Effect of Surface Straw Incorporation Rate on Water–Salt Balance and Maize Yield in Soil Subject to Secondary Salinization with Brackish Water Irrigation
Abstract
1. Introduction
2. Materials and Methods
2.1. Experimental Site
2.2. Experimental Design and Agronomic Procedures
2.3. Irrigation Schedule
2.4. Data Collection and Measurements
2.4.1. Maize Yield and Root Mass Density
2.4.2. Soil Water and Salt Content
2.5. Evapotranspiration
2.6. Richards Growth Equation
2.7. Water Use Efficiency
2.8. Statistics Analysis
3. Results
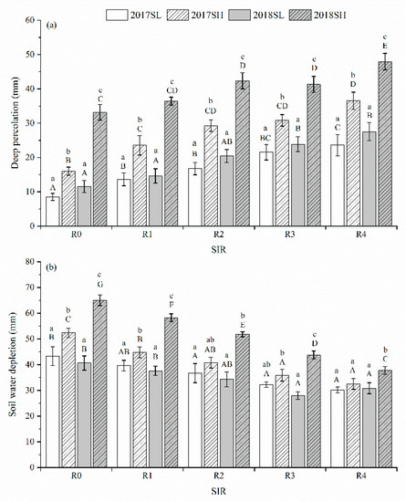
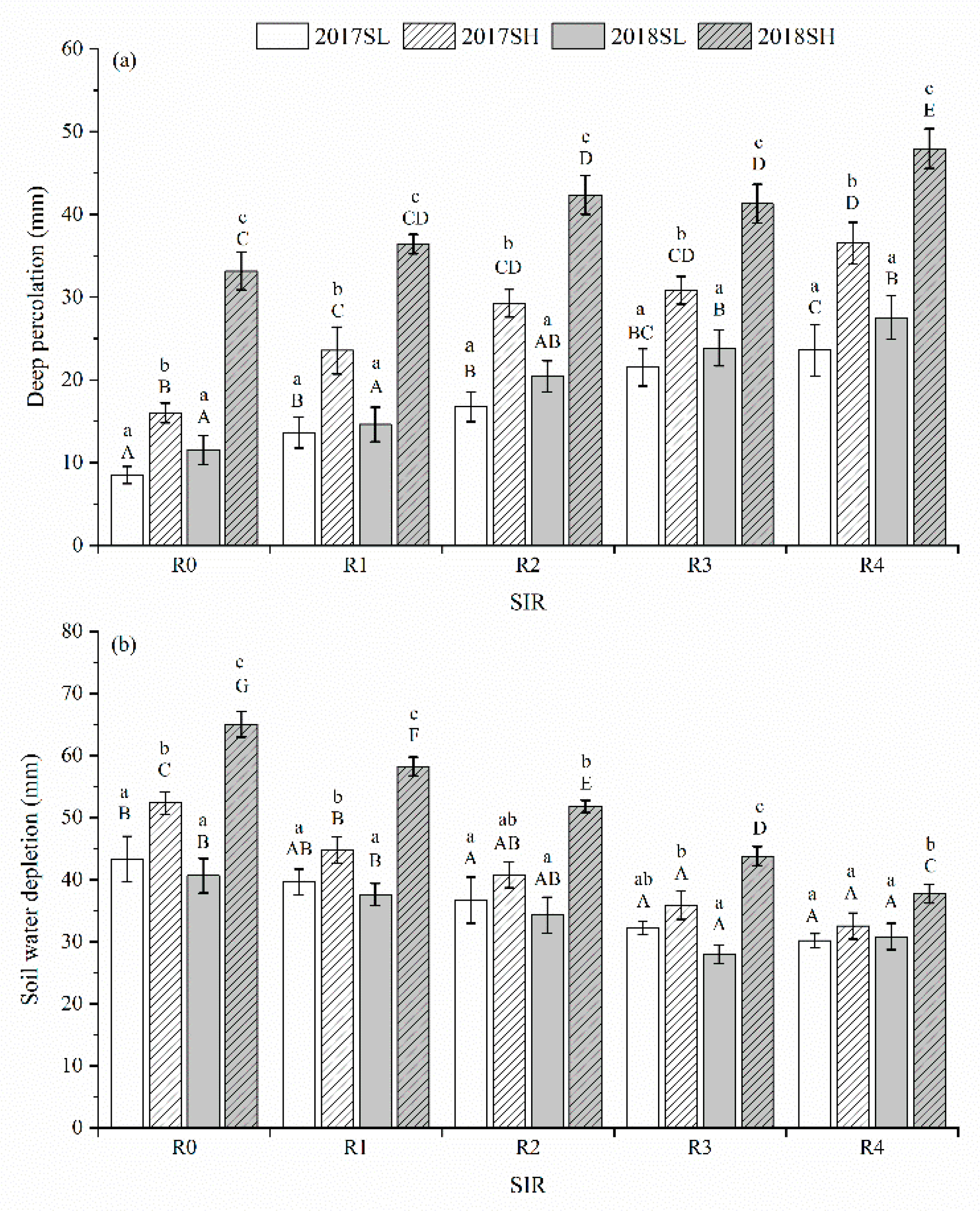
3.1. Water Balance and Soil Moisture
3.2. Salt Balance and Salt Content
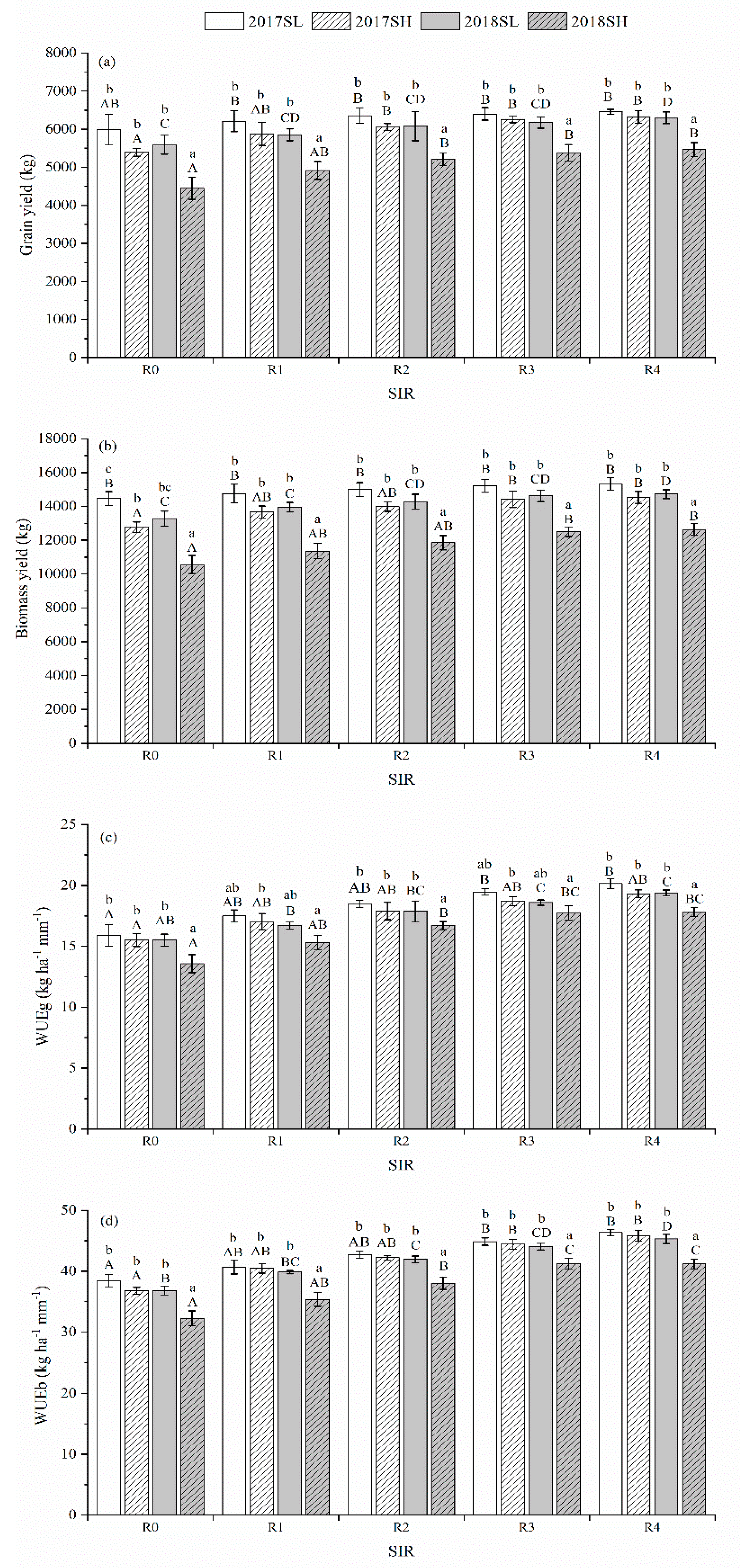
3.3. Maize Yield and Water Use Efficiency
4. Discussion
5. Conclusions
Author Contributions
Funding
Acknowledgments
Conflicts of Interest
References
- Liu, H.S.; Yoshikawa, N.; Tamaki, S. Effective method of removing saltwater wedge for preserving agricultural water quality. Paddy Water Environ. 2017, 15, 331–341. [Google Scholar] [CrossRef]
- Wang, X.P.; Yang, J.S.; Liu, G.M.; Yao, R.J.; Yu, S.P. Impact of irrigation volume and water salinity on winter wheat productivity and soil salinity distribution. Agric. Water Manag. 2015, 149, 44–54. [Google Scholar] [CrossRef]
- Kitamura, Y.; Yano, T.; Honna, T.; Yammoto, S.; Inosako, K. Causes of farmland salinization and remedial measures in the Aral Sea basin—Research on water management to prevent secondary salinization in rice-based cropping system in and land. Agric. Water Manag. 2006, 85, 1–14. [Google Scholar] [CrossRef]
- Seydehmet, J.; Lv, G.H.; Nurmemet, I.; Aishan, T.; Abliz, A.; Sawut, M.; Abliz, A.; Eziz, M. Model prediction of secondary soil salinization in the Keriya Oasis, Northwest China. Sustainability 2018, 10, 656. [Google Scholar] [CrossRef]
- Xie, W.; Wu, L.; Zhang, Y.; Wu, T.; Li, X.; Ouyang, Z. Effects of straw application on coastal saline topsoil salinity and wheat yield trend. Soil Tillage Res. 2017, 169, 1–6. [Google Scholar] [CrossRef]
- Zhang, T.T.; Zeng, S.L.; Gao, Y.; Ouyang, Z.T.; Li, B.; Fang, C.M.; Zhao, B. Assessing impact of land uses on land salinization in the Yellow River Delta, China using an integrated and spatial statistical model. Land Use Policy 2011, 28, 857–866. [Google Scholar] [CrossRef]
- Romic, D.; Romic, M.; Zovko, M.; Bakic, H.; Ondrasek, G. Trace metals in the coastal soils developed from estuarine floodplain sediments in the Croatian Mediterranean region. Environ. Geochem. Health 2012, 34, 399–416. [Google Scholar] [CrossRef] [PubMed]
- Singh, A. Alternative management options for irrigation-induced salinization and waterlogging under different climatic conditions. Ecol. Indic. 2018, 90, 184–192. [Google Scholar] [CrossRef]
- Luo, W.; Sands, G.R.; Youssef, M.; Strock, J.S.; Song, I.; Canelon, D. Modeling the impact of alternative drainage practices in the northern Corn-belt with DRAINMOD-NII. Agric. Water Manag. 2010, 97, 389–398. [Google Scholar] [CrossRef]
- Zhu, C.; Huang, M.; Zhai, Y.; Zhang, Z.; Zheng, J.; Liu, Z. Response of gas exchange and chlorophyll fluorescence of maize to alternate irrigation with fresh- and brackish water. Acta Agric. Scand. Sect. B 2017, 67, 474–484. [Google Scholar] [CrossRef]
- Abd El-Mageed, T.A.; Semida, W.M.; Abd El-Wahed, M.H. Effect of mulching on plant water status, soil salinity and yield of squash under summer-fall deficit irrigation in salt affected soil. Agric. Water Manag. 2016, 173, 1–12. [Google Scholar] [CrossRef]
- Cuevas, J.; Daliakopoulos, I.N.; Del Moral, F.; Hueso, J.J.; Tsanis, I.K. A review of soil-improving cropping systems for soil salinization. Agron. Basel 2019, 9, 295. [Google Scholar] [CrossRef]
- Ren, J.Q.; Yu, P.X.; Xu, X.H. Straw utilization in china-status and recommendations. Sustainability 2019, 11, 1762. [Google Scholar] [CrossRef]
- Cao, J.; Liu, C.; Zhang, W.; Guo, Y. Effect of integrating straw into agricultural soils on soil infiltration and evaporation. Water Sci. Technol. 2012, 65, 2213–2218. [Google Scholar] [CrossRef] [PubMed]
- Lu, P.R.; Zhang, Z.Y.; Feng, G.X.; Huang, M.Y.; Shi, X.F. Experimental study on the potential use of bundled crop straws as subsurface drainage material in the newly reclaimed coastal land in Eastern China. Water 2018, 10, 31. [Google Scholar] [CrossRef]
- Papini, R.; Valboa, G.; Favilli, F.; L’Abate, G. Influence of land use on organic carbon pool and chemical properties of Vertic Cambisols in central and southern Italy. Agric. Ecosyst. Environ. 2011, 140, 68–79. [Google Scholar] [CrossRef]
- Zhang, P.; Wei, T.; Jia, Z.; Han, Q.; Ren, X.; Li, Y. Effects of straw incorporation on soil organic matter and soil water-stable aggregates content in semiarid regions of Northwest China. PLoS ONE 2014, 9, e92839. [Google Scholar] [CrossRef]
- Pinheiro, E.F.M.; Pereira, M.G.; Anjos, L.H.C. Aggregate distribution and soil organic matter under different tillage systems for vegetable crops in a Red Latosol from Brazil. Soil Tillage Res. 2004, 77, 79–84. [Google Scholar] [CrossRef]
- Karami, A.; Homaee, M.; Afzalinia, S.; Ruhipour, H.; Basirat, S. Organic resource management: Impacts on soil aggregate stability and other soil physico-chemical properties. Agric. Ecosyst. Environ. 2012, 148, 22–28. [Google Scholar] [CrossRef]
- Zhang, K.; Miao, C.; Xu, Y.; Hua, X.; Han, H.; Yang, J.; Ren, S.; Zhang, H.; Huang, Z.; Jin, W.; et al. Process fundamentals and field demonstration of wheat straw enhanced salt leaching of petroleum contaminated farmland. Huanjing Kexue 2009, 30, 231–236. (In Chinese) [Google Scholar]
- Liu, D.L.; Zeleke, K.T.; Wang, B.; Macadam, I.; Scott, F.; Martin, R.J. Crop residue incorporation can mitigate negative climate change impacts on crop yield and improve water use efficiency in a semiarid environment. Eur. J. Agron. 2017, 85, 51–68. [Google Scholar] [CrossRef]
- Wang, X.; Jia, Z.; Liang, L. Effect of straw incorporation on the temporal variations of water characteristics, water—Use efficiency and maize biomass production in semi-arid China. Soil Tillage Res. 2015, 153, 36–41. [Google Scholar] [CrossRef]
- Balwinder, S.; Eberbach, P.L.; Humphreys, E.; Kukal, S.S. The effect of rice straw mulch on evapotranspiration, transpiration and soil evaporation of irrigated wheat in Punjab, India. Agric. Water Manag. 2011, 98, 1847–1855. [Google Scholar] [CrossRef]
- Cai, A.D.; Liang, G.P.; Zhang, X.B.; Zhang, W.J.; Li, L.; Rui, Y.C.; Xu, M.G.; Luo, Y.Q. Long-term straw decomposition in agro-ecosystems described by a unified three-exponentiation equation with thermal time. Sci. Total Environ. 2018, 636, 699–708. [Google Scholar] [CrossRef] [PubMed]
- Wang, X.; Jia, Z.; Liang, L.; Zhao, Y.; Yang, B.; Ding, R.; Wang, J.; Nie, J. Changes in soil characteristics and maize yield under straw returning system in dryland farming. Field Crops Res. 2018, 218, 11–17. [Google Scholar] [CrossRef]
- Mao, Y.; Wu, H.; Pei, H.; He, P.; Liu, D. Climate features of summer rainfall in Nanjing during recent 50 a. Sci. Meteorol. Sinica 2012, 32, 646–652. (In Chinese) [Google Scholar]
- Mai, M.; Huo, Y.; Xiang, Y.; Miao, X. Variation of evaporation and its impact factors from 1960 to 2012 in Jiangsu province. J. Meteor. Environ. 2015, 31, 134–140. (In Chinese) [Google Scholar]
- Gimenez, L. Corn and soybeans response to different water availability at various stages of crop development. Agrocienc. Urug. 2017, 21, 77–90. [Google Scholar]
- Wu, D.; Fang, S.B.; Li, X.; He, D.; Zhu, Y.C.; Yang, Z.Q.; Xu, J.X.; Wu, Y.J. Spatial-temporal variation in irrigation water requirement for the winter wheat-summer maize rotation system since the 1980s on the North China Plain. Agric. Water Manag. 2019, 214, 78–86. [Google Scholar] [CrossRef]
- Zhou, S.; Hu, X.; Wang, W.E.; Zhang, Y. Water-saving and stable yield effects of regulation on soil wetted depth in different growth stage of spring maize. Trans. CSAE 2016, 32, 125–132. (In Chinese) [Google Scholar]
- Lu, P.; Zhang, Z.; Sheng, Z.; Huang, M.; Zhang, Z. assess effectiveness of salt removal by a subsurface drainage with bundled crop straws in coastal saline soil using HYDRUS-3D. Water 2019, 11, 943. [Google Scholar] [CrossRef]
- Hanson, B.; Hopmans, J.W.; Simunek, J. Leaching with subsurface drip irrigation under saline, shallow groundwater conditions. Vadose Zone J. 2008, 7, 810–818. [Google Scholar] [CrossRef]
- Grattan, S. Irrigation Water Salinity and Crop Production, 1st ed.; UCANR Publications: Oakland, CA, USA, 2002. [Google Scholar]
- Feng, G.X.; Zhang, Z.Y.; Wan, C.Y.; Lu, P.R.; Bakour, A. Effects of saline water irrigation on soil salinity and yield of summer maize (Zea mays L.) in subsurface drainage system. Agric. Water Manag. 2017, 193, 205–213. [Google Scholar] [CrossRef]
- Li, Q.; Dong, B.; Qiao, Y.; Liu, M.; Zhang, J. Root growth, available soil water, and water-use efficiency of winter wheat under different irrigation regimes applied at different growth stages in North China. Agric. Water Manag. 2010, 97, 1676–1682. [Google Scholar] [CrossRef]
- Richards, F.J. A flexible growth function for empirical use. J. Exp. Bot. 1959, 10, 290–300. [Google Scholar] [CrossRef]
- Burger, M.; Dumlao, M.R.; Wang, J.; Moradi, B.A.; Horwath, W.R.; Silk, W.K. Cover crop development related to nitrate uptake and cumulative temperature. Crop. Sci. 2017, 57, 971–982. [Google Scholar] [CrossRef]
- Zhang, M.M.; Dong, B.D.; Qiao, Y.Z.; Yang, H.; Wang, Y.K.; Liu, M.Y. Effects of sub-soil plastic film mulch on soil water and salt content and water utilization by winter wheat under different soil salinities. Field Crops Res. 2018, 225, 130–140. [Google Scholar] [CrossRef]
- Zhao, X.L.; Yuan, G.Y.; Wang, H.Y.; Lu, D.J.; Chen, X.Q.; Zhou, J.M. Effects of full straw incorporation on soil fertility and crop yield in rice-wheat rotation for silty clay loamy cropland. Agron. Basel 2019, 9, 133. [Google Scholar] [CrossRef]
- De Jonge, L.W.; Moldrup, P.; Jacobsen, O.H. Soil-water content dependency of water repellency in soils: Effect of crop type, soil management, and physical-chemical parameters. Soil Sci. 2007, 172, 577–588. [Google Scholar] [CrossRef]
- Vogelmann, E.S.; Reichert, J.M.; Prevedello, J.; Awe, G.O.; Cerda, A. Soil moisture influences sorptivity and water repellency of topsoil aggregates in native grasslands. Geoderma 2017, 305, 374–381. [Google Scholar] [CrossRef]
- Liu, X.; Gao, W.; Sun, S.; Hu, A.; He, Y.; He, S. Responses of soil water dynamic processes and groundwater recharge to irrigation intensity and antecedent moisture in the vadose zone. Hydrol. Process. 2019, 33, 849–863. [Google Scholar] [CrossRef]
- Tedeschi, A.; Dell’Aquila, R. Effects of irrigation with saline waters, at different concentrations, on soil physical and chemical characteristics. Agric. Water Manag. 2005, 77, 308–322. [Google Scholar] [CrossRef]
- Mahmood, I.A.; Ali, A.; Aslam, M.; Shahzad, A.; Sultan, T.; Hussain, F. Phosphorus availability in different salt-affected soils as influenced by crop residue incorporation. Int. J. Agric. Biol. 2013, 15, 472–478. [Google Scholar]
- Zhao, Y.; Li, Y.; Wang, J.; Pang, H.; Li, Y. Buried straw layer plus plastic mulching reduces soil salinity and increases sunflower yield in saline soils. Soil Tillage Res. 2016, 155, 363–370. [Google Scholar] [CrossRef]
- Kan, I.; Schwabe, K.A.; Knapp, K.C. Microeconomics of irrigation with saline water. J. Agric. Resour. Econ. 2002, 27, 16–39. [Google Scholar]
- Ramos, T.B.; Simunek, J.; Goncalves, M.C.; Martins, J.C.; Prazeres, A.; Castanheira, N.L.; Pereira, L.S. Field evaluation of a multicomponent solute transport model in soils irrigated with saline waters. J. Hydrol. 2011, 407, 129–144. [Google Scholar] [CrossRef]
- Shalhevet, J.; Huck, M.G.; Schroeder, B.P. Root and shoot growth-responses to salinity in maize and soybean. Agron. J. 1995, 87, 512–516. [Google Scholar] [CrossRef]
- Jones, H.G. Monitoring plant and soil water status: Established and novel methods revisited and their relevance to studies of drought tolerance. J. Exp. Bot. 2007, 58, 119–130. [Google Scholar] [CrossRef] [PubMed]
- Prasad, P.V.V.; Boote, K.J.; Allen, L.H.; Sheehy, J.E.; Thomas, J.M.G. Species, ecotype and cultivar differences in spikelet fertility and harvest index of rice in response to high temperature stress. Field Crops Res. 2006, 95, 398–411. [Google Scholar] [CrossRef]
- Yang, J.C.; Zhang, J.H. Crop management techniques to enhance harvest index in rice. J. Exp. Bot. 2010, 61, 3177–3189. [Google Scholar] [CrossRef]
- Liu, Z.; Qin, A.; Zhang, J.; Sun, J.; Ning, D.; Zhao, B.; Xiao, J.; Liu, Z.; Duan, A. Maize yield as a function of water availability across precipitation years in the North China Plain. Crop. Sci. 2017, 57, 2226–2237. [Google Scholar] [CrossRef]
- Herbst, M.; Kappen, L.; Thamm, F.; Vanselow, R. Simultaneous measurements of transpiration, soil evaporation and total evaporation in a maize field in northern Germany. J. Exp. Bot. 1996, 47, 1957–1962. [Google Scholar] [CrossRef]






| Depth (cm) | Bulk Density (g cm−3) | Field Capacity (cm3 cm−3) | pH | Willing Point (cm3 cm−3) | Mechanical Composition (%) | Soil Texture | ||
|---|---|---|---|---|---|---|---|---|
| Sand | Slit | Clay | ||||||
| 0–20 | 1.29 | 0.39 | 6.57 | 0.15 | 31.92 | 44.89 | 23.19 | Clay loam |
| 20–40 | 1.38 | 0.35 | 6.77 | 0.14 | 28.55 | 42.63 | 28.82 | Clay loam |
| 40–60 | 1.40 | 0.35 | 6.58 | 0.11 | 29.78 | 37.86 | 32.36 | Clay loam |
| 60–80 | 1.45 | 0.34 | 6.82 | 0.11 | 30.27 | 30.15 | 39.58 | Clay loam |
| 80–100 | 1.47 | 0.34 | 6.79 | 0.10 | 26.79 | 30.44 | 42.77 | Clay |
| Year | Sowing to Jointing Stage | Jointing to Tasseling Stage | Tasseling to Maturing Stage | Total Amount | |||||
|---|---|---|---|---|---|---|---|---|---|
| 2017 | Date | 2 July | 11 July | 20 July | 31 July | 11 August | 27 August | 11 September | 320 mm |
| Amount | 30 mm | 30 mm | 40 mm | 40 mm | 60 mm | 60 mm | 60 mm | ||
| 2018 | Date | 1 July | 10 July | 19 July | 29 July | 9 August | 25 August | 11 September | 320 mm |
| Amount | 30 mm | 30 mm | 40 mm | 40 mm | 60 mm | 60 mm | 60 mm | ||
| Factors | SWD (mm) | DP (mm) | ET (mm) |
|---|---|---|---|
| IWS | |||
| SL | 35.34a | 18.19a | 337.14b |
| SH | 46.29b | 33.73b | 312.56a |
| SIR | |||
| R0 | 50.33c | 17.30a | 353.04c |
| R1 | 45.08b | 22.06b | 343.02b |
| R2 | 40.89ab | 27.19bc | 333.70ab |
| R3 | 34.97a | 29.37bc | 325.59a |
| R4 | 32.83a | 33.90c | 318.92a |
| YEAR | |||
| 2017 | 38.85a | 22.02a | 336.82b |
| 2018 | 42.79b | 29.91b | 322.88a |
| ANOVA | |||
| IWS | ** | ** | ** |
| SIR | ** | ** | ** |
| YEAR | ** | ** | * |
| IWS × SIR | * | ** | 0.36 |
| IWS × YEAR | ** | 0.31 | 0.19 |
| SIR × YEAR | 0.31 | 0.26 | 0.07 |
| IWS × SIR × YEAR | 0.42 | 0.51 | 0.77 |
| Factors | Moisture Content (cm−3 cm−3) | ||||
|---|---|---|---|---|---|
| 0–20 cm | 20–40 cm | 40–60 cm | 60–80 cm | 80–100 cm | |
| IWS | |||||
| SL | 0.225b | 0.287b | 0.314b | 0.322b | 0.330a |
| SH | 0.194a | 0.273a | 0.286a | 0.297a | 0.319a |
| SIR | |||||
| R0 | 0.239d | 0.262a | 0.279a | 0.288a | 0.307a |
| R1 | 0.218cd | 0.272ab | 0.297b | 0.303b | 0.321ab |
| R2 | 0.206c | 0.277ab | 0.305bc | 0.311bc | 0.330b |
| R3 | 0.197b | 0.287b | 0.304bc | 0.320c | 0.331b |
| R4 | 0.190a | 0.300c | 0.315c | 0.324c | 0.334b |
| YEAR | |||||
| 2017 | 0.218b | 0.286b | 0.302a | 0.313a | 0.327a |
| 2018 | 0.204a | 0.275a | 0.300a | 0.307a | 0.322a |
| ANOVA | |||||
| IWS | ** | ** | ** | ** | 0.523 |
| SIR | ** | ** | ** | ** | ** |
| YEAR | ** | * | 0.860 | 0.228 | 0.104 |
| IWS × SIR | 0.891 | 0.658 | 0.424 | 0.298 | 0.614 |
| IWS × YEAR | 0.536 | 0.089 | 0.083 | 0.103 | 0.422 |
| SIR × YEAR | 0.787 | 0.887 | 0.932 | 0.426 | 0.737 |
| IWS × SIR × YEAR | 0.544 | 0.680 | 0.342 | 0.978 | 0.877 |
| Factors | SSH (kg) | SSB (kg) | SSH-SSB (kg) | SSR (kg) |
|---|---|---|---|---|
| IWS | ||||
| SL | 6.19a | 1.99a | 4.20a | 0.88a |
| SH | 8.90b | 2.04a | 6.86b | 0.86a |
| SIR | ||||
| R0 | 8.09c | 1.98ab | 6.11d | 0.96c |
| R1 | 7.74bc | 2.02ab | 5.73cd | 0.90bc |
| R2 | 7.52abc | 1.99ab | 5.52c | 0.86b |
| R3 | 7.34ab | 1.89a | 5.45b | 0.86b |
| R4 | 7.05a | 2.21b | 4.84a | 0.78a |
| YEAR | ||||
| 2017 | 7.20a | 1.59a | 5.61a | 0.88a |
| 2018 | 7.90b | 2.44b | 5.45a | 0.86a |
| ANOVA | ||||
| IWS | ** | 0.50 | ** | 0.35 |
| SIR | * | 0.06 | ** | ** |
| YEAR | ** | ** | 0.28 | 0.21 |
| IWS × SIR | 0.524 | 0.80 | 0.60 | 0.92 |
| IWS × YEAR | 0.649 | 0.11 | 0.91 | 0.92 |
| SIR × YEAR | 0.686 | 0.63 | 0.85 | 0.65 |
| IWS × SIR × YEAR | 0.163 | 0.13 | 0.47 | 0.20 |
| Variation | Grain Yield (kg ha−1) | Biomass Yield (kg ha−1) | HI | WUEg (kg ha−1 mm−1) | WUEb (kg ha−1 mm−1) |
|---|---|---|---|---|---|
| IWS | |||||
| SL | 6141b | 14,563b | 0.41a | 17.69b | 41.94b |
| SH | 5532a | 12,831a | 0.43b | 15.23a | 39.95a |
| SIR | |||||
| R0 | 5355a | 12,772a | 0.42a | 15.13a | 36.07a |
| R1 | 5714b | 13,441b | 0.43a | 16.63b | 39.10b |
| R2 | 5926c | 13,779c | 0.43a | 17.74bc | 41.23c |
| R3 | 6053cd | 14,190d | 0.43a | 18.63c | 43.96cd |
| R4 | 6136d | 14,304d | 0.43a | 19.17c | 44.67d |
| YEAR | |||||
| 2017 | 6131b | 14,415b | 0.43a | 18.00b | 42.28b |
| 2018 | 5542a | 12,979a | 0.43a | 16.92a | 39.61a |
| ANOVA | |||||
| IWS | ** | ** | * | ** | ** |
| SIR | ** | ** | 0.91 | ** | ** |
| YEAR | ** | ** | 0.46 | ** | ** |
| IWS × SIR | 0.14 | 0.13 | 0.80 | * | * |
| IWS × YEAR | ** | ** | 0.77 | ** | ** |
| SIR × YEAR | 0.91 | 0.57 | 0.95 | 0.89 | 0.39 |
| IWS × SIR × YEAR | 0.98 | 0.96 | 0.93 | 0.78 | 0.46 |
| Year | Yield Increasing Rate (%) | Fitting Function | Best Fit ymax | Best Fit a | Best Fit b |
|---|---|---|---|---|---|
| 2017 | grain yield level under SL | y = ymax(1 − e−ax)b | 0.0839 | 0.1466 | 1.100 |
| grain yield level under SH | 0.2396 | 0.0515 | 0.6301 | ||
| biomass yield level under SL | 0.0794 | 0.0861 | 1.1973 | ||
| biomass yield level under SH | 0.2333 | 0.0306 | 0.5933 | ||
| 2018 | grain yield level under SL | 0.1578 | 0.0922 | 1.1113 | |
| grain yield level under SH | 0.2522 | 0.1398 | 1.1444 | ||
| biomass yield level under SL | 0.1382 | 0.0813 | 0.8703 | ||
| biomass yield level under SH | 0.2540 | 0.0949 | 1.1855 |
© 2019 by the authors. Licensee MDPI, Basel, Switzerland. This article is an open access article distributed under the terms and conditions of the Creative Commons Attribution (CC BY) license (http://creativecommons.org/licenses/by/4.0/).
Share and Cite
Lu, P.; Zhang, Z.; Sheng, Z.; Huang, M.; Zhang, Z. Effect of Surface Straw Incorporation Rate on Water–Salt Balance and Maize Yield in Soil Subject to Secondary Salinization with Brackish Water Irrigation. Agronomy 2019, 9, 341. https://doi.org/10.3390/agronomy9070341
Lu P, Zhang Z, Sheng Z, Huang M, Zhang Z. Effect of Surface Straw Incorporation Rate on Water–Salt Balance and Maize Yield in Soil Subject to Secondary Salinization with Brackish Water Irrigation. Agronomy. 2019; 9(7):341. https://doi.org/10.3390/agronomy9070341
Chicago/Turabian StyleLu, Peirong, Zhanyu Zhang, Zhuping Sheng, Mingyi Huang, and Zemin Zhang. 2019. "Effect of Surface Straw Incorporation Rate on Water–Salt Balance and Maize Yield in Soil Subject to Secondary Salinization with Brackish Water Irrigation" Agronomy 9, no. 7: 341. https://doi.org/10.3390/agronomy9070341
APA StyleLu, P., Zhang, Z., Sheng, Z., Huang, M., & Zhang, Z. (2019). Effect of Surface Straw Incorporation Rate on Water–Salt Balance and Maize Yield in Soil Subject to Secondary Salinization with Brackish Water Irrigation. Agronomy, 9(7), 341. https://doi.org/10.3390/agronomy9070341

