Next Article in Journal
Soil-Specific Redox Effects on Phosphorus Availability and Diagnostic Approaches in Flooded Paddy Soils
Previous Article in Journal
Agronomic and Functional Evaluation of Nine Gamma-Irradiated Colored Wheat Mutants for Whole-Crop Forage Production
 
 
Font Type:
Arial Georgia Verdana
Font Size:
Aa Aa Aa
Line Spacing:
Column Width:
Background:
Article

Mapping and Gene Mining of the Lobed Leaf Trait in Mustard

State Key Laboratory of Vegetable Biobreeding, Institute of Vegetables and Flowers, Chinese Academy of Agricultural Sciences, Beijing 100081, China
*
Authors to whom correspondence should be addressed.
Agronomy 2026, 16(1), 50; https://doi.org/10.3390/agronomy16010050
Submission received: 10 November 2025 / Revised: 17 December 2025 / Accepted: 22 December 2025 / Published: 24 December 2025
(This article belongs to the Special Issue Cruciferae Plant Breeding and Cultivation Management)

Abstract

Mustard (Brassica juncea), an essential leaf and oil crop in China, exhibits notable yield potential and adaptability, both of which are influenced by the morphology of the leaf margin. Despite its agronomic importance, the genetic regulatory mechanisms governing this trait remain poorly understood, posing a challenge to molecular breeding efforts. In this study, mustard varieties with lobed and non-lobed leaf margins were used to systematically investigate the genetic basis of leaf margin differentiation through BSA-seq, RNA-seq, and bioinformatics analyses. BSA-seq screening identified four LMI1 homologous genes, including BjuOA10G33260, which may fissure the leaf margin by suppressing cytokinin signaling. RNA-seq analysis revealed significant enrichment of ethylene and growth hormone pathways during key stages of leaf development (at 12 days post-sowing). Integrated analysis of BSA-seq and RNA-seq data identified 15 genes involved in leaf morphogenesis, including BjuOB05G34700 (ADF4, an actin depolymerization factor), BjuOA08G35830 (GATA transcription factor 11), BjuOA09G42060 (ERF transcription factor), and BjuOA07G29650 (GATA transcription factor). Notably, BjuOA10G30380 (TGA2) and BjuOA10G34680 (LAX1) may regulate cytoskeletal dynamics and hormonal signaling, contributing to the development of leaf morphology. This study presents the first molecular network regulating the morphogenesis of the leaf edge in mustard, offering a theoretical foundation and valuable genetic resources for breeding new varieties with optimized leaf architecture.

1. Introduction

Brassica juncea, a species within the genus Brassica (family Brassicaceae), is an important cash crop in China. The annual cultivation area of mustard in China exceeds one million hectares, with a total economic value surpassing 200 billion RMB [1]. Through long-term natural evolution and artificial domestication, mustard has diversified into four major types (those bred specifically for their roots, stems, leaves, and flowers) and 16 recognized varieties in China.
Leaf morphology in B. juncea varies significantly both within and between varieties, ranging from slender to elliptical forms. This morphological diversity is primarily governed by the growth dynamics of the marginal meristem, which retains meristematic activity [2]. Auxin signaling plays a central role in regulating compound leaf development and margin serration. Auxins promote cell division by inducing expression of AS1 and AS2, thereby shaping leaf architecture. Mutations in as1 and as2 result in pronounced bilateral asymmetry, leading to lobed leaves and the formation of small leaflets at the petiole base [3]. In Solanum lyratum, the Aux/IAA family member ENTIRE is expressed in the intercellular regions between leaves, where it suppresses auxin responses to maintain axillary leaflessness. ENTIRE interacts with ARF activators such as SIARF19A, SIARF19B, and SIMP, with varying doses of these ARFs promoting leaflet growth to different extents [4]. The NAC-domain gene GOBLET (GOB) also modulates auxin signaling by altering its spatial distribution. In conjunction with ENTIRE-mediated auxin responses, GOB facilitates compound leaf formation [5].
Gibberellins (GAs) influence leaf shape in a species-dependent manner. In monocotyledonous plants, elevated GA levels lead to smooth, edge-veined leaves and simplified compound leaf structures [6,7]. During leaf development, GA and cytokinin (CK) exhibit antagonistic interactions. GA activity is modulated by the KNOX1 and TCP transcription factors: TCP enhances GA biosynthesis, while KNOX1 reduces GA levels and promotes CK accumulation. This hormonal interplay fine-tunes their balance, ultimately regulating the development of leaf margin morphology [8]. During leaf development, KNOX1 is expressed in the basal portion of the leaf midrib, while RCO shows symmetrical expression in the basal region of leaf lamellipads. These two genes promote compound leaf formation by extending the growth potential of leaf primordia cells and driving anisotropic cell expansion, thereby inhibiting localized growth [9]. KNOX1 expression is essential for normal lamellipad development in compound-leaf species. The interaction between LATE MERISTEM IDENTITY1 (LMI1) and KNOX1 jointly regulates leaf development, producing diverse morphologies such as broad, shallowly lobed, and compound leaves, with specific phenotypes determined by gene combinations [10]. The formation of notches at the leaf margin is closely linked to KNOX1 expression [11]. Within the KNOX1 gene family, STM, BREVIPEDICELLUS (BP), and KNOTTED-1 (KN1) play key roles in the shaping of leaf margins. ARP genes and miRNAs also contribute to leaf shape regulation: downregulation of ARP alters lobe number and shape, while overexpression of miR396 affects leaf morphology by targeting GRF [12].
As core components of plant transcriptional regulatory networks, the MYB gene family plays critical roles in leaf morphogenesis. All members possess a conserved MYB-DNA binding domain at the N-terminus and are classified into MYB1R, R2R3-MYB, MYB3R, and 4R-MYB subgroups based on repeat units. The R2R3-MYB subfamily directly regulates three-dimensional leaf structure through epidermal cell differentiation, vein patterning, and margin shaping [13]. In tomato, the trifoliate gene (Tf) contributes to leaf morphogenesis. Tf encodes an R2R3-type MYB transcription factor that interacts with lateral organ fusion 1 (LOF1), functioning analogously to LOF2 in Arabidopsis thaliana. Expressed primarily in leaf margins and axils, Tf maintains normal leaf morphology by inhibiting cell differentiation. Tf mutations result in narrow, single leaves during early development and opposite-lanceolate leaflets with elongated petioles at the apex in later stages [14].
The correlation between leaf margin splitting and temperature has been extensively documented. Plants in cold, arid regions typically exhibit deeply lobed or serrated margins, whereas those in tropical, humid environments predominantly develop leaf edges that are smooth and unlobed [15,16,17,18,19]. This relationship has established leaf margin morphology as a biomarker for paleoclimate reconstruction [15,20] and is supported by experimental evidence [16,21]. However, the adaptive mechanisms underlying leaf margin plasticity remain controversial [19,21].
The diverse leaf margin morphologies observed in mustard plants represent critical biological adaptations to environmental conditions. Research implies that leaf edge fissures help regulate the leaf surface microenvironment, reducing water loss through transpiration and enhancing photosynthetic efficiency under high-temperature or drought stress [22]. In the Brassicaceae family, the Arabidopsis CUC2 gene mediates leaf margin serration by regulating auxin polar transport [23], while the function of its Brassica homolog BjuCUC2 and its role in plant architecture remain unclear.
Despite these foundational insights into leaf morphogenesis, significant knowledge gaps remain regarding the genetic basis of leaf morphology in Brassica juncea. First, the major and modifier genes underlying lobed versus non-lobed phenotypes in B. juncea remain poorly characterized. Most current studies are based on model organisms or other Brassica species, with limited systematic genetic mapping efforts specifically targeting B. juncea. Second, the synergistic interplay among hormone signaling pathways (e.g., auxin and gibberellin), transcription factors, and cytoskeleton-related genes during leaf lobing development is not well understood. Existing research largely describes isolated roles of individual genes or pathways, lacking integrative mechanistic models. Third, there is a lack of comprehensive multi-omics approaches to dissect the complex regulatory networks governing leaf lobing. Single-platform analyses fail to capture the full scope of genomic and transcriptomic regulation [12]. To address these limitations, this study employs an innovative multi-omics strategy integrating BSA-seq, RNA-seq, and WGCNA. BSA-seq enables rapid identification of candidate genomic regions associated with leaf lobing; RNA-seq facilitates the detection of differentially expressed genes across developmental stages; and WGCNA constructs co-expression networks to pinpoint core hub genes. Together, this forms a robust “localization-screening-validation” pipeline. The integrated approach not only overcomes the constraints of single-omics methods but also provides the first systematic evidence of the coordinated regulatory roles of LMI1 homologs, GATA transcription factors, ERF family genes, and cytoskeleton-associated genes (e.g., ADF4) in B. juncea leaf lobing. This work fills a critical gap in understanding the genetic architecture of leaf morphology in B. juncea and offers both theoretical insights and valuable genetic resources for improving leaf architecture in Brassica crops [23].
This study identified the key genes governing leaf splitting traits in Brassica, offering insights into the genetic basis of the morphological diversity of leaves and providing theoretical basis and genetic resources for breeding high-yield mustard varieties with optimized leaf shape.

2. Materials and Methods

2.1. Plant Materials

We selected A129 (a mustard variety with lobed leaves) and B139 (a variety with non-lobed leaves) from the National Vegetable Germplasm Resource Bank as parental lines for constructing genetic populations. Both varieties were sown at the Langfang Experimental Field of the Chinese Academy of Agricultural Sciences under conventional irrigation and fertilization management to prepare for subsequent sampling. Simultaneously, 120 pots each were planted in the artificial climate chamber at the Institute of Vegetables and Flowers, Chinese Academy of Agricultural Sciences, with five seedlings retained per pot. The first sampling was conducted on day 7 post-sowing when seedlings developed cotyledons, targeting growth points including shoot tips, leaves, and petioles. Subsequent sampling was performed every 5 days for five rounds, each round including three biological replicates. All samples were collected under identical conditions with consistent plant height, leaf numbers, and size.

2.2. Population Construction and Phenotypic Identification

The F1 population was obtained by crossing varieties A129 and B139. Morphological traits were measured and statistically analyzed. The F2 population was derived from self-pollinated F1 plants sown at the Langfang Experimental Field under standard water and fertilizer management. When the plants reached the rosette stage, 495 samples were collected. Using the parental leaf morphologies as the reference standard, 28 samples with deeply lobed leaves and 28 with smooth, unlobed leaf edges were selected for DNA extraction and BSA-seq sequencing.

2.3. DNA Extraction and BSA-Seq Sequencing Analysis

DNA was extracted using the CTAB method. DNA quality was assessed through 1% agarose gel electrophoresis. Concentrations of qualified DNA samples were measured using a Nanodrop ultra-micro spectrophotometer (Thermo Fisher Scientific, Waltham, MA, USA), with minimum concentration values serving as the baseline for gradient dilution to achieve uniform DNA concentration across pooled samples. After homogenization, both parent and progeny DNA samples were sent to Beijing Novogene Biotech for whole-genome sequencing analysis using bulked segregant analysis sequencing (BSA-seq).

2.4. RNA Extraction and BSR-Seq Sequencing Analysis

Samples from two mustard varieties, A129 and B139, were collected across five time points (A1–A5 and B1–B5), totaling 30 samples, which were delivered to Novogene Biotech. RNA was extracted using an RNA Prep Pure Polysaccharide-Polyphenol Plant Total RNA Kit (TianGen Bio-Technology, Beijing, China), followed by assessment of RNA integrity and quantity via 1.5% agarose gel electrophoresis and an Agilent 2100 Bioanalyzer (Agilent Technologies, Santa Clara, CA, USA). Libraries were constructed and sequenced using the Illumina platform with paired-end 150 bp reads. After filtering, clean reads were aligned to the mustard reference genome (http://brassicadb.cn/) using HISAT2 to determine positional and sample-specific sequence features. Gene expression levels were quantified using FPKM values, and genes with |Log2 Fold Change| ≥ 1 and Q-value ≤ 0.05 were identified as differentially expressed genes (DEGs). Functional annotation was performed using Gene Ontology (GO), Kyoto Encyclopedia of Genes and Genomes (KEGG), Pfam, SwissProt, and NR databases. GO enrichment analysis was conducted using Blast2GO, and metabolic pathway analysis was performed using the KEGG database. Genes with significant enrichment (Q-value ≤ 0.05) were considered significantly enriched in both GO and KEGG analyses.

2.5. Analysis of DEGs

Based on the DESeq2 algorithm framework [24], we conducted cross-group differential analysis of transcriptomes from B. juncea. The analysis employed rigorous multiple hypothesis testing correction strategies, applying the Benjamini–Hochberg false discovery rate (FDR) control algorithm to calibrate raw p-values across the entire transcriptome scale. This ensured statistical reliability in differential gene screening, with corrected FDR values serving as the key metric for identifying DEGs. During the screening process, we established a selection criterion of FDR < 0.05 and fold change (FC) ≥ 2. The identified DEGs in the mustard transcriptome were then compared and annotated against databases including GO and KEGG to obtain gene annotation information.

2.6. Coexpression Network Analysis of Differential Genes

WGCNA (v1.73) [25], based on the R version 4.5.2 (2025-10-31) was used to construct a weighted gene coexpression network. Hierarchical clustering of the TOM matrix was performed using the dynamic mixed tree cutting algorithm (deepSplit = 2, minClusterSize = 100). Coexpression modules (MEblack–MEred) were identified through module feature vector correlation analysis (merge threshold = 0.75). Modules showing significant association with AB group phenotypes were designated as core regulatory modules. Gene connectivity strength was calculated using the softConnectivity function (threshold > 0.65), and the 30 most connected genes were selected to build a coexpression subnetwork. Topological parameters (degree centrality ≥ 15, betweenness centrality ≥ 0.08) were computed using the Cytoscape 3.10.3 (The Cytoscape Consortium, https://cytoscape.org/, released on 24 October 2024) CytoHubba plugin. A Venn diagram comparison was performed between WGCNA-selected genes (ranked by MM values) and A2 vs. B2 DEGs (|log2FC| > 2, FDR < 0.01), identifying key regulatory genes.

2.7. qRT-PCR Analysis

To verify the accuracy of the RNA-seq data, eight genes were selected for qRT-PCR analysis, and primers were designed using Primer Premier 6.0 (Table S1). BjGAPDH served as the internal reference gene to normalize the results [26]. Gene transcript abundance was calculated using the 2−∆∆Ct method, with three independent biological replicates performed.

3. Results

3.1. Phenotype Identification of F1 and F2 Generations

The F1 population developed through hybridization between A129 and B139 exhibited an intermediate leaf morphology (Figure 1). Analysis of 495 F2 plants revealed 48, 51, and 384 plants with unlobed, deeply lobed, and intermediately lobed leaves, respectively, this indicates that the key gene controlling leaf splitting is dominant, with multiple minor genes having additive effects.

3.2. BSA Data Analysis

Statistical analysis of sequencing quality control results (Table 1) showed a total raw data volume of 163.12 Gb, with 159.18 Gb of valid data retained after quality filtering. Raw data output per sample ranged from 10,243.877 Mb to 81,758.185 Mb. Quality metrics confirmed accurate base identification (Q20 ≥ 97.94%, Q30 ≥ 94.77%) and GC content distribution (38.65–40.25%) consistent with the characteristics of the mustard genome. These results validate the reliability of library construction and sequencing workflows, with both data quality and quantity meeting statistical requirements for downstream analyses.
Alignment rates between sequencing data and the reference genome reflect sequence similarity. Coverage depth (average reads per position) and coverage extent (number of genomic regions sequenced) indicate data uniformity and alignment quality. Alignment analysis against the reference genome (genome size: 894,189,992 bp) showed that all samples achieved alignment rates between 97.18% and 97.99% (Table 2). After N-region correction, average coverage depth ranged from 11.08× to 81.76×, with >89.26% of genomic regions achieving at least 1× coverage. These metrics demonstrate high consistency between sequencing data and the reference genome. The coverage depth and distribution uniformity met technical standards for whole-genome variation detection (e.g., SNP/InDel screening) and functional annotation, ensuring reliable data quality for subsequent genetic analysis.
Through SNP detection (using GATK 3.3 software), filtering (VariantFiltration software), and annotation (ANNOVAR 2024-07-15 software [27]; https://annovar.openbioinformatics.org), in total 7,447,848 high-quality SNP loci were identified following rigorous quality control (Table 3). Among these, coding region variants included 648,648 synonymous mutations (8.71%) and 450,279 nonsynonymous mutations (6.05%). Genomic regional distribution analysis revealed significant SNP enrichment in exons, upstream/downstream regulatory regions, and intergenic areas (χ2-test, p < 0.01), with counts 3.1× higher than those in intronic regions. This indicates that SNPs tend to occur in functional element-dense regions such as conserved domains or regulatory sequences, potentially reflecting genomic functional constraints and evolutionary selection pressures.
Detection of individual InDels was performed using GATK, yielding 1,743,175 high-quality InDel variants after filtering (Table 4). Transcode mutations accounted for 2.30% (40,019 cases), including 20,817 deletions and 19,202 insertions. These variants, due to reading frame shifts, are prone to disrupting protein translation, potentially affecting functional domains or causing premature termination. Regional genomic distribution analysis indicated significant enrichment of variants in exons (70,816 cases), regulatory regions upstream/downstream of genes, and intergenic regions (χ2-test, p < 0.01), with counts 2.8× higher than those in intronic regions. This pattern mirrors the SNP distribution and highlights the enrichment of variant events in functional elements, reflecting underlying evolutionary pressures and genomic constraints.

3.3. Genomic Mapping of Mustard Lobed Leaf Trait

The SNPindex (i.e., SNP frequency) was calculated for 456,406 marker loci in the F2 generation between parental lines through computational analysis, resulting in 445,283 filtered polymorphic loci. To capture all genetic factors potentially influencing traits, including genes with minor effects, SNP loci showing significant differences between extreme trait F2 generations were screened across the entire genome. The formula used was △(SNP index) = SNP index (Extreme Trait B) − SNP index (Extreme Trait A). To validate the reliability of these differences, 1000 random data rearrangement tests were performed, and a 95% reliability threshold (indicated by the blue dashed line in Figure 2) was established as the screening criterion. A candidate region spanning 17–19 Mb on chromosome A10 was identified, containing 550 genes.
Following multiple rounds of rigorous screening, including quality control and elimination of redundant sites, 540 high-quality polymorphic markers significantly associated with the target traits were identified (Table 5). Genomic distribution analysis revealed the following: upstream and downstream 1 kb regulatory regions contained 41 (7.59%) and 40 (7.41%) variation sites, respectively, while 22 (4.07%) were located in intergenic overlapping regulatory regions (i.e., the 1 kb overlap between a gene’s upstream region and a neighboring gene’s downstream region). These variants may influence gene expression by affecting cis-regulatory elements such as promoters or enhancers. Exon regions accounted for 240 variants (44.44%), including 155 synonymous mutations (28.70%) and 85 nonsynonymous mutations (15.74%). Notably, 27 nonsynonymous mutations (31.76%) were located in conserved structural domains, potentially impacting protein function. Intron regions contained 148 variants (27.41%), with two potential mRNA splicing sites identified at splice boundaries (±2 bp from intron borders). An additional 25 variants (4.63%) were distributed in intergenic nonfunctional regions. These results indicate significant enrichment of polymorphic sites in functionally relevant regions (59.26% in coding and regulatory regions), likely shaped by natural selection pressure or functional constraints, and provide high-value candidate sites for downstream trait association analysis.
For the 540 polymorphic marker sites, annotation results from ANNOVAR were extracted. Variants causing gain or loss of stop codons, nonsynonymous mutations, or variable splicing were prioritized. Four SNP sites related to mustard leaf fragmentation were identified on chromosome A10 (Table 6).

3.4. Transcriptome Sequencing and Differential Expression Analysis

After sequencing and filtering using the Illumina platform, 30 mustard samples yielded 1,822,424,008 clean reads, totaling 288.04 Gb of clean data (Table S2). All samples exceeded 8.43 Gb in measured data, meeting quality control standards. The average GC content per sample was 47.28%, with Q20 ranging from 98.75% to 98.93% and Q30 from 96.37% to 96.83%, indicating high-quality and high-quantity transcriptome sequencing. FPKM values, which correct for gene length and sequencing depth, were used to represent gene expression levels. Pearson correlation analysis and principal component analysis (Figure 3) were conducted on these FPKM values. A heat map revealed strong correlations in FPKM values between leaf samples B139 and A129 across time points. The lowest correlation coefficient of 0.71 implied moderate inter-sample correlation, while higher coefficients among biological replicates indicated strong reproducibility. PCA analysis of the 30 samples showed tight clustering of biological replicates within each sample, confirming reproducibility, and revealed significant differences between the two sample groups. Both Pearson correlation and PCA analyses demonstrated good repeatability of transcriptome data and clear distinctions between lobed and unlobed plants.
To identify the critical period influencing key genes in leaf splitting, we analyzed the distribution of DEGs across five sampling periods for B139 and A129. The results were categorized into three groups (Figure 4), according to the distribution of all DEGs, upregulated DEGs, and downregulated DEGs across time points. From period 2 to period 4, the number of DEGs between A129 (AvsB) and B139 (AvsB) significantly increased, peaking in period 4 with 23,499 DEGs identified between A4 vs. B4. This number dropped to 13,963 in period 5 (A5 vs. B5). Upregulated DEGs in A129 vs. B139 increased steadily from period 2, reaching 12,207 in period 4. Downregulated DEGs followed a similar trend, peaking at 11,292 in period 4. These consistent patterns across all three groups imply that the critical period for leaf splitting lies between periods 2 and 4. Subsequent analyses focused on these three periods for comparisons between the two mustard varieties.
Venn diagrams provided deeper insight into DEG expression patterns. In intergroup comparisons, upregulated DEGs indicated higher expression in mustard samples with unlobed leaves relative to those with lobed leaves, while downregulated DEGs showed the opposite. Across developmental stages, 3181 DEGs were consistently upregulated, implying potential roles in suppressing lobed leaf differentiation. Conversely, 2953 DEGs were consistently downregulated, indicating possible involvement in promoting lobed leaf formation.

3.5. GO Enrichment and KEGG Pathway Analyses

GO enrichment analyses were conducted on 9710 upregulated and 7982 downregulated DEGs across the two mustard varieties from five growth stages (Figure 5), using a p-value threshold of <0.05. For each stage, the top 20 GO terms with the highest enrichment scores were identified, with a particular focus on stages 2, 3, and 4. In upregulated pathways, stage 2 (12 days post-sowing) showed significant enrichment in photosynthesis-related pathways, indicating that true leaf germination at this stage primarily supports photosynthesis to synthesize essential plant nutrients, consistent with observed phenotypic changes. Both mustard samples had transitioned from the cotyledon stage to true leaf development at this point, with unlobed and lobed varieties completing differentiation from the emergence of the first true leaf. This implies that stages 1 and 2 are critical for lobed differentiation.
Stage 3 (17 days post-sowing) exhibited enrichment in biosynthesis-related pathways (including the synthesis of proteins, lipids, carbohydrates, and secondary metabolites), reflecting rapid vegetative growth in which cells actively synthesize biomolecules to support tissue expansion and organ development. Following leaf morphogenesis, leaf enlargement is driven by cell elongation and biosynthetic activity supporting tissue growth and metabolic function. Stage 4 (22 days post-sowing) showed primary enrichment in DNA metabolic pathways, implying active cell division or developmental phase transitions. DNA replication may prepare tissues for differentiation or reproductive development (e.g., flower bud formation), while DNA repair is associated with environmental responses or the regulation of developmental precision.
Among downregulated pathways, the most abundant enrichments were observed during phase 2 and phase 4. Phase 2 showed enrichment in DNA metabolic processes and microtubule dynamics. The former implies that phase 2 may correspond to an active cell division phase, as mustard leaf differentiation requires frequent cell division to form meristems or leaf primordia, with DNA metabolism serving as the foundation for proliferation. Microtubules, essential components of the cytoskeleton, help establish cell shape and participate in cytoplasmic division and polarity regulation. Their enrichment may directly influence leaf morphology by controlling elongation direction or mesophyll cell arrangement. Phase 4 showed predominant enrichment in ion transport-related pathways, likely involving cell swelling, substance accumulation, or stress responses.
Subsequent KEGG analyses (Figure 6) revealed that genes mapped to pathways such as “photosynthesis” and “biological synthesis and metabolic processes” displayed expression patterns consistent with the GO enrichment findings.

3.6. Screening of Key Genes Related to Plant Hormones in Lobed Leaf Mustard

Beyond genetic influences, plant hormones such as auxins, cytokinins, and GAs play critical roles in regulating leaf margins. In this study, initial BSA sequencing analysis identified four homeobox genes (BjuOA10G33260, BjuOA10G33270, BjuOA10G33290, BjuOA10G33300) with high homology to LMI among 550 genes within the mapped region.
Based on KEGG results, 1151 plant-hormone-related genes were identified from transcriptome sequencing data using the identifier “ath04075” (Plant Hormone Signal Transduction). From these, 460 significantly DEGs were selected by filtering transcriptome expression levels using the criteria |Log2 Fold Change| ≥ 1 and Q-value ≤ 0.05.
To integrate transcriptomic differential expression and enrichment analysis results, three comparative groups were selected for focused examination: A1vsA2 (samples without lobed leaves from period 1 vs. period 2), B1vsB2 (lobed samples from period 1 vs. period 2), and A2vsB2 (unlobed vs. lobed samples in period 2). Across these groups, 251 significant DEGs were identified and subjected to K-means clustering analysis (Figure 7), revealing 20 distinct expression trend categories. Subsequent searches within the mapped region identified three genes: BjuOA10G30380, BjuOA10G33350, and BjuOA10G34680. Functional annotations using six databases revealed that these genes directly or indirectly influence mustard leaf differentiation by modulating the ethylene and auxin signaling pathways.

3.7. Hub Gene Identification Through Coexpression Network Module Analysis

All experimental samples were screened, and a sample clustering tree was constructed. No outlier samples were detected, so all were retained for WGCNA analysis. Sample clustering results are shown in Figure 8.
From transcriptomic analysis, 26,410 DEGs were selected for WGCNA, with the top 25% prioritized using median absolute difference (MAD) filtering. Gene similarity was assessed via adjacency-based calculations, followed by dissimilarity coefficient computation to construct a phylogenetic tree. Using the Hybrid Dynamic Tree Cutting algorithm, gene modules were defined with a minimum size of 100 genes. As shown in Figure 9A, 13 distinct modules were identified. Expression patterns within each module were visualized using bar charts to highlight characteristic changes in gene expression. Modules showing strong biological reproducibility and representative trends in temporal or stratigraphic expression were selected for further analysis.
To investigate molecular regulatory differences between unlobed-leaf and lobed-leaf mustard (Group AB), gene modules with significant phenotypic associations were screened using WGCNA. Correlation analysis identified the MEturquoise module as most strongly associated with Group AB (Pearson r = 0.87, p < 0.05), containing 5697 core genes (Figure 9B). The interaction strength within the module was evaluated using the soft connectivity algorithm, and the top 30 hub genes were selected to construct a coexpression network via Cytoscape (Figure 10).
To identify key genes involved in lobed leaf formation, the top 30 hub genes from WGCNA (Figure 11) were compared between lobed/unlobed samples during period 2. Intersecting the differential expression results from A2 vs. B2, 15 candidate genes were identified: BjuOA09G45840, BjuOB01G03760, BjuO_Contig00074G00140, BjuOA08G35830, BjuOA09G42060, BjuOA01G12120, BjuOB05G34700, BjuOA10G01770, BjuOA07G41530, BjuOA07G29650, BjuOA01G20790, BjuOB05G31170, BjuOA06G17950, BjuOA10G04450, and BjuOB08G55100. These genes were annotated using databases including GO and KEGG. Based on functional annotations, 12 genes were identified as being related to leaf shape differentiation. Combined with BSA sequencing and two rounds of transcriptome screening, three additional candidate genes were identified. In total, 15 genes associated with mustard leaf splitting were confirmed: BjuOA01G12120, BjuOA06G17950, BjuOA07G29650, BjuOA07G41530, BjuOA08G35830, BjuOA09G42060, BjuOA10G01770, BjuOA10G04450, BjuOA10G30380, BjuOA10G33350, BjuOA10G34680, BjuOB05G31170, BjuOB05G34700, BjuOB08G55100, and BjuO_Contig00074G00140. Annotation results are presented in Table 7.

3.8. qRT-PCR Verification

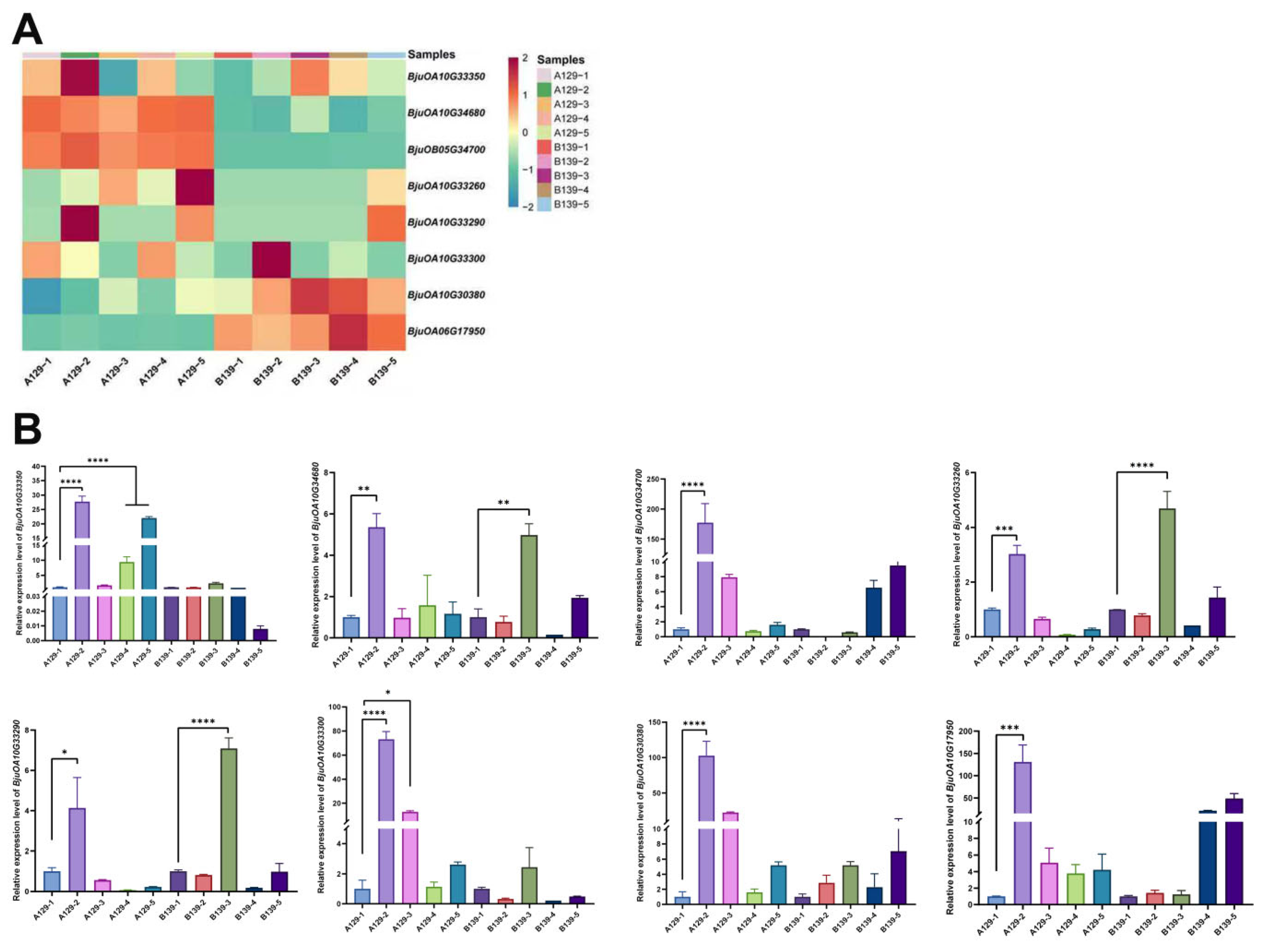
To evaluate the accuracy of the RNA-seq data, we assessed eight candidate genes via qRT-PCR (Figure 12), with relative expression levels calculated using the 2−ΔΔCT method. The results demonstrated high consistency in gene expression profiles across samples, validating the robustness of the transcriptomic analysis.
In addition, the LMI1 homologous genes (BjuOA10G33260, BjuOA10G33290, BjuOA10G33300) within the A10 interval were significantly upregulated in A129 at the A2 stage (12 days after sowing), which is consistent with the critical period of leaf lobe differentiation, supporting their role in promoting the formation of leaf margin lobes. The hormone signaling genes BjuOA10G34680 (LAX1) and BjuOA10G33350 (CTR1) maintained high expression levels throughout different developmental stages of A129, confirming the continuous role of auxin polar transport and ethylene signaling in the regulation of leaf lobes. The cytoskeleton-related hub gene BjuOB05G34700 (ADF4) was specifically upregulated in A129 from the A2 to A4 stages, which is in line with its predicted function in regulating the polar elongation of epidermal cells. These results not only validate the reliability of the multi-omics data but also strengthen the association between candidate genes, regulatory pathways, and leaf lobe phenotypes, providing crucial experimental support for the construction of the molecular regulatory network.

4. Discussion

Homeobox genes in plants are deeply conserved across species yet remarkably diverse in their roles in shaping leaf form and margin architecture. Studies across species demonstrate that these genes orchestrate leaf morphology through intricate regulatory networks. The homeobox transcription factor family includes key subgroups such as the WUSCHEL-related homeobox (WOX) and KNOTTED1-like homeobox (KNOX) gene families, both of which play essential roles in leaf margin differentiation [28]. The WOX family is central to maintaining shoot apical meristem activity and establishing leaf polarity. In tomato, reduced WOX1 expression leads to narrow cotyledons and diminished vascular density, while mutations in WOX8/9 homologs impair inflorescence branching and leaf complexity. In soybean, the multifoliate mutant MLW48 reveals that GmWOX1A regulates auxin-related gene expression, influencing compound leaf formation. Its protein interaction network further underscores the WOX family’s role in margin development [29]. KNOX genes regulate leaf fissure patterns and margin morphology by modulating apical activity. In Equisetum hyemale, HdSTM (a KNOX family member) shows elevated expression in aquatic environments and interacts with CUC3 to promote the deep-cleft phenotype of submerged leaves [22]. Transgenic Arabidopsis lines overexpressing HdSTM exhibit increased leaf lobes, confirming its role in leaf margin morphogenesis [30]. In maize, KNOX subfamily members such as Knox6 and Hb20 indirectly influence plant height and leaf arrangement by regulating the auxin synthesis gene Vt2, implying that KNOX genes coordinate leaf morphology with broader developmental processes via hormonal signaling [31].
Beyond WOX and KNOX, other homeobox genes such as BIPINNATA and BIP also contribute to leaf morphogenesis. In ornamental wild tomato SiFT, BIP mutations increase leaf complexity, while WOX1 inhibition results in narrow young leaves, together shaping distinct leaf morphologies [31]. These findings demonstrate that homeobox gene subfamilies collectively determine final leaf architecture through modular regulatory networks. CRISPR-Cas9-based cis-regulatory editing has emerged as a powerful tool for dissecting homeobox gene function. For example, editing specific regions of the SlWOX9 promoter enables precise regulation of pleiotropic phenotypes, offering potential for targeted leaf shape optimization in crop improvement [32].
The LMI1-like (RCO)-CK pathway plays a pivotal role in leaf margin serration. In A. thaliana, RCO deletion results in simple leaves, while transgenic lines show lobed margins [33]. LMI1 is a key determinant of leaf morphogenesis in Gossypium hirsutum. In okra (Gossypium okra), overexpression of LMI1 via VIGS silencing restores normal lobulation [34]. In Brassica rapa var. glabra, three LMI1-like homologs have been identified as regulators of leaf morphology. Transgenic A. thaliana lines overexpressing developmental regulators show increased meristematic activity at the leaf margins, promoting serration and lobing [13]. Co-overexpression of STM and RCO in Arabidopsis reveals a synergistic effect: STM promotes cotyledon primordia differentiation via prolonged vascular meristem activity, while RCO enhances morphological complexity by delaying leaf margin cell maturation, together driving the transition from simple to compound leaves [35].
Homeobox genes thus play central roles in leaf morphology and margin development through conserved mechanisms and diverse regulatory strategies. Their multifunctionality, environmental responsiveness, and interaction networks provide a molecular framework for understanding mustard leaf diversity. LMI1 is particularly crucial for leaf shape differentiation, and future research may leverage gene-editing technologies to explore further its potential in morphological optimization.
Transcriptomic analysis identified the 12th day post-sowing (Phase 2) as a critical window for mustard leaf morphogenesis. DEGs during this phase showed significant enrichment in photosynthesis-related pathways, indicating coordinated development of leaf structure and photosynthetic capacity. Additionally, 460 DEGs were identified within the ethylene and auxin signaling pathways (ath04075), including the auxin transport protein gene BjuOA10G34680 (LAX1) and the ethylene response factor BjuOA09G42060 (ERF). As a key carrier in auxin polar transport, LAX1 may regulate cell proliferation patterns by shaping auxin distribution gradients at leaf margins [36]. ERF, a core ethylene signal regulator, may influence meristematic cell fate through hormonal crosstalk with auxin [37]. These findings align with the CUC-dependent auxin–ethylene signaling mechanism underlying leaf serration in Arabidopsis [22].
WGCNA coexpression network analysis revealed a significant correlation between the MEturquoise module and lobed leaf phenotypes, with core genes including BjuOB05G34700 (ADF4) and BjuOA08G35830 (GATA11). As an actin depolymerization factor, ADF4 regulates cytoskeletal dynamics to influence cell morphology. Previous studies on Arabidopsis have shown that ADF family members control polar extension of leaf epidermal cells and stomatal development by degrading microfilament networks [38]. The specific high expression of ADF4 in lobed leaf mustard implies its potential involvement in maintaining polar growth of leaf margin cells or meristematic activity. Meanwhile, GATA11, a member of the GATA transcription factor family, may regulate the differentiation of mesophyll cells through carbon–nitrogen metabolic balance or cytokinin signaling. While GATA2/NTL1 has been shown to control leaf edge serration in Arabidopsis by binding to GATA cis-elements [39], the differential expression of GATA11 in our study further supports the conserved function of the GATA family in leaf shape differentiation.
Although we identified core candidate genes such as BjuOA09G42060 (ERF) and BjuOA07G29650 (GATA transcription factor gene), the specific molecular mechanisms underlying lobed leaf formation remain to be further investigated. For instance, whether ERF directly activates downstream target genes to regulate leaf differentiation or forms complexes with other transcription factors (e.g., CUC family members) to control organ boundary formation still requires experimental validation. While BjuOA06G17950 (F-box/LRR protein gene) and BjuOB08G55100 (ABC transporter gene) are predicted to participate in ubiquitination degradation or hormone transport, their roles in leaf shape differentiation remain unclear. In addition, the 15 core genes identified in this study provide targets for functional validation. In the future, expression profiling of these core genes under various stress treatments can be conducted to investigate the potential interactions between the genetic pathways regulating leaf morphology and those involved in stress response mechanisms. Future studies could validate these functions.

5. Conclusions

In this study, we integrated transcriptomic sequencing data, combined with candidate gene localization and functional annotation analysis, to reveal the molecular regulatory network governing leaf morphogenesis in mustard. The findings demonstrate that leaf differentiation arises from the coordinated action of genetic regulation, hormonal signaling, and dynamic cytoskeletal remodeling. Key regulatory mechanisms include dynamic equilibrium between the ethylene and auxin signaling pathways, the regulation of transcription factor-mediated gene expression, and the coordinated participation of cytoskeleton-related genes.

Supplementary Materials

The following are available online at https://www.mdpi.com/article/10.3390/agronomy16010050/s1, Table S1: Primers used for qRT-PCR verification. Table S2: Transcriptome data from 30 mustard samples.

Author Contributions

W.Y. and H.W. conceived and designed the study. Z.L. investigated and wrote the manuscript. J.S., X.Z. and H.J. prepared and collected the samples. C.X., S.X. and J.L. conducted some of the experiments. W.Y. revised the manuscript. All authors have read and agreed to the published version of the manuscript.

Funding

This research was supported by grants from China Agriculture Research System of MOF and MARA (CARS-24-A-01), the Safe Preservation Project of Crop Germplasm Resources of Ministry of Agriculture and Rural Affairs (2025NWB037), and the Science and Technology Innovation Project of Chinese Academy of Agricultural Sciences (CAAS-ASTIP-2025-IVFCAAS).

Data Availability Statement

The datasets used and/or analyzed during the current study are available from the corresponding author on reasonable request.

Conflicts of Interest

The authors declare no conflicts of interest.

References

  1. Wan, Z.; Fan, Y.; Meng, Q.; Li, Y.; Zou, R.; Li, H.; Xu, Y. Development and prospects of Chinese mustard seed industry. China Veg. 2020, 12, 1–6. [Google Scholar]
  2. Barkoulas, M.; Hay, A.; Kougioumoutzi, E.; Tsiantis, M. A developmental framework for dissected leaf formation in the Arabidopsis relative Cardamine hirsuta. Nat. Genet. 2008, 40, 1136–1141. [Google Scholar] [CrossRef]
  3. Iwakawa, H.; Iwasaki, M.; Kojima, S.; Ueno, Y.; Soma, T.; Tanaka, H.; Semiarti, E.; Machida, Y.; Machida, C. Expression of the ASYMMETRIC LEAVES2 gene in the adaxial domain of Arabidopsis leaves represses cell proliferation in this domain and is critical for the development of properly expanded leaves. Plant J. 2007, 51, 173–184. [Google Scholar] [CrossRef]
  4. Hicks, G.R.; Raikhel, N.V. Small molecules present large opportunities in plant biology. Annu. Rev. Plant Biol. 2012, 63, 261–282. [Google Scholar] [CrossRef]
  5. Berger, Y.; Harpaz-Saad, S.; Brand, A.; Melnik, H.; Sirding, N.; Alvarez, J.P.; Zinder, M.; Samach, A.; Eshed, Y.; Ori, N. The NAC-domain transcription factor GOBLET specifies leaflet boundaries in compound tomato leaves. Development 2009, 136, 823–832. [Google Scholar] [CrossRef]
  6. Achard, P.; Gusti, A.; Cheminant, S.; Alioua, M.; Dhondt, S.; Coppens, F.; Beemster, G.T.; Genschik, P. Gibberellin signaling controls cell proliferation rate in Arabidopsis. Curr. Biol. 2009, 19, 1188–1193. [Google Scholar] [CrossRef]
  7. Bar, M.; Ori, N. Leaf development and morphogenesis. Development 2014, 141, 4219–4230. [Google Scholar] [CrossRef]
  8. Machida, Y.; Suzuki, T.; Sasabe, M.; Iwakawa, H.; Kojima, S.; Machida, C. Arabidopsis ASYMMETRIC LEAVES2 (AS2): Roles in plant morphogenesis, cell division, and pathogenesis. J. Plant Res. 2022, 135, 3–14. [Google Scholar] [CrossRef]
  9. Wang, F.; Han, T.; Song, Q.; Ye, W.; Song, X.; Chu, J.; Li, J.; Chen, Z.J. The rice circadian clock regulates tiller growth and panicle development through strigolactone signaling and sugar sensing. Plant Cell 2020, 32, 3124–3138. [Google Scholar] [CrossRef]
  10. Chen, J.; Yu, J.; Ge, L.; Wang, H.; Berbel, A.; Liu, Y.; Chen, Y.; Li, G.; Tadege, M.; Wen, J.; et al. Control of dissected leaf morphology by a Cys(2)His(2) zinc finger transcription factor in the model legume Medicago truncatula. Proc. Natl. Acad. Sci. USA 2010, 107, 10754–10759. [Google Scholar] [CrossRef]
  11. Rast-Somssich, M.I.; Broholm, S.; Jenkins, H.; Canales, C.; Vlad, D.; Kwantes, M.; Bilsborough, G.; Dello Ioio, R.; Ewing, R.M.; Laufs, P.; et al. Alternate wiring of a KNOXI genetic network underlies differences in leaf development of A. thaliana and C. hirsuta. Gene Dev. 2015, 29, 2391–2404. [Google Scholar] [CrossRef]
  12. Rodriguez, R.E.; Mecchia, M.A.; Debernardi, J.M.; Schommer, C.; Weigel, D.; Palatnik, J.F. Control of cell proliferation in Arabidopsis thaliana by microRNA miR396. Development 2010, 137, 103–112. [Google Scholar] [CrossRef] [PubMed]
  13. Koyama, T.; Mitsuda, N.; Seki, M.; Shinozaki, K.; Ohme-Takagi, M. TCP transcription factors regulate the activities of ASYMMETRIC LEAVES1 and miR164, as well as the auxin response, during differentiation of leaves in Arabidopsis. Plant Cell 2010, 22, 3574–3588. [Google Scholar] [CrossRef] [PubMed]
  14. Zhang, Q.; Ma, C.; Zhang, Y.; Gu, Z.; Li, W.; Duan, X.; Wang, S.; Hao, L.; Wang, Y.; Wang, S.; et al. A single-nucleotide polymorphism in the promoter of a hairpin RNA contributes to alternaria alternata leaf spot resistance in apple (Malus × domestica). Plant Cell 2018, 30, 1924–1942. [Google Scholar] [CrossRef] [PubMed]
  15. Royer, D.L.; Wilf, P. Why do toothed leaves correlate with cold climates? Gas exchange at leaf margins provides new insights into a classic paleotemperature proxy. Int. J. Plant Sci. 2006, 167, 11–18. [Google Scholar] [CrossRef]
  16. Royer, D.L.; Meyerson, L.A.; Robertson, K.M.; Adams, J.M. Phenotypic plasticity of leaf shape along a temperature gradient in Acer rubrum. PLoS ONE 2009, 4, e7653. [Google Scholar] [CrossRef]
  17. Peppe, D.J.; Royer, D.L.; Cariglino, B.; Oliver, S.Y.; Newman, S.; Leight, E.; Enikolopov, G.; Fernandez-Burgos, M.; Herrera, F.; Adams, J.M.; et al. Sensitivity of leaf size and shape to climate: Global patterns and paleoclimatic applications. New Phytol. 2011, 190, 724–739. [Google Scholar] [CrossRef]
  18. Chitwood, D.H.; Klein, L.L.; O’Hanlon, R.; Chacko, S.; Greg, M.; Kitchen, C.; Miller, A.J.; Londo, J.P. Latent developmental and evolutionary shapes embedded within the grapevine leaf. New Phytol. 2016, 210, 343–355. [Google Scholar] [CrossRef]
  19. Chitwood, D.H.; Ranjan, A.; Martinez, C.C.; Headland, L.R.; Thiem, T.; Kumar, R.; Covington, M.F.; Hatcher, T.; Naylor, D.T.; Zimmerman, S.; et al. A modern ampelography: A genetic basis for leaf shape and venation patterning in grape. Plant Physiol. 2014, 164, 259–272. [Google Scholar] [CrossRef]
  20. Givnish, T. On the adaptive significance of leaf form. In Topics in Plant Population Biology; Springer: Berlin/Heidelberg, Germany, 1979; pp. 375–407. [Google Scholar]
  21. Nicotra, A.B.; Leigh, A.; Boyce, C.K.; Jones, C.S.; Niklas, K.J.; Royer, D.L.; Tsukaya, H. The evolution and functional significance of leaf shape in the angiosperms. Funct. Plant Biol. 2011, 38, 535–552. [Google Scholar] [CrossRef]
  22. Kawamura, E.; Horiguchi, G.; Tsukaya, H. Mechanisms of leaf tooth formation in Arabidopsis. Plant J. 2010, 62, 429–441. [Google Scholar] [CrossRef]
  23. Nikovics, K.; Blein, T.; Peaucelle, A.; Ishida, T.; Morin, H.; Aida, M.; Laufs, P. The balance between the MIR164A and CUC2 genes controls leaf margin serration in Arabidopsis. Plant Cell 2006, 18, 2929–2945. [Google Scholar] [CrossRef]
  24. Love, M.I.; Huber, W.; Anders, S. Moderated estimation of fold change and dispersion for RNA-seq data with DESeq2. Genome Biol. 2014, 15, 550. [Google Scholar] [CrossRef]
  25. Langfelder, P.; Horvath, S. WGCNA: An R package for weighted correlation network analysis. BMC Bioinform. 2008, 9, 559. [Google Scholar] [CrossRef]
  26. Yang, W.; Xu, C.; Han, J.; Zhang, X.; Song, J.; Jia, H.; Wang, H. Genome-wide identification and characterization of the WOX gene family in Brassica juncea. Chin. J. Biotech. 2023, 39, 537–551. [Google Scholar]
  27. Wang, K.; Li, M.; Hakonarson, H. ANNOVAR: Functional annotation of genetic variants from high-throughput sequencing data. Nucleic Acids Res. 2010, 38, e164. [Google Scholar] [CrossRef]
  28. Haecker, A.; Gross-Hardt, R.; Geiges, B.; Sarkar, A.; Breuninger, H.; Herrmann, M.; Laux, T. Expression dynamics of WOX genes mark cell fate decisions during early embryonic patterning in Arabidopsis thaliana. Development 2004, 131, 657–668. [Google Scholar] [CrossRef]
  29. Li, Y.; Chu, L.; Lyu, P.; Lyu, W.; Xie, P.; Zhang, C.; Feng, H.; Liu, B.; Zhao, T. Mutations in the wuschel-related homeobox1 gene cause an increased leaflet number in soybean. Crop J. 2024, 12, 1645–1654. [Google Scholar] [CrossRef]
  30. Hay, A.; Tsiantis, M. The genetic basis for differences in leaf form between Arabidopsis thaliana and its wild relative Cardamine hirsuta. Nat. Genet. 2006, 38, 942–947. [Google Scholar] [CrossRef]
  31. Bolduc, N.; Yilmaz, A.; Mejia-Guerra, M.K.; Morohashi, K.; O’Connor, D.; Grotewold, E.; Hake, S. Unraveling the KNOTTED1 regulatory network in maize meristems. Gene Dev. 2012, 26, 1685–1690. [Google Scholar] [CrossRef]
  32. Rodríguez-Leal, D.; Lemmon, Z.H.; Man, J.; Bartlett, M.E.; Lippman, Z.B. Engineering quantitative trait variation for crop improvement by genome editing. Cell 2017, 171, 470–480.e8. [Google Scholar] [CrossRef] [PubMed]
  33. Blein, T.; Pulido, A.; Vialette-Guiraud, A.; Nikovics, K.; Morin, H.; Hay, A.; Johansen, I.E.; Tsiantis, M.; Laufs, P. A conserved molecular framework for compound leaf development. Science 2008, 322, 1835–1839. [Google Scholar] [CrossRef] [PubMed]
  34. Andres, R.J.; Coneva, V.; Frank, M.H.; Tuttle, J.R.; Samayoa, L.F.; Han, S.W.; Kaur, B.; Zhu, L.; Fang, H.; Bowman, D.T.; et al. Modifications to a LATE MERISTEM IDENTITY1 gene are responsible for the major leaf shapes of Upland cotton (Gossypium hirsutum L.). Proc. Natl. Acad. Sci. USA 2017, 114, E57–E66. [Google Scholar] [CrossRef] [PubMed]
  35. Vlad, D.; Kierzkowski, D.; Rast, M.I.; Vuolo, F.; Dello Ioio, R.; Galinha, C.; Gan, X.; Hajheidari, M.; Hay, A.; Smith, R.S.; et al. Leaf shape evolution through duplication, regulatory diversification, and loss of a homeobox gene. Science 2014, 343, 780–783. [Google Scholar] [CrossRef]
  36. Petrásek, J.; Mravec, J.; Bouchard, R.; Blakeslee, J.J.; Abas, M.; Seifertová, D.; Wisniewska, J.; Tadele, Z.; Kubes, M.; Covanová, M.; et al. PIN proteins perform a rate-limiting function in cellular auxin efflux. Science 2006, 312, 914–918. [Google Scholar] [CrossRef]
  37. Meng, L.S.; Wang, Z.B.; Yao, S.Q.; Liu, A. The ARF2-ANT-COR15A gene cascade regulates ABA-signaling-mediated resistance of large seeds to drought in Arabidopsis. J. Cell Sci. 2015, 128, 3922–3932. [Google Scholar] [CrossRef]
  38. Guseman, J.M.; Webb, K.; Srinivasan, C.; Dardick, C. DRO1 influences root system architecture in Arabidopsis and Prunus species. Plant J. 2017, 89, 1093–1105. [Google Scholar] [CrossRef]
  39. Yuan, Q.; Zhang, C.; Zhao, T.; Yao, M.; Xu, X. A Genome-wide analysis of GATA transcription factor family in tomato and analysis of expression patterns. Int. J. Agric. Biol. 2018, 20, 1274–1282. [Google Scholar]
Figure 1. Leaf morphology of A129 (A), B139 (B), F1 (C) and F2 (D) plants.
Figure 1. Leaf morphology of A129 (A), B139 (B), F1 (C) and F2 (D) plants.
Agronomy 16 00050 g001
Figure 2. Distribution of the two progeny’s ΔSNP-index on the chromosomes The horizontal axis represents chromosome length (Mb); the vertical axis represents SNP index.
Figure 2. Distribution of the two progeny’s ΔSNP-index on the chromosomes The horizontal axis represents chromosome length (Mb); the vertical axis represents SNP index.
Agronomy 16 00050 g002
Figure 3. Pearson correlation (A) and Principal Component analysis (B) of samples.
Figure 3. Pearson correlation (A) and Principal Component analysis (B) of samples.
Agronomy 16 00050 g003
Figure 4. Distribution of DEGs in five stages of A129 and B139 samples.
Figure 4. Distribution of DEGs in five stages of A129 and B139 samples.
Agronomy 16 00050 g004
Figure 5. GO enrichment analysis of the up-(A) and down-regulated (B) pathways.
Figure 5. GO enrichment analysis of the up-(A) and down-regulated (B) pathways.
Agronomy 16 00050 g005
Figure 6. KEGG Enrichment of Differentially Expressed Genes in Samples.
Figure 6. KEGG Enrichment of Differentially Expressed Genes in Samples.
Agronomy 16 00050 g006
Figure 7. Patterns of Differentially Expressed Genes in Samples.
Figure 7. Patterns of Differentially Expressed Genes in Samples.
Agronomy 16 00050 g007
Figure 8. Clustering Tree of Samples.
Figure 8. Clustering Tree of Samples.
Agronomy 16 00050 g008
Figure 9. Cluster dendrogram (A) and correlation heatmap (B) of module eigengenes with lobed leaf Traits.
Figure 9. Cluster dendrogram (A) and correlation heatmap (B) of module eigengenes with lobed leaf Traits.
Agronomy 16 00050 g009
Figure 10. Gene Network Diagram of the TOP30 Modules.
Figure 10. Gene Network Diagram of the TOP30 Modules.
Agronomy 16 00050 g010
Figure 11. Venn diagram of the analysis results of the top 30 module genes and differentially expressed genes.
Figure 11. Venn diagram of the analysis results of the top 30 module genes and differentially expressed genes.
Agronomy 16 00050 g011
Figure 12. Comparison of gene expression patterns between RNA-seq and qRT-PCR. (A) FPKM values of 8 candidate genes from RNA-seq data; (B) Relative expression levels ( 2−ΔΔCT) from qRT-PCR verification. Error bars represent standard deviation (SD) of three biological replicates. * p < 0.05, ** p < 0.01, *** p< 0.001, **** p < 0.0001 (t-test). Genes are labeled with their IDs and functional annotations. Samples are denoted by variety (A129 = lobed leaf, B139 = non-lobed leaf) and developmental stage (days post-sowing).
Figure 12. Comparison of gene expression patterns between RNA-seq and qRT-PCR. (A) FPKM values of 8 candidate genes from RNA-seq data; (B) Relative expression levels ( 2−ΔΔCT) from qRT-PCR verification. Error bars represent standard deviation (SD) of three biological replicates. * p < 0.05, ** p < 0.01, *** p< 0.001, **** p < 0.0001 (t-test). Genes are labeled with their IDs and functional annotations. Samples are denoted by variety (A129 = lobed leaf, B139 = non-lobed leaf) and developmental stage (days post-sowing).
Agronomy 16 00050 g012
Table 1. Summary of BSA-seq sequencing data.
Table 1. Summary of BSA-seq sequencing data.
SampleRaw Data
(Gb)
Clean Data
(Gb)
Effective Rate
(%)
Error Rate
(%)
Q20
(%)
Q30
(%)
GC Content
(%)
A12910.2410.0297.840.0198.1595.2540.22
B13911.1710.9197.660.0198.0294.7740.25
P1_B81.7679.8697.680.0197.9494.7838.65
P1_H59.9558.3997.390.0197.9994.9139.1
Note: P1_B, unlobed leaf samples; P1_H, deeply lobed leaf samples.
Table 2. Statistics of sequencing depth and coverage of BSA-seq.
Table 2. Statistics of sequencing depth and coverage of BSA-seq.
Sample1Mapped ReadsTotal ReadsMapping Rate (%)Average Depth (X)Coverage at Least 1× (%)Coverage at Least 4× (%)
A12965,475,75066,820,61697.9911.0890.7576.82
B13970,959,67672,703,09897.612.1789.2676.44
P1_B518,424,100532,428,26897.3781.7696.0894.34
P1_H378,290,772389,265,18297.1859.9595.9293.93
Table 3. Statistics of SNP detection and annotation results.
Table 3. Statistics of SNP detection and annotation results.
CategoryA129B139P1_BP1_HNumber of SNPs
Exonic Stop gain31703822565154606914
Exonic618,553682,878942,306930,8181,106,886
Exonic Stop loss5346649028691045
Exonic Synonymous370,495405,896555,839549,417648,648
Exonic Non-synonymous244,354272,496379,914375,072450,279
Intronic542,095597,903878,553863,2911,033,583
Splicing15351757258325323154
Upstream322,135358,183555,798545,224655,517
Downstream263,492296,683458,716449,299542,663
upstream/downstream77,43583,324122,444120,937144,495
Intergenic1,575,3441,771,8413,038,7072,918,3943,824,810
Others76,35878,952113,986112,971133,300
Total3,478,1263,872,6716,115,5095,945,5877,447,848
Table 4. Statistics of InDel detection and annotation results.
Table 4. Statistics of InDel detection and annotation results.
CategoryA129B139P1_BP1_HNumber of InDels
Exonic35,63240,23257,99557,27870,816
Exonic Stop gain8661043184817482504
Exonic Stop loss91109159166196
Exonic Frameshift deletion10,22111,62416,65516,38320,817
Exonic Frameshift insertion920810,58615,61115,44819,202
Exonic Non-frameshift deletion7919873612,08511,97914,415
Exonic Non-frameshift insertion7327813411,63711,55413,682
Upstream113,154125,173202,210197,706237,541
Intronic223,585245,351369,550362,302433,432
Splicing21842372341033743992
Downstream81,94692,459149,786146,322176,459
Upstream/Downstream33,24435,58554,33753,52764,382
Intergenic271,039295,648568,168546,997685,193
Others39,66140,64960,60660,02871,376
Total800,308877,2891,465,9731,427,4161,743,175
Table 5. Annotation of candidate polymorphic marker sites.
Table 5. Annotation of candidate polymorphic marker sites.
Category Number of SNPs
Upstream 41
ExonicStop gain0
Stop loss0
Synonymous155
Non-synonymous85
Intronic 148
Splicing 2
Downstream 40
upstream/downstream 22
Intergenic 25
ts 305
tv 235
ts/tv 1.297
Total 540
Note: “Upstream” represents the 1 Kb region upstream of the gene; “Exonic” represents the variation located in the exon region; ”Missense” refers to non-synonymous changes in the gene sequence. “Stop gain” indicates variations that introduce a stop codon into the gene. “Stop loss” denotes mutations that result in the gene losing its stop codon. “Synonymous” represents variations that do not alter the amino acid sequence of the protein; “Intronic” represents the variation located in the intron region; “Splicing” represents the variation located at the splicing site (2 bp in the intron close to the exon/intron boundary); “Downstream” represents the 1 Kb region downstream of the gene; “Upstream/Downstream” represents the 1 Kb region upstream of the gene and also the 1 Kb region downstream of another gene; “Intergenic” represents the variation located in the intergenic region; “ts” represents transitions; “tv” represents transversions; “ts/tv” represents the ratio of transitions to transversions; “Total” represents the total number of SNP sites.
Table 6. Candidate gene annotation results for lobed leaf mustard.
Table 6. Candidate gene annotation results for lobed leaf mustard.
Serial NumberGene IdGenetic LocusAnnotationLength/bpThe Chromosome
1BjuOA10G3326018,572,654HOX6635AA_Chr10
2BjuOA10G3327018,592,007Homeobox1750AA_Chr10
3BjuOA10G3329018,607,591HOX1764AA_Chr10
4BjuOA10G3330018,616,663Homeobox1634AA_Chr10
Table 7. Candidate genes for the lobed leaf trait in mustard.
Table 7. Candidate genes for the lobed leaf trait in mustard.
Serial NumberGene IDGenetic LocusAnnotationLength/
bp
Chromosome
1BjuOA01G121205,877,638PCAP1 cation-binding protein2885AA_Chr01
2BjuOA06G179509,357,898F-box/LRR proteins1628AA_Chr06
3BjuOA07G2965020,637,124GATA959AA_Chr07
4BjuOA07G4153026,519,230NDUB2 mitochondrial respiratory chain1229AA_Chr07
5BjuOA08G3583022,931,595GATA5642AA_Chr08
6BjuOA09G4206043,670,459ERF2949AA_Chr09
7BjuOA10G01770859,282NET1D kinesin2983AA_Chr10
8BjuOA10G044502,251,446DUF domain protein1743AA_Chr10
9BjuOA10G3038017,457,111LAX11573AA_Chr10
10BjuOA10G3335018,656,118CTR15451AA_Chr10
11BjuOA10G3468019,199,422TGA23938AA_Chr10
12BjuOB05G3117017,757,526WD domain protein2983BB_Chr05
13BjuOB05G3470020,736,583ADF41349BB_Chr05
14BjuOB08G5510060,283,563ABC transporter protein2157BB_Chr08
15BjuO_Contig00074G0014048,471DEAD-box RNA helicase3262Contig00074
Disclaimer/Publisher’s Note: The statements, opinions and data contained in all publications are solely those of the individual author(s) and contributor(s) and not of MDPI and/or the editor(s). MDPI and/or the editor(s) disclaim responsibility for any injury to people or property resulting from any ideas, methods, instructions or products referred to in the content.

Share and Cite

MDPI and ACS Style

Li, Z.; Song, J.; Zhang, X.; Jia, H.; Xu, C.; Xu, S.; Li, J.; Wang, H.; Yang, W. Mapping and Gene Mining of the Lobed Leaf Trait in Mustard. Agronomy 2026, 16, 50. https://doi.org/10.3390/agronomy16010050

AMA Style

Li Z, Song J, Zhang X, Jia H, Xu C, Xu S, Li J, Wang H, Yang W. Mapping and Gene Mining of the Lobed Leaf Trait in Mustard. Agronomy. 2026; 16(1):50. https://doi.org/10.3390/agronomy16010050

Chicago/Turabian Style

Li, Zhijie, Jiangping Song, Xiaohui Zhang, Huixia Jia, Chu Xu, Siwen Xu, Jiajia Li, Haiping Wang, and Wenlong Yang. 2026. "Mapping and Gene Mining of the Lobed Leaf Trait in Mustard" Agronomy 16, no. 1: 50. https://doi.org/10.3390/agronomy16010050

APA Style

Li, Z., Song, J., Zhang, X., Jia, H., Xu, C., Xu, S., Li, J., Wang, H., & Yang, W. (2026). Mapping and Gene Mining of the Lobed Leaf Trait in Mustard. Agronomy, 16(1), 50. https://doi.org/10.3390/agronomy16010050

Note that from the first issue of 2016, this journal uses article numbers instead of page numbers. See further details here.

Article Metrics

Back to TopTop