Next Article in Journal
Optimizing Diversified Crop Rotation Strategies Under Temperature and Precipitation Change Scenarios in a Typical Agro-Pastoral Ecotone Using the APSIM Model
Next Article in Special Issue
Recent Advances in Diagnosing and Managing Phytoplasma Diseases
Previous Article in Journal
Genetic Diversity and Lineage Distribution of Hypera postica (Gyllenhal) Populations in Xinjiang, China
Previous Article in Special Issue
Morphological and Molecular Profiling of Cercophora sp. and Studying Its Potential Effect on Legume Growth Performance Under Drought Conditions
 
 
Font Type:
Arial Georgia Verdana
Font Size:
Aa Aa Aa
Line Spacing:
Column Width:
Background:
Article

Effects of Gramineous and Leguminous Crops on Soil Microbial Community Structure and Diversity

1
School of Life Sciences, Hebei University, Baoding 071002, China
2
Longquansi Township People’s Government, Xingtai 054000, China
*
Authors to whom correspondence should be addressed.
Agronomy 2026, 16(3), 380; https://doi.org/10.3390/agronomy16030380
Submission received: 9 December 2025 / Revised: 21 January 2026 / Accepted: 3 February 2026 / Published: 4 February 2026

Abstract

Different crops have varying effects on soil factors, and their associated microbial community compositions also differ. Currently, there is limited comparative research on crops with distant phylogenetic relationships, such as those between gramineous and leguminous species. In this study, a pot experiment combined with high-throughput sequencing was conducted to enable a detailed comparison of microbial communities and soil factors across four crops: wheat, soybean, and two maize varieties. Compared to leguminous crops, differences between gramineous crops may be relatively smaller. The results showed that among the gramineous and leguminous crops, soybean had the lowest effect on soil electrical conductivity (EC) and available phosphorus (AP) (121.68 ± 2.70, 34.74 ± 1.02). The dominant fungi and bacteria phyla were Ascomycota and Proteobacteria; both were most abundant in the ZD958 variety, at 75.12% and 30.47%, respectively. The fungal diversity of ZD958 was most similar to that of W998, whereas the bacterial diversity of XY335 more closely resembled that of SB13. EC and AP were the key factors influencing fungal community composition, while alkali-hydrolyzable nitrogen (AN) was the key factor affecting bacterial community composition. These findings provide a basis for further in-depth research.

1. Introduction

Crops play a vital role in the development of human civilization and animal husbandry. They are rich in macronutrients such as carbohydrates, proteins, and lipids, as well as micronutrients like calcium and iron; additionally, crops are known to have protective effects against metabolic diseases, including diabetes and cardiovascular disorders, making them widely recognized as essential for human health [1,2,3,4]. Furthermore, crops can be utilized as animal feed, thereby supporting the growth of the livestock industry [5]. However, with the continuously increasing demand for crops, a series of urgent challenges have emerged, including rising incidences of crop diseases and severe autotoxicity, ultimately leading to declines in crop quality and yield. These issues are largely attributed to irrational land use, monoculture cropping systems, and inappropriate application of chemical fertilizers [6].
With the continuous advancement of sustainable agriculture, microbial regulation technology has gradually gained widespread attention. Microbial communities serve as indispensable components of ecosystems and hold significant potential in regulating crop growth and promoting sustainable agricultural development. For instance, biofilms formed by plant growth-promoting microorganisms (PGPMs) can respond to and mitigate abiotic stresses [7]. Of particular importance are rhizosphere soil microorganisms, which, unlike other microbial groups, exert stronger and more extensive influences on plant nutrient uptake and health [8,9]. For example, plant growth-promoting rhizobacteria (PGPR) can enhance crop growth and positively affect nitrogen fixation and assimilation in crops [10]. Rhizosphere biocontrol microorganisms produce antimicrobial substances that suppress pathogens, enhance plant resistance, and improve soil conditions, thereby indirectly promoting plant growth and development [11]. Given the critical role of rhizosphere microorganisms in crop growth, a more detailed and in-depth understanding of these microbial communities is essential [12].
Currently, most research on crop rhizosphere microorganisms focuses on the same species or closely related crops. For example, a study on the rhizosphere soil microbial communities of Nivara and medicinal wild rice highlighted that the bacterial and fungal community structures of each share greater similarity with those of indica rice than with japonica rice [13]. An investigation into the rhizosphere microorganisms of three different oat varieties revealed that the oat type significantly influenced the structure of their associated rhizosphere fungal communities. Although the microbial abundance varied among the oat varieties, the differences were relatively minor [14]. Research on the rhizosphere microorganisms of Stellera chamaejasme across different age classes demonstrated that with increased age, both the number and richness of rhizosphere microbial species significantly increased [15]. However, only a limited number of studies have addressed crops of different species or those with distant genetic relationships. For instance, a study found that the rhizosphere microbial community structure differed significantly between various salt–alkali-tolerant plant species [16]. To date, the specific differences in rhizosphere microbial community composition and soil factors among major economically important crops with distant genetic relationships remain unclear. Therefore, a better understanding of how different categories of crops influence soil microbial community structures and the compositional differences among these microbial groups is needed. Gaining deeper insights into the structural and diversity dynamics of rhizosphere microbial communities will contribute to constructing more favorable rhizosphere microenvironments for crop growth and promoting sustainable agricultural development.
High-throughput sequencing technology, enabling the simultaneous sequencing of millions of DNA molecules, is a milestone in the development of sequencing techniques. This capability significantly enhances its ability to comprehensively analyze species’ genomes and transcriptomes; hence, it is also referred to as deep sequencing [17] or next-generation sequencing (NGS) [18]. Sequencing technology is currently advancing rapidly, with short experimental cycles, high efficiency, and strong accuracy now possible to achieve.
We conducted random block experiments using potted plants and selected Z. mays L. cv. ZD958, XY335, Triticum aestivum L. cv. W998, and Glycine max L. cv. SB13 (all characterized by a high yield stability and strong disease resistance) as the test crops. Through high-throughput sequencing technology, the microbial community structures in the rhizosphere soil of these different crops and a control soil were analyzed and compared from multiple perspectives and dimensions. In addition, we propose the following experimental hypotheses: (1) The rhizosphere microbial community structures of the three Poaceae crops will exhibit greater similarity compared to those of the legume crops. (2) The rhizosphere microbial community structures will be more similar between the two maize varieties of the three Poaceae crops. (3) The influence of the Poaceae crops on soil factors will be more similar compared to that of the legume crops. Our aim is to gain a clearer understanding of the microbial communities in the rhizosphere soil of different crop species, and also to better comprehend their similarities and differences. This will provide theoretical support and a basis for subsequent efforts, such as in establishing protective resident microbial communities that are more conducive to crop growth [19], developing more effective and diversified planting methods, and reducing reliance on chemical fertilizers.

2. Materials and Methods

2.1. Experimental Soil

Experimental loam-type soil was collected from farmland in the suburban area of Baoding City, Hebei Province. Prior to the experiment, soil was sieved through a 2 mm mesh to remove impurities such as plant debris and gravel. The sieved soil was then air-dried naturally for subsequent use. The baseline soil fertility parameters were as follows: soil organic matter (SOM) 41.47 mg/g, soil organic carbon (SOC) 24.05 mg/g, alkali-hydrolyzable nitrogen (AN) 99.51 mg/kg, available phosphorus (AP) 41.92 mg/kg, pH 6.56, and electrical conductivity (EC) 431.6 us/cm. Prior to commencing the experiment, soil nutrients were supplemented by adding the following components (mg/kg): EDTA-FeNa 5.5, KH2PO4 438.6, (NH4)2SO4 188.68, MnSO4·H2O 6.67, ZnSO4·7H2O 10, CuSO4·5H2O 2, H3BO3 0.67, (NH4)6Mo7O24·4H2O 0.122.

2.2. Experimental Seeds

The seed varieties used in the experiment were Z. mays L. cv. ZD958, Z. mays L. cv. XY335, Triticum aestivum L. cv. W998, Glycine max L. cv. SB13, all of which were varieties approved by the China National Crop Variety Approval Committee and obtained through official channels. ZD958 has been approved under the “National Rice and Maize Variety Approval Standards” (China), with the approval number National Approved Maize 20000009; XY335 has been approved under the “National Rice and Maize Variety Approval Standards” (China), with the approval number National Approved Maize 2004017; W998 has been approved under the “National Wheat Variety Approval Standards” (China), with the approval number National Approved Wheat 20210125; and SB13 has been approved under the “National Soybean Variety Approval Standards” (China), with the approval number National Approved Soybean 2001008. After removing the seed coating from the corn seeds, the surfaces of all seeds were sterilized using 10% H2O2 for 10 min. Subsequently, the seeds were soaked under the following conditions: Z. mays L. cv. ZD958 and Z. mays L. cv. XY335 were soaked for 12–13 h, Triticum aestivum L. cv. W998 for 2 h, and Glycine max L. cv. SB13 for 3–4 h. After soaking, the seeds were evenly placed in germination boxes and covered with moistened filter paper to maintain humidity. The seeds were then placed in the dark for 48 h to germinate at room temperature.

2.3. Experimental Design

The experiment was conducted using pot cultivation with a single-factor, completely randomized design. Based on the crop species and experimental controls, five treatments were set up, each with six replicates, totaling 30 pots. Before the experiment began, the prepared soil was thoroughly mixed to ensure uniformity. After seed germination, seeds with intact morphology, that were free from pathogen infection, and had normal germination potential were selected and transplanted into standardized plastic pots (diameter 17.5 cm, height 12 cm). Each pot was filled with 3.6 kg of soil. For Z. mays L. cv. ZD958, Z. mays L. cv. XY335, and Glycine max L. cv. SB13, 9 seeds were sown per pot, while Triticum aestivum L. cv. W998 required 160 seeds per pot. The potted crops were placed in an artificial climate chamber for cultivation and harvested after 90 days of growth. The climate chamber simulated 16 h of daylight and 8 h of darkness, with an average daytime temperature of 28 °C and nighttime temperature of 22 °C and a relative air humidity maintained between 55% and 75%.

2.4. Measurements and Methods

2.4.1. Soil Parameters

After harvest, the soil (with crop roots removed) was air-dried naturally. Once dried, representative samples were collected and stored in pre-labeled kraft paper bags for subsequent physicochemical analysis. Alkali-hydrolyzable nitrogen was determined using the alkaline hydrolysis–diffusion method [20]; available phosphorus was measured via the sodium bicarbonate extraction–molybdenum antimony colorimetric method; soil organic matter was quantified using the potassium dichromate external heating method [21]; soil pH was measured using a Sartorius pH meter (PB-10) (Sartorius is the manufacturer, headquartered in Göttingen, Germany.); and electrical conductivity (μS/cm) was determined with a STARTER 3100C conductivity meter (The manufacturer is Ohaus, which originates from the United States.).

2.4.2. High-Throughput Sequencing

Sample Collection. Rhizosphere soil of different crops was collected using the shaking method and employed for subsequent high-throughput sequencing. When the crops reached 90 days of growth, the aboveground parts were cut off with pruning shears. After removing surface impurities, the entire soil mass, including the root system, was removed from the pot. The extracted soil was placed on a sieve, and the bulk soil attached to the roots was crushed and shaken off, with the remaining soil adhering to the root surface was considered rhizosphere soil. The collected rhizosphere soil was placed in 10 mL centrifuge tubes and stored at −80 °C for later use. Bacterial (16S amplicon) and fungal (ITS amplicon) analyses were performed on both the crop rhizosphere soil and control soil.
Sample Sequencing. After a test sample passed a DNA quality check (showing a clear main band in the DNA detection), it underwent PCR amplification. The primers used in the PCR amplification were barcode-specific primers. The fungal amplification region was ITS1-5F; primer names: 1737F, 2043R; primer sequences: GGAAGTAAAAGTCGTAACAAGG, GCTGCGTTCTTCATCGATGC. The bacterial amplification region was 16SV4; primer names: 515F, 806R; primer sequences: GTGCCAGCMGCCGCGGTAA, GGACTACHVGGGTWTCTAAT. For PCR product acquisition, the following components were added to each reaction mixture: 15 µL of Phusion High-Fidelity PCR Master Mix, 0.2 µM of primer, and 10 ng of genomic DNA template. Initial Denaturation: 98 °C for 1 min; denaturation: 98 °C for 10 s; annealing: 50 °C for 30 s; extension: 72 °C for 30 s; final extension: 72 °C for 5 min. After obtaining the PCR products, purification—using magnetic beads—and pooling were performed. The magnetic bead purification method is used for purification, and equal amounts are required during pooling. Upon passing quality inspection, a library was constructed using the TruSeq DNA PCR-Free Library Prep Kit, and it was then quantified using Qubit and qPCR. After passing another quality check, sequencing was carried out on the Novaseq 6000 platform, with a sequencing data volume of 50,000 tags. The sequencing of crop rhizosphere soil and control group soil samples was outsourced to Beijing Novogene Co., Ltd. (Beijing, China).

2.5. Data Processing and Analysis

Firstly, Raw Tags were obtained; then, importantly, fastp (Version 0.23.1) software was used to filter them to produce high-quality data (Clean Tags) [22]. Secondly, Clean Tag chimeric sequences were removed to obtain final Effective Tags [23], for which the DADA2 method was used for denoising [24]. Sequences were clustered at 100% similarity. Each de-weighted sequence after denoising was called an ASV (Amplicon Sequence Variant), and these sequences were compiled into a feature table. Table shows the sequence abundances across samples, and Table is similar to an OTU table. We used the Classium-sklearn algorithm in QIIME2 (202202) software to annotate the species [25]. A pre-trained naïve Bayes classifier was used to annotate each ASV. The fungal annotation library used was Unite v9.0 but for bacteria, we used Silva 138.1. The data from each sample were subjected to normalization, using the sample with the smallest data volume as the standard for subsequent normalization. Subsequent alpha diversity analysis and beta diversity analyses were both performed using on the normalized data. The following were all created or conducted in R software (version 4.0.3): dilution curves and species accumulation box plots; Venn diagrams using the VennDiagram function; principal coordinate analysis (PCoA) with the ade4 and ggplot2 packages; ternary plots using the vcd function; and a canonical correspondence analysis (CCA) to examine the relationship between soil factors and microbial community structure. Microbial species abundance bar charts were produced using the SVG function in Perl (version 5.26.2). For the β-diversity heatmap, Weighted Unifrac distances were calculated with QIIME2 (version 202202), and the heatmap was subsequently generated using Perl. Alpha diversity indices, including Shannon, Simpson, and Chao1, were also computed with QIIME2. Differences in alpha diversity indices between groups were assessed using the Kruskal–Wallis rank-sum test to determine whether intergroup differences in species diversity were statistically significant. Functional predictions for fungi and bacteria were conducted using FunGuild and FAPROTAX, respectively. For network analysis, Graphviz software (version 2.38) was used to compute Spearman’s correlation coefficients across all samples, resulting in a species correlation matrix. The network was then constructed by applying specific filtering criteria: removing connections with correlation coefficients < 0.6, eliminating self-loops, and excluding links where node abundance was below 0.005%. High-throughput sequencing data visualization was conducted on the Novogene Cloud Platform (https://magic-plus.novogene.com/ (accessed on 1 May 2025)). Soil factor data were statistically processed and subjected to one-way ANOVA, with statistical analysis performed using SPSS 25.0.
For clarity in subsequent data analysis, the experimental treatment groups were designated as follows: ZD (Z. mays L. cv. ZD958 rhizosphere soil), XY (Z. mays L. cv. XY335 rhizosphere soil), W (Triticum aestivum L. cv. W998 rhizosphere soil), SB (Glycine max L. cv. SB13 rhizosphere soil), and PS (control group soil: without crop cultivation).

3. Results

3.1. Effects of Different Crop Species on Soil Factors

The effects of different crop types on soil physicochemical properties and nutrient content are presented in Table 1. Regarding the impact on soil pH, the PS, XY, W, and SB groups all showed highly significant differences compared to the ZD group (p < 0.01): The PS group had the lowest soil pH. Among the three gramineous crops, the ZD group exhibited the highest pH, followed by the XY group, while the W group had the lowest. When comparing leguminous crops with gramineous crops, the SB group’s pH was only higher than that of the W group. In terms of EC, the XY and SB groups displayed highly significant differences compared to the PS, ZD, and W groups (p < 0.01): The PS group had the highest EC. Among the three gramineous crops, the W group showed the highest EC, followed by ZD, while the XY group had the lowest; however, all were higher than that of the leguminous SB group.
The influence of different crop types on AN showed no significant differences, with the PS group exhibiting the lowest level. Among the three gramineous crops, the ZD and XY groups had similar AN values, both being lower than that of the W group. The leguminous SB group contained less AN than the gramineous W group but more than the ZD and XY groups. Regarding the impact on AP, there were highly significant differences (p < 0.01) between the XY, SB, and other treatment groups, with the SB group having the lowest AP. Among the three gramineous crops, the ZD group exhibited the highest AP, followed by the W group, while the XY group had the lowest. Concerning SOC and SOM, the PS, ZD, XY, and W groups showed highly significant differences (p < 0.01) compared to the SB group, with the PS group having the lowest SOC and SOM. The leguminous crop (SB group) had higher SOC and SOM values than the three gramineous crops, among which the XY group had the highest SOC and SOM, followed by the ZD group, while the W group had the lowest.

3.2. Microbial Sequencing Results of Rhizosphere Soil and Control Group Soil from Crops

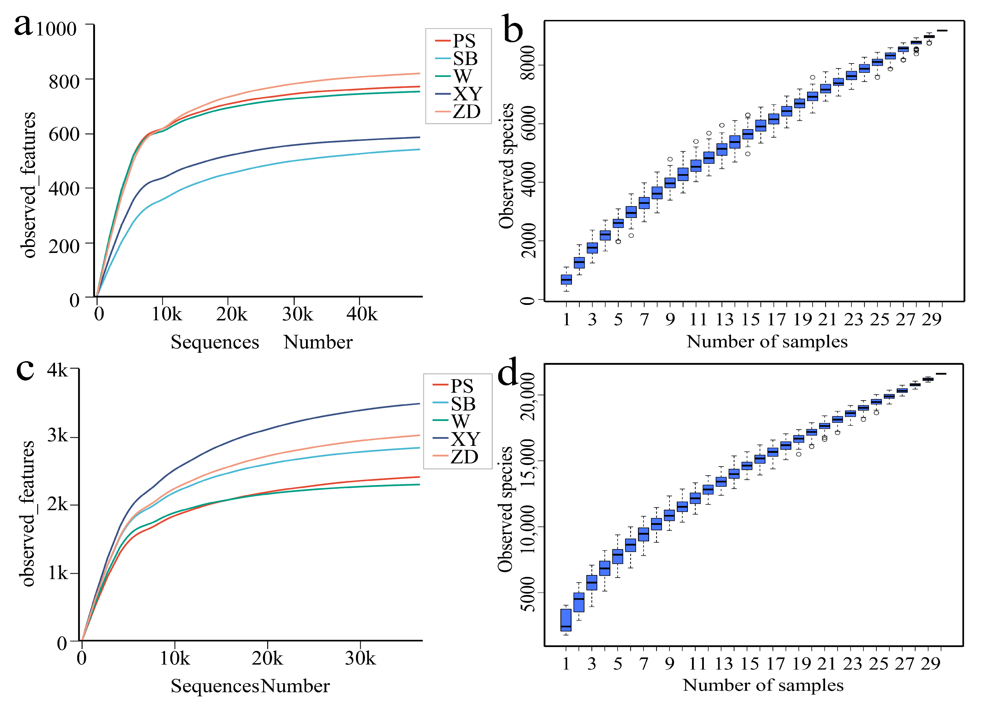
The observed_features rarefaction curves of all of the treatment groups reached stable plateaus, indicating good and consistent sequencing coverage. The species accumulation boxplot revealed that the curve gradually flattened with increasing sample size; when the sample size exceeded 30, the number of newly detected species did not increase significantly, demonstrating sufficient sampling for subsequent data analysis (Figure 1). The total number of sequences, average sequence length obtained from fungal and bacterial sequencing, and the specific number and length of sequences for each treatment group are provided in Table A1.

3.3. Microbial Community Structure and Diversity Analysis

3.3.1. Distribution of Microbial ASVs in Crop Rhizosphere Soil and Control Soil

Sequencing of the fungal rhizosphere soils and control soils yielded a total of 9275 ASVs. Among these, the PS group contained 2968 ASVs, the ZD group had 3114 ASVs, the XY group comprised 2395 ASVs, the W group included 3144 ASVs, and the SB group accounted for 2289 ASVs. The Venn diagram below illustrates the differences in soil microbial communities among the different treatment groups; as shown in Figure 2a, the five treatment groups shared 351 ASVs. There were 1547, 1472, 1077, 1683, and 963 unique ASVs in the PS, ZD, XY, W, and SB groups, respectively. The proportions of unique ASVs relative to the total ASVs in each group were 52.12%, 47.27%, 44.97%, 53.53%, and 42.07%, respectively. Additionally, the number of unique fungal ASVs in the rhizosphere soils of the three gramineous crops was higher than that in the leguminous crop.
A total of 22,593 ASVs were obtained from sequencing the bacteria in the rhizosphere and control soil: the PS group had 6935 ASVs and the ZD group had 8462 ASVs. In addition, there were 9365 ASVs from the XY group and 7456 ASVs from the W group. Lastly, the SB group had 8765 ASVs. Figure 2b shows that the five treatment groups shared 2253 ASVs. The PS group had 2265 unique ASVs, the ZD group had 2504 unique ASVs, the XY group had 2932 unique ASVs, the W group had 2537 unique ASVs, and the SB group had 3131 unique ASVs. The percentages of unique ASVs in each group were 32.66%, 29.59%, 31.31%, 34.03%, and 35.72%, with the PS group having the lowest number of unique ASVs. This result shows that growing different crops affects the soil’s bacterial communities. In addition, the specific number of ASVs in the rhizosphere soil of the leguminous crops was higher than that of the gramineous crops.

3.3.2. Relative Abundance of Microbial Phyla in Rhizosphere Soils of Crops and Control Soils

High-throughput sequencing detected a total of 16 phyla, 49 classes, 102 orders, 216 families, 450 genera, and 636 species of fungal taxa across the different crop rhizosphere soils and control soils. At the phylum level, the top 10 most abundant fungal communities in both crop rhizosphere soils and control soils were Ascomycota, Basidiomycota, Mucoromycota, Mortierellomycota, Glomeromycota, Fungi_phy_Incertae_sedis, Chytridiomycota, Rozellomycota, Zoopagomycota, and Blastocladiomycota (Figure 3a). The relative abundance of the same fungal phylum differed between the treatment groups; for example, Ascomycota showed the highest proportion in the ZD group (75.12%) and the lowest in the XY group (44.33%). Ascomycota’s proportions in the W and SB groups were 58.90% and 63.65%, respectively. Basidiomycota reached its peak abundance in the PS group (4.95%) and its lowest in the SB group (0.59%); its proportions in the ZD, XY, and W groups were 2.20%, 0.94%, and 3.54%, respectively. These findings indicate that different crop types influence the fungal community structure in rhizosphere soil differently, leading to variations in both composition and relative abundance.
A total of 46 phyla, 117 classes, 269 orders, 379 families, 682 genera and 361 species of bacterial were detected in the rhizosphere soil of the different crops and the control group soils. At the phylum level, the 10 most abundant bacterial communities in the rhizosphere and control group soil were Proteobacteria, Crenarchaeota, Acidobacteriota, Gemmatimonadota, Actinobacteriota, Chloroflexi, Planctomycetota, Methylomirabilota, Myxococcota, and Bacteroidota (Figure 3b). The relative abundance of the same bacterial phylum differed between the different treatments; for example, Proteobacteria had the highest abundance in the ZD group (30.47%) and the lowest in the SB group (23.85%). Proteobacteria’s abundance in the XY, W, and PS groups were 26.28%, 24.18%, and 27.58%. Acidobacteriota had the highest proportion in the XY group (16.96%). Acidobacteriota accounted for the smallest proportion in the ZD group (13.17%), and its proportions in the W, SB, and PS groups were 14.48%, 15.77%, and 15.89%. Actinobacteriota had the highest proportion in the PS group (15.26%), accounted for the smallest proportion in the SB group (11.95%), and was present in the ZD, XY, and W groups at proportions of 15.21%, 15.09%, and 13.57%.

3.3.3. Relative Abundance of Microbial Genera in Crop Rhizosphere Soils and Control Group Soils

The 10 fungal genera with the greatest relative abundance at the genus level in the soil fungi were Acrophialophora, Humicola, Fusarium, Stachybotrys, Talaromyces, Setophoma, Gloeoporus, Blumeria, Papulaspora, and Issatchenkia (Figure 4a). Variations in the relative abundance of the same fungal genera across different groups were observed in both crop rhizosphere soils and control group soils. For example, Acrophialophora exhibited the highest proportion in the XY group (12.74%) and the lowest in the PS group (0.83%), with intermediate values in the ZD (2.88%), W (11.54%), and SB (2.16%) groups. Humicola was most abundant in the SB group (9.44%) and least abundant in the XY group (0.92%), with proportions in the W (1.54%), ZD (1.68%), and PS (7.95%) groups falling between these extremes. Fusarium reached its highest proportion in the ZD group (11.59%) and its lowest in the SB group (1.79%).
The 10 bacterial genera with the greatest relative abundance at the taxonomic level in soil bacteria were Sphingomonas, Gemmatimonas, unidentified_Vicinamibacterales, unidentified_Gemmatimonadaceae, Candidatus_Nitrososphaera, Gaiella, Solirubrobacter, Candidatus_Nitrocosmicus, RB41, and MND1 (Figure 4b). The relative abundance of the same bacterial genus still varied across the different treatments. Specifically, RB41 had the highest proportion in the XY group (2.59%) and the lowest in the ZD group (1.95%), with proportions in the W, SB, and PS groups at 2.06%, 2.16%, and 2.50%, respectively. Sphingomonas showed the highest proportion in the PS group (2.61%) and the lowest in the SB group (1.83%), while its proportions in the ZD, XY, W groups were 2.66%, 2.30%, and 2.10%, respectively. Gemmatimonas reached its highest proportion in the W group (2.32%) and its lowest in the ZD group (0.88%), with proportions in the XY, SB, and PS groups at 0.10%, 1.38%, and 1.42%, respectively.

3.3.4. Alpha Diversity Analysis of Microbial Communities in Crop Rhizosphere and Control Soil

The Chao1 index of the ZD group was higher than that of the PS group. The Chao1, Shannon, and Simpson indices of the W group were all higher than those of the PS group. These results show that planting Z. mays L. cv. ZD958 and Triticum aestivum L. cv. W998 can increase the species richness of soil fungal communities (Table A2). The α-diversity of the soil microbial communities across different groups was analyzed using the Kruskal–Wallis rank-sum test based on the Shannon–Weiner (Figure 5a) and Simpson (Figure 5b) indices. The results revealed a difference in the Shannon–Weiner index between the PS and ZD groups (p = 0.0397), indicating that the ZD group had significantly reduced soil fungal community diversity compared to that of the PS group. The XY and SB groups showed significant differences from the PS group (p = 0.0001 and 0, respectively); these groups showed reduced soil fungal community diversity. At the same time, the Simpson index showed a significant difference between the PS and ZD groups (p = 0.047). The ZD group exhibited significantly decreased soil fungal community diversity, and the XY and SB groups also exhibited extremely significant differences compared to the PS group (p = 0.0001 and 0). These groups had severely diminished soil fungal community diversity.
The Chao1 indexes were ranked as follows: XY > SB > ZD > W > PS. The Shannon–Weiner indexes were ranked as follows: XY > SB > W > ZD > PS. Lastly, the Simpson indexes were ranked in the following order: W > ZD = XY = SB > PS. These results indicate that, compared to the control group, the other groups increased the species richness of the soil microbial bacterial communities (Table A3). There were significant differences in the Shannon–Weiner indexes (Figure 5c) between the PS group and both the ZD and SB groups (p = 0.0394 and 0.0221, respectively). Compared to the PS group, the ZD and SB groups enhanced the soil bacterial community diversity (Figure 5c); in addition, an extremely significant difference was observed between the PS and XY groups (p = 0.0012). The results showed that the XY group improved the soil bacterial community diversity more compared to the PS group. The Simpson indexes (Figure 5d) were significantly different between the PS group and the XY, W, and SB groups (p = 0.0451), suggesting that the XY, W, and SB groups significantly increased the soil bacterial community diversity.

3.3.5. Analysis of Beta Diversity in Microbial Communities Between Crop Rhizosphere Soil and Control Group Soil

We conducted a β-diversity analysis on the microbial communities in different crop rhizosphere soils and control group soils. The Weighted Unifrac distance was used to measure the dissimilarity between the samples—a smaller value indicates higher similarity in species diversity. Among the three gramineous crops, the ZD-XY dissimilarity coefficient was 0.831, the ZD-W dissimilarity coefficient was 0.531, and the XY-W dissimilarity coefficient was 0.929. The results showed that the ZD and W groups had the most similar rhizosphere fungal diversity (Figure 6a); also, when comparing gramineous and leguminous crops, the XY and SB groups exhibited greater similarity.
Regarding the species diversity of the soil microbial bacterial communities, the dissimilarity coefficients among the three groups of Poaceae crops were 0.081, 0.129, and 0.102 for ZD-XY, ZD-W, and XY-W, respectively. The rhizosphere soil bacterial species diversity was more similar between the ZD and XY groups (Figure 6b), and compared to the leguminous crops, the XY group exhibited the greatest similarity to the SB group out of the Poaceae crops.
A principal coordinate analysis (PCoA) analysis was performed based on the Weighted UniFrac distance; the principal coordinate axes PC1 and PC2 explained 45.06% and 20.03% of the community composition variation, respectively. Figure 7 showed that the SB group was distinctly separated from the other groups, indicating significant differences in soil fungal composition and community structure between the SB group and the remaining groups. In contrast, the ZD, XY, and W groups exhibited partial overlap, suggesting some similarities in rhizosphere soil fungal composition and community structure between these three groups (Figure 7a).
A principal coordinate analysis was also used to analyze the soil bacteria, the results of which showed that the PC1 axis explained 41.91% and the PC2 axis explained 19% of the variation in community composition. The different groups were relatively close to each other in terms of distance, and their distribution was clearly concentrated. These results showed that differences in the soil bacterial composition and community structure between the treatment groups and control group were small; in addition, some of their community structures were similar (Figure 7b).

3.3.6. Analysis of Rhizosphere Soil Microbial Community Structure in Gramineous Crops

To further analyze and clarify the differences in the structural composition of the rhizosphere soil microbial communities among three closely related Poaceae crops, ternary phase diagrams were employed to visually represent the microbial community structure and composition. At the family taxonomic level, the rhizosphere soil fungal community of Triticum aestivum L. cv. W998 exhibited high abundances of Saccharomycetaceae, Irpicaceae, Rhizopodaceae, Pleosporaceae, and Erysiphaceae. In contrast, Z. mays L. cv. ZD958 displayed high abundances of Nectriaceae, Phaeosphaeriaceae, and Chaetomiaceae, while Z. mays L. cv. XY335 was characterized by high abundances of Stachybotryaceae (Figure 8a). Similarly, at the family taxonomic level, the rhizosphere soil bacterial community of Triticum aestivum L. cv. W998 showed high abundances of Longimicrobiaceae, A4b, Gemmatimonadaceae, and JG30-KF-CM45. Z. mays L. cv. ZD958 had high abundances of Nitrososphaeraceae, Sphingomonadaceae, Geminicoccaceae, and Comamonadaceae, whereas Z. mays L. cv. XY335 was dominated by Pyrinomonadaceae and Vicinamibacteraceae. In conclusion, the community structure and composition of rhizosphere soil microorganisms varied significantly among the different Poaceae crops (Figure 8b).

3.3.7. Functional Prediction of Microbial Communities in Crop Rhizosphere Soil and Control Group Soil

Fungal community functional prediction was performed by classifying the fungi in the rhizosphere soil of different crops and control soil samples using FUNGuild (Fungi Functional Guild), which categorizes fungi into three major trophic modes—Saprotroph, Symbiotroph, and Pathotroph—a classification method widely applied in fungal community ecology as it reflects their primary feeding habits [26]. Based on these three trophic modes, fungi are further subdivided into functional guilds, including animal pathogens, plant pathogens, ectomycorrhizal fungi, wood saprotrophs, arbuscular mycorrhizal fungi, lichenized fungi, lichenicolous fungi, undefined root endophytes, undefined saprotrophs, mycoparasites, ericoid mycorrhizal fungi, and foliar endophytes, among others [26].
The results showed that the main predicted fungal trophic modes in both the crop rhizosphere and control soils could be divided into eight different types, as follows: These types were Pathogen-Saprotroph-Symbiotroph, Saprotroph-Symbiotroph, Pathotroph-Symbiotroph, Symbiotrophic, Pathotroph-Saprotroph-Symbiotroph, Pathotroph-Saprotroph, Pathotroph, and Saprotroph. The abundance of these fungal trophic modes differed among the various treatment groups. The types Saprotroph, Pathotroph-Symbiotroph, Pathotroph-Symbiotroph, and Pathogen-Saprotroph-Symbiotroph had the highest abundance in the PS group. They made up 29.99%, 1.16%, 0.82%, and 0.39%, respectively. The W group had the highest proportion of Pathotroph (16.35%); the ZD group showed the highest levels of Pathotroph-Saprotroph (11.99%) and Pathotroph-Saprotroph-Symbiotroph (1.47%); the XY group had the most Symbiotroph (1.90%) (Figure 9a). A total of nine different functional groups were obtained, as shown below. Although the types of fungal functional groups with higher abundance differed between the groups, they were mainly concentrated in Undefined_Saprotroph, undefined_saprotroph–wood_saprotroph, Plant_Pathogen-Soil_Saprotroph-Wood_Saprotroph, and Plant_Pathogen (Figure 9b).
Functional prediction of the bacterial communities in the crop rhizosphere soil and control group soil was conducted using FAPROTAX, the results of which revealed significant variations among the different treatment groups. Specifically, the PS group exhibited the highest levels of nitrification and aerobic_ammonia_oxidation compared to the other treatments. The ZD group showed the greatest activity in chemoheterotrophy, aerobic_chemoheterotrophy, aromatic_compound_degradation, and chitinolysis. Notably, the XY group significantly enhanced predatory_or_exoparasitic, while the SB group markedly increased nitrate_reduction, dark_hydrogen_oxidation, and nitrogen_respiration (Figure 9c).

3.3.8. Network Analysis of Microbial Communities at Genus Level in Crop Rhizosphere Soil and Control Soil

Microbial co-occurrence network diagrams help visually identify the main taxonomic groups under different treatments. These species play an important role in maintaining the microbial community structure and ecosystem stability. The results of the fungal co-occurrence network showed that the ND (network diameter), CC (clustering coefficient), and APL (average.path-length) were the highest in the PS group. The results of comparing three gramineous crops with leguminous crops showed that the ND, CC, and APL of the XY group were the highest, at 4, 0.62, and 1.34, respectively. The XY group also had the most dominant species (10) (Table A4); therefore, this group increased the connections between rhizosphere soil fungi, making its network structure more complex and diverse (Figure A1).
The results from the bacterial co-occurrence networks showed that the control group had the highest ND, GD (graph density), AD (average degree), and APL when compared to the other groups. Among the three gramineous crops and the leguminous crop, the XY group had the highest ND, AD, and APL (Table A5); the W and SB groups had the same CC value of 0.56 and they also both had 14 dominant species (Figure A1).

3.4. Correlation Analysis Between Soil Environmental Factors and Microbial Communities

3.4.1. Correlation Between Soil Factors and Soil Fungal Communities

The correlation between the soil factors and α-diversity indices was evaluated using Pearson’s correlation method (Table 2), the results of which revealed that EC exhibited a highly significant positive correlation with the Pielou evenness, Shannon, and Simpson indices; a highly significant negative correlation with dominance; and a significant positive correlation with Chao1. AP showed a highly significant positive correlation with the Pielou evenness, Shannon, and Simpson indices and a highly significant negative correlation with dominance. The SOC and SOM demonstrated a highly significant positive correlation with dominance but a highly significant negative correlation with the Pielou evenness, Shannon, and Simpson indices. These findings indicate that EC, AP, SOC, and SOM were highly significantly correlated with α-diversity across different treatment groups. To further investigate the relationship between the soil factors and fungal community structure, canonical correspondence analysis (CCA) was employed to elucidate the importance of these soil factors and their influence on fungal community structure. The results showed that the carriers for EC and AP were the longest, suggesting that EC and AP may be key soil factors influencing the soil fungal community structure (Figure 10). Mantel’s tests were conducted to definitively identify the soil factors significantly affecting the fungal community structure, the results of which confirmed that both EC and AP exhibited a highly significant positive correlation with soil fungal communities, indicating that EC and AP are key determinants of fungal community composition in both crop rhizosphere soil and control group soil (Table 3).

3.4.2. Correlations Between Soil Factors and Bacterial Community Structure

The correlation between the soil factors and α-diversity indices was evaluated using Pearson’s correlation method (Table 4), the results of which showed that AN was significantly negatively correlated with dominance, while exhibiting significant positive correlations with the Pielou evenness and Simpson indices. To further explore the relationship between soil factors and bacterial community structure, CCA was employed to reveal the importance of these soil factors and their influence on bacterial community structure. The results indicated that the EC carrier had the longest length, while the carriers of other factors were similar in length, suggesting that the EC content may be a key soil factor affecting soil bacterial community structure (Figure 11). Based on the Mantel tests, the soil factors exerting significant effects on bacterial community structure were ultimately identified. The results demonstrated that AN was significantly positively correlated with soil bacterial communities, confirming AN as a critical soil factor influencing the composition of bacterial communities in both crop rhizosphere soils and control group soils (Table 5).

4. Discussion

The high-throughput sequencing results revealed that the number of ASVs obtained from sequencing the fungal and bacterial communities in the rhizosphere soil of different crops differed from those reported in other related studies. This discrepancy may be attributed to factors such as experimental treatments, crop varieties, sampling time, soil nutrients, and soil types [27,28,29]. We observed that Ascomycota, Basidiomycota, and Glomeromycota constituted the dominant fungal phyla across the different crops; similarly, previous studies have reported that Ascomycota plays a key role in contributing to plant adaptability to environmental conditions [30,31]. The dominant bacterial phyla include Chloroflexi and Proteobacteria. The former was found to be the dominant phylum in most samples in this experiment, likely due to its potential influence on crop growth in the rhizosphere environment. For instance, it may contribute to enhancing nutrient uptake and improving disease resistance in crops. The latter dominated in most samples in this experiment, likely due to its involvement in soil nutrient cycling within the rhizosphere environment [32,33]. The dominant fungal genera in different crops primarily include Acrophialophora and Fusarium. Daroodi et al. reported that certain Acrophialophora species can serve as biocontrol agents against plant pathogens and may also function as biofertilizers to promote plant growth [34]. Although Acrophialophora has been associated with biocontrol properties and plant growth promotion in other experimental systems, its ecological role in this specific trial setup requires further investigation. Furthermore, infection of cereals by Fusarium can lead to reduced yields and contamination with various mycotoxins. For example, Fusarium head blight (FHB), caused by Fusarium graminearum and other Fusarium species, is a serious disease affecting crops [35]. The dominant bacterial genera primarily include Sphingomonas and Gemmatimonas. Notably, relevant studies indicate that Sphingomonas plays a prominent role in disease-resistant phenotypes and can confer resistance to susceptible phenotypes in rice [36]. Additionally, it has been found to exhibit certain antagonistic effects against Verticillium dahliae [37]. The difference in microbial abundance may, to some extent, reflect variations in the nutrient characteristics of rhizosphere deposits between leguminous and gramineous crop roots. Using FUNGuild and FAPROTAX, functional profiles of the fungal and bacterial community structures in the crop rhizosphere soil were predicted. Although fungi were classified into three major trophic modes and nine distinct functional groups, the risk of fungal diseases in crops still requires further assessment. The bacterial communities were primarily grouped into bacteria performing nitrification, chemoheterotrophy, and nitrate reduction, which is consistent with the findings of Lian et al. [38]. By comparing the rhizosphere soil microbial community structures among three Poaceae crops and a legume crop, it was found that the fungal diversity of ZD958 was more similar to that of W998, while the bacterial diversity of ZD958 showed greater similarity to that of XY335. XY335 and SB13 exhibited the highest similarity in both fungal and bacterial species diversity. These findings deviate to some extent from hypotheses (1) and (2). The observed discrepancies may be attributed to the phylogenetic relationships among the four crop species and the specific experimental conditions employed in this study.
Crop growth alters the structure and composition of soil microbial communities while simultaneously influencing soil factors, which, referring to soil physicochemical properties, are closely associated with aboveground crops and play a decisive role in crop growth. However, crops can also modify these soil physicochemical properties [39]. Relative to the fallow control soil, crop cultivation resulted in a significant increase in soil pH, AN, SOM, and SOC. These results are consistent with those of a previous study, in which similar changes in soil characteristics were observed in tea plantations after plant cultivation [40]. In this experiment, the effects of three Gramineae crops on soil EC, AP, SOM, and SOC were more similar compared to those of leguminous crops, thereby validating Hypothesis (3). Plants alter the physicochemical properties of soil, which in turn influence the microbial community structure in the rhizosphere soil. Specifically, significant correlations exist between soil factors and the structure and composition of soil microbial communities. Soil factors influence the growth, metabolism, and distribution of microorganisms, thereby shaping microbial community structure, while microbial activities, in turn, regulate soil factors. However, in this experiment, the key soil factors affecting the composition of fungal and bacterial communities in the rhizosphere soil differed. We found that electrical conductivity (EC) and available phosphorus (AP) were the key factors influencing fungal community composition, while alkali-hydrolyzable nitrogen (AN) was the key factor affecting bacterial community composition. These findings differ from the results showing that the main environmental factors influencing the structure of the mycorrhizosphere microbial community include soil pH, total phosphorus (TP), and total potassium (TK) [41]. The most likely reason for this discrepancy is attributed to the specific experimental conditions in this trial, such as the potted microenvironment, which differed to some extent from field trials conducted in forest farms. Although soil factors influence their structure, microbial communities also play a regulatory role in the cycling of nitrogen, phosphorus, and other elements in the soil [42].
Currently, ineffective cropping systems and the overuse of chemical pesticides have led to a series of continuous obstacles, including reduced crop yield, declined nutritional quality, soil compaction, and widespread autotoxicity [43]. As one of the most active components in soil, microorganisms play an irreplaceable role; the diverse microbial communities present in soil significantly influence soil quality and the sustainable development of ecosystems [44]. In particular, rhizosphere microorganisms contribute to plant growth, development, and nutritional health [45]; furthermore, rhizosphere microorganisms themselves can influence root exudates [46], specifically by promoting the release of certain substances or inhibiting the production of specific components, thereby affecting the soil environment. However, the structure and composition of rhizosphere microbial communities exhibit significant variation depending on the plant species. We conducted a comparative analysis of the structure and composition of rhizosphere soil microbial communities across different crop species, as well as their influences on soil factors, aiming to delineate the observed similarities and differences in greater detail. However, due to the specific experimental conditions used in this study—cultivating crops in pots in a greenhouse to simulate field conditions—each pot in this experiment possesses an independent microenvironment and microclimate, which still differs significantly from real field environments. Field conditions are more complex and variable, and further field trials are warranted in the future. Furthermore, the limited sample size in this trial introduces certain constraints to the study findings; therefore, future research should aim to enhance precision while appropriately expanding the sample size.

5. Conclusions

Compared to unplanted soil, crop cultivation leads to an improvement in the soil nutrient content, with the extent of enhancement varying depending on the crop type. A correlation analysis was conducted on the microbial community and composition of the rhizosphere soil of different types of crops. The results indicated differences in microbial community structure, which existed both between closely related intraspecific crops and between interspecific crops. The relative abundance of specific phyla and genera varied; however, the experimental results also exhibited a certain degree of similarity, namely, the dominant phyla and genera with relatively high abundance in the rhizosphere soil microorganisms were consistent across different crops. Experimental research has found that soil environmental factors that play a significant role in influencing soil fungi and bacteria were also different. For example, the soil electrical conductivity and AP are key factors influencing the composition of fungal communities in both crop rhizosphere soil and control soil. Soil alkali-hydrolyzable nitrogen is a key factor affecting the composition of bacterial communities in both crop rhizosphere soil and control soil. This experiment revealed the specific effects of different types of crops on the structure and composition of soil microbial communities and the soil’s physical and chemical properties, thereby providing support for the faster development of microbiomics and a theoretical basis for research related to crop soil rhizosphere microorganisms. The findings from this experiment lay the foundation for potential future field trials and larger-scale agricultural studies.

Author Contributions

Conceptualization, Z.M., Z.Z., B.L., H.T. and S.H.; methodology, Z.M., Z.Z., B.L., W.H., X.S., Z.P., N.R., X.T., J.W., H.T. and S.H.; software, Z.M., W.H., X.S., Z.P., N.R., X.T. and J.W.; validation, Z.M., Z.Z., B.L., W.H., X.S., Z.P., N.R., X.T. and J.W.; formal analysis, Z.M.; investigation, H.T. and S.H.; resources, H.T. and S.H.; data curation, Z.M., Z.Z., B.L., W.H., X.S., Z.P., N.R., X.T. and J.W.; writing—original draft, Z.M.; writing—review and editing, H.T. and S.H.; visualization, Z.M., W.H., X.S. and Z.P.; supervision, Z.M., N.R., X.T., J.W., H.T. and S.H.; project administration, H.T.; funding acquisition, H.T. All authors have read and agreed to the published version of the manuscript.

Funding

This study was supported by National Natural Science Foundation of China (31471946 and 31301852) and Natural Science Foundation of Hebei Province (C2018201206).

Data Availability Statement

The original contributions presented in this study are included in the article. Further inquiries can be directed to the corresponding authors.

Acknowledgments

During the preparation of this manuscript/study, the authors used a GenAI tool only for language polishing. The authors have reviewed and edited the output and take full responsibility for the content of this publication.

Conflicts of Interest

The authors declare that they have no known competing financial interests or personal relationships that could have appeared to influence the work reported in this paper.

Abbreviations

The following abbreviations are used in this manuscript:
ZDZ. mays L. cv. ZD958 rhizosphere soil
XYZ. mays L. cv. XY335 rhizosphere soil
WTriticum aestivum L. cv. W998 rhizosphere soil
SBGlycine max L. cv. SB13 rhizosphere soil
PSControl group soil
pHSoil pH
ECSoil electrical conductivity
APSoil available phosphorus
ANSoil alkali-hydrolyzable nitrogen
SOCSoil organic carbon
SOMSoil organic matter
NDNetwork diameter
MDModularity
CCClustering coefficient
GDGraph density
ADAverage degree
APLAverage path-length
PGPMPlant growth-promoting microbial
PGPRPlant growth-promoting rhizobacteria
NGSNext-generation sequencing

Appendix A

Appendix A.1

Table A1. Basic details of rhizosphere soil sequencing for different crops.
Table A1. Basic details of rhizosphere soil sequencing for different crops.
TreatmentNumber of Sequences (Items)Average Length (bp)
BacteriaFungiBacteriaFungi
ZD570,151497,410253.24231.54
XY665,347541,713253.28249.74
W342,727471,153253.41236.18
SB458,369733,696253.36244.89
PS540,615488,679253.31235.3
Total2,577,2092,732,651253.32239.53

Appendix A.2

Table A2. Statistical table of soil fungal diversity indexes.
Table A2. Statistical table of soil fungal diversity indexes.
TreatmentChao1CoveragePielouShannon–WeinerSimpson
ZD31980.9990.5966.9160.955
XY25450.9990.4575.1260.838
W32370.9990.6787.880.981
SB25020.9990.3253.6260.763
PS30860.9990.6697.7150.976

Appendix A.3

Table A3. Statistical table of soil bacterial diversity indexes.
Table A3. Statistical table of soil bacterial diversity indexes.
TreatmentChao1CoveragePielouShannon–WeinerSimpson
ZD91210.9940.82910.820.998
XY10,1420.9930.84011.0790.998
W76740.9970.84810.9060.999
SB92320.9950.84211.0230.998
PS75040.9950.80610.2810.997

Appendix A.4

Table A4. Structural characteristic parameters of soil fungal networks under different treatments.
Table A4. Structural characteristic parameters of soil fungal networks under different treatments.
TreatmentNDMDCCGDADAPL
PS70.850.630.012.881.85
ZD30.930.600.011.461.24
XY40.890.620.012.601.34
W10.340.100.048.441.00
SB30.840.490.011.841.31

Appendix A.5

Table A5. Characteristic parameters of soil bacterial network structure under different treatments.
Table A5. Characteristic parameters of soil bacterial network structure under different treatments.
TreatmentNDMDCCGDADAPL
PS80.600.530.024.243.29
ZD30.870.530.011.941.22
XY70.720.470.012.562.17
W50.860.560.011.701.70
SB50.810.560.012.381.49

Appendix A.6

Table A6. The mean relative abundance and standard error of fungi at the phylum level.
Table A6. The mean relative abundance and standard error of fungi at the phylum level.
CategoryAscomycotaBasidiomycotaMucoromycotaMortierellomycotaGlomeromycota
PS0.712 ± 0.0500.049 ± 0.0100.005 ± 0.0000.018 ± 0.0000.000 ± 0.000
ZD0.751 ± 0.0300.022 ± 0.0000.005 ± 0.0000.023 ± 0.0000.012 ± 0.000
XY0.443 ± 0.0600.009 ± 0.0000.003 ± 0.0000.012 ± 0.0000.019 ± 0.000
W0.589 ± 0.0400.035 ± 0.0200.033 ± 0.0100.034 ± 0.0000.002 ± 0.000
SB0.637 ± 0.0700.006 ± 0.0000.001 ± 0.0000.006 ± 0.0000.000 ± 0.000

Appendix A.7

Table A7. The mean relative abundance and standard error of fungi at the phylum level.
Table A7. The mean relative abundance and standard error of fungi at the phylum level.
CategoryFungi_phy_Incertae_sedisChytridiomyotaRozellomycotaZoopagomycotaBlastocladiomycotaOthers
PS0.008 ± 0.0000.008 ± 0.0000.001 ± 0.0000.002 ± 0.0000.002 ± 0.0000.193 ± 0.050
ZD0.008 ± 0.0000.006 ± 0.0000.008 ± 0.0000.005 ± 0.0000.001 ± 0.0000.158 ± 0.020
XY0.005 ± 0.0000.002 ± 0.0000.002 ± 0.0000.000 ± 0.0000.000 ± 0.0000.504 ± 0.070
W0.013 ± 0.0000.015 ± 0.0000.006 ± 0.0000.001 ± 0.0000.000 ± 0.0000.269 ± 0.030
SB0.002 ± 0.0000.006 ± 0.0000.002 ± 0.0000.000 ± 0.0000.000 ± 0.0000.340 ± 0.060

Appendix A.8

Table A8. Mean and standard error of microbial relative abundance at the phylum level in bacteria.
Table A8. Mean and standard error of microbial relative abundance at the phylum level in bacteria.
CategoryProteobacteriaCrenarchaeotaAcidobacteriotaGemmatimonadotaActinobacteriota
PS0.276 ± 0.0230.139 ± 0.0360.159 ± 0.0180.088 ± 0.0160.153 ± 0.007
ZD0.305 ± 0.0080.093 ± 0.0090.132 ± 0.0100.073 ± 0.0010.152 ± 0.008
XY0.263 ± 0.0180.072 ± 0.0050.170 ± 0.0260.079 ± 0.0040.151 ± 0.009
W0.242 ± 0.0150.052 ± 0.0100.145 ± 0.0170.143 ± 0.0140.136 ± 0.010
SB0.239 ± 0.0210.071 ± 0.0210.158 ± 0.0190.113 ± 0.0150.120 ± 0.011

Appendix A.9

Table A9. Mean and standard error of microbial relative abundance at the phylum level in bacteria.
Table A9. Mean and standard error of microbial relative abundance at the phylum level in bacteria.
CategoryChloroflexiPlanctomycetotaMethylomirabilotaBacteroidotaMyxococcotaOthers
PS0.059 ± 0.0040.033 ± 0.0060.015 ± 0.0030.016 ± 0.0020.011 ± 0.0020.013 ± 0.002
ZD0.074 ± 0.0190.027 ± 0.0030.015 ± 0.0010.026 ± 0.0010.023 ± 0.0020.019 ± 0.001
XY0.082 ± 0.0040.041 ± 0.0070.014 ± 0.0010.024 ± 0.0030.024 ± 0.0030.018 ± 0.001
W0.105 ± 0.0110.041 ± 0.0070.017 ± 0.0020.025 ± 0.0000.019 ± 0.0020.018 ± 0.001
SB0.089 ± 0.0040.049 ± 0.0090.024 ± 0.0040.025 ± 0.0030.022 ± 0.0020.018 ± 0.001

Appendix A.10

Table A10. Mean and standard error of relative abundance of fungi at the genus level.
Table A10. Mean and standard error of relative abundance of fungi at the genus level.
CategoryAcrophialophoraHumicolaFusariumStachybotrysTalaromyces
PS0.008 ± 0.0020.079 ± 0.0050.054 ± 0.0050.019 ± 0.0010.019 ± 0.006
ZD0.029 ± 0.0130.017 ± 0.0020.116 ± 0.0270.032 ± 0.0060.033 ± 0.016
XY0.127 ± 0.0280.009 ± 0.0020.040 ± 0.0110.045 ± 0.0160.010 ± 0.007
W0.115 ± 0.0640.015 ± 0.0030.104 ± 0.0100.011 ± 0.0030.043 ± 0.017
SB0.022 ± 0.0050.094 ± 0.0540.018 ± 0.0020.050 ± 0.0250.001 ± 0.000

Appendix A.11

Table A11. Mean and standard error of relative abundance of fungi at the genus level.
Table A11. Mean and standard error of relative abundance of fungi at the genus level.
CategorySetophomaGloeoporusBlumeriaPapulasporaIssatchenkiaOthers
PS0.002 ± 0.0000.001 ± 0.0010.000 ± 0.0000.016 ± 0.0100.000 ± 0.0000.448 ± 0.038
ZD0.039 ± 0.0180.001 ± 0.0010.011 ± 0.0110.001 ± 0.0000.000 ± 0.0000.498 ± 0.060
XY0.009 ± 0.0040.000 ± 0.0000.001 ± 0.0010.000 ± 0.0000.000 ± 0.0000.636 ± 0.034
W0.009 ± 0.0030.018 ± 0.0190.015 ± 0.0050.000 ± 0.0000.011 ± 0.0110.402 ± 0.039
SB0.000 ± 0.0000.000 ± 0.0000.000 ± 0.0000.001 ± 0.0000.000 ± 0.0000.749 ± 0.055

Appendix A.12

Table A12. Mean and standard error of relative microbial abundance at the bacterial genus level.
Table A12. Mean and standard error of relative microbial abundance at the bacterial genus level.
CategoryRB41SphingomonasGemmatimonasMND1Unidentified_Vicinamibacterales
PS0.025 ± 0.0030.026 ± 0.0030.014 ± 0.0030.014 ± 0.0020.010 ± 0.002
ZD0.020 ± 0.0020.027 ± 0.0020.009 ± 0.0010.014 ± 0.0010.007 ± 0.001
XY0.026 ± 0.0060.023 ± 0.0030.010 ± 0.0010.015 ± 0.0010.010 ± 0.002
W0.021 ± 0.0030.021 ± 0.0030.023 ± 0.0040.015 ± 0.0010.010 ± 0.002
SB0.022 ± 0.0040.018 ± 0.0040.014 ± 0.0020.020 ± 0.0010.012 ± 0.003

Appendix A.13

Table A13. Mean and standard error of relative microbial abundance at the bacterial genus level.
Table A13. Mean and standard error of relative microbial abundance at the bacterial genus level.
CategoryUnidentified_GemmatimonadaceaeCandidatus_NitrososphaeraGaiellaSolirubrobacterCandidatus_NitrocosmicusOthers
PS0.010 ± 0.0020.011 ± 0.0020.013 ± 0.0010.011 ± 0.0010.010 ± 0.0020.664 ± 0.012
ZD0.009 ± 0.0000.006 ± 0.0010.013 ± 0.0010.011 ± 0.0010.009 ± 0.0010.639 ± 0.005
XY0.009 ± 0.0000.006 ± 0.0000.013 ± 0.0010.010 ± 0.0010.006 ± 0.0010.640 ± 0.010
W0.013 ± 0.0020.006 ± 0.0010.012 ± 0.0010.010 ± 0.0020.005 ± 0.0010.658 ± 0.009
SB0.012 ± 0.0010.006 ± 0.0020.011 ± 0.0010.008 ± 0.0010.007 ± 0.0020.671 ± 0.006

Appendix A.14

Figure A1. (ae) illustrate the co-occurrence network diagrams at the genus level for fungal taxa PS, ZD, XY, W, and SB, respectively. (fj) present the co-occurrence network diagrams at the genus level for bacterial taxa PS, ZD, XY, W, and SB, correspondingly. In the figure, different nodes represent different genera, with node sizes indicating the average relative abundance of each genus. Nodes belonging to the same phylum share identical colors (as shown in the legend). The thickness of connecting lines between nodes is proportional to the absolute value of the correlation coefficient of species interactions, while the color of the lines corresponds to the sign of the correlation—red indicates positive correlations and blue indicates negative correlations.
Figure A1. (ae) illustrate the co-occurrence network diagrams at the genus level for fungal taxa PS, ZD, XY, W, and SB, respectively. (fj) present the co-occurrence network diagrams at the genus level for bacterial taxa PS, ZD, XY, W, and SB, correspondingly. In the figure, different nodes represent different genera, with node sizes indicating the average relative abundance of each genus. Nodes belonging to the same phylum share identical colors (as shown in the legend). The thickness of connecting lines between nodes is proportional to the absolute value of the correlation coefficient of species interactions, while the color of the lines corresponds to the sign of the correlation—red indicates positive correlations and blue indicates negative correlations.
Agronomy 16 00380 g0a1

References

  1. Ammar, M.K.; Hanafi, R.S.; Choucry, M.A.; Handoussa, H. Structural, functional, nutritional composition and analytical profiling of Triticum aestivum L. Appl. Biol. Chem. 2023, 66, 48. [Google Scholar] [CrossRef]
  2. Kumari, V.; Thakur, R.; Kumari, J.; Kumari, A.; Khajuria, D. Nutritional improvement in soybean (Glycine max (L.) Merrill) through plant breeding and biotechnological interventions. Crop Pasture Sci. 2023, 75, CP23155. [Google Scholar] [CrossRef]
  3. Padalkar, G.; Mandlik, R.; Sudhakaran, S.; Vats, S.; Kumawat, S.; Kumar, V.; Kumar, V.; Rani, A.; Ratnaparkhe, M.; Jadhav, P.; et al. Necessity and challenges for exploration of nutritional potential of staple-food grade soybean. J. Food Compos. Anal. 2023, 117, 105093. [Google Scholar] [CrossRef]
  4. Ai, Y.F.; Jane, J.L. Macronutrients in corn and human nutrition. Compr. Rev. Food Sci. Food Saf. 2016, 15, 581–598. [Google Scholar] [CrossRef]
  5. Grote, U.; Fasse, A.; Nguyen, T.T.; Erenstein, O. Food security and the dynamics of wheat and maize value chains in Africa and Asia. Front. Sustain. Food Syst. 2021, 4, 617009. [Google Scholar] [CrossRef]
  6. Zhang, L.Q.; Yang, Y.H.; Zhao, Z.H.; Feng, Y.D.; Bate, B.Y.; Wang, H.Y.; Li, Q.Z.; Cui, J.H. Maize–Soybean rotation and intercropping increase maize yield by influencing the structure and function of rhizosphere soil fungal communities. Microorganisms 2024, 12, 1620. [Google Scholar] [CrossRef]
  7. Brokate, O.; Papenbrock, J.; Turcios, A.E. Biofilm-forming microorganisms in the rhizosphere to improve plant growth: Coping with abiotic stress and environmental pollution. Appl. Soil Ecol. 2024, 202, 105591. [Google Scholar] [CrossRef]
  8. Jia, H.Y.; Muhae-Ud-Din, G.; Zhang, H.; Zong, Q.Q.; Zhao, S.F.; Guo, Q.Y.; Chen, W.Q.; Gao, L. Characterization of rhizosphere microbial communities for disease incidence and optimized concentration of difenoconazole fungicide for controlling of wheat dwarf bunt. Front. Microbiol. 2022, 13, 853176. [Google Scholar] [CrossRef]
  9. Schmidt, J.E.; Vannette, R.L.; Igwe, A.; Blundell, R.; Casteel, C.L.; Gaudin, A.C. Effects of agricultural management on rhizosphere microbial structure and function in processing tomato plants. Appl. Environ. Microbiol. 2019, 85, e01064-19. [Google Scholar] [CrossRef]
  10. Mu, W.Q.; Kang, S.M.; Li, P.L. Advances in rhizosphere growth-promoting bacteria function on plant growth facilitation and their mechanisms. Chin. Bull. Life Sci. 2022, 34, 118–127. [Google Scholar]
  11. Cui, X.C. Research progress on relationship between rhizosphere microorganisms and soil plants. Mod. Agric. Res. 2021, 27, 34–35. [Google Scholar]
  12. Berendsen, R.L.; Pieterse, C.M.; Bakker, P.A. The rhizosphere microbiome and plant health. Trends Plant Sci. 2012, 17, 478–486. [Google Scholar] [CrossRef]
  13. Zhang, J.F.; Yao, Z.M.; Chen, Y.L.; Zhang, J.F.; Luo, S.Y.; Tian, C.J.; Tian, L. Study of rhizosphere microbial community structures of Asian wild and cultivated rice showed that cultivated rice had decreased and enriched some functional microorganisms in the process of domestication. Diversity 2022, 14, 67. [Google Scholar] [CrossRef]
  14. Lu, Y.Y.; Han, B.; Zhang, C.L.; Wang, W.; Li, C.; Duan, M.X.; Dong, Q.G.Q.; Zhao, G.F. Effects on rhizosphere soil physicochemical properties and microbial community of different oat varieties. Feed Ind. 2025, 1–20. Available online: https://link.cnki.net/urlid/21.1169.S.20251224.1521.010 (accessed on 9 November 2025).
  15. Wang, B.B.; Yang, C.; Zhu, W.Y.; Xu, S.X.; Sun, P. Spatial differences in microbial communities around the root system of Stellera chamaejasme plants of different ages. Acta Prataculturae Sin. 2026, 35, 128–157. [Google Scholar]
  16. Hu, X.M.; Wang, J.; Liu, Q.; Wu, J.Q.; Liu, X.H.; Liu, C.T.; Longzhu, D.J.; La, B. Characteristics and functions of rhizosphere soil microbial communities in four common saline-alkali-tolerant plants from Gahai lake. Chin. Wild Plant Resour. 2025, 44, 67–76+95. [Google Scholar]
  17. Sultan, M.; Schulz, M.H.; Richard, H.; Magen, A.; Klingenhoff, A.; Scherf, M.; Seifert, M.; Borodina, T.; Soldatov, A.; Parkhomchuk, D.; et al. A global view of gene activity and alternative splicing by deep sequencing of the human transcriptome. Science 2008, 321, 956–960. [Google Scholar] [CrossRef] [PubMed]
  18. Schuster, S.C. Next-generation sequencing transforms today’s biology. Nat. Methods 2008, 5, 16–18. [Google Scholar] [CrossRef] [PubMed]
  19. Faria, M.R.D.; Costa, L.S.A.S.; Chiaramonte, J.B.; Bettiol, W.; Mendes, R. The rhizosphere microbiome: Functions, dynamics, and role in plant protection. Trop. Plant Pathol. 2020, 46, 1–13. [Google Scholar] [CrossRef]
  20. Yang, L.J.; Yang, K.J. Biological function of Klebsiella variicola and its effect on the rhizosphere soil of maize seedlings. PeerJ 2020, 8, e9894. [Google Scholar] [CrossRef] [PubMed]
  21. Li, Y.; Fang, F.; Wei, J.L.; Wu, X.B.; Cui, R.Z.; Li, G.S.; Zheng, F.L.; Tan, D.S. Humic acid fertilizer improved soil properties and soil microbial diversity of continuous cropping peanut: A three-year experiment. Sci. Rep. 2019, 9, 12014. [Google Scholar] [CrossRef]
  22. Bokulich, N.A.; Subramanian, S.; Faith, J.J.; Gevers, D.; Gordon, J.I.; Knight, R.; Mills, D.A.; Caporaso, J.G. Quality-filtering vastly improves diversity estimates from Illumina amplicon sequencing. Nat. Methods 2013, 10, 57–60. [Google Scholar] [CrossRef]
  23. Edgar, R.C.; Haas, B.J.; Clemente, J.C.; Quince, C.; Knight, R. UCHIME improves sensitivity and speed of chimera detection. Bioinformatics 2011, 27, 2194–2200. [Google Scholar] [CrossRef]
  24. Callahan, B.J.; McMurdie, P.J.; Rosen, M.J.; Han, A.W.; Johnson, A.J.A.; Holmes, S.P. DADA2: High-resolution sample inference from Illumina amplicon data. Nat. Methods 2016, 13, 581–587. [Google Scholar] [CrossRef]
  25. Bokulich, N.A.; Kaehler, B.D.; Rideout, J.R.; Dillon, M.; Bolyen, E.; Knight, R.; Huttley, G.A.; Caporaso, J.G. Optimizing taxonomic classification of marker-gene amplicon sequences with QIIME 2’s q2-feature-classifier plugin. Microbiome 2018, 6, 90. [Google Scholar] [CrossRef] [PubMed]
  26. Nguyen, N.H.; Song, Z.W.; Bates, S.T.; Branco, S.; Tedersoo, L.; Menke, J.; Schilling, J.S.; Kennedy, P.G. FUNGuild: An open annotation tool for parsing fungal community datasets by ecological guild. Fungal Ecol. 2016, 20, 241–248. [Google Scholar] [CrossRef]
  27. Li, D.; Wang, C.; Zhang, M.C.; Cao, L.; Jin, X.J.; Zhang, Y.X.; Wang, M.X. Effects of water deficit in soybean seedling stage on soil enzyme activity and microbial diversity. Crops 2024, 148–157. [Google Scholar] [CrossRef]
  28. Lian, J.S.; Wang, H.Y.; Xu, M.G.; Wei, W.L.; Duan, Y.H.; Liu, S.T. Diversity and function prediction of bacteria community in fluvo-aquic soils as affected by long-term organic fertilization. J. Plant Nutr. Fertil. 2021, 27, 2073–2082. [Google Scholar]
  29. Li, J.Q.; Shi, J.G.; Chen, Q.H.; Chang, F.Y.; Duan, Y.Z.; Chai, G.Q.; Jia, L.; Chen, T. Effects of film mulching on rhizosphere soil microbial community of maize in wind-sand grassy beach area of northern shaanxi province. Crops 2024, 238–246. [Google Scholar] [CrossRef]
  30. Yue, D.D.; Han, B.; Abid, U.; Zhang, X.L.; Yang, X.Y. Fungi diversity analysis of rhizosphere under drought conditions in cotton. Crops 2021, 47, 1806–1815. [Google Scholar] [CrossRef]
  31. Chen, J.X.; Shen, J.X.; Wang, L.; Li, H.; Jin, T.; Li, X.Y.; Zhang, B.; Niu, J.S. Structural characteristics and diversity dynamics of soil microbial communities in the rhizosphere and non-rhizosphere of Artemisia desertorum at the southeastern edge of the tengger desert. Acta Microbiol. Sin. 2025, 65, 2529–2544. [Google Scholar]
  32. Ling, N.; Wang, T.T.; Kuzyakov, Y. Rhizosphere bacteriome structure and functions. Nat. Commun. 2022, 13, 836. [Google Scholar] [CrossRef]
  33. Hu, H.Y.; Sun, H.R.; Wu, J.H.; Liu, J.Y.; Jin, H.; Tao, K. Response of bacterial community characteristics in the rhizosphere soil of Stellera chamaejasme L. to its expansion on the qinghai-tibet plateau. Land Degrad. Dev. 2023, 34, 5135–5151. [Google Scholar] [CrossRef]
  34. Daroodi, Z.; Taheri, P. The genus Acrophialophora: History, phylogeny, morphology, beneficial effects and pathogenicity. Fungal Genet. Biol. 2024, 171, 103875. [Google Scholar] [CrossRef]
  35. Chen, Y.; Kistler, H.C.; Ma, Z.H. Fusarium graminearum trichothecene mycotoxins: Biosynthesis, regulation, and management. Annu. Rev. Phytopathol. 2019, 57, 15–39. [Google Scholar] [CrossRef]
  36. Matsumoto, H.; Fan, X.Y.; Wang, Y.; Kusstatscher, P.; Duan, J.; Wu, S.L.; Chen, S.L.; Qiao, K.; Wang, Y.L.; Ma, B.; et al. Bacterial seed endophyte shapes disease resistance in rice. Nat. Plants 2021, 7, 60–72. [Google Scholar] [CrossRef] [PubMed]
  37. Berg, G.; Ballin, G. Bacterial antagonists to Verticillium dahliae kleb. J. Phytopathol. 1994, 141, 99–110. [Google Scholar] [CrossRef]
  38. Zhang, X.; Huang, Y.Y.; Song, C.; Jia, Z.H.; Jia, L.L.; Song, S.S. Effects of long-term potassium fertilization on wheat yield, nitrogen, phosphorus, and potassium uptake, and rhizosphere soil microbial diversity. Jiangsu Agric. Sci. 2024, 52, 254–260. (In Chinese) [Google Scholar]
  39. Xu, L.; Zhang, X.J.; Tian, Z.S.; Cheng, D.D. Effects of crop types on soil microbial functional diversity in sloping agricultural land of Zhangjiachong in zigui county. Chin. J. Ecol. 2017, 36, 1555–1563. [Google Scholar]
  40. Liu, X.J.; Zheng, B.S.; Wang, B.B.; Hu, J. Alterations in soil properties of tea plantations induced by tea cultivation. Bull. Mineral. Petrol. Geochem 2006, 25, 95–97. (In Chinese) [Google Scholar]
  41. Wang, Q.; Li, Z.S.; Yang, F.C.; Chen, B.; Liang, J.F.; Lu, J.K. Mycorrhizosphere microbial community structure of Castanopsis hystrix and Pinus massoniana mixed plantation in pingxiang, guangxi of south china. Mycosystema 2021, 40, 1343–1356. [Google Scholar]
  42. Jiao, J.H.; Fu, X.; Zhang, S.; Liu, W.; Zhou, J.J.; Wu, X.Y.; Lin, X.R.; Tian, Y.L.; Tang, G.H.; Li, P.Q. Physiochemical properties and microorganism community structure of Zanthoxylum bungeanum rhizosphere soil at different ages. J. Northwest For. Univ. 2023, 38, 156–165. [Google Scholar]
  43. Wei, T.Q.; Yang, S.Y.; Hong, H.Y.; Zhou, H.M.; Ma, L.C.; Li, Q.; Su, Y.H. Effect and mechanism of soil organic carbon supplementation in reduction of garlic continuous cropping obstacles. Soils 2025, 57, 835–844. [Google Scholar]
  44. Kennedy, A.C.; Smith, K.L. Soil microbial diversity and the sustainability of agricultural soils. Plant Soil 1995, 170, 75–86. [Google Scholar] [CrossRef]
  45. Pieterse, C.M.J.; Jonge, R.D.; Berendsen, R.L. The soil-borne supremacy. Trends Plant Sci. 2016, 21, 171–173. [Google Scholar] [CrossRef] [PubMed]
  46. Vives-Peris, V.; Ollas, C.D.; Gómez-Cadenas, A.; Pérez-Clemente, R.M. Root exudates: From plant to rhizosphere and beyond. Plant Cell Rep. 2020, 39, 3–17. [Google Scholar] [CrossRef] [PubMed]
Figure 1. (a) Fungal observed_features rarefaction curve; (b) fungal species accumulation boxplot; (c) bacterial observed_features rarefaction curve; (d) bacterial species accumulation boxplot. In (a,c), the legend entries PS, ZD, XY, W, and SB represent different treatment groups: control soil, ZD958 rhizosphere soil, XY335 rhizosphere soil, W998 rhizosphere soil, and SB13 rhizosphere soil, respectively; the same conventions apply throughout. In (b,d), the horizontal axis represents the number of sequencing samples, and the vertical axis represents the count of feature sequences after sampling.
Figure 1. (a) Fungal observed_features rarefaction curve; (b) fungal species accumulation boxplot; (c) bacterial observed_features rarefaction curve; (d) bacterial species accumulation boxplot. In (a,c), the legend entries PS, ZD, XY, W, and SB represent different treatment groups: control soil, ZD958 rhizosphere soil, XY335 rhizosphere soil, W998 rhizosphere soil, and SB13 rhizosphere soil, respectively; the same conventions apply throughout. In (b,d), the horizontal axis represents the number of sequencing samples, and the vertical axis represents the count of feature sequences after sampling.
Agronomy 16 00380 g001
Figure 2. Distribution of soil microbial ASVs: (a) fungal ASVs; (b) bacterial ASVs. In the Venn diagram, each pear-shaped circle represents a treatment group. The number in the central overlapping region indicates the count of feature sequences shared among the treatment groups, while the numbers in the non-overlapping regions indicate the count of feature sequences unique to each respective treatment group. Orange represents the PS group, green represents the ZD group, purple represents the XY group, blue represents the W group, and yellow represents the SB group.
Figure 2. Distribution of soil microbial ASVs: (a) fungal ASVs; (b) bacterial ASVs. In the Venn diagram, each pear-shaped circle represents a treatment group. The number in the central overlapping region indicates the count of feature sequences shared among the treatment groups, while the numbers in the non-overlapping regions indicate the count of feature sequences unique to each respective treatment group. Orange represents the PS group, green represents the ZD group, purple represents the XY group, blue represents the W group, and yellow represents the SB group.
Agronomy 16 00380 g002
Figure 3. Relative abundance of soil (a) fungal communities and (b) bacterial communities at the phylum level. The horizontal axis represents different treatment groups, and the vertical axis represents relative abundance. The legend displays the 10 most abundant phyla across the treatment groups at the phylum level, where “Others” denotes the sum of relative abundances of all phyla except the ten shown in the figure.
Figure 3. Relative abundance of soil (a) fungal communities and (b) bacterial communities at the phylum level. The horizontal axis represents different treatment groups, and the vertical axis represents relative abundance. The legend displays the 10 most abundant phyla across the treatment groups at the phylum level, where “Others” denotes the sum of relative abundances of all phyla except the ten shown in the figure.
Agronomy 16 00380 g003
Figure 4. Relative abundance of (a) fungal communities at the genus level in crop rhizosphere soil; relative abundance of (b) bacterial communities at the genus level in crop rhizosphere soil. The x-axis represents different treatment groups, while the y-axis indicates relative abundance. The legend displays the top 10 species at the genus level with the highest relative abundance across the treatment groups. Here, “Others” denotes the sum of relative abundances for all genera other than the 10 illustrated in the figure.
Figure 4. Relative abundance of (a) fungal communities at the genus level in crop rhizosphere soil; relative abundance of (b) bacterial communities at the genus level in crop rhizosphere soil. The x-axis represents different treatment groups, while the y-axis indicates relative abundance. The legend displays the top 10 species at the genus level with the highest relative abundance across the treatment groups. Here, “Others” denotes the sum of relative abundances for all genera other than the 10 illustrated in the figure.
Agronomy 16 00380 g004
Figure 5. Soil (a,b) fungal alpha diversity indices and (c,d) bacterial alpha diversity indices. The horizontal axis denotes different treatment groups, while the vertical axis represents the alpha diversity index values. The horizontal line at the center of each box indicates the median. The symbols *, **, and *** denote statistical significance levels of p < 0.05, p < 0.01, and p < 0.001, respectively.
Figure 5. Soil (a,b) fungal alpha diversity indices and (c,d) bacterial alpha diversity indices. The horizontal axis denotes different treatment groups, while the vertical axis represents the alpha diversity index values. The horizontal line at the center of each box indicates the median. The symbols *, **, and *** denote statistical significance levels of p < 0.05, p < 0.01, and p < 0.001, respectively.
Agronomy 16 00380 g005
Figure 6. Heatmap of soil (a) fungal β-diversity indices; heatmap of soil (b) bacterial β-diversity indices. Smaller dissimilarity coefficient values between different treatment groups in the figure indicate smaller differences in species diversity.
Figure 6. Heatmap of soil (a) fungal β-diversity indices; heatmap of soil (b) bacterial β-diversity indices. Smaller dissimilarity coefficient values between different treatment groups in the figure indicate smaller differences in species diversity.
Agronomy 16 00380 g006
Figure 7. Principal coordinate analysis (PCoA) of soil microbial communities: (a) fungal community; (b) bacterial community. Closer distances between samples indicate greater similarity in species composition. The horizontal axis represents one principal coordinate, and the vertical axis represents another principal coordinate, where the percentage values denote the contribution of each principal coordinate to sample variation. Each point in the figure corresponds to one sample, and samples belonging to the same treatment group are represented by the same color.
Figure 7. Principal coordinate analysis (PCoA) of soil microbial communities: (a) fungal community; (b) bacterial community. Closer distances between samples indicate greater similarity in species composition. The horizontal axis represents one principal coordinate, and the vertical axis represents another principal coordinate, where the percentage values denote the contribution of each principal coordinate to sample variation. Each point in the figure corresponds to one sample, and samples belonging to the same treatment group are represented by the same color.
Agronomy 16 00380 g007
Figure 8. Family-level abundance distribution of soil (a) fungal communities; family-level abundance distribution of soil (b) bacterial communities. The three vertices of the triangle represent the three treatment groups. Different colored circles indicate different species—the closer a circle is to a vertex, the higher the abundance of that species in the corresponding group. The size of each circle corresponds to the relative abundance of the species.
Figure 8. Family-level abundance distribution of soil (a) fungal communities; family-level abundance distribution of soil (b) bacterial communities. The three vertices of the triangle represent the three treatment groups. Different colored circles indicate different species—the closer a circle is to a vertex, the higher the abundance of that species in the corresponding group. The size of each circle corresponds to the relative abundance of the species.
Agronomy 16 00380 g008
Figure 9. Predicted (a) fungal trophic modes, (b) fungal functional groups, and (c) bacterial functions. The horizontal axis represents the treatment groups, while the vertical axis indicates the relative abundance. In the legend, “Others” denotes the sum of the relative abundances for all functional information not displayed in the figure.
Figure 9. Predicted (a) fungal trophic modes, (b) fungal functional groups, and (c) bacterial functions. The horizontal axis represents the treatment groups, while the vertical axis indicates the relative abundance. In the legend, “Others” denotes the sum of the relative abundances for all functional information not displayed in the figure.
Agronomy 16 00380 g009
Figure 10. Relationship between soil factors and fungal community structure. The horizontal and vertical axes represent the CCA axes, with the percentages indicating the proportion of variance explained by each axis. pH: soil pH, EC: soil electrical conductivity, AP: available phosphorus, AN: alkali-hydrolyzable nitrogen, SOC: soil organic carbon, SOM: soil organic matter. The legend denotes different treatment groups, and samples belonging to the same treatment group are represented by icons of the same color. In the diagram, purple arrows represent different environmental factors, with arrow length indicating the magnitude of their influence.
Figure 10. Relationship between soil factors and fungal community structure. The horizontal and vertical axes represent the CCA axes, with the percentages indicating the proportion of variance explained by each axis. pH: soil pH, EC: soil electrical conductivity, AP: available phosphorus, AN: alkali-hydrolyzable nitrogen, SOC: soil organic carbon, SOM: soil organic matter. The legend denotes different treatment groups, and samples belonging to the same treatment group are represented by icons of the same color. In the diagram, purple arrows represent different environmental factors, with arrow length indicating the magnitude of their influence.
Agronomy 16 00380 g010
Figure 11. Soil factors and bacterial community structure. The horizontal and vertical axes represent the CCA axes, with the percentages indicating the proportion of variance explained by each axis. pH: soil pH, EC: soil electrical conductivity, AP: available phosphorus, AN: alkali-hydrolyzable nitrogen, SOC: soil organic carbon, SOM: soil organic matter. The legend denotes different treatment groups, and samples belonging to the same treatment group are represented by icons of the same color. In the diagram, purple arrows represent different environmental factors, with arrow length indicating the magnitude of their influence.
Figure 11. Soil factors and bacterial community structure. The horizontal and vertical axes represent the CCA axes, with the percentages indicating the proportion of variance explained by each axis. pH: soil pH, EC: soil electrical conductivity, AP: available phosphorus, AN: alkali-hydrolyzable nitrogen, SOC: soil organic carbon, SOM: soil organic matter. The legend denotes different treatment groups, and samples belonging to the same treatment group are represented by icons of the same color. In the diagram, purple arrows represent different environmental factors, with arrow length indicating the magnitude of their influence.
Agronomy 16 00380 g011
Table 1. Effects of different crop types on soil physicochemical properties and nutrient content.
Table 1. Effects of different crop types on soil physicochemical properties and nutrient content.
TreatmentpHEC (μs/cm)AN (mg/kg)AP (mg/kg)SOC (mg/g)SOM (mg/g)
PS6.62 ± 0.06 b193.02 ± 4.47 a77.96 ± 2.78 a40.94 ± 0.80 a17.80 ± 0.42 b30.69 ± 0.72 b
ZD6.97 ± 0.05 a189.82 ± 13.07 a81.22 ± 2.29 a41.61 ± 0.88 a19.05 ± 0.59 b32.84 ± 1.01 b
XY6.66 ± 0.04 b162.50 ± 4.99 b81.49 ± 1.42 a37.42 ± 0.80 b19.62 ± 0.54 b33.82 ± 0.93 b
W6.63 ± 0.03 b190.92 ± 7.16 a83.57 ± 3.78 a41.34 ± 1.33 a18.96 ± 0.57 b32.68 ± 0.98 b
SB6.65 ± 0.07 b121.68 ± 2.70 c82.40 ± 2.37 a34.74 ± 1.02 b21.14 ± 0.41 a36.45 ± 0.71 a
Note: pH: soil pH; EC: soil electrical conductivity; AP: available phosphorus; AN: alkali-hydrolyzable nitrogen; SOC: soil organic carbon; SOM: soil organic matter. The mean values of six replicates (with standard error) are presented. Different letters indicate significant differences among the five treatments at p < 0.01.
Table 2. Correlations between soil physicochemical properties and α-diversity indices across different treatment groups. pH: soil pH, EC: soil electrical conductivity, AP: available phosphorus, AN: alkali-hydrolyzable nitrogen, SOC: soil organic carbon, SOM: soil organic matter.
Table 2. Correlations between soil physicochemical properties and α-diversity indices across different treatment groups. pH: soil pH, EC: soil electrical conductivity, AP: available phosphorus, AN: alkali-hydrolyzable nitrogen, SOC: soil organic carbon, SOM: soil organic matter.
Soil FactorsChao1DominancePielou’s EvennessShannonSimpson
PCCpPCCpPCCpPCCpPCCp
pH0.2260.230−0.2010.2880.1100.5620.1280.5010.2010.288
EC0.3730.042 *−0.6980.000 ***0.7240.000 ***0.7210.000 ***0.6980.000 ***
AP0.3420.065−0.5910.001 ***0.6580.000 ***0.6580.000 ***0.5910.001 ***
AN0.0570.7640.0440.817−0.0110.9520.0060.975−0.0440.817
SOC−0.2350.2110.5870.001 ***−0.6630.000 ***−0.6540.000 ***−0.5870.001 ***
SOM−0.2350.2110.5870.001 ***−0.6630.000 ***−0.6540.000 ***−0.5870.001 ***
Note: PCC: Pearson’s correlation coefficient. *, p < 0.05; ***, p < 0.001.
Table 3. Mantel’s test results of correlations between fungal community structure (based on ASVs) and soil factors.
Table 3. Mantel’s test results of correlations between fungal community structure (based on ASVs) and soil factors.
Soil Factorsrp
pH0.070.83
EC0.440.00
AP0.280.00
AN0.040.69
SOC0.260.00
SOM0.260.00
Table 4. Relationship between soil physicochemical properties and α-diversity in different treatment groups. pH: soil pH; EC: soil electrical conductivity; AP: available phosphorus; AN: alkali-hydrolyzable nitrogen; SOC: soil organic carbon; SOM: soil organic matter.
Table 4. Relationship between soil physicochemical properties and α-diversity in different treatment groups. pH: soil pH; EC: soil electrical conductivity; AP: available phosphorus; AN: alkali-hydrolyzable nitrogen; SOC: soil organic carbon; SOM: soil organic matter.
Soil FactorsChao1DominancePielou’s EvennessShannonSimpson
PCCpPCCpPCCpPCCpPCCp
pH0.1730.3600.2030.281−0.1430.4530.0500.791−0.2030.281
EC−0.1800.3420.2060.275−0.1450.445−0.2730.144−0.2060.275
AP−0.2190.2460.1680.374−0.0310.869−0.2370.208−0.1680.374
AN0.0880.644−0.4400.015 *0.4180.022 *0.3260.0790.4400.015 *
SOC0.0570.766−0.1490.4310.2070.2710.1730.3600.1490.431
SOM0.0570.766−0.1490.4310.2070.2710.1730.3600.1490.431
Note: PCC: Pearson’s correlation coefficient. *, p < 0.05.
Table 5. Mantel’s test results of correlation between ASV-based bacterial community structure and soil factors.
Table 5. Mantel’s test results of correlation between ASV-based bacterial community structure and soil factors.
Soil Factorsrp
pH0.070.76
EC0.080.20
AP0.030.35
AN0.180.05
SOC0.060.25
SOM0.060.26
Disclaimer/Publisher’s Note: The statements, opinions and data contained in all publications are solely those of the individual author(s) and contributor(s) and not of MDPI and/or the editor(s). MDPI and/or the editor(s) disclaim responsibility for any injury to people or property resulting from any ideas, methods, instructions or products referred to in the content.

Share and Cite

MDPI and ACS Style

Mi, Z.; Zheng, Z.; Liu, B.; Han, W.; Shan, X.; Pu, Z.; Rouzi, N.; Tan, X.; Wei, J.; Hao, S.; et al. Effects of Gramineous and Leguminous Crops on Soil Microbial Community Structure and Diversity. Agronomy 2026, 16, 380. https://doi.org/10.3390/agronomy16030380

AMA Style

Mi Z, Zheng Z, Liu B, Han W, Shan X, Pu Z, Rouzi N, Tan X, Wei J, Hao S, et al. Effects of Gramineous and Leguminous Crops on Soil Microbial Community Structure and Diversity. Agronomy. 2026; 16(3):380. https://doi.org/10.3390/agronomy16030380

Chicago/Turabian Style

Mi, Zexian, Zeyang Zheng, Botao Liu, Weitao Han, Xuehao Shan, Zhuofan Pu, Nuerbiyamu Rouzi, Xin Tan, Jianing Wei, Shaorong Hao, and et al. 2026. "Effects of Gramineous and Leguminous Crops on Soil Microbial Community Structure and Diversity" Agronomy 16, no. 3: 380. https://doi.org/10.3390/agronomy16030380

APA Style

Mi, Z., Zheng, Z., Liu, B., Han, W., Shan, X., Pu, Z., Rouzi, N., Tan, X., Wei, J., Hao, S., & Tang, H. (2026). Effects of Gramineous and Leguminous Crops on Soil Microbial Community Structure and Diversity. Agronomy, 16(3), 380. https://doi.org/10.3390/agronomy16030380

Note that from the first issue of 2016, this journal uses article numbers instead of page numbers. See further details here.

Article Metrics

Back to TopTop