Seasonal Variations in Canopy Size and Yield of Rayong 9 Cassava Genotype under Rainfed and Irrigated Conditions
Abstract
1. Introduction
2. Materials and Methods
2.1. Plant Materials and Experimental Design
2.2. Crop Management
2.3. Data Collection
2.3.1. Weather Condition and Soil Properties
2.3.2. Canopy Size Parameters
2.3.3. Leaf Area Index (LAI)
2.3.4. Light Penetration
2.3.5. Leaf Photosynthesis
2.3.6. Biomass, Storage Root Yield, Starch Content and Harvest Index
2.4. Statistical Analysis
3. Results
3.1. Weather Condition
3.2. Soil Property and Soil Water Status
3.3. Biomass, Storage Root Yield, Starch Content and Harvest Index
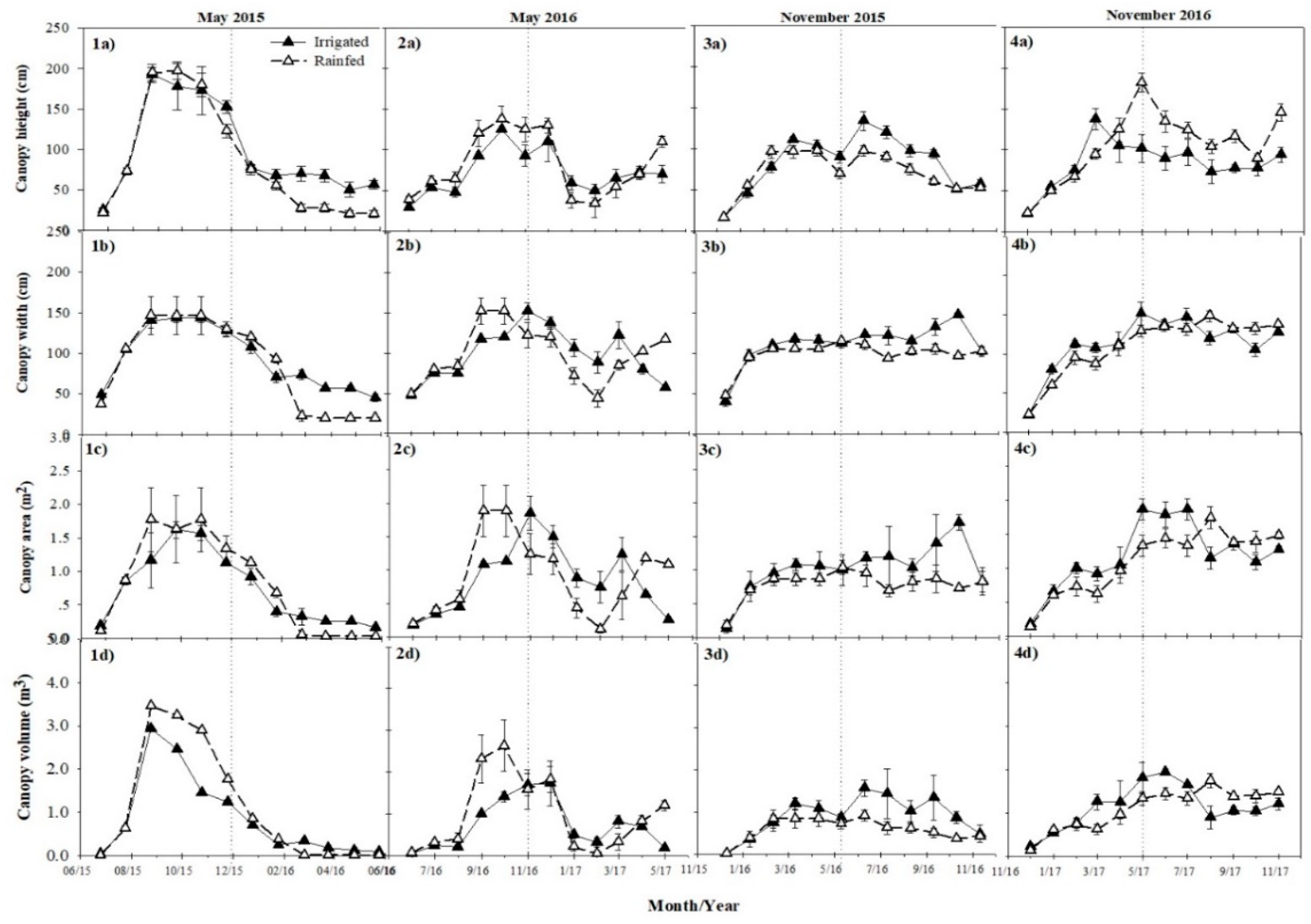
3.4. Canopy Size
3.5. Leaf Area Index (LAI)
3.6. Light Penetration
3.7. Photosynthesis
4. Discussion
5. Conclusions
Author Contributions
Funding
Acknowledgments
Conflicts of Interest
References
- Food and Agriculture Organization of the United Nations. Biofuel Co-Products as Livestock Feed-Opportunities and Challenges; Food and Agriculture Organization of the United Nations: Rome, Italy, 2012. [Google Scholar]
- Alves, A.A.C. Cassava botany and physiology. In Cassava: Biology, Production and Utilization; Hillocks, R.J., Thresh, J.M., Bellotti, A.C., Eds.; CABI Publishing: New York, NY, USA, 2002; pp. 67–89. [Google Scholar]
- Leff, B.; Ramankutty, N.; Foley, J.A. Geographic distribution of major crops across the world. Glob. Biogeochem. Cycles 2004, 18. [Google Scholar] [CrossRef]
- Food and Agriculture Organization of the United Nations. Save and Grow a Guide to Sustainable Production Intensification; Food and Agriculture Organization of the United Nations: Rome, Italy, 2013. [Google Scholar]
- Good Agricultural Practices for Cassava. Available online: http://www.acfs.go.th/standard/download/ eng/GAP_cassava.pdf (accessed on 1 October 2018).
- Howeler, R.H. Cassava agronomy research in Asia: Has it benefited cassava farmers? In Cassava’s Potential in Asia in the 21st Century: Present Situation and Future Research and Development Needs, Proceedings 6th Regional Workshop, Ho Chi Ming City, Vietnam, 21–25 February 2000; Howeler, R.H., Tan, S.L., Eds.; Centro Internacional de Agricultura Tropical (CIAT), Cassava Office for Asia: Bangkok, Thailand, 2001; pp. 345–382. [Google Scholar]
- Cock, J.H.; Franklin, D.; Sandoval, G.; Juri, P. The ideal cassava plant for maximum yield. Crop. Sci. 1979, 19, 271–279. [Google Scholar] [CrossRef]
- El-Sharkawy, M.A. International research on cassava photosynthesis, productivity, eco-physiology, and responses to environmental stresses in the tropics. Photosynthetica 2006, 44, 481–512. [Google Scholar] [CrossRef]
- Monteith, J.L.; Moss, C.J. Climate and the efficiency of crop production in Britain [and discussion] Philosophical Transactions of the Royal Society of London. Biol. Sci. 1977, 281, 277–294. [Google Scholar] [CrossRef]
- Long, S.P.; Zhu, X.G.; Naidu, S.L.; Ort, D.R. Can improvement in photosynthesis increase crop yields? Plant Cell Environ. 2006, 29, 315–330. [Google Scholar] [CrossRef] [PubMed]
- Zhu, X.-G.; Song, Q.; Ort, D.R. Elements of a dynamic systems model of canopy photosynthesis. Curr. Opin. Plant Biol. 2012, 15, 237–244. [Google Scholar] [CrossRef] [PubMed]
- Parry, M.A.J.; Reynolds, M.; Salvucci, M.E.; Raines, C.; Andralojc, P.J.; Zhu, X.G.; Price, G.D.; Condon, A.G.; Furbank, R.T. Raising yield potential of wheat. II. Increasing photosynthetic capacity and efficiency. J. Exp. Bot. 2011, 62, 453–467. [Google Scholar] [CrossRef]
- Niinemets, U. Photosynthesis and resource distribution through plant canopies. Plant Cell Environ. 2007, 30, 1052–1071. [Google Scholar] [CrossRef]
- Vos, J.; Evers, J.B.; Buck-Sorlin, G.H.; Andrieu, B.; Chelle, M.; de Visser, P.H.B. Functional–structural plant modelling: A new versatile tool in crop science. J. Exp. Bot. 2010, 61, 2101–2115. [Google Scholar] [CrossRef]
- Liu, T.; Song, F.; Liu, S.; Zhu, X. Canopy structure, light interception, and photosynthetic characteristics under different narrow-wide planting patterns in maize at silking stage. Span. J. Agric. Res. 2011, 9, 1249–1261. [Google Scholar] [CrossRef]
- Tumuhimbise, R.; Melis, R.; Shanahan, P.; Kawuki, R. Genotype × environment interaction effects on early fresh storage root yield and related traits in cassava. Crop. J. 2014, 2, 329–337. [Google Scholar] [CrossRef]
- Nobel, P.S.; Forseth, I.N.; Long, S.P. Canopy structure and light interception. In Photosynthesis and Production in a Change Environment; Hall, D.O., Scurlock, J.M.O., Bolhàr-nordenkampf, H.R., Leegood, R.C., Long, S.P., Eds.; Chapman and Hall: London, UK, 1993; pp. 79–90. [Google Scholar]
- Godin, C. Representing and encoding plant architecture: A review. Ann. For. Sci. 2000, 57, 413–438. [Google Scholar] [CrossRef]
- Irikura, V.; Cock, J.H.; Kawano, K. The physiological basis of genotype-temperature interactions in cassava. Field Crop. Res. 1979, 2, 227–239. [Google Scholar] [CrossRef]
- Keating, B.A.; Evenson, J.P.; Fukai, S. Environmental effects on growth and development of cassava (Manihot esculenta Crantz). II. Crop growth rate and biomass yield. Field Crop. Res. 1982, 5, 283–292. [Google Scholar] [CrossRef]
- Fukai, S.; Alcoy, A.B.; Llamelo, A.B.; Patterson, R.D. Effects of solar radiation on growth of cassava (Manihot esculenta Crantz). I. Canopy development and dry matter growth. Field Crop. Res. 1984, 9, 347–360. [Google Scholar] [CrossRef]
- Okoli, P.S.O.; Wilson, G.F. Response of cassava (Manihot esculenta Crantz) to shade under field conditions. Field Crop. Res. 1986, 14, 349–360. [Google Scholar] [CrossRef]
- Zhu, X.-G.; Long, S.P.; Ort, D.R. Improving photosynthetic efficiency for greater yield. Annu. Rev. Plant Biol. 2010, 61, 235–261. [Google Scholar] [CrossRef] [PubMed]
- Cock, J.H.; El-Sharkawy, M.A. Physiological characteristics for cassava selection. Exp. Agric. 1988, 24, 443–448. [Google Scholar] [CrossRef]
- El-Sharkawy, M.A. Drought-tolerant cassava for Africa, Asia, and Latin America: Breeding projects work to stabilize productivity without increasing pressures on limited natural resources. Bioscience 1993, 43, 441–451. [Google Scholar] [CrossRef]
- El-Sharkawy, M.A. Cassava biology and physiology. Plant Mol. Biol. 2004, 56, 481–501. [Google Scholar] [CrossRef]
- Lahai, M.T.; Ekanayake, I.J.; Koroma, J.P.C. Influence of canopy structure on yield of cassava cultivars at various toposequences of an inland valley agro-ecosystem. J. Agric. Biotechnol. Sustain. Dev. 2013, 5, 36–47. [Google Scholar] [CrossRef]
- Werner, C.; Ryel, R.J.; Correia, O.; Beyschlag, W. Structural and functional variability within the canopy and its relevance for carbon gain and stress avoidance. Acta Oecol. 2001, 22, 129–138. [Google Scholar] [CrossRef]
- Connor, D.J.; Cock, J.H. Response of cassava to water shortage. II. Canopy dynamics. Field Crop. Res. 1981, 4, 285–296. [Google Scholar] [CrossRef]
- Jones, H.G.; Corlett, J.E. Current topics in drought physiology. J. Agric. Sci. 1992, 119, 291–296. [Google Scholar] [CrossRef]
- El-Sharkawy, M.A.; Cadavid, L.F. Response of cassava to prolonged water stress imposed at different stages of growth. Exp. Agric. 2002, 38, 333–350. [Google Scholar] [CrossRef]
- Odubanjo, O.O.; Olufayo, A.A.; Oguntunde, P.G. Water use, growth, and yield of drip irrigated cassava in a humid tropical environment. Soil Water Res. 2011, 6, 10–20. [Google Scholar] [CrossRef]
- Prammanee, S.; Kamprerasart, K.; Salakan, K.; Sriroth, K. Growth and starch content evaluation on newly released cassava cultivars, Rayong 9, Rayong 7 and Rayong 80 at different harvest times. Kasetsart J. (Nat. Sci.) 2010, 44, 558–563. [Google Scholar]
- Howeler, R.H. Cassava mineral nutrition and fertilization. In Cassava: Biology Production and Utilization; Hillocks, R.J., Thresh, J.M., Bellotti, A.C., Eds.; CAB International: Wallingford, Oxon, UK, 2002. [Google Scholar]
- Malone, S.; Herbert, D.A.; Holshouser, D.L. Evaluation of the LAI-2000 plant canopy analyzer to estimate leaf area in manually defoliated soybean. Aron. J. 2002, 94, 1012–1019. [Google Scholar] [CrossRef]
- Gomez, K.A.; Gomez, A.A. Statistical Procedures for Agricultural Research; John Wiley & Sons: New York, NY, USA, 1984; pp. 1–628. [Google Scholar]
- Freed, R.D.; Nissen, O. MSTAT-C, version 1.42; Michigan State University: East Lansing, ML, USA, 1992. [Google Scholar]
- Howeler, R.H.; Cadavid, L.F. Short- and long-term fertility trials in Colombia to determine the nutrient requirements of cassava. Fertil. Res. 1990, 26, 61–80. [Google Scholar] [CrossRef]
- Keating, B.A.; Evenson, J.P. Effect of soil temperature on sprouting and sprout elongation of stem cuttings of cassava (Manihot esculenta crantz.). Field Crop. Res. 1979, 2, 241–252. [Google Scholar] [CrossRef]
- El-Sharkawy, M.A. Stress tolerant cassava: The role of integrative ecophysiology breeding research in crop improvement. Open J. Soil Sci. 2012, 2, 162–186. [Google Scholar] [CrossRef]
- Cock, J.H.; Rosas, S. Ecophysiology of cassava. In Symposium on Ecophysiology of Tropical Crops; Communications Division of CEPLAC: Ilhéus, Bahia, Brazil, 1975; pp. 1–14. [Google Scholar]
- Puangbut, D.; Jogloy, S.; Vorasoot, N.; Patanothai, A. Responses of growth, physiological traits and tuber yield in Helianthus tuberosus to seasonal variations under tropical area. Sci. Hortic. 2015, 195, 108–115. [Google Scholar] [CrossRef]
- De Souza, A.P.; Massenburg, L.N.; Jaiswal, D.; Cheng, S.; Shekar, R.; Long, S.P. Rooting for cassava: Insights into photosynthesis and associated physio-logy as a route to improve yield potential. New Phytol. 2017, 213, 50–65. [Google Scholar] [CrossRef] [PubMed]
- Sarlikioti, V.; de Visser, P.H.B.; Buck-Sorlin, G.H.; Marcelis, L.F.M. How plant architecture affects light absorption and photosynthesis in tomato: Towards an ideotype for plant architecture using a functional–structural plant model. Ann. Bot. 2011, 108, 1065–1073. [Google Scholar] [CrossRef] [PubMed]
- El-Sharkawy, M.A.; De Tafur, S.M.; Cadavid, L.F. Potential photosynthesis of cassava as affected by growth conditions. Crop Sci. 1992, 32, 13361342. [Google Scholar] [CrossRef]
- Vongcharoen, K.; Santanoo, S.; Banterng, P.; Jogloy, S.; Vorasoot, N. Diurnal and seasonal variations in the photosynthetic performance and chlorophyll fluorescence of cassava ‘Rayong 9′ under irrigated and rainfed conditions. Photosynthetica 2019, 57, 268–285. [Google Scholar] [CrossRef]
- Boerboom, B.W.J. A model of dry matter distribution in Cassava (Manihot esculenta Crantz). Neth. J. Agric. Sci. 1978, 26, 267–277. [Google Scholar]
- Veltkamp, H.J. Partitioning of dry matter in Cassava. Ph.D. Thesis, Agricultural University, Wageningen, The Netherlands, 18 September 1985. [Google Scholar]
- EL-Sharkawy, M.A.; Cock, J.H. Response of cassava to water stress. Plant Soil 1987, 100, 345–360. [Google Scholar] [CrossRef]
), relative humidity (—) and solar radiation (-- --) at Khon Kaen University, planting dates May (a) and November (b) 2015 and May (c) and November (d) 2016.
), relative humidity (—) and solar radiation (-- --) at Khon Kaen University, planting dates May (a) and November (b) 2015 and May (c) and November (d) 2016.





| MAP | May 15 | May 16 | Nov-15 | Nov-16 | ||
|---|---|---|---|---|---|---|
| 1 | May | 656.2 | 592.9 | Nov | 503.8 | 486.6 |
| 2 | Jun | 553.3 | 489.6 | Dec | 439.0 | 449.5 |
| 3 | Jul | 512.6 | 527.9 | Jan | 477.6 | 469.2 |
| 4 | Aug | 498.8 | 514.1 | Feb | 518.9 | 486.1 |
| 5 | Sep | 465.8 | 461.7 | Mar | 480.2 | 507.1 |
| 6 | Oct | 529.5 | 507.9 | Apr | 552.2 | 594.6 |
| 7 | Nov | 456.5 | 448.5 | May | 581.0 | 542.2 |
| 8 | Dec | 461.5 | 449.4 | Jun | 492.3 | 531.8 |
| 9 | Jan | 491.4 | 530.0 | Jul | 577.6 | 465.0 |
| 10 | Feb | 490.6 | 461.1 | Aug | 519.4 | 457.4 |
| 11 | Mar | 549.3 | 580.8 | Sep | 450.8 | 488.9 |
| 12 | Apr | 603.2 | 556.1 | Oct | 500.2 | 496.1 |
| Sum | 6268.7 | 6120.0 | 6093.0 | 5974.5 |
| MAP | May 15 | May 16 | Nov 15 | Nov 16 | ||||||
|---|---|---|---|---|---|---|---|---|---|---|
| T min > 25 °C | T max < 35 °C | T min > 25 °C | T max < 35 °C | T min > 25 °C | T max < 35 °C | T min > 25 °C | T max < 35 °C | |||
| 1 | May | 19 | 7 | 25 | 8 | Nov | 0 | 16 | 0 | 30 |
| 2 | Jun | 17 | 15 | 10 | 24 | Dec | 0 | 20 | 0 | 30 |
| 3 | Jul | 2 | 26 | 12 | 29 | Jan | 0 | 22 | 0 | 30 |
| 4 | Aug | 4 | 25 | 12 | 28 | Feb | 0 | 18 | 1 | 24 |
| 5 | Sep | 3 | 25 | 3 | 29 | Mar | 22 | 2 | 13 | 8 |
| 6 | Oct | 0 | 15 | 0 | 30 | Apr | 24 | 6 | 8 | 18 |
| 7 | Nov | 0 | 19 | 0 | 30 | May | 24 | 6 | 8 | 18 |
| 8 | Dec | 0 | 23 | 0 | 30 | Jun | 15 | 19 | 6 | 25 |
| 9 | Jan | 0 | 21 | 0 | 29 | Jul | 11 | 26 | 1 | 30 |
| 10 | Feb | 1 | 11 | 3 | 15 | Aug | 13 | 28 | 2 | 30 |
| 11 | Mar | 14 | 4 | 7 | 15 | Sep | 6 | 29 | 9 | 25 |
| 12 | Apr | 26 | 4 | 9 | 15 | Oct | 1 | 37 | 1 | 35 |
| Sum | 86 | 195 | 81 | 282 | 116 | 229 | 49 | 303 | ||
| 281 | 363 | 245 | 352 | |||||||
| Planting Date | May, 15 | Nov, 15 | May, 16 | Nov, 16 | ||||
|---|---|---|---|---|---|---|---|---|
| Depth (cm) | 0–30 | 30–60 | 0–30 | 30–60 | 0–30 | 30–60 | 0–30 | 30–60 |
| Soil Chemical | ||||||||
| pH 1:1 H2O | 7.15 | 7.01 | 6.27 | 6.05 | 7.27 | 7.24 | 7.14 | 7.51 |
| Organic matter (%) | 0.44 | 0.38 | 0.46 | 0.32 | 0.5 | 0.44 | 0.53 | 0.18 |
| Total N (%) | 0.021 | 0.018 | 0.02 | 0.013 | 0.024 | 0.022 | 0.037 | 0.03 |
| Avail. P (mg kg−1) | 61.2 | 56.5 | 51.6 | 42.1 | 77.6 | 76.1 | 88.5 | 27.9 |
| Exch. K (mg kg−1) | 54.6 | 35.6 | 39.4 | 33.4 | 34.2 | 25.6 | 30.8 | 23.9 |
| Exch. Ca (mg kg−1) | 338.8 | 386.8 | 232.5 | 277.5 | 359 | 364.5 | 481.5 | 460.5 |
| EC 1:5 H2O (ds m−1) | 0.043 | 0.069 | 0.062 | 0.031 | 0.06 | 0.054 | 0.073 | 0.035 |
| CEC (c mol kg−1) | 3.00 | 3.44 | 3.74 | 8.26 | 2.97 | 3.72 | 3.74 | 6.69 |
| Soil Physical | ||||||||
| Texture Class | Loamy sand | Loamy sand | Sandy loam | Sandy loam | Sand | Sand | Loamy sand | Sandy loam |
| Planting Date | 2015 | 2016 | |||
|---|---|---|---|---|---|
| Irrigated | Rainfed | Irrigated | Rainfed | ||
| May | 1–3 MAP | 0 | 0 | 1 | 36 |
| 4–6 MAP | 0 | 12 | 0 | 0 | |
| 7–9 MAP | 0 | 90 | 0 | 20 | |
| 10–12 MAP | 13 | 80 | 0 | 90 | |
| Sum | 13 | 182 | 1 | 146 | |
| Nov | 1–3 MAP | 0 | 90 | 0 | 11 |
| 4–6 MAP | 8 | 82 | 0 | 90 | |
| 7–9 MAP | 1 | 38 | 0 | 25 | |
| 10–12 MAP | 0 | 0 | 0 | 0 | |
| Sum | 9 | 210 | 0 | 126 | |
| Source | DF | Biomass | Storage Root Dry Weight | Shoot Dry Weight | Harvest Index | Storage Root Fresh Weight | Starch Content |
|---|---|---|---|---|---|---|---|
| Years (Y) | 1 | 372.0 **(22.7) 1 | 2.12ns (0.4) | 318.1 ** (56.8) | 0.074 ** (44.6) | 151.0ns (3.7) | 10.1ns (5.7) |
| Planting date (D) | 1 | 755.4 ** (46.1) | 351.9** (60.9) | 76.1 ** (13.6) | 0.019 ** (11.4) | 2437.8 ** (60.3) | 28.1 * (15.7) |
| Y *D | 1 | 61.7ns (3.8) | 0.2 ns (0.4) | 40.1 ** (7.2) | 0.000ns (0.0) | 3.9ns (0.1) | 15.1ns (8.5) |
| Error Y *D *R | 12 | 13.9 (10.2) | 9.6 (20.7) | 2.4 (5.1) | 0.002 (13.8) | 527.2 (13.0) | 5.3 (35.5) |
| Water regimes (W) | 1 | 0.7ns (0.0) | 0.2ns (0.0) | 1.6ns (0.3) | 0.014 ** (8.2) | 51.8ns (1.3) | 3.1ns (1.7) |
| Y*W | 1 | 159.7 ** (9.8) | 27.4 ** (4.7) | 54.7 ** (9.8) | 0.002ns (1.5) | 262.8 ** (6.5) | 3.1ns (1.7) |
| D *W | 1 | 32.2 * (2.0) | 45.9 ** (7.9) | 1.2ns (0.2) | 0.014 ** (8.7) | 351.8 ** (8.7) | 21.1* (11.8) |
| Y *D *W | 1 | 23. 2ns (1.4) | 0.1ns (0.0) | 20.8 ** (3.7) | 0.012 ** (7.2) | 8.1ns (0.2) | 0.1ns (0.1) |
| Error Y *D *R *W | 12 | 5.5 (4.2) | 2.39 (5.0) | 1.6 (3.4) | 0.001 (4.6) | 251.3 (6.2) | 2.9 (19.3) |
| Total | 31 | ||||||
| CV(Y *D *R) | 12.6 | 18.7 | 12.5 | 7.5 | 14.6 | 8.5 | |
| CV(Y *D *R *V) | 7.9 | 9.2 | 9.9 | 4.3 | 10.1 | 6.2 |
© 2019 by the authors. Licensee MDPI, Basel, Switzerland. This article is an open access article distributed under the terms and conditions of the Creative Commons Attribution (CC BY) license (http://creativecommons.org/licenses/by/4.0/).
Share and Cite
Mahakosee, S.; Jogloy, S.; Vorasoot, N.; Theerakulpisut, P.; Banterng, P.; Kesmala, T.; Holbrook, C.; Kvien, C. Seasonal Variations in Canopy Size and Yield of Rayong 9 Cassava Genotype under Rainfed and Irrigated Conditions. Agronomy 2019, 9, 362. https://doi.org/10.3390/agronomy9070362
Mahakosee S, Jogloy S, Vorasoot N, Theerakulpisut P, Banterng P, Kesmala T, Holbrook C, Kvien C. Seasonal Variations in Canopy Size and Yield of Rayong 9 Cassava Genotype under Rainfed and Irrigated Conditions. Agronomy. 2019; 9(7):362. https://doi.org/10.3390/agronomy9070362
Chicago/Turabian StyleMahakosee, Supattra, Sanun Jogloy, Nimitr Vorasoot, Piyada Theerakulpisut, Poramate Banterng, Thawan Kesmala, Corley Holbrook, and Craig Kvien. 2019. "Seasonal Variations in Canopy Size and Yield of Rayong 9 Cassava Genotype under Rainfed and Irrigated Conditions" Agronomy 9, no. 7: 362. https://doi.org/10.3390/agronomy9070362
APA StyleMahakosee, S., Jogloy, S., Vorasoot, N., Theerakulpisut, P., Banterng, P., Kesmala, T., Holbrook, C., & Kvien, C. (2019). Seasonal Variations in Canopy Size and Yield of Rayong 9 Cassava Genotype under Rainfed and Irrigated Conditions. Agronomy, 9(7), 362. https://doi.org/10.3390/agronomy9070362

