Improved Accumulation Capabilities of Phosphorus and Potassium in Green Manures and Its Relationship with Soil Properties and Enzymatic Activities
Abstract
1. Introduction
2. Materials and Methods
2.1. Experimental Design
2.2. Sampling
2.3. Determination of Soil and Plant
2.4. Soil Enzymatic Activities Measurements
2.5. Statistical Analyses
3. Results
3.1. Plant Biomass and P and K Uptake
3.2. Effects of Winter Legume Species on Soil P and K
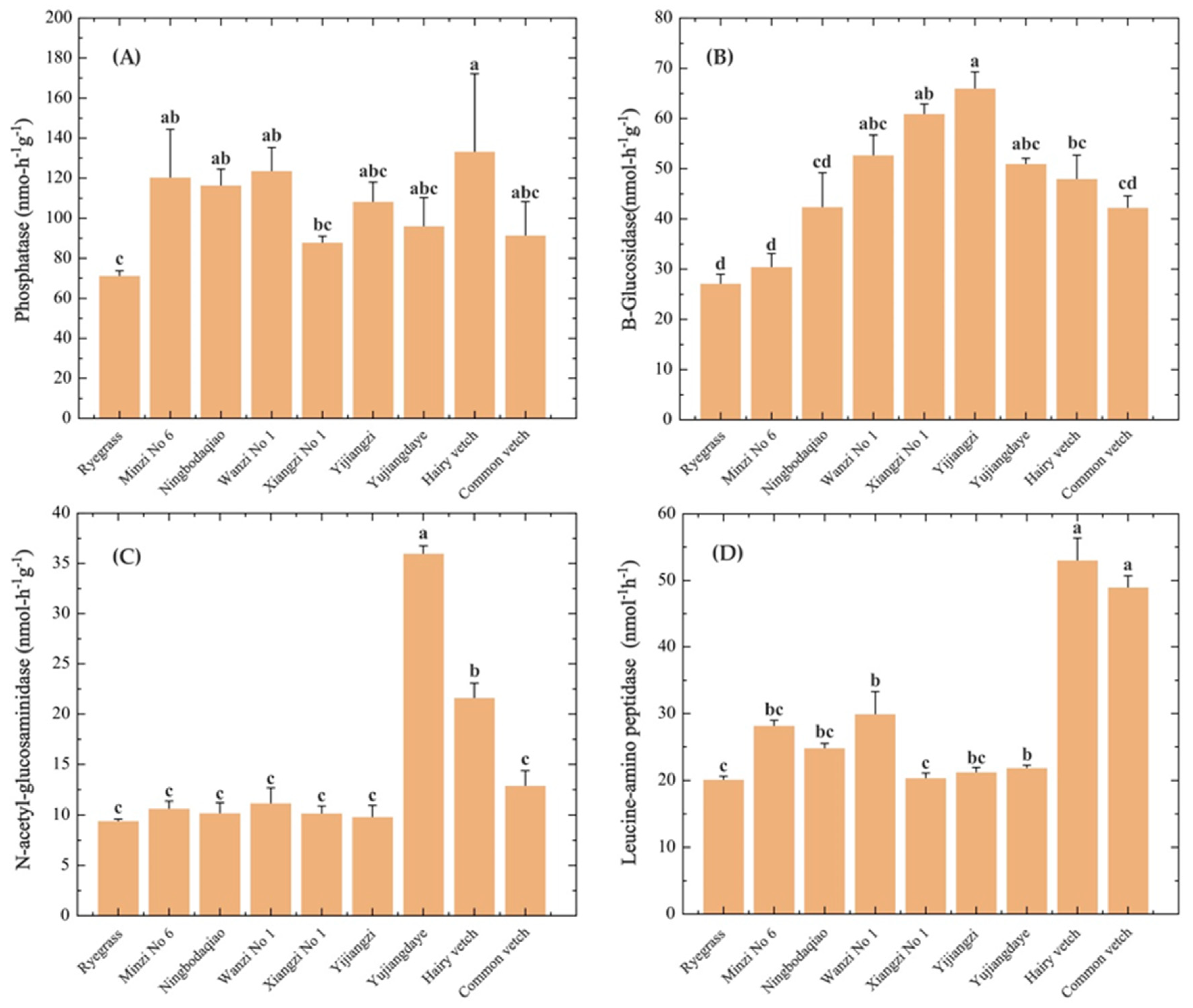
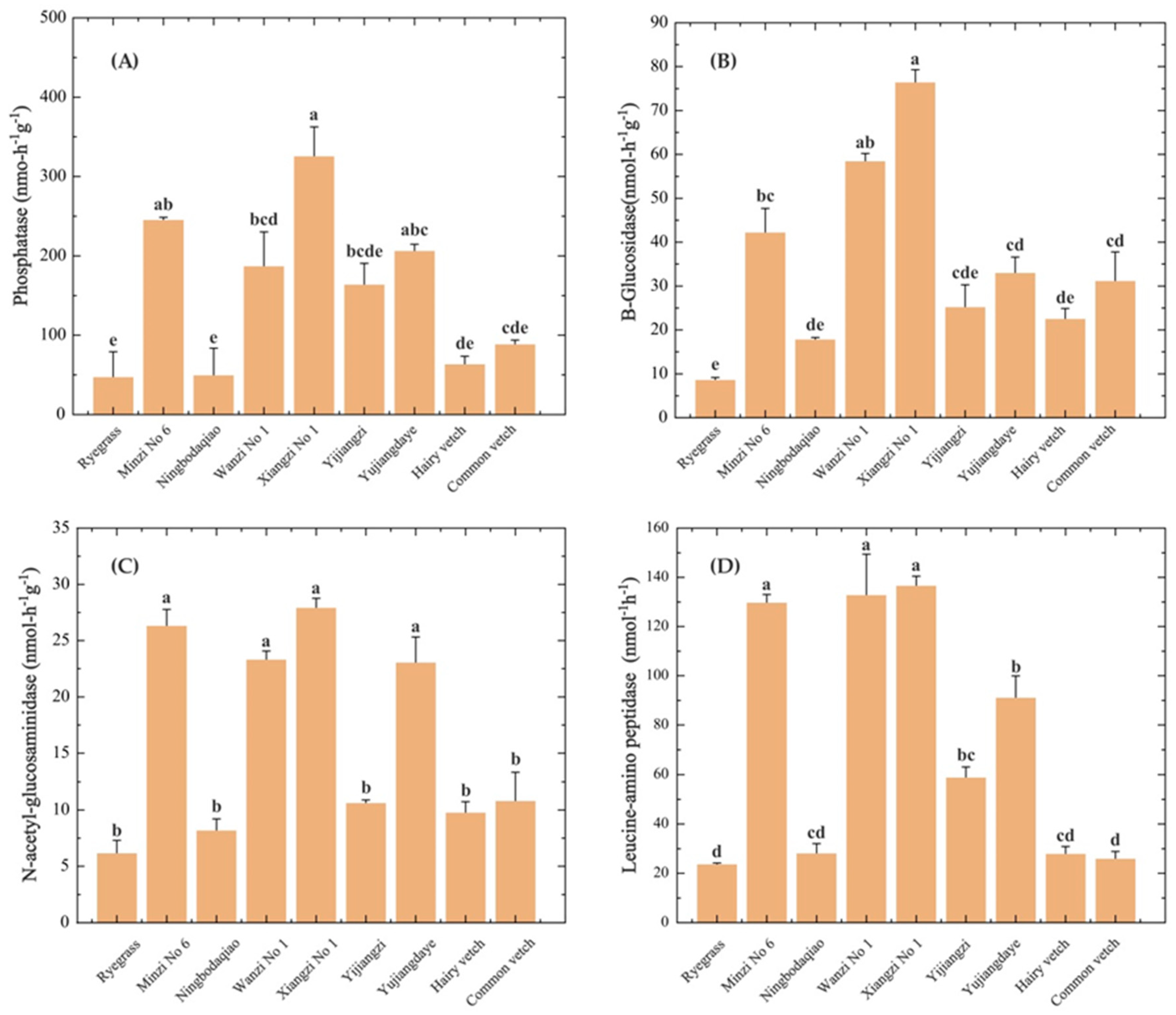
3.3. Soil Enzymatic Activities
3.4. Correlation between P, K Uptake, and Soil Enzymes
3.5. Correlation among Soil pH and Soil P, K
3.6. Correlation between Soil Enzymes and Soil Properties
3.7. Correlation between Legumes and Soil Properties
4. Discussion
4.1. Plant. P and K Uptake and Soil Nutrient Availability
4.2. Effect of Legume Species on Enzymatic Activities
4.3. Relationship among P and K Uptake, Soil Properties, and Enzymatic Activities
5. Conclusions
Author Contributions
Funding
Conflicts of Interest
References
- Balemi, T.; Negisho, K. Management of soil phosphorus and plant adaptation mechanisms to phosphorus stress for sustainable crop production: A review. J. Soil Sci. Plant Nutr. 2012, 12, 547–561. [Google Scholar] [CrossRef]
- Wang, M.; Zheng, Q.; Shen, Q.; Guo, S. The critical role of potassium in plant stress response. Int. J. Mol. Sci. 2013, 14, 7370–7390. [Google Scholar] [CrossRef] [PubMed]
- Cordell, D.; Rosemarin, A.; Schröder, J.J.; Smit, A.L. Towards global phosphorus security: A systems framework for phosphorus recovery and reuse options. Chemosphere 2011, 84, 747–758. [Google Scholar] [CrossRef] [PubMed]
- Vance, C.P.; Uhde-Stone, C.; Allan, D.L. Phosphorus acquisition and use: Critical adaptations by plants for securing a nonrenewable resource. New Phytol. 2003, 157, 423–447. [Google Scholar] [CrossRef]
- Meena, B.; Fagodiya, R.K.; Kaledhonkar, M.J.; Meena, R.S. Legumes for Soil Health and Sustainable Management; Springer: Berlin/Heidelberg, Germany, 2018. [Google Scholar]
- Richardson, A.E.; Hocking, P.J.; Simpson, R.J.; George, T.S. Plant mechanisms to optimise access to soil phosphorus. Crop. Pasture Sci. 2009, 60, 124. [Google Scholar] [CrossRef]
- Suriyagoda, L.D.B.; Ryan, M.H.; Renton, M.; Lambers, H. Adaptive shoot and root responses collectively enhance growth at optimum temperature and limited phosphorus supply of three herbaceous legume species. Ann. Bot. 2012, 110, 959–968. [Google Scholar] [CrossRef]
- Qi, Z.; Spalding, E.P. Protection of plasma membrane K+ transport by the salt overly sensitive1 Na+-H+ antiporter during salinity stress. Plant Physiol. 2004, 136, 2548–2555. [Google Scholar] [CrossRef]
- Smith, F.A.; Jansa, J.; Finlay, R.; Smith, S.E. Role of Mycorrhizal Symbioses in Phosphorus Cycling. In Phosphorus in Action; Springer: Berlin/Heidelberg, Germany, 2011. [Google Scholar]
- Zanatta, J.A.; Bayer, C.; Dieckow, J.; Vieira, F.C.B.; Mielniczuk, J. Soil organic carbon accumulation and carbon costs related to tillage, cropping systems and nitrogen fertilization in a subtropical Acrisol. Soil Tillage Res. 2007, 94, 510–519. [Google Scholar] [CrossRef]
- Ntakirutimana, L.; Li, F.; Huang, X.; Wang, S.; Yin, C. Green manure planting incentive measures of local authorities and farmers’ perceptions of the utilization of rotation fallow for sustainable agriculture in Guangxi, China. Sustainability 2019, 11, 2723. [Google Scholar] [CrossRef]
- Requejo, M.I.; Eichler-Löbermann, B. Organic and inorganic phosphorus forms in soil as affected by long-term application of organic amendments. Nutr. Cycl. Agroecosystems 2014, 100, 245–255. [Google Scholar] [CrossRef]
- Sulieman, S.; Ha, C.V.; Schulze, J.; Tran, L.S.P. Growth and nodulation of symbiotic Medicago truncatula at different levels of phosphorus availability. J. Exp. Bot. 2013, 64, 2701–2712. [Google Scholar] [CrossRef]
- Fageria, N.K.; Baligar, V.C.; Bailey, B.A. Role of Cover Crops in Improving Soil and Row Crop Productivity. Commun. Soil Sci. Plant Anal. 2005, 36, 2733–2757. [Google Scholar] [CrossRef]
- Li, L.; Tang, C.; Rengel, Z.; Zhang, F. Chickpea facilitates phosphorus uptake by intercropped wheat from an organic phosphorus source. Plant Soil. 2003, 248, 297–303. [Google Scholar] [CrossRef]
- Nuruzzaman, M.; Lambers, H.; Bolland, M.D.A.; Veneklaas, E.J. Phosphorus benefits of different legume crops to subsequent wheat grown in different soils of Western Australia. Plant Soil. 2005, 271, 175–187. [Google Scholar] [CrossRef]
- N’Dayegamiye, A.; Tran, T. Sen Effects of green manures on soil organic matter and wheat yields and N nutrition. Can. J. Soil Sci. 2001, 81, 371–382. [Google Scholar] [CrossRef]
- Liu, Y.; Mi, G.; Chen, F.; Zhang, J.; Zhang, F. Rhizosphere effect and root growth of two maize (Zea mays L.) genotypes with contrasting P efficiency at low P availability. Plant Sci. 2004, 167, 217–223. [Google Scholar] [CrossRef]
- Maseko, S.T.; Dakora, F.D. Rhizosphere acid and alkaline phosphatase activity as a marker of P nutrition in nodulated Cyclopia and Aspalathus species in the Cape fynbos of South Africa. South Afr. J. Bot. 2013, 89, 289–295. [Google Scholar] [CrossRef]
- Chodak, M.; Niklińska, M. Development of microbial biomass and enzyme activities in mine soils. Pol. J. Env. Stud. 2012, 21, 569–577. [Google Scholar]
- Nannipieri, P.; Giagnoni, L.; Renella, G.; Puglisi, E.; Ceccanti, B.; Masciandaro, G.; Fornasier, F.; Moscatelli, M.C.; Marinari, S. Soil enzymology: Classical and molecular approaches. Biol. Fertil. Soils 2012, 48, 743–762. [Google Scholar] [CrossRef]
- Caravaca, F.; Masciandaro, G.; Ceccanti, B. Land use in relation to soil chemical and biochemical properties in a semiarid Mediterranean environment. Soil Tillage Res. 2002, 68, 23–30. [Google Scholar] [CrossRef]
- Kim, S.Y.; Lee, C.H.; Gutierrez, J.; Kim, P.J. Contribution of winter cover crop amendments on global warming potential in rice paddy soil during cultivation. Plant Soil. 2013, 366, 273–286. [Google Scholar] [CrossRef]
- Melero, S.; Porras, J.C.R.; Herencia, J.F.; Madejon, E. Chemical and biochemical properties in a silty loam soil under conventional and organic management. Soil Tillage Res. 2006, 90, 162–170. [Google Scholar] [CrossRef]
- Berland, R.; Kjersti, A.; Azzaroli, M.; Riley, H.; Pommeresche, R.; Thorup-kristensen, K.; Hansen, S. Effects of green manure herbage management and its digestate from biogas production on barley yield, N recovery, soil structure and earthworm populations. Eur. J. Agron. 2014, 52, 90–102. [Google Scholar]
- Fageria, N.K.; Gheyi, H.R.; Carvalho, M.C.S.; Moreira, A.; Gheyi, H.R.; Carvalho, M.C.S.; Moreira, A. Root growth, nutrient uptake and use efficiency by roots of tropical legume cover crops as influenced by phosphorus fertilization. J. Plant Nutr. 2016, 39, 781–792. [Google Scholar] [CrossRef]
- Tibbett, M.; Cawthray, G. Variation in morphological and physiological parameters in herbaceous perennial legumes in response to phosphorus. Plant Soil. 2014, 331, 241–255. [Google Scholar]
- Eichler, B.; Caus, M.; Schnug, E.; Köppen, D. Soil acid and alkaline phosphatase activities in regulation to crop species and fungal treatment. Landbauforsch Völkenrode 2004, 54, 1–5. [Google Scholar]
- Kosteckas, R.; Marcinkevičienė, A. The integrated evaluation of the influence of catch crops and manure on spring barley agrocenosis in organic farming. Agron. Res. 2009, 7, 355–362. [Google Scholar]
- Hendrikson, A.; Selmer-Olsen, A.R. Automatic Methods for Determination of Nitrate and Nitrite in Water and Soil Extracts. Analyst 1970, 95, 514–518. [Google Scholar] [CrossRef]
- Nelson, D.; Sommers, L. Chemical Methods Soil Science Society of America Book Series; Soil Science Society of America: Madison, WI, USA, 1996; pp. 961–1010. [Google Scholar]
- Nelson, D.W. Total Carbon, Organic Carbon, and Organic Matter. In Methods of Soil Analysis; Soil Science Society of America: Madison, WI, USA, 1996. [Google Scholar]
- Murphy, J.; Riley, J.P. A modified single solution method for the determination of phosphate in natural waters. Anal. Chim. Acta 1962, 27, 31–36. [Google Scholar] [CrossRef]
- Sparks, D.L.; Page, A.L.; Helmke, P.A.; Loeppert, R.H.; Zelazny, L.W.; He, L.; Vanwormhoudt, A. Charge Analysis of Soils and Anion Exchange; Chapter 41; Soil Science Society of America: Madison, WI, USA, 1996; pp. 1231–1253. [Google Scholar]
- Aleixo, G.T.; Afonso, C.R.M.; Coelho, A.A.; Caram, R. Effects of omega phase on elastic modulus of Ti-Nb alloys as a function of composition and cooling rate. Solid State Phenom. 2008, 138, 393–398. [Google Scholar] [CrossRef]
- Soon, Y.K.; Kalra, Y.P. A comparison of plant tissue digestion methods for nitrogen and phosphorus analyses. Can. J. Soil Sci. 1995, 75, 243–245. [Google Scholar] [CrossRef]
- Walker, J.M.; Barber, S.A. Absorption of potassium and rubidium from the soil by corn roots. Plant Soil 1962, 17, 243–259. [Google Scholar] [CrossRef]
- Saiya-Cork, K.R.; Sinsabaugh, R.L.; Zak, D.R. The effects of long term nitrogen deposition on extracellular enzyme activity in an Acer saccharum forest soil. Soil Biol. Biochem. 2002, 34, 1309–1315. [Google Scholar] [CrossRef]
- Deforest, J.L. Soil Biology & Biochemistry The influence of time, storage temperature, and substrate age on potential soil enzyme activity in acidic forest soils using MUB-linked substrates and L -DOPA. Soil Biol. Biochem. 2009, 41, 1180–1186. [Google Scholar]
- Anugroho, F.; Kitou, M.; Nagumo, F.; Kinjo, K.; Jayasinghe, G.Y. Potential growth of hairy vetch as a winter legume cover crops in subtropical soil conditions. Soil Sci. Plant Nutr. 2010, 56, 254–262. [Google Scholar] [CrossRef]
- Silvertown, J. Plant competition. Nature 1989, 337, 122–123. [Google Scholar] [CrossRef]
- Lynch, J.P. Turner review no. 14. Roots of the second green revolution. Aust. J. Bot. 2007, 55, 493–512. [Google Scholar] [CrossRef]
- Hammond, J.P.; Broadley, M.R.; White, P.J.; King, G.J.; Bowen, H.C.; Hayden, R.; Meacham, M.C.; Mead, A.; Overs, T.; Spracklen, W.P.; et al. Shoot yield drives phosphorus use efficiency in Brassica oleracea and correlates with root architecture traits. J. Exp. Bot. 2009, 60, 1953–1968. [Google Scholar] [CrossRef]
- Hammond, J.P.; White, P.J. Sucrose transport in the phloem: Integrating root responses to phosphorus starvation. J. Exp. Bot. 2008, 59, 93–109. [Google Scholar] [CrossRef] [PubMed]
- Schilling, G.; Gransee, A.; Deuhel, A.; Ležoviž, G.; Ruppel, S. Phosphorus availability, root exudates, and microbial activity in the rhizosphere. Z. Für Pflanz. Und Bodenkd 1998, 161, 465–478. [Google Scholar] [CrossRef]
- Sujatha, D.V.; Kavitha, P.; Naidu, M.V.S. Influence of Green Manure and Potassium Nutrition on Soil Potassium Fractions and Yield of Rice Crop. Int. J. Curr. Microbiol. Appl. Sci. 2017, 6, 13–23. [Google Scholar] [CrossRef]
- Amin, M.; Jamshid, H.R.; Khan, E.A.; Ramzan, M. Comparative response of diverse rice varieties to green manuring (Sesbania aculeata). J. Res. Sci. 2005, 16, 39–43. [Google Scholar]
- Elfstrand, S.; Hedlund, K.; Mårtensson, A. Soil enzyme activities, microbial community composition and function after 47 years of continuous green manuring. Appl. Soil Ecol. 2007, 35, 610–621. [Google Scholar] [CrossRef]
- Maltais-Landry, G.; Frossard, E. Similar phosphorus transfer from cover crop residues and water-soluble mineral fertilizer to soils and a subsequent crop. Plant Soil 2015, 393, 193–205. [Google Scholar] [CrossRef]
- Alori, E.T.; Glick, B.R.; Babalola, O.O. Microbial phosphorus solubilization and its potential for use in sustainable agriculture. Front Microbiol. 2017, 8, 1–8. [Google Scholar] [CrossRef]
- Gahoonia, T.S.; Nielsen, N.E. Phosphorus (P) uptake and growth of a root hairless barley mutant (bald root barley, brb) and wild type in low- and high-P soils. Plant cell Env. 2003, 26, 1759–1766. [Google Scholar] [CrossRef]
- Shane, M.W.; Cramer, M.D.; Funayama-Noguchi, S.; Cawthray, G.R.; Millar, A.H.; Day, D.A.; Lambers, H. Developmental physiology of cluster-root carboxylate synthesis and exudation in harsh hakea. Expression of phosphoenolpyruvate carboxylase and the alternative oxidase. Plant Physiol. 2004, 135, 549–560. [Google Scholar] [CrossRef]
- Kai, M.; Takazumi, K.; Adachi, H.; Wasaki, J.; Shinano, T.; Osaki, M. Cloning and characterization of four phosphate transporter cDNAs in tobacco. Plant Sci. 2002, 163, 837–846. [Google Scholar] [CrossRef]
- Mukumbareza, C.; Muchaonyerwa, P.; Chiduza, C. Effects of oats and grazing vetch cover crops and fertilisation on microbial biomass and activity after five years of rotation with maize. South Afr. J. Plant Soil. 2015, 32, 189–197. [Google Scholar] [CrossRef]
- Piotrowska-Długosz, A.; Wilczewski, E. Changes in enzyme activities as affected by green-manure catch crops and mineral nitrogen fertilization. Zemdirbyste 2014, 101, 139–146. [Google Scholar] [CrossRef][Green Version]
- Thorup-Kristensen, K.; Magid, J.; Jensen, L.S. Catch crops and green manures as biological tools in nitrogen management in temperate zones. Adv. Agron. 2003, 79, 227–302. [Google Scholar]
- Dinesh, R.; Suryanarayana, M.A.; Ghoshal Chaudhuri, S.; Sheeja, T.E. Long-term influence of leguminous cover crops on the biochemical properties of a sandy clay loam Fluventic Sulfaquent in a humid tropical region of India. Soil Tillage Res. 2004, 77, 69–77. [Google Scholar] [CrossRef]
- Tejada, M.; García-Martínez, A.M.; Parrado, J. Effects of a vermicompost composted with beet vinasse on soil properties, soil losses and soil restoration. Catena 2009, 77, 238–247. [Google Scholar] [CrossRef]
- Roldán, A.; Caravaca, F.; Hernández, M.T.; García, C.; Sánchez-Brito, C.; Velásquez, M.; Tiscareño, M. No-tillage, crop residue additions, and legume cover cropping effects on soil quality characteristics under maize in Patzcuaro watershed (Mexico). Soil Tillage Res. 2003, 72, 65–73. [Google Scholar] [CrossRef]
- Yang, K.; Zhu, J.; Yan, Q.; Zhang, J. Soil enzyme activities as potential indicators of soluble organic nitrogen pools in forest ecosystems of Northeast China. Ann. Sci. 2012, 69, 795–803. [Google Scholar] [CrossRef]
- Xu, Z.; Yu, G.; Zhang, X.; Ge, J.; He, N.; Wang, Q.; Wang, D. The variations in soil microbial communities, enzyme activities and their relationships with soil organic matter decomposition along the northern slope of Changbai Mountain. Appl. Soil Ecol. 2014, 86, 19–29. [Google Scholar] [CrossRef]
- Shen, Q.; Wen, Z.; Dong, Y.; Li, H.; Miao, Y.; Shen, J. The responses of root morphology and phosphorus-mobilizing exudations in wheat to increasing shoot phosphorus concentration. J. Environ. Eva. Plant Biol. 2018, 10, 1–11. [Google Scholar] [CrossRef]
- Margalef, O.; Sardans, J.; Fernández-Martínez, M.; Molowny-Horas, R.; Janssens, I.A.; Ciais, P.; Goll, D.; Richter, A.; Obersteiner, M.; Asensio, D.; et al. Global patterns of phosphatase activity in natural soils. Sci. Rep. 2017, 7, 1–13. [Google Scholar] [CrossRef]
- Waldrop, M.P.; Harden, J.W.; Turetsky, M.R.; Petersen, D.G.; McGuire, A.D.; Briones, M.J.I.; Churchill, A.C.; Doctor, D.H.; Pruett, L.E. Bacterial and enchytraeid abundance accelerate soil carbon turnover along a lowland vegetation gradient in interior Alaska. Soil Biol. Biochem. 2012, 50, 188–198. [Google Scholar] [CrossRef]
- Hossain, M. Correlations of available phosphorus and potassium with pH and organic matter content in the different forested soil and hill tracts banagadesh. Int. J. Soil Eros. 2014, 4, 7–10. [Google Scholar]
- Penn, C.J.; Camberato, J.J. A Critical Review on Soil Chemical Processes that Control How Soil pH Affects Phosphorus Availability to Plants. Agriculture 2019, 9, 120. [Google Scholar] [CrossRef]
- Khadka, D.; Lamichhane, S.; Thapa, B. Khadka, D.; Lamichhane, S.; Thapa, B. Assessment of relationship between soil pH and macronutrients, Western Nepal. J. Bio. Physi. Sci. 2016, 6, 303–311. [Google Scholar]
- Marcin, K.; MICHA£, S.; ANWAR, H.J. Relationship between available and exchangeable K. Pol. J. Soil Sci. 2005, 2, 179–186. [Google Scholar]
- Wallenius, K.; Rita, H.; Mikkonen, A.; Lappi, K.; Lindström, K.; Hartikainen, H.; Raateland, A.; Niemi, R.M. Effects of land use on the level, variation and spatial structure of soil enzyme activities and bacterial communities. Soil Biol. Biochem. 2011, 43, 1464–1473. [Google Scholar] [CrossRef]
- Cenini, V.L.; Fornara, D.A.; McMullan, G.; Ternan, N.; Carolan, R.; Crawley, M.J.; Clément, J.C.; Lavorel, S. Linkages between extracellular enzyme activities and the carbon and nitrogen content of grassland soils. Soil Biol. Biochem. 2016, 96, 198–206. [Google Scholar] [CrossRef]
- Xing, S.; Chen, C.; Zhou, B.; Zhang, H.; Nang, Z.; Xu, Z. Soil soluble organic nitrogen and active microbial characteristics under adjacent coniferous and broadleaf plantation forests. J. Soils Sediments 2010, 10, 748–757. [Google Scholar] [CrossRef]
- Hallama, M.; Pekrun, C.; Lambers, H.; Kandeler, E. Hidden miners – the roles of cover crops and soil microorganisms in phosphorus cycling through agroecosystems. Plant Soil. 2019, 434, 7–45. [Google Scholar] [CrossRef]
- Olander, L.P.; Vitousek, P.M. Regulation of soil phosphatase and chitinase activity by N and P availability. Biogeochemistry 2000, 49, 175–190. [Google Scholar] [CrossRef]
- Balota, E.L.; Chaves, J.C.D. Enzymatic activity and mineralization of carbon and nitrogen in soil cultivated with coffee and green manures. Rev. Bras. Ciência Do Solo 2010, 34, 1573–1583. [Google Scholar] [CrossRef]




| Particular | Guangxi Site | Hunan Site |
|---|---|---|
| Geographical coordinate | 20° 54’ N, 104° 29’ E | 30° 08’ N, 108° 47’ E |
| Altitude (m) | 99 | 100 |
| MAT (°C) | 27.7 | 20.2 |
| MAP (mm) | 1750 | 1700 |
| Climatic zone | Subtropical | Subtropical |
| Cropping system | Double paddy rice—green manure | Double paddy rice—green manure |
| Basic Soil Properties | Guangxi Site | Hunan Site |
|---|---|---|
| SOM (%) | 1.2 | 1.0 |
| TN (g kg−1) | 0.84 | 0.73 |
| AP (mg kg−1) | 45.5 | 11.2 |
| AK (mg kg−1) | 134.9 | 122.0 |
| pH (1:2.5) | 7.5 | 6.3 |
| CEC (cmol kg−1) | 12.21 | 10.32 |
| Soil Texture | Silty clay | Clay loam |
| Phosphatase (nmol h−1 g−1) | 73.2 | 128 |
| β-glucosidase (nmol h−1 g−1) | 35.0 | 38.2 |
| N-acetyl-glucosaminidase (nmol h−1 g−1) | 12.1 | 15.2 |
| Leucine-aminopeptidase nmol h−1 g−1) | 42.6 | 75.3 |
| Enzymes | Substrate | EC |
|---|---|---|
| Phosphatase | 4-MUB-phosphatase | 3.1.3.1 |
| β-Glucosidase | 4-MUB-β-D-glucosidee | 3.2.1.21 |
| N-acetyl-glucosaminidase | 4-MUB-N-acetyl-b-D-glucosaminide | 3.2.1.30 |
| Leucine-aminopeptidase | L-Leucine-7-amino-4-methylcoumarin | 3.4.11.1 |
| Species | Guangxi Site | Hunan Site | ||||
|---|---|---|---|---|---|---|
| Dry Biomass (g m−2) | P Uptake (g m−2) | K Uptake (g m−2) | Dry Biomass (g m−2) | P Uptake (g m−2) | K Uptake (g m−2) | |
| Ryegrass | 497.5 ± 45.2 c | 1.55 ± 0.09 c | 12.5 ± 0.3 c | 150.0 ± 10.0 c | 0.46 ± 0.04 c | 4.56 ± 0.41 b |
| Minzi No. 6 | 921.04 ± 31.3 b | 3.39 ± 0.18 b | 29.9 ± 0.29 b | 194.7 ± 22.2 c | 0.50 ± 0.07 c | 7.65 ± 2.62 ab |
| Ningbodaqiao | 636.4 ± 51.4 bc | 2.84 ± 0.38 bc | 21.5 ± 2.23 bc | 152.0 ± 15.0 c | 0.53 ± 0.06 c | 7.96 ± 2.06 ab |
| Wanzi No. 1 | 793.5 ± 32.9 bc | 2.84 ± 0.12 bc | 29.6 ± 1.85 b | 206.0 ± 13.2 c | 0.71 ± 0.03 c | 5.99 ± 0.54 ab |
| Xiangzi No.1 | 636.2 ± 27.0 bc | 2.66 ± 0.19 bc | 22.8 ± 1.62 bc | 208.0 ± 13.1 c | 0.70 ± 0.06 c | 7.07 ± 0.78 ab |
| Yijiangzi | 652.5 ± 88.6 bc | 2.76 ± 0.22 bc | 24.3 ± 2.99 bc | 192 ± 4.62 c | 0.62 ± 0.08 c | 6.20 ± 0.33 ab |
| Yujiangdaye | 920.5 ± 94.6 b | 3.14 ± 0.39 b | 33.8 ± 3.66 ab | 172 ± 8.33 c | 0.72 ± 0.05 c | 5.14 ± 0.40 ab |
| Hairy vetch | 1454.2 ± 165.8 a | 5.56 ± 0.60 a | 45.5 ± 5.22 a | 382.5 ± 27.8 a | 1.79 ± 0.13 a | 10.5 ± 0.65 a |
| Common vetch | 865.1 ± 37.2 b | 3.05 ± 0.31 b | 30.8 ± 1.70 b | 295.0 ± 15.5 b | 1.16 ± 0.17 b | 9.97 ± 0.62 ab |
| Species | Guangxi Site | Hunan Site | ||
|---|---|---|---|---|
| P (mg kg−1) | K (mg kg−1) | P (mg kg−1) | K (mg kg−1) | |
| Ryegrass | 48.3 ± 1.79 c | 103.4 ± 3.02 d | 13.6 ± 0.50 bc | 110.3 ± 0.72 b |
| Minzi No. 6 | 50.5 ± 3.09 c | 124.6 ± 3.09 cd | 8.84 ± 1.47 d | 114.1 ± 4.20 b |
| Ningbodaqiao | 55.0 ± 1.91 bc | 113.0 ± 1.91 de | 17.7 ± 0.96 a | 110.4 ± 7.89 b |
| Wanzi No. 1 | 68.3 ± 1.13 a | 151.7 ± 1.13 ab | 13.7 ± 0.43 abc | 127.9 ± 7.93 b |
| Xiangzi No. 1 | 50.3 ± 2.13 c | 130.7 ± 2.13 bcd | 10.4 ± 1.31 cd | 127.5 ± 13.1 b |
| Yijiangzi | 62.5 ± 2.13 ab | 138.5 ± 2.81 abc | 14.6 ± 0.70 ab | 121.9 ± 5.07 b |
| Yujiangdaye | 56.1 ± 0.34 bc | 164.7 ± 0.34 a | 14.6 ± 0.58 b | 166.2 ± 7.97 a |
| Hairy vetch | 55.7 ± 0.82 bc | 136.7 ± 0.82 abc | 13.7 ± 0.61 b | 103.8 ± 1.00 b |
| Common vetch | 60.7 ± 3.07 bc | 164.0 ± 3.07 a | 15.0 ± 0.08 ab | 117.2 ± 5.74 b |
| Parameters | Guangxi Site | Hunan Site | ||||||||
|---|---|---|---|---|---|---|---|---|---|---|
| K uptake | Phos | BG | NAG | LAP | K uptake | Phos | BG | NAG | LAP | |
| P uptake | 0.909 ** | 0.357 * | 0.184 | 0.333 * | 0.631 ** | 0.605 ** | 0.225 | −0.081 | −0.214 | −0.316 |
| K uptake | 1 | 0.321 | 0.245 | 0.479 ** | 0.641 ** | 1 | 0.183 | −0.002 | −0.156 | −0.204 |
| Phos | 1 | 0.044 | 0.069 | 0.344 ** | 1 | 0.754 ** | 0.839 * | 0.832 ** | ||
| BG | 1 | 0.088 | −0.078 | 1 | 0.785 ** | 0.802 ** | ||||
| NAG | 1 | 0.133 | 1 | 0.891 ** | ||||||
| LAP | 1 | 1 | ||||||||
| Parameters | Guangxi Site | Hunan Site | ||||
|---|---|---|---|---|---|---|
| pH | AP (mg kg−1) | AK (mg kg−1) | pH | AP (mg kg−1) | AK (mg kg−1) | |
| pH | 1 | 0.02 | −0.323 | 1 | −0.072 | −0.369 * |
| AP (mg kg−1) | 1 | 0.359 * | 1 | 0.054 | ||
| AK mg kg−1) | 1 | 1 | ||||
© 2019 by the authors. Licensee MDPI, Basel, Switzerland. This article is an open access article distributed under the terms and conditions of the Creative Commons Attribution (CC BY) license (http://creativecommons.org/licenses/by/4.0/).
Share and Cite
Solangi, F.; Bai, J.; Gao, S.; Yang, L.; Zhou, G.; Cao, W. Improved Accumulation Capabilities of Phosphorus and Potassium in Green Manures and Its Relationship with Soil Properties and Enzymatic Activities. Agronomy 2019, 9, 708. https://doi.org/10.3390/agronomy9110708
Solangi F, Bai J, Gao S, Yang L, Zhou G, Cao W. Improved Accumulation Capabilities of Phosphorus and Potassium in Green Manures and Its Relationship with Soil Properties and Enzymatic Activities. Agronomy. 2019; 9(11):708. https://doi.org/10.3390/agronomy9110708
Chicago/Turabian StyleSolangi, Farheen, Jinshun Bai, Songjuan Gao, Lu Yang, Guopeng Zhou, and Weidong Cao. 2019. "Improved Accumulation Capabilities of Phosphorus and Potassium in Green Manures and Its Relationship with Soil Properties and Enzymatic Activities" Agronomy 9, no. 11: 708. https://doi.org/10.3390/agronomy9110708
APA StyleSolangi, F., Bai, J., Gao, S., Yang, L., Zhou, G., & Cao, W. (2019). Improved Accumulation Capabilities of Phosphorus and Potassium in Green Manures and Its Relationship with Soil Properties and Enzymatic Activities. Agronomy, 9(11), 708. https://doi.org/10.3390/agronomy9110708

