 | * p < 0.05 The Mann–Whitney U Test |
|---|---|---|---|
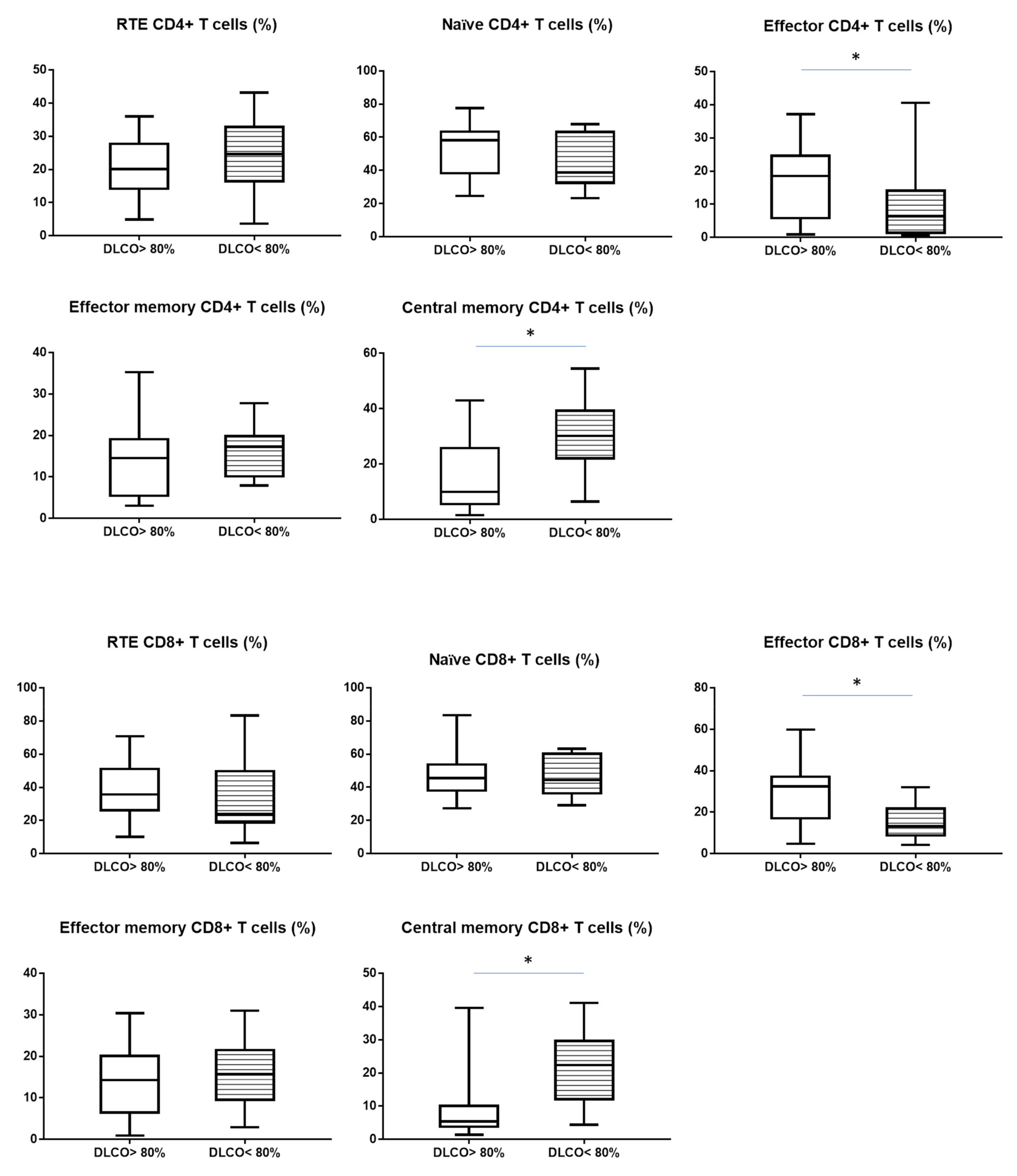
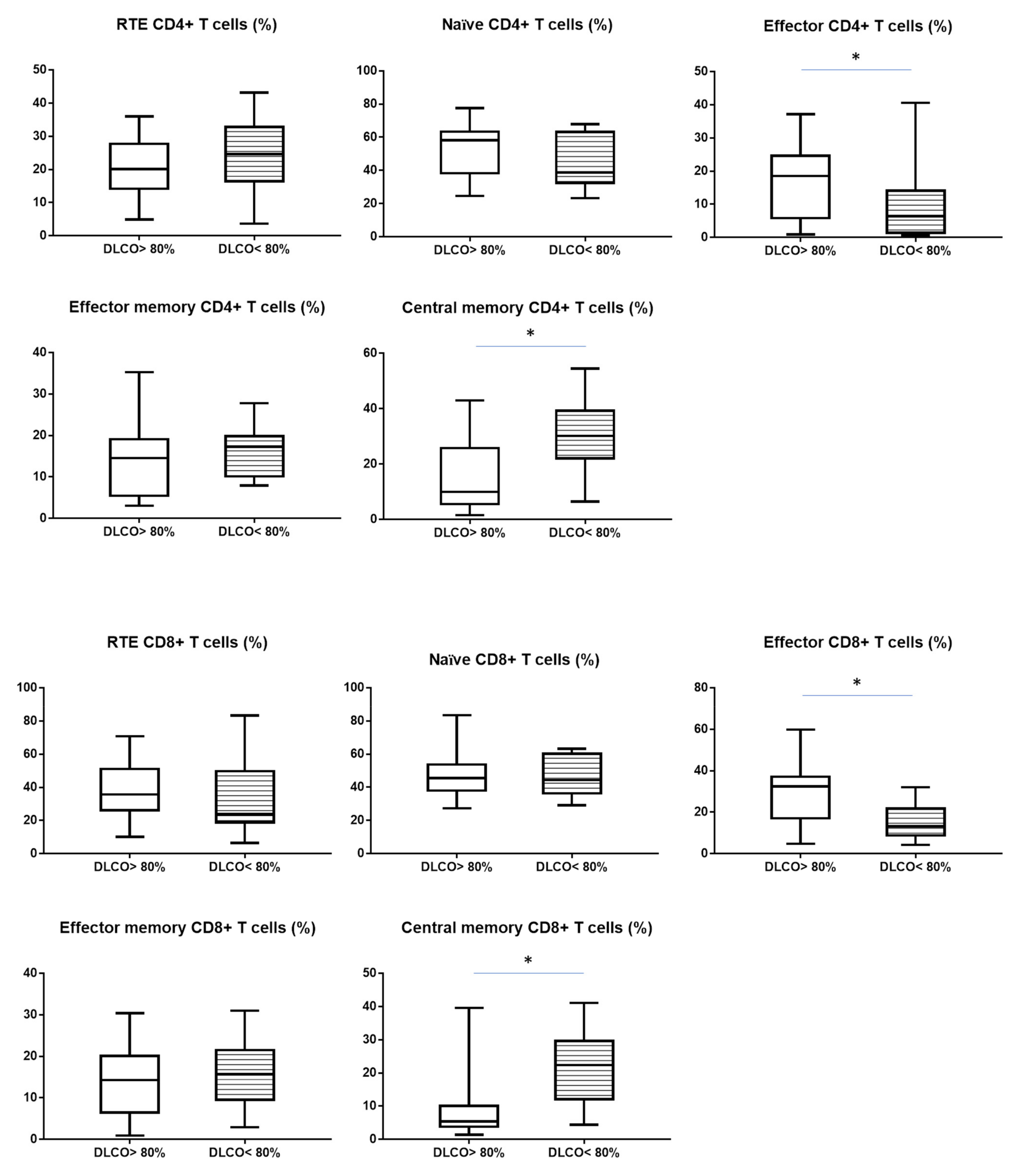
| Maturation of CD4+ cells: [% of CD4+ cells] | |||
| Recent thymic emigrants (RTE) | 20.1 (14.6–27.2) | 24.6 (16.4–32.8) | p = 0.3869 |
| Naïve | 58.1 (39.3–62.5) | 38.6 (32.5–63.1) | p = 0.2962 |
| Effector | 18.5 (6.5–24.3) | 6.3 (1.4–14.1) | * p = 0.0394 |
| Effector memory | 14.5 (5.6–17.7) | 17.3 (10.1–19.8) | p = 0.2380 |
| Central memory | 9.9 (6.0–25.6) | 30.1 (22.0–39.2) | * p = 0.0108 |
| Maturation of CD8+ cells: [% of CD8+ cells] | |||
| Recent thymic emigrants (RTE) | 35.6 (27.7–48.9) | 23.9 (18.8–49.7) | p = 0.6423 |
| Naïve | 45.4 (38.3–52.5) | 44.4 (36.3–60.2) | p = 0.9120 |
| Effector | 32.4 (18.7–35.4) | 13.2 (8.8–21.7) | * p = 0.0070 |
| Effector memory | 14.2 (6.7–19.8) | 15.7 (9.5–21.5) | p = 0.3397 |
| Central memory | 5.4 (3.9–9.4) | 22.4 (12.1–29.6) | * p = 0.0043 |
Publisher’s Note: MDPI stays neutral with regard to jurisdictional claims in published maps and institutional affiliations. |
© 2021 by the authors. Licensee MDPI, Basel, Switzerland. This article is an open access article distributed under the terms and conditions of the Creative Commons Attribution (CC BY) license (https://creativecommons.org/licenses/by/4.0/).
Share and Cite
Rutkowska, E.; Kwiecień, I.; Bednarek, J.; Sokołowski, R.; Raniszewska, A.; Jahnz- Różyk, K.; Rzepecki, P. T Lymphocyte Maturation Profile in the EBUS-TBNA Lymph Node Depending on the DLCO Parameter in Patients with Pulmonary Sarcoidosis. Cells 2021, 10, 3404. https://doi.org/10.3390/cells10123404
Rutkowska E, Kwiecień I, Bednarek J, Sokołowski R, Raniszewska A, Jahnz- Różyk K, Rzepecki P. T Lymphocyte Maturation Profile in the EBUS-TBNA Lymph Node Depending on the DLCO Parameter in Patients with Pulmonary Sarcoidosis. Cells. 2021; 10(12):3404. https://doi.org/10.3390/cells10123404
Chicago/Turabian StyleRutkowska, Elżbieta, Iwona Kwiecień, Joanna Bednarek, Rafał Sokołowski, Agata Raniszewska, Karina Jahnz- Różyk, and Piotr Rzepecki. 2021. "T Lymphocyte Maturation Profile in the EBUS-TBNA Lymph Node Depending on the DLCO Parameter in Patients with Pulmonary Sarcoidosis" Cells 10, no. 12: 3404. https://doi.org/10.3390/cells10123404
APA StyleRutkowska, E., Kwiecień, I., Bednarek, J., Sokołowski, R., Raniszewska, A., Jahnz- Różyk, K., & Rzepecki, P. (2021). T Lymphocyte Maturation Profile in the EBUS-TBNA Lymph Node Depending on the DLCO Parameter in Patients with Pulmonary Sarcoidosis. Cells, 10(12), 3404. https://doi.org/10.3390/cells10123404

