Next Article in Journal
Genome-Wide Association Studies Using Multiple Models Reveal the Genetic Basis of Plant Architecture-Related Traits in Maize
Previous Article in Journal
Planting Date Influences on Growth, Yield and Nutrient Status of Fodder Radish Under Rainfed Conditions in South Africa
 
 
Font Type:
Arial Georgia Verdana
Font Size:
Aa Aa Aa
Line Spacing:
Column Width:
Background:
Article

Effects of Different Herbicide Combinations on Weed Control Efficacy and Rice Economic Traits Under Shallow-Buried Drip Irrigation

1
College of Grassland, Resources and Environment, Inner Mongolia Agricultural University, Hohhot 010018, China
2
Hinggan League Academy of Agricultural and Animal Husbandry Sciences, Ulanhot 137400, China
3
Inner Mongolia Innovation Center of Biological Breeding Technology, Ulanhot 137400, China
4
Inner Mongolia Key Laboratory of Rice Breeding Innovation in Northern Cold Regions, Ulanhot 137400, China
5
College of Grassland Science, Inner Mongolia University for Nationalities, Tongliao 028000, China
6
Inner Mongolia Key Laboratory of Soil Quality and Nutrient Resources, Hohhot 010018, China
7
Key Laboratory of Agricultural Ecological Security and Green Development, Universities of Inner Mongolia Autonomous Region, Hohhot 010018, China
*
Authors to whom correspondence should be addressed.
Agronomy 2026, 16(7), 760; https://doi.org/10.3390/agronomy16070760
Submission received: 13 February 2026 / Revised: 31 March 2026 / Accepted: 2 April 2026 / Published: 5 April 2026
(This article belongs to the Section Weed Science and Weed Management)

Abstract

Weed control in rice remains a critical challenge in direct-seeded rice cultivation. This study combined field and laboratory experiments to compare the efficacy of nine herbicide combinations against weeds in dryland rice fields and to evaluate their impact on rice economic traits. A model was constructed using principal component analysis for comprehensive evaluation, aiming to identify optimal herbicide combinations for direct-seeded rice under shallow drip irrigation in Hinggan League. The results indicate that pendimethalin provides better pre-emergence control compared to oxadiargyl and pretilachlor. The combination of florpyrauxifen-benzyl + benzobicyclon provided optimal weed control efficacy and rice economic performance when applied as a foliar treatment. Forty-five days after application, weed control efficacy against Echinochloa crus-galli (L.) P. Beauv. and Amaranthus retroflexus L. was 72% and 85%, respectively, with fresh weight reduction of 63%. Theoretical yield reached 4285.48 kg·ha−1. At rice harvest, no herbicide residues were detected in rice straw or grains across all treatments, confirming the safety of the applied treatment for rice. Principal component analysis (PCA) was used to evaluate the comprehensive scores of each treatment, with pendimethalin + florpyrauxifen-benzyl + benzobicyclon achieving the highest score of 0.65. The study indicates that the combination of pendimethalin as a pre-emergence and florpyrauxifen-benzyl + benzobicyclon offers significant advantages in weed control efficacy and rice growth, achieving the highest comprehensive evaluation score. This combination holds important application value for weed control and grain yield assurance in direct-seeded rice fields.

1. Introduction

Rice is one of China’s three major staple grains, and stable rice production plays a crucial role in ensuring China’s food supply and social stability [1]. Rice cultivation in China primarily involves two major methods: seedling transplanting and direct seeding [2]. The direct seeding cultivation method eliminates the seedling-raising and transplanting steps, reducing planting costs while lowering irrigation water requirements through shallow-buried drip irrigation. Studies indicate that direct seeding can save 33% of irrigation water and reduce labor input by 97%, thereby lowering costs associated with seedling cultivation and transplanting [3]. Dry direct-seeded rice cultivation offers advantages such as labor savings, water conservation, and mechanization compatibility but also presents challenges like weed control [4]. Weeds possess inherent competitiveness, especially during early rice seedling growth, during which they outcompete rice. In such environments, lower rice productivity is primarily attributed to intense weed competition [5]. Under shallow-buried drip irrigation systems, both dryland and wetland weeds coexist, complicating control efforts. Consequently, efficient field weed management represents a critical pathway for enhancing dryland rice grain yields and improving resource utilization efficiency.
Herbicides offer advantages such as high efficiency, convenience, cost-effectiveness, and time savings compared to other weed control methods, making them an optimal choice for suppressing field weeds [6]. Rice field herbicides are primarily classified into soil-applied pre-emergence herbicides and foliar herbicides based on their application method [7]. Currently, common pre-emergence herbicides for rice fields include pretilachlor [8] and pendimethalin [9], while post-emergence herbicides include cyhalofop-butyl [10], benzobicyclon [11], and florpyrauxifen-benzyl [12]. Effective combinations of different herbicides can enhance the efficacy of individual formulations and improve weed control [13]. Numerous studies have addressed weed management in transplanted rice fields. Long Cheng et al. [14] demonstrated through experiments that combining herbicides during pre-emergence treatment in transplanted rice fields achieves superior control. Alvarez B A et al. [9] demonstrated that mixing dimethenamid-p with other herbicides increased its control efficiency by 20%. Current research on herbicide combination efficacy primarily focuses on transplanted rice fields, with limited reports addressing direct-seeded rice fields. Regarding weed control in direct-seeded rice, Upadhaya B et al. [15] found that diuron alone primarily suppresses grass weeds and some sedges and broadleaf weeds. However, when combined with the sulfonylurea compound pyrazosulfuron, it effectively controls sedges and broadleaf weeds. Naganjali K et al. [16] demonstrated that applying fenoxaprop-P + chlorimuron-ethyl + metolachlor during the seedling stage effectively controlled weeds while maintaining dryland rice yields. Previous studies indicate that combining herbicides enhances efficacy compared to single-agent use, whether in transplanted or direct-seeded fields. Developing effective control strategies plays a crucial role in rice field weed management. While weed control strategies for transplanted rice fields are relatively mature, direct-seeded rice cultivation still faces numerous challenges. For instance, in direct-seeded rice fields, enhancing weed control efficacy while minimizing impacts on rice economic benefits remains a critical focus [17]. A major challenge is to enhance weed control efficacy while minimizing impacts on rice growth and ensuring green, safe, and efficient weed management practices. Selecting herbicide combinations suitable for local environments holds significant importance in developing weed control strategies for dryland rice fields.
This study conducted herbicide screening trials to address the challenge of weed control in the shallow-buried drip irrigation system for dryland rice cultivation in the Hinggan League region. Using Jiaxiang No. 4 as the experimental material, different herbicides were applied for soil pre-emergence treatment and foliar application. By analyzing the weed control efficacy of various herbicide combinations in the field and evaluating their impact on rice economic traits, a comprehensive screening approach employing principal component analysis was adopted to identify suitable herbicide combinations for dryland rice cultivation in the Hinggan League. This approach aims to enhance field weed control efficacy while ensuring rice safety and stable yields, thereby providing scientific support for achieving green and efficient weed management in the Hinggan League’s dryland rice cultivation system.

2. Materials and Methods

2.1. Experimental Materials

2.1.1. Test Seeds

This study employed the rice variety Jiaxiang No. 4 as the experimental material. Sowing was conducted on 4 May 2024, and 7 May 2025, respectively. Mechanical row seeding was used with a row spacing of 25 cm and a seeding rate of 150 kg·ha−1. Shallow-buried drip irrigation was employed for watering.

2.1.2. Test Herbicides

Nine common rice field herbicides were carefully chosen as test agents based on the prevalence of weeds at the experimental site: oxadiargyl (Heilongjiang Huanuo Biotechnology Co., Ltd., Daqing, China; OXD), pretilachlor (Wanrong Crop Science and Technology Co., Ltd., Shijiazhuang, China; PTL), pendimethalin (Jilin Jinze Pesticide Co., Ltd., Panshi, China; PDM), metamifop (FMC (Suzhou) Co., Ltd., Suzhou, China; MET), bispyribac-sodium (Shenyang Hetian Chemical Co., Ltd. (Liaoning), Shenyang, China; BPS), fluroxypyr (Jiangsu Flag Chemical Co., Ltd., Nanjing, China; FLX), cyhalofop-butyl (Anhui Huilong Group Yinshan Pharmaceutical Co., Ltd., Hefei, China; CHB), benzobicyclon (SDS Biotech K.K. (Japan), Kanda-Neribeicho, Tokyo, Japan; BBC) and florpyrauxifen-benzyl (Dow AgroSciences (USA), Texas City, TX, USA; FPB). See Table 1 for information on the test herbicides and the main types of weeds they target.

2.2. Description of the Experimental Site

The experimental site was located at the Yangchangzi Base of the Inner Mongolia Academy of Agriculture and Animal Husbandry Sciences, in Yangchangzi Gacha, Yilelite Town, Ulanhot City (46°18′ N, 121°94′ E, altitude 310.7 m). The region has a multi-year average temperature of 4.7 °C, annual precipitation of 442.6 mm, average annual sunshine hours of 2876 h, accumulated effective temperature of approximately 2650 °C, and a frost-free period of about 139 days. The terrain of the experimental site is flat, with chernozem soil of moderate fertility. The preceding crop in the field was rainfed rice.

2.3. Experimental Treatments and Design

This two-year study was conducted in 2024 and 2025. In the first year, a total of 11 treatments were established, including a blank water control and a manual weeding treatment, each with three replicates. The experimental plots were arranged in a randomized block design, with each plot measuring 33.75 m2 (4.5 m × 7.5 m). To minimize the effects of herbicide drift, a 0.5 m-wide buffer strip was set up around each plot. In each plot, the tested herbicides were applied using a sprayer containing 3 L of water. The application rates of the active ingredient for each herbicide are presented in Table 1.
The specific treatments were as follows: T1: OXD + FPB + BBC; T2: OXD + FLX + CHB; T3: OXD + MET + BPS; T4: PDM + FPB + BBC; T5: PDM + FLX + CHB; T6: PDM + MET + BPS; T7: PTL + FPB + BBC; T8: PTL + FLX + CHB; T9: PTL + MET + BPS; T10: Untreated Control (No herbicide application); T11: Manual Weeding Control (All weeds were removed manually).
In the second year, based on the results from the first year, the top three treatments identified by principal component analysis (PCA) were selected for further evaluation. Each treatment was replicated five times, while the experimental design remained the same as in the first year.

2.4. Evaluation of Weed Control Efficacy

Weed control efficacy was assessed in two quadrats (0.5 m2) randomly placed within each plot. Field surveys were conducted at 0, 7, 15, 21, 30, and 45 days after herbicide application. The specific survey dates were 3 June, 12 June, 19 June, 25 June, 4 July, and 19 July in 2024; and 21 June, 28 June, 5 July, 11 July, 22 July, and 7 August in 2025.
These surveys documented changes in the weed community following herbicide application, including weed species composition, density (plant count per quadrat), and species richness. On 19 July 2024, fresh weed biomass was measured within the quadrats. The data were used to calculate the percent control efficacy (PCE) and fresh weight control efficacy (FWCE) for weed density.

2.5. Survey of Rice Physiological Indicators

Two quadrats (0.5 m2) were established in each plot for observations during key growth stages of rice. The following agronomic traits were recorded: effective panicle number (EPN), panicle-bearing tiller rate (PTR), days to maturity (DTM), plant height (PH), panicle length (PL), seed setting rate (SSR), and thousand-grain weight (TGW). At harvest, a 1 m2 quadrat was selected in each plot to determine total grain yield (TY).

2.6. Determination of Herbicide Residues in Rice Straw and Grains

2.6.1. Sample Collection and Preparation

At the rice maturity stage, ten plants were collected from the survey quadrats within each plot. The rice straw was ground and stored in sealed bags for subsequent analysis. Similarly, the grains were threshed, hulled, ground, and then stored in sealed bags for further testing.

2.6.2. Herbicide Residue Analysis

Herbicide residues in the prepared straw and grain samples were determined following the method described by Xingang Ma et al. [18].

2.7. Data Processing

We used Excel 2010 to organize the raw data. All statistical analyses were carried out using SPSS 26. A one-way ANOVA was conducted to test for differences among treatments. The normality and homogeneity of variances were verified with the Shapiro–Wilk and Levene’s tests, respectively. When ANOVA results were significant, means were separated by Duncan’s new multiple range test, with statistical significance set at p < 0.05. Pearson correlation analysis was performed to determine the relationships among variables. Community diversity was evaluated using Simpson’s diversity index. All graphs were prepared with Origin 2021.

2.8. Calculation Formulas

Simpson index:
D = 1 − ∑Si = 1(ni/N)2
PCE (%) = [(Weed plant count in control plot − Weed plant count in treated plot)/Weed plant count in control plot] × 100%.
FWCE (%) = [(Fresh weed weight in control plot − Fresh weed weight in treated plot)/Fresh weed weight in control plot] × 100%

3. Results

3.1. Effects of Different Herbicide Combinations on Weed Communities in Rice Fields

3.1.1. Effects of Different Herbicide Combinations on the Relative Abundance of Rice Field Weeds

A total of seven weed species were identified in the plots (Figure 1): Acalypha australis L., Amaranthus retroflexus L., Chenopodium album L., Echinochloa crus-galli (L.) P. Beauv., Hibiscus trionum L., Humulus scandens (Lour.) Merr., and Portulaca oleracea L.
The number of weed species in each plot increased slightly over time, yet E. crus-gall remained the dominant weed species (Figure 1). Under conditions without human intervention, the proportions of E. crus-gall and A. retroflexus weeds in the plots were roughly similar. After the application of different herbicide treatments, the abundance of A. retroflexus decreased significantly, while the relative proportion of E. crus-gall increased notably. Amaranthus tricolor exhibited notable relative abundance.

3.1.2. Effects of Different Herbicide Combinations on Weed Species Richness in Paddy Fields

The impact of different herbicide combinations on weed community diversity was evaluated using Simpson’s diversity index, calculated from weed data collected within quadrats. The treatments differentially influenced weed species richness over time (Table 2). Specifically, species richness in plots treated with T3, T5, and T6 exhibited a consistent increasing trend. In contrast, treatments T2, T8, and T9 showed an initial rise followed by a decline in species richness. Treatment T7 displayed an opposite pattern, with an initial decrease followed by an increase. Species richness under T1 and T4 fluctuated over the observation period, while T10 remained relatively stable throughout.
A comparison of species richness and Simpson’s index among treatments at different time points revealed that at 7 days after foliar treatment, the species richness values of T8, T9, and T10 were 0.53, 0.54, and 0.60, respectively, which were significantly higher than those of other treatments, indicating a relatively stable community structure. At 15 days after foliar treatment, the species richness of T9 was 0.68, significantly higher than that of other treatments, suggesting a certain level of species diversity and evenness in the community and a relatively stable community structure. The Simpson’s indices of T1, T3, and T7 were 0.31, 0.28, and 0.30, respectively, all significantly lower than those of other treatments, indicating poor community stability. At 21 days after foliar treatment, the Simpson’s indices of T8, T9, and T10 were 0.61, 0.65, and 0.58, respectively, significantly higher than those of other treatments, while T1 exhibited a Simpson’s index of only 0.15, significantly lower than other treatments. At 30 days after foliar treatment, the Simpson’s indices of T8, T9, and T10 were 0.64, 0.62, and 0.58, respectively, still significantly higher than those of other treatments, indicating strong community stability. At 45 days after foliar treatment, the Simpson’s indices of T8 and T10 were above 0.60, while all other treatments were below 0.60; T1 exhibited a Simpson’s index of 0.33, significantly lower than other treatments, indicating poor community stability.

3.2. Effects of Different Herbicide Combinations on Weed Control Efficacy

3.2.1. Effects on Weed Control Efficacy Based on Plant Density

Following the application of pre-emergence herbicides, weeds in the plots began to die. After pre-emergence treatment, the overall control efficacy against A. retroflexus, was higher than that against E. crus-galli (Figure 2). PDM achieved a plant control efficacy (PCE) of 40% against E. crus-galli, while the PCE values of the other two herbicides against E. crus-galli were both below 20%. OXD exhibited a PCE of 83% against A. retroflexus, significantly higher than the other two herbicides. PTL showed unsatisfactory control efficacy against both E. crus-galli and A. retroflexus, with PCE values below 30% for both weed species.
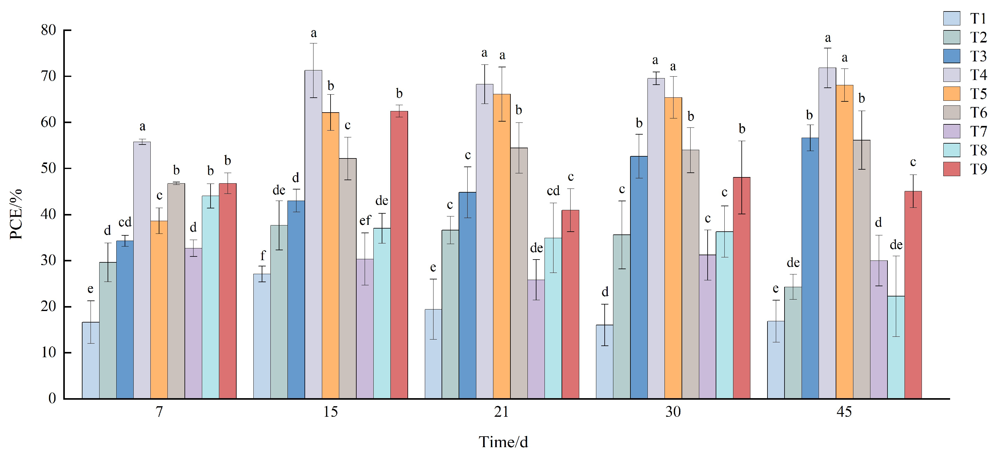
A comparison of E. crus-galli control efficacy among different herbicide treatments at various time points is shown in Figure 3. After foliar herbicide application, the control efficacy against E. crus-galli in the plots was markedly improved. At 7 days after foliar treatment, T4 exhibited a PCE of 56%, which was significantly higher than that of other treatments. T1 showed a relatively low PCE of only 17%, significantly lower than other treatments. At 15 days after foliar treatment, the PCE of T4 reached 71%, significantly higher than other treatments, while T5 and T6 achieved PCE values of 62% and 52%, respectively, also significantly higher than the remaining treatments. The PCE of T1 increased to 27.10%, though it remained significantly lower than other treatments. At 21 days after foliar treatment, T4 and T5 recorded PCE values of 68% and 66%, respectively, both significantly higher than other treatments. At 30 days after foliar treatment, the control efficacy in most plots showed a slight increase compared to 21 days. Among them, T4 and T5 maintained PCE values of 70% and 65%, respectively, significantly higher than other treatments, while all other treatments exhibited PCE values below 60%. At 45 days after foliar treatment, the E. crus-galli population in each plot remained relatively stable. Compared with 30 days, T4 and T5 continued to show significantly higher PCE values (72% and 68%, respectively), while all other treatments maintained PCE values below 60%.
A comparison of A. retroflexus control efficacy among different herbicide treatments is shown in Figure 4. Following herbicide application, the control efficacy against A. retroflexus in the plots was markedly improved, with overall control efficacy higher than that observed for A. retroflexus. At 7 days after foliar treatment, T4 and T6 exhibited PCE values above 80%, reaching 85% and 86%, respectively. T1, T2, and T3 showed PCE values of 80%, 77%, and 79%, respectively, all significantly higher than those of T5, T7, T8, and T9. At 15 days after foliar treatment, some treatments showed increased PCE values. Among them, T1, T3, T4, T6, and T7 achieved PCE values above 80%, significantly higher than other treatments. At 21 days after foliar treatment, T1 and T4 demonstrated favorable control efficacy against A. retroflexus, with PCE values both exceeding 90%. In contrast, T5, T8, and T9 showed unsatisfactory control efficacy, with PCE values of 49%, 19%, and 43%, respectively, significantly lower than those of other treatments. At 30 days after foliar treatment, T1, T4, and T7 exhibited PCE values of 94%, 94%, and 93%, respectively, all significantly higher than other treatments, indicating strong control efficacy against A. retroflexus. T8 and T9 showed PCE values of only 42% and 24%, significantly lower than other treatments. At 45 days after foliar treatment, T5 and T9 showed increased PCE values compared to 30 days, reaching 77% and 57%, respectively, while all other treatments exhibited decreased PCE values relative to 30 days. Among all treatments, T4 showed the highest PCE (85%), with all other treatments falling below 80%.

3.2.2. Effects of Different Herbicide Combinations on Fresh Weight Control Efficacy of Weeds

At 45 days after foliar application, the fresh weight control efficacy (FWCE) of weeds was measured (Figure 5). The FWCE values against E. crus-galli for treatments T4, T5, and T8 were 56%, 63%, and 59%, respectively, all of which were significantly higher than those of the other treatments, while no significant differences were observed among these three. The FWCE values of T1, T7, and T8 were 26%, 22%, and 23%, respectively, which were significantly lower than those of the other treatments. In contrast, the FWCE against A. retroflexus showed an opposing trend: treatments T1, T4, and T7 achieved FWCE values of 78%, 85%, and 74%, respectively, each significantly higher than the remaining treatments, with no significant differences among them. The FWCE values of T8 and T9 were 17% and 25%, respectively, which were significantly lower than those of the other treatments.

3.3. Effects of Different Herbicide Combinations on Rice Economic Traits

T10 served as a blank control without herbicide application. In the absence of manual intervention, weed growth in these plots was excessive, leading to near-complete rice mortality. Consequently, the economic traits of rice in the T10 plots could not be assessed. Therefore, T11 was used as the control representing rice performance under ideal conditions.
The results (Table 3) indicate that at rice maturity, compared with the control (T11), all herbicide treatments led to reductions in panicle-bearing tiller rate (PTR), seed setting rate (SSR), thousand-grain weight (TGW), and theoretical yield (TY). Among the different herbicide combination treatments, T4 exhibited the highest PTR, SSR, and TY, with values of 76%, 25.42 kg, and 4285.48 kg·ha−1, respectively, and its TY was approximately 8% lower than that of T11. T5 showed the highest SSR (94.35%), with no significant difference compared with T11. The TY values of T8 and T9 were significantly lower than those of the other treatments, representing reductions of approximately 55–58% compared with T11.

3.4. Safety Assessment of Different Herbicide Combinations on Rice

The method established by Xingang Ma et al. for liquid chromatography–tandem mass spectrometry (HPLC–MS) was subjected to a spike recovery test for the target herbicides to evaluate its suitability for detecting herbicide residues in the experimental samples. The recovery rates of the nine herbicides in both rice straw and grains ranged from 90% to 120%, meeting the standard criteria for pesticide residue analysis and confirming the applicability of this method for detecting the nine herbicides in rice straw and grains. The limits of detection (LOD), limits of quantification (LOQ), and maximum residue limits (MRLs) in brown rice for each herbicide are presented in Table 4.
Analysis of the collected rice straw and grain samples showed that no residues of the nine herbicides were detected. These results indicate that the tested herbicide combinations had no adverse effects on rice safety and can be considered suitable for environmentally sustainable weed management in field conditions.

3.5. Correlation Analysis Between Weed Control Efficacy and Rice Economic Traits

Weeds and rice compete for growth resources, and the efficacy of herbicides in controlling weeds directly affects rice growth. The correlation between weed control parameters (PCE and FWCE) and rice economic traits was analyzed to assess the strength of associations among these indicators. The results (Figure 6) showed that weed PCE was significantly positively correlated with rice DTM, EPN, and TY. Weed FWCE exhibited significant positive correlations with rice DTM, EPN, PTR, and TY. A significant positive correlation was also observed between weed FWCE and PCE. Rice PH showed significant positive correlations with PL, EPN, PTR, and TY, while exhibiting a significant negative correlation with SSR. No significant correlations were detected between PH and other indicators. Rice PL exhibited a significant negative correlation with SSR, but no significant correlations with other indicators. Rice DTM was significantly positively correlated with EPN and TY. Rice EPN showed significant positive correlations with PTR and TY, while no significant correlations were found with other indicators. Rice SSR exhibited significant negative correlations with PH, PL, and PTR, but no significant correlations with other indicators. Rice TGW showed no significant correlations with any of the evaluated indicators. Rice TY exhibited significant positive correlations with PH, DTM, EPN, and PYR.

3.6. Principal Component Analysis and Comprehensive Evaluation

KMO and Bartlett’s test of sphericity were performed on all variables to determine whether the data were suitable for factor analysis. The results of KMO and Bartlett’s test (Table 5) showed that the KMO value for all variables was greater than 0.7, indicating suitability for factor analysis. Bartlett’s test of sphericity was significant (p < 0.05), and the correlation matrix of the variables was not an identity matrix, indicating significant correlations among the variables and confirming the appropriateness of factor analysis.
Principal component analysis (PCA) was performed using weed control efficacy at 45 days (based on plant density and fresh weight) and key economic and agronomic traits of rice as input variables. Principal components that contributed significantly to the variation among treatments were extracted based on the criterion of a cumulative contribution rate exceeding 85%. The cumulative variance explained (CVE) of the first three principal components reached 93.06%, indicating that these components explained 93.06% of the total variation among treatments (Table 6). The first principal component (P1) had an eigenvalue of 7.03 and a contribution rate of 70.50%. The second component (P2) had an eigenvalue of 1.33 and a contribution rate of 13.31%, while the third component (P3) had an eigenvalue of 0.94 and a contribution rate of 9.25%.
To better elucidate the relationship between the variables and principal components, a rotation was applied to the extracted principal components. The magnitude of the loadings reflects the relative importance of each variable within the principal components, and the principal component coefficients were subsequently computed (Table 7). Based on the score coefficient matrix and the corresponding principal components, the expressions for Y1 to Y3 can be derived as follows:
Y1 = 0.21Z1 + 0.32Z2 − 0.17Z3 + 0.16Z4 + 0.32Z5 − 0.30Z6 − 0.05Z7 + 0.02Z8 + 0.09Z9 + 0.09Z10
Y2 = −0.14Z1 − 0.22Z2 − 0.06Z3 + 0.08Z4 − 0.16Z5 + 0.54Z6 + 0.31Z7 + 0.15Z8 + 0.23Z9 + 0.03Z10
Y3 = 0.15Z1 − 0.08Z2 + 0.88Z3 − 0.13Z4 − 0.14Z5 + 0.06Z6 − 0.03Z7 + 0.13Z8 − 0.28Z9 + 0.16Z10
A comprehensive evaluation score model for comparing different treatments was constructed using the variance contribution rates of the principal components as weights, combined with the principal component score formulas. The model is defined as Y = 0.76Y1 + 0.14Y2 + 0.10Y3. Based on this model, the comprehensive score for each treatment was calculated, with a higher score indicating greater practical value and applicability of the treatment.
As shown in Table 8, the comprehensive scores of the treatments, ranked from highest to lowest, are as follows: T4 > T6 > T5 > T7 > T8 > T3 > T1 > T2 > T9. Among these, T4 achieved the highest comprehensive score of 0.65, which aligns with the results from the previous analysis, indicating that this treatment holds significant advantages for local weed control. T6 and T5 ranked next, with comprehensive scores of 0.47 and 0.40, respectively. T2 and T8 exhibited relatively low comprehensive scores of 0.01 and −0.08, indicating poor overall performance and unsuitability for local weed control. Based on the results of the first year of the experiment, three treatments—T4, T5, and T6—were selected for the second year of the study.

3.7. Validation and Screening of Herbicide Combinations

3.7.1. Two-Way ANOVA for Year and Treatment Effects

The results of two-way ANOVA (Table 9) showed that different years had significant effects on weed PCE and FWCE, as well as on rice EPN, TGW, and TY (p < 0.05), while no significant effects were observed on rice PTR and SSR (p > 0.05). Different treatments significantly influenced weed PCE and FWCE, as well as rice EPN, PTR, and TGW (p < 0.05), but showed no significant effects on rice SSR and TY (p > 0.05). The interaction between year and treatment had a significant effect on rice SSR (p < 0.05), while no significant effects were detected on any of the other variables (p > 0.05).

3.7.2. Weed Control Efficacy

Using the herbicide combinations selected in 2024, a validation trial was conducted in 2025. Comparing the PCE of different pre-emergence herbicide treatments against E. crus-galli (Figure 7), T4 exhibited a PCE of 61%, significantly higher than other treatments. No significant differences were observed among treatments in PCE against A. retroflexus, with all values above 76%.
Based on the comprehensive results of the principal component analysis, the three herbicide combinations with the highest overall scores from the first-year field trial were selected for further experimentation. This subsequent study aimed to validate the initial findings while refining the optimal treatment combination.
The PCE against E. crus-galli following foliar herbicide application was compared among different treatments. The results (Figure 8) show that by 15 days after foliar application, the percent control efficacy for E. crus-galli (PCE) increased significantly across all treatments. At this stage, T4 achieved a PCE exceeding 80%, which was significantly higher than that of T5 and T6. By 45 days after foliar treatment, the PCE values for T4, T5, and T6 were 88%, 68%, and 55%, respectively, with T4 remaining significantly superior to the other treatments.
The PCE against A. retroflexus following foliar herbicide application was compared among different treatments. After foliar application, all three treatments achieved PCE-B exceeding 80%, with no statistically significant differences observed among them (Figure 8), indicating consistently effective control of A. retroflexus across the treatments.
A comparison of the overall percent control efficacy (PCE) across treatments after foliar application (Figure 8) showed that all treatments exhibited improved performance relative to the first year’s results. PCE for T4 displayed an increasing trend over time, remaining above 80% from 15 days onward and significantly exceeding other treatments. By 30 days after foliar application, T4 reached the highest PCE of 89.59%, demonstrating sustained and effective weed control. PCE for T5 initially rose, peaking at 79% at 21 days, after which it gradually declined; however, it remained above 70% throughout the observation period and reached 76% at 45 days, reflecting maintained weed suppression. The trend for T6 was similar to that of T5 but showed an earlier decline. PCE for T6 peaked earlier at 77% by 15 days and subsequently decreased, remaining above 70% until 30 days but dropping to 68% by 45 days. Consequently, T6 provided relatively weaker weed control compared to T4 and T5.

3.7.3. Rice Economic Traits

The survey results (Table 10) indicate that, at rice maturity, no significant differences were observed in panicle-bearing tiller rate (PTR), seed setting rate (SSR), or thousand-grain weight (TGW) among T4, T5, T6, and T11. The effective panicle number (EPN) of T5 was significantly lower than that of T11, while no significant differences in EPN were found between T4 or T6 and T11.
Compared to the previous year, total yield (TY) increased across all treatments. T11 achieved 5816.24 kg·ha−1, while T4 reached 5355.57 kg·ha−1, representing a reduction of approximately 8% compared with T11. The TY values of T5 and T6 were 5001.02 kg·ha−1 and 4799.44 kg·ha−1, respectively, both significantly lower than that of T11.

4. Discussion

Rice is a vital staple crop in China, and ensuring its stable and safe production is of great significance. Chemical weed control is an indispensable component of grain production, and developing efficient, environmentally sustainable chemical weed management strategies plays a crucial role in enhancing grain yield and safeguarding food security [19]. Formulating targeted herbicide programs based on local weed occurrence can effectively improve weed control efficiency [20]. In the Xing’an League region, a screening trial of herbicides for direct-seeded rice was conducted. Field surveys identified E. crus-galli as the dominant weed species in the area (Figure 1), indicating that herbicide measures should primarily target E. crus-galli [21].
In this study, soil-sealing treatments using OXD, PDM, and PTL were applied. The results indicated that OXD provided better control efficacy against broadleaf weeds, PDM demonstrated superior overall weed control, and PTL exhibited relatively poor performance (Figure 2). Following the application of foliar herbicides, significant differences in both PCE and FWCE were observed among the treatments. A comprehensive analysis of the overall effects revealed that the most effective weed control combination was FPB + BBC. Even at 45 days after treatment, T4 maintained good weed control efficacy. FPB and BBC both exhibit systemic modes of action, but their mechanisms differ. A coupling analysis was performed between the Simpson index of each treatment and weed control efficacy. The treatment with the highest species richness was the blank control (T10), in which no herbicide was applied. This indicates that herbicide application leads to weed mortality and consequently reduces species diversity. Among treatments excluding the blank control, T8 and T9 exhibited the most stable community structures; however, these treatments also showed relatively poor weed control efficacy. This suggests that lower weed control efficacy results in weaker selective pressure from herbicides on the remaining weeds in the field, allowing sensitive weeds, associated weeds, and miscellaneous species to survive in large numbers, thereby maintaining a relatively high level of community diversity [22].
PDM primarily inhibits cell mitosis and meristem growth, exerting a significant inhibitory effect on the growth of shoots and roots. Therefore, it is commonly used for pre-emergence treatment in weed control. Previous studies have shown that long-term, continuous application of a single herbicide may increase the risk of weed resistance [23]. Adopting a combined approach of soil pre-emergence treatment and foliar treatment, along with strict control of application dosage and frequency, can greatly reduce the risk of weed resistance to a single herbicide. Both FPB and BBC exhibit systemic modes of action, but their mechanisms differ. FPB primarily targets the auxin signaling pathway in weeds, whereas BBC mainly inhibits carotenoid biosynthesis. Because the three herbicides have different modes of action, weeds are less likely to simultaneously evolve defense mechanisms against all of them. Therefore, the combined application of PDM, FPB, and BBC can reduce the risk of weed resistance, at least to some extent [24]. However, the prolonged and exclusive use of this combination should be avoided to prevent weeds from developing resistance to any single component. Further experiments should screen different effective herbicide combinations for long-term rotational use to mitigate the risk of weed resistance.
After herbicide application, rice growth in all treatment plots was inhibited compared to the manual weeding treatment. Preliminary analysis suggests that this may be attributed to the stress exerted on rice plants by surviving weeds during the growth period. An increase in weed density can lead to a rise in the number of small and sterile panicles, thereby reducing grain yield [25,26]. Due to the lack of manual intervention in T10, weed growth was excessive, severely inhibiting rice development and resulting in extensive rice mortality or incomplete growth, ultimately leading to crop failure in these plots. Therefore, the rational application of herbicide mixtures plays a crucial role in ensuring food security [27]. Compared with the manual weeding treatment (T11), the treatment with the highest yield following herbicide application (T4) showed a yield reduction of approximately 8%. However, manual weeding requires substantial economic input. In this experiment, the overall weeding period lasted approximately two months. During this period, manual weeding was required over an extended duration to ensure that no weeds remained in the plots, resulting in substantial labor input and associated costs. The advantages of herbicides in weed control lie in their greater economy and convenience, significantly reducing the proportion of costs invested in field weed management during production [28,29]. Preliminary calculations indicate that, compared with manual weeding, the proper application of herbicides can result in considerable savings in both labor and economic costs, thereby ensuring economic benefits.
The results showed that PCE and FWCE were significantly correlated with DTM, EPN, and TY (p < 0.05) (Figure 6). This indicates that higher weed control efficacy corresponds to higher rice yield, a conclusion consistent with the findings of Sen S. et al. [25]. In this study, principal component analysis (PCA) was employed, and three principal components were extracted and rotated based on the criterion of cumulative contribution rate exceeding 85%. A comprehensive evaluation scoring model was constructed using the variance contribution rates of the principal components as weights. Among the treatments, T4 achieved the highest comprehensive score of 0.65, demonstrating its significant advantage for local weed control, followed by T6 and T5 (Table 8).
Based on the analytical results, further experiments were conducted to validate the findings and refine the selection among the three herbicide combinations. The results indicated an overall improvement in PCE compared to the first year, with T4 remaining the most effective treatment, consistent with the initial findings (Figure 8). Regarding rice economic traits, grain yield (TY) increased across all treatments compared to the first year, with T11 reaching 5816.24 kg·ha−1. Among the three treatments, the ranking of TY remained T4 > T5 > T6, aligning with the results from the first year (Table 10).
In the first year of the experiment, the plant control efficacy against weeds showed an overall declining trend at 45 days after foliar treatment. However, this pattern was not observed in the results of the second year. Based on local climatic factors, it is preliminarily inferred that approximately 35 days after herbicide application, the occurrence of continuous rainy weather in the region may have influenced the overall efficacy of the herbicides [30].
Future studies should further evaluate the selected herbicide combinations, incorporating assessments of their effects on local soil health and environmental safety. The goal is to identify efficient, safe, and environmentally sustainable herbicide formulations that support stable crop production while minimizing ecological impact, thereby contributing to the development of more comprehensive and sustainable weed management strategies.

5. Conclusions

The combination of pendimethalin (PDM) as a soil-applied pre-emergence herbicide and florpyrauxifen-benzyl (FPB) + benzobicyclon (BBC) as a foliar post-emergence treatment provided the highest weed control efficacy. This program effectively suppressed weeds in dry direct-seeded rice fields, demonstrating superior control of A. retroflexus weeds compared to E. crus-galli. Under this herbicide regimen, rice achieved the highest theoretical yield (TY) and exhibited better economic traits than the other treatments. In summary, for integrated weed management in dry direct-seeded rice under shallow-buried drip irrigation in the Hinggan League region, the application of PDM combined with FPB and BBC is recommended based on its effective weed suppression and favorable impact on rice productivity.

Author Contributions

Conceptualization, N.L. and Y.L.; methodology, J.L. and M.H.; validation, N.L., Y.L. and J.L.; formal analysis, L.H. and M.H.; investigation, N.L., Y.L. and J.L.; resources, L.W., W.S. and X.X.; data curation, N.L.; writing—original draft preparation, N.L.; writing—review and editing, X.X.; visualization, W.S., L.H. and M.H.; supervision, X.X. and M.H.; project administration, L.W. and X.X.; funding acquisition, L.W. and X.X. All authors have read and agreed to the published version of the manuscript.

Funding

This study was supported by grants from the Inner Mongolia Key Laboratory of Rice Breeding Innovation in Northern Cold Regions, Inner Mongolia Agricultural University, and Hinggan League Academy of Agricultural and Animal Husbandry Sciences. The research was funded by the Construction Project of Key Laboratory for Rice Breeding Innovation in the Cold Northern Regions of Inner Mongolia Autonomous Region research on breeding new varieties of drought-resistant and water-saving rice suitable for direct seeding and supporting cultivation technology, grant numbers 2025KYPT0158; the Construction Project of Key Laboratory for Rice Breeding Innovation in the Cold Northern Regions of Inner Mongolia Autonomous Region project on breeding new rice varieties with early maturity, high yield, and superior quality, grant numbers 2023KYPT0009 and the Hinggan League Comprehensive Experiment Station of National Rice Industry Technology System, grant number CARS-01-75.

Data Availability Statement

The original contributions presented in this study are included in the article. Further inquiries can be directed to the corresponding authors.

Conflicts of Interest

The authors declare no conflicts of interest.

Abbreviations

The following abbreviations are used in this manuscript:
OXDoxadiargyl
PTLpretilachlor
PDMpendimethalin
METmetamifop
BPSbispyribac-sodium
FLXfluroxypyr
CHBcyhalofop-butyl
BBCbenzobicyclon
FPBflorpyrauxifen-benzyl
PCAprincipal component analysis
PCEpercent control efficacy
PCE-Gpercent control efficacy for grassy weeds
PCE-Bpercent control efficacy for broadleaf weeds
FWCEfresh weight control efficacy
EPNeffective panicle number
PTRpanicle-bearing tiller rate
DTMdays to maturity
PHplant height
PLpanicle length
SSRseed setting rate
TGWthousand-grain weight
TYtotal grain yield

References

  1. Chen, P.; Xu, C.; Ji, L.; Chen, Z.; Fang, F. Analysis of China’s rice industry in 2024 and outlook for 2025. China Rice 2025, 31, 1–5. [Google Scholar]
  2. Ganai, A.M.; Bhat, M.A.; Hussian, A.; Kanth, R.H.; Telli, N.A.; Hussian, T.; Lone, A.H.; Ahmad, T. Effect of water regimes and weed-management practices on growth, yield and weed-control efficiency of rice under system of rice intensification. Indian J. Agron. 2017, 62, 458–463. [Google Scholar] [CrossRef]
  3. Haindavi, P.; Chandrasekhar, K.; Lakshmi, N.V.; Prasad, P.R. Assessment of yield, consumptive use and water use efficiency of dry sown Rice (Oryza sativa L.) influenced by irrigation schedules and weed management options. Bull. Environ. Pharmacol. Life Sci. 2018, 7, 62–66. [Google Scholar]
  4. Chaudhary, K.B.; Singh, P.J.; Verma, K.S.; Nayak, S.; Yadav, P.S. Conservation agriculture- based planting techniques and weed management practices influence on nutrient content and their uptake in dry direct-seeded rice (Oryza sativa L.). Int. J. Plant Soil Sci. 2022, 34, 117–124. [Google Scholar] [CrossRef]
  5. Dipjyoti, R.; Kaberi, M.; Manoj, K.; Anup, D.; Anjan, S.; Krisnappa, R.; Sankar, S.U. Effect of herbicides on weed dynamics, soil fertility, energetics and productivity of upland rice in an acidic subtropical soil of the Eastern Himalayas, India. Arch. Agron. Soil Sci. 2023, 69, 2552–2568. [Google Scholar] [CrossRef]
  6. Sen, S.; Kaur, R.; Das, K.T.; Raj, R.; Shivay, S.Y. Impacts of herbicides on weeds, water productivity, and nutrient-use efficiency in dry direct-seeded rice. Paddy Water Environ. 2021, 19, 227–238. [Google Scholar] [CrossRef]
  7. P, P.S.B.; Reddy, P.R.R.; Varma, N.; Babu, T.; Krishna, L.; Mohan, Y.; Ramprakash, T. Productivity of dry direct seeded rice as influenced by herbicide combinations. Int. J. Environ. Clim. Change 2024, 14, 81–94. [Google Scholar]
  8. Chen, H.; Liu, X.; Deng, S.; Wang, H.; Ou, X.; Huang, L.; Li, J.; Jin, C. Pretilachlor releasable polyurea microcapsules suspension optimization and its paddy field weeding investigation. Front. Chem. 2020, 8, 8826. [Google Scholar] [CrossRef] [PubMed]
  9. Alvarez, B.A.; Khatib, A.K. Weeds and rice response to post-emergence applications of pendimethalin alone and in herbicide mixtures in water-seeded rice. Crop Prot. 2025, 190, 190107067. [Google Scholar]
  10. Kumar, S.; Singh, M.K.; Sanodiya, P. Efficacy of doses of fenoxaprop-p-ethyl 69% ec and cyhalofop-butyl 10% ec on weed growth, yield and economics in transplanted rice (Oryza sativa). Indian J. Agron. 2022, 67, 89–92. [Google Scholar] [CrossRef]
  11. Patterson Jake, A.; Norsworthy Jason, K.; Butts Thomas, R.; Gbur Edward, E. Benzobicyclon for weedy rice control in quizalofop- and imidazolinone-resistant rice systems. Weed Technol. 2022, 36, 497–505. [Google Scholar] [CrossRef]
  12. Beesinger James, W.; Norsworthy Jason, K.; Butts Thomas, R.; Roberts Trenton, L. Palmer amaranth control in furrow-irrigated rice with florpyrauxifen-benzyl. Weed Technol. 2022, 36, 490–496. [Google Scholar] [CrossRef]
  13. Navya, M.V.; Jacob, D.; Shalini Pillai, P.; Raj, S.K.; Alex, V. Herbicide Combinations for Effective Weed Management in Rice. Int. J. Environ. Clim. Change 2024, 14, 144–160. [Google Scholar]
  14. Cheng, L.; Jiashun, T. Weed control efficacy of five herbicides in transplanted rice fields. Hunan Agric. Sci. 2022, 52–54. [Google Scholar] [CrossRef]
  15. Upadhaya, B.; Tiwari, K.R.; Kishor, K.; Harsha, B.R.; Singh, K.S.; Kumar, S.; Kumar, S. Herbicide evaluation in direct seeded rice in the middle Gangetic plains of India. Weed Biol. Manag. 2024, 24, 135–143. [Google Scholar] [CrossRef]
  16. Naganjali, K.; Vani, P.K.; Madhavi, M.; Babu, S.P.; Reddy, N.S. Effect of nutrient and weed management practices on growth, yield parameters and yield of semi dry rice in central telangana one. Int. J. Plant Soil Sci. 2022, 34, 217–225. [Google Scholar] [CrossRef]
  17. Lal, S.B.; Achyut, G.; Laxmishwor, Y.; Abhisek, S.; Mina, W. Comparative efficacy and economics of weed management treatments in upland rice at western mid hill of Nepal. Indian J. Weed Sci. 2021, 53, 292–296. [Google Scholar] [CrossRef]
  18. Xingang, M.; Liang, L.; Aijuan, Z.; Bojun, Z. Detection of dichlorvos residues in rice using ultra-high performance liquid chromatography-mass spectrometry. Shandong Chem. Ind. 2020, 49, 95–98. [Google Scholar] [CrossRef]
  19. Berg, J.; Ring, H.; Bernhardt, H. Combined mechanical–chemical weed control methods in post-emergence strategy result in high weed control efficacy in sugar beet. Agronomy 2025, 15, 879. [Google Scholar] [CrossRef]
  20. Sanjoy, S.; Sushmita, M.; Sudhanshu, S.; Virender, K.; Kumar, H.J.; Ashirbachan, M.; Bhagirath, C.S. Crop establishment and weed control options for Sustaining dry direct seeded rice production in Eastern India. Agronomy 2021, 11, 389. [Google Scholar] [CrossRef]
  21. Robert, M.; Sokunroth, C.; Sophea, Y.; Ratha, R.; Chariya, K.; Pao, S. Survey of weed management practices in direct-seeded rice in North-West Cambodia. Agronomy 2021, 11, 498. [Google Scholar]
  22. Oreja, F.H.; Inman, M.D.; Jordan, D.L.; Bardhan, D.; Leon, R.G. Modeling weed community diversity based on species population density dynamics and herbicide use intensity. Eur. J. Agron. 2022, 138, 126533. [Google Scholar] [CrossRef]
  23. Ouyang, C.; Jin, X.; Zhao, H.; Chen, S.; Zhao, G.; Li, D.; Liu, W.; He, X.; Wu, Y.; Yang, J.; et al. Generating broad-spectrum resistance to ALS-Inhibiting herbicides in rice by CRISPR/Cas9-Mediated NHEJ. Rice 2025, 18, 86. [Google Scholar] [CrossRef]
  24. Hulme, P.E. Weed resistance to different herbicide modes of action is driven by agricultural intensification. Field Crops Res. 2023, 292, 108819. [Google Scholar] [CrossRef]
  25. Suman, S.; Ramanjit, K.; Das, T.K.; Shivay, Y.S.; Chaitanya, P.N. Weed control for sustaining rice production under dry seeding systems in North-Western India. Int. J. Pest Manag. 2024, 70, 555–569. [Google Scholar]
  26. Sreekanth, D.; Pawar, V.D.; Mahesh, S.; Chethan, R.C.; Sondhia, S.; Singh, K.P.; Mishra, S.J.; Mukkamula, N.; Kumar, K.B.; Basavaraj, S.P. Elucidating the interactive effects of drought, weeds, and herbicides on the physiological, biochemical, and yield characteristics of rice. Plant Soil 2024, 511, 163–187. [Google Scholar] [CrossRef]
  27. Pamungkas, R.R.U.; Chankaew, S.; Jongrungklang, N.; Monkham, T.; Gonkhamdee, S. Performance of post-emergence herbicides for weed control and soybean yield in thailand. Agriculture 2025, 15, 2148. [Google Scholar] [CrossRef]
  28. Tapas, K.D.; Biswaranjan, B.; Chaitanya, P.N.; Sourav, G.; Suman, S. Herbicides use in crop production: An analysis of cost-benefit, non-target toxicities and environmental risks. Crop Prot. 2024, 181, 181106691. [Google Scholar]
  29. Ray, P.; Bhowmick, M.K.; Ghosh, R.K.; Kumar, S. Herbal Herbicide: A Low-Cost and Eco-Friendly Tool for Weed Management in Smallholder Farming. Indian J. Weed Sci. 2022, 54, 421–430. [Google Scholar] [CrossRef]
  30. Nedeljković, D.; Božić, D.; Malidža, G.; Rajković, M.; Knežević, S.Z.; Vrbničanin, S. Influence of time of weed removal on maize yield and yield components based on different planting patterns, the application of pre-emergence herbicides and weather conditions. Plants 2025, 14, 419. [Google Scholar] [CrossRef]
Figure 1. Changes in the relative abundance of weed species in plot quadrats over time after application of different herbicide combinations.
Figure 1. Changes in the relative abundance of weed species in plot quadrats over time after application of different herbicide combinations.
Agronomy 16 00760 g001
Figure 2. Comparison of plant control efficacy (PCE) against E. crus-galli (left) and A. retroflexus, (right) in each treatment plot following pre-emergence herbicide application. Treatments that do not share the same letter are considered to have significant differences at the same time point (p < 0.05). Abbreviation: PCE = plant control efficacy.
Figure 2. Comparison of plant control efficacy (PCE) against E. crus-galli (left) and A. retroflexus, (right) in each treatment plot following pre-emergence herbicide application. Treatments that do not share the same letter are considered to have significant differences at the same time point (p < 0.05). Abbreviation: PCE = plant control efficacy.
Agronomy 16 00760 g002
Figure 3. Changes in PCE of E. crus-galli in quadrats under different treatments over time following foliar herbicide application. In the figure, letters a–f indicate significant differences in PCE among treatments. Treatments that do not share the same letter are considered to have significant differences at the same time point (p < 0.05). Abbreviation: PCE = plant control efficacy.
Figure 3. Changes in PCE of E. crus-galli in quadrats under different treatments over time following foliar herbicide application. In the figure, letters a–f indicate significant differences in PCE among treatments. Treatments that do not share the same letter are considered to have significant differences at the same time point (p < 0.05). Abbreviation: PCE = plant control efficacy.
Agronomy 16 00760 g003
Figure 4. Changes in PCE of A. retroflexus in quadrats under different treatments over time following foliar herbicide application. Letters a–f in the figure indicate significant differences in PCE among treatments. Treatments that do not share the same letter are considered to have significant differences at the same time point (p < 0.05). Abbreviation: PCE = plant control efficacy.
Figure 4. Changes in PCE of A. retroflexus in quadrats under different treatments over time following foliar herbicide application. Letters a–f in the figure indicate significant differences in PCE among treatments. Treatments that do not share the same letter are considered to have significant differences at the same time point (p < 0.05). Abbreviation: PCE = plant control efficacy.
Agronomy 16 00760 g004
Figure 5. Changes in FWCE for E. crus-galli and A. retroflexus in plot quadrats across different treatments following herbicide application. Letters a–e indicate statistical differences in FWCE among treatments for each weed type; absence of a shared letter denotes significant differences (p < 0.05) between treatments within the same weed category. Abbreviation: FWCE = fresh weight control efficacy.
Figure 5. Changes in FWCE for E. crus-galli and A. retroflexus in plot quadrats across different treatments following herbicide application. Letters a–e indicate statistical differences in FWCE among treatments for each weed type; absence of a shared letter denotes significant differences (p < 0.05) between treatments within the same weed category. Abbreviation: FWCE = fresh weight control efficacy.
Agronomy 16 00760 g005
Figure 6. Correlation analysis was performed between weed control parameters (PCE and FWCE) and rice economic traits (PH, PL, DTM, EPN, PTR, SSR, TGW, and TY). In the figure, asterisks (*) indicate significant correlations between variables (p < 0.05). Red represents positive correlations between variables, while blue represents negative correlations.
Figure 6. Correlation analysis was performed between weed control parameters (PCE and FWCE) and rice economic traits (PH, PL, DTM, EPN, PTR, SSR, TGW, and TY). In the figure, asterisks (*) indicate significant correlations between variables (p < 0.05). Red represents positive correlations between variables, while blue represents negative correlations.
Agronomy 16 00760 g006
Figure 7. Control efficacy of pre-emergence herbicides against E. crus-gall (denoted by letter A in the figure) and A. retroflexus (denoted by letter B in the figure). This part of the experiment was conducted in 2025, and the herbicides used were selected based on the 2024 trial. Treatments that do not share the same letter are considered to have significant differences at the same time point (p < 0.05). Abbreviation: PCE = plant control efficacy.
Figure 7. Control efficacy of pre-emergence herbicides against E. crus-gall (denoted by letter A in the figure) and A. retroflexus (denoted by letter B in the figure). This part of the experiment was conducted in 2025, and the herbicides used were selected based on the 2024 trial. Treatments that do not share the same letter are considered to have significant differences at the same time point (p < 0.05). Abbreviation: PCE = plant control efficacy.
Agronomy 16 00760 g007
Figure 8. Control efficacy of different herbicide treatments against E. crus-galli (left) and A. retroflexus (right) in the plots. This part of the experiment was conducted in 2025, and the herbicides used were selected based on the 2024 trial. Treatments that do not share the same letter are considered to have significant differences at the same time point (p < 0.05). Abbreviation: PCE = plant control efficacy.
Figure 8. Control efficacy of different herbicide treatments against E. crus-galli (left) and A. retroflexus (right) in the plots. This part of the experiment was conducted in 2025, and the herbicides used were selected based on the 2024 trial. Treatments that do not share the same letter are considered to have significant differences at the same time point (p < 0.05). Abbreviation: PCE = plant control efficacy.
Agronomy 16 00760 g008
Table 1. Active ingredient content, application rate, and timing for each herbicide.
Table 1. Active ingredient content, application rate, and timing for each herbicide.
Herbicide
(Common Name)
Active Ingredient ContentApplication Rate (g a.i.·ha−1)Application Date
Oxadiargyl (OXD)12%107.5217 May 2024
Pretilachlor (PTL)33%1084.1217 May 2024
Pendimethalin (PDM)33%295.6717 May 2024; 21 May 2025
Metamifop (MET)10%223.994 June 2024; 22 June 2025
Bispyribac-Sodium (BPS)20%89.614 June 2024; 22 June 2025
Florpyrauxifen-Benzyl (FPB)3%143.364 June 2024; 22 June 2025
Benzobicyclon (BBC)25%335.994 June 2024; 22 June 2025
Fluroxypyr (FLX)20%238.934 June 2024; 22 June 2025
Cyhalofop-Butyl (CHB)40%358.394 June 2024; 22 June 2025
Table 2. Effect of different treatments on weed species richness in the field 1.
Table 2. Effect of different treatments on weed species richness in the field 1.
Treatment7 DAT15 DAT21 DAT30 DAT45 DAT
T10.28 ± 0.04 de0.31 ± 0.02 e0.15 ± 0.03 g0.16 ± 0.04 d0.33 ± 0.05 e
T20.31 ± 0.05 cd0.38 ± 0.04 d0.45 ± 0.06 c0.49 ± 0.06 d0.43 ± 0.01 cd
T30.21 ± 0.10 e0.28 ± 0.03 e0.30 ± 0.07 ef0.49 ± 0.02 b0.47 ± 0.01 bc
T40.37 ± 0.03 bc0.38 ± 0.10 d0.34 ± 0.04 de0.35 ± 0.05 c0.49 ± 0.09 bc
T50.40 ± 0.05 b0.49 ± 0.01 c0.53 ± 0.01 b0.50 ± 0.01 b0.53 ± 0.01 abc
T60.32 ± 0.04 bcd0.33 ± 0.03 de0.40 ± 0.07 cd0.40 ± 0.07 c0.59 ± 0.01 a
T70.35 ± 0.01 bcd0.30 ± 0.01 e0.26 ± 0.06 f0.21 ± 0.05 d0.37 ± 0.12 de
T80.53 ± 0.01 a0.57 ± 0.02 b0.61 ± 0.04 a0.64 ± 0.01 a0.60 ± 0.02 a
T90.54 ± 0.01 a0.68 ± 0.01 a0.65 ± 0.02 a0.62 ± 0.01 a0.57 ± 0.04 ab
T100.60 ± 0.01 a0.58 ± 0.03 b0.58 ± 0.03 ab0.58 ± 0.03 a0.61 ± 0.03 a
1 According to the analysis of variance (ANOVA) results, values within the same column followed by the same letter are not significantly different (p > 0.05), while those with different letters indicate significant differences (p < 0.05).
Table 3. EPN, PTR, SSR, TGW, and TY of rice in plots treated with different herbicide combinations 1,2.
Table 3. EPN, PTR, SSR, TGW, and TY of rice in plots treated with different herbicide combinations 1,2.
TreatmentEPN (Plants·m−2)PTR (%)SSR (%)TGW (kg)TY (kg·ha−1)
T171.67 ± 17.21 e45.33 ± 5.52 de90.86 ± 0.86 abc24.73 ± 0.80 a2984.83 ± 265.76 de
T263.67 ± 13.60 e37.92 ± 10.16 e91.72 ± 1.52 ab24.96 ± 0.25 a2834.75 ± 286.89 ef
T3124.67 ± 27.98 cd52.65 ± 7.45 cd92.49 ± 1.57 ab24.84 ± 0.07 a2901.45 ± 367.61 de
T4269.67 ± 26.28 a75.86 ± 3.74 a91.70 ± 0.47 ab25.42 ± 0.38 a4285.48 ± 165.07 ab
T5199.33 ± 11.15 b68.91 ± 5.95 ab94.35 ± 0.64 a24.9 ± 0.41 a3748.54 ± 85.81 bc
T6142.67 ± 5.79 c57.55 ± 2.88 bcd93.44 ± 0.30 a25.01 ± 0.41 a3468.4 ± 386.05 cd
T796.67 ± 16.52 de66.23 ± 6.00 abc87.01 ± 3.88 c24.45 ± 0.23 a2284.48 ± 386.05 ef
T872.67 ± 17.44 e46.39 ± 6.94 de88.36 ± 2.96 bc24.59 ± 1.11 a2084.38 ± 188.66 g
T959.67 ± 13.02 e34.24 ± 7.09 e92.88 ± 2.52 a24.80 ± 0.25 a1917.63 ± 224.96 g
T11294.00 ± 13.59 a79.81 ± 5.58 a94.81 ± 0.07 a25.59 ± 0.29 a4662.33 ± 94.21 a
1 According to the results of ANOVA, within each column, treatments sharing the same letter are not significantly different (p > 0.05), while those with different letters indicate significant differences (p < 0.05). 2 Abbreviation: EPN = effective panicle number, PTR = productive tiller rate, SSR = seed setting rate, TGW = thousand-grain weight, TY = theoretical yield.
Table 4. Limits of detection (LOD), limits of quantification (LOQ), and maximum residue limits (MRLs) for each herbicide.
Table 4. Limits of detection (LOD), limits of quantification (LOQ), and maximum residue limits (MRLs) for each herbicide.
HerbicideLOD (mg·kg−1)LOQ (mg·kg−1)MRLs (mg·kg−1)
Oxadiargyl (OXD)0.0030.0120.1
Pretilachlor (PTL)0.0010.0040.1
Pendimethalin (PDM)0.0010.0040.05
Metamifop (MET)0.0020.0080.2
Bispyribac-Sodium (BPS)0.0010.0040.05
Florpyrauxifen-Benzyl (FPB)0.020.080.2
Benzobicyclon (BBC)0.0010.0040.05
Fluroxypyr (FLX)0.020.080.1
Cyhalofop-Butyl (CHB)0.0010.0040.05
Table 5. KMO and Bartlett’s test.
Table 5. KMO and Bartlett’s test.
ItemKMO Measure of Sampling AdequacyBartlett’s Test of Sphericity
Approx. Chi-SquaredfSig.
Value0.748266.317550.000
Table 6. Principal component analysis of ten indicators across treatments 1,2.
Table 6. Principal component analysis of ten indicators across treatments 1,2.
IndexP1P2P3
PH0.050.240.74
PL−0.200.430.97
DTM0.010.480.72
EPN0.710.450.47
PTR0.320.530.78
SSR0.220.450.85
TGW0.52−0.230.33
TY0.10−0.050.84
PCE−0.210.58−0.06
FWCE0.610.860.63
EV7.031.330.94
Contribution Rate (%)70.5013.319.25
CVE (%)70.5083.8193.06
1 Principal component analysis was performed after range normalization of the data for each indicator. 2 Abbreviation: PH = plant height, PL = panicle length, DTM = days to maturity, EPN = effective panicle number, PTR = productive tiller rate, SSR = seed setting rate, TGW = thousand-grain weight, TY = theoretical yield, PCE = plant control efficacy, FWCE = fresh weight control efficacy, CVE = cumulative variance explained.
Table 7. Principal component score coefficient matrix 1.
Table 7. Principal component score coefficient matrix 1.
IndexP1P2P3
PH0.21−0.140.15
PL0.32−0.22−0.08
DTM−0.17−0.060.88
EPN0.160.08 −0.13
PTR0.32−0.16−0.14
SSR−0.300.540.06
TGW−0.050.31−0.03
TY0.020.150.13
PCE0.090.23−0.28
FWCE0.090.030.16
1 Abbreviation: PH = plant height, PL = panicle length, DTM = days to maturity, EPN = effective panicle number, PTR = productive tiller rate, SSR = seed setting rate, TGW = thousand-grain weight, TY = theoretical yield, PCE = plant control efficacy, FWCE = fresh weight control efficacy.
Table 8. Comprehensive scores and ranking of different treatments.
Table 8. Comprehensive scores and ranking of different treatments.
TreatmentY1Y2Y3YRank
T40.710.450.470.651
T60.420.450.850.472
T50.320.530.780.403
T70.52−0.230.330.394
T80.10−0.050.840.165
T30.010.480.720.156
T10.050.240.740.157
T2−0.200.430.970.018
T9−0.210.58−0.06−0.089
Table 9. Two-way ANOVA for different years and treatments 1.
Table 9. Two-way ANOVA for different years and treatments 1.
IndicatorsYearTreatmentYear × Treatment
PCE21.021 *24.159 *0.788
FWCE24.905 *19.921 *0.473
EPN27.795 *7.682 *0.616
PTR3.8454.928 *0.712
SSR3.5722.24419.953 *
TGW10.994 *4.024 *0.64
TY53.202 *1.4452.54
1 Values in the table represent F-values from the mixed-effects analysis. * indicates p < 0.05.
Table 10. Effects of different treatments on rice economic traits 1,2.
Table 10. Effects of different treatments on rice economic traits 1,2.
TreatmentEPN (Plants·m−2)PTR (%)SSR (%)TGW (kg)TY (kg·ha−1)
T4375.00 ± 54.87 ab74.70 ± 8.89 a91.64 ± 2.12 a24.02 ± 0.07 a5355.57 ± 440.06 ab
T5293.40 ± 52.06 b73.13 ± 8.65 a92.77 ± 2.01 a23.98 ± 0.45 a5001.02 ± 307.59 b
T6352.40 ± 44.35 ab72.93 ± 8.53 a91.06 ± 3.85 a23.54 ± 0.62 a4799.44 ± 421.37 b
T11389.80 ± 54.05 a75.88 ± 7.90 a94.93 ± 1.74 a24.08 ± 0.57 a5816.24 ± 358.39 a
1 According to the analysis of variance (ANOVA) results, values within the same column followed by the same letter are not significantly different (p > 0.05), while those with different letters indicate significant differences (p < 0.05). 2 Abbreviation: EPN = effective panicle number, PTR = productive tiller rate, SSR = seed setting rate, TGW = thousand-grain weight, TY = theoretical yield.
Disclaimer/Publisher’s Note: The statements, opinions and data contained in all publications are solely those of the individual author(s) and contributor(s) and not of MDPI and/or the editor(s). MDPI and/or the editor(s) disclaim responsibility for any injury to people or property resulting from any ideas, methods, instructions or products referred to in the content.

Share and Cite

MDPI and ACS Style

Li, N.; Wen, L.; Sun, W.; Liu, J.; Liang, Y.; Han, L.; Xu, X.; Hong, M. Effects of Different Herbicide Combinations on Weed Control Efficacy and Rice Economic Traits Under Shallow-Buried Drip Irrigation. Agronomy 2026, 16, 760. https://doi.org/10.3390/agronomy16070760

AMA Style

Li N, Wen L, Sun W, Liu J, Liang Y, Han L, Xu X, Hong M. Effects of Different Herbicide Combinations on Weed Control Efficacy and Rice Economic Traits Under Shallow-Buried Drip Irrigation. Agronomy. 2026; 16(7):760. https://doi.org/10.3390/agronomy16070760

Chicago/Turabian Style

Li, Nan, Li Wen, Wurina Sun, Jicong Liu, Yi Liang, Lei Han, Xingjian Xu, and Mei Hong. 2026. "Effects of Different Herbicide Combinations on Weed Control Efficacy and Rice Economic Traits Under Shallow-Buried Drip Irrigation" Agronomy 16, no. 7: 760. https://doi.org/10.3390/agronomy16070760

APA Style

Li, N., Wen, L., Sun, W., Liu, J., Liang, Y., Han, L., Xu, X., & Hong, M. (2026). Effects of Different Herbicide Combinations on Weed Control Efficacy and Rice Economic Traits Under Shallow-Buried Drip Irrigation. Agronomy, 16(7), 760. https://doi.org/10.3390/agronomy16070760

Note that from the first issue of 2016, this journal uses article numbers instead of page numbers. See further details here.

Article Metrics

Back to TopTop