Influence of Vegetative Growth and Head Traits on the Hollow Stem Formation in Broccoli Affected by Cultivation Factors
Abstract
1. Introduction
2. Materials and Methods
2.1. Plant Material and Growing Conditions
2.2. Trial Set-Up
2.3. Measurement of Vegetative Plant Growth Parameters
2.4. Harvest and Evaluation of Head Traits
2.5. Plant and Soil Analyses
2.6. Statistical Analyses
3. Results
3.1. Growing Period and Vegetative Development of Broccoli
3.2. Head Yield of Broccoli
3.3. Evaluation of the Harvested Broccoli Heads

| Variety | Naxos | Parthenon | ||||||||||||||||
|---|---|---|---|---|---|---|---|---|---|---|---|---|---|---|---|---|---|---|
| Mineral N Supply [kg ha–1] | 100 | 200 | 300 | 100 | 200 | 300 | ||||||||||||
| Wide planting | ||||||||||||||||||
| Head weight [g] | 460 | ± | 47 b | 516 | ± | 16 ab | 557 | ± | 29 ab | 490 | ± | 64 ab | 593 | ± | 58 a | 585 | ± | 77 a |
| Stem diameter [cm] | 3.4 | ± | 0.1 c | 3.6 | ± | 0.1 b | 3.8 | ± | 0.1 b | 3.9 | ± | 0.2 ab | 4.1 | ± | 0.1 a | 4.2 | ± | 0.1 a |
| Head width [cm] | 19.1 | ± | 1.3 ab | 19.6 | ± | 0.1 ab | 20.8 | ± | 0.9 a | 18.0 | ± | 0.8 b | 19.5 | ± | 1.1 ab | 19.4 | ± | 1.6 ab |
| Head length [cm] | 20.1 | ± | 0.6 a | 19.6 | ± | 0.1 a | 19.9 | ± | 0.2 a | 18.1 | ± | 0.5 b | 18.0 | ± | 0.4 b | 18.1 | ± | 0.6 b |
| Close planting | ||||||||||||||||||
| Head weight [g] | 93 | ± | 20 d | 157 | ± | 25 c | 173 | ± | 18 c | 90 | ± | 7.6 d | 191 | ± | 34 c | 196 | ± | 10 c |
| Stem diameter [cm] | 2.1 | ± | 0.1 g | 2.3 | ± | 0.1 f | 2.4 | ± | 0.1 f | 2.3 | ± | 0.1 f | 2.7 | ± | 0.1 d | 2.8 | ± | 0.0 d |
| Head width [cm] | 8.5 | ± | 1.0 d | 12.0 | ± | 0.7 c | 12.6 | ± | 1.1 c | 8.3 | ± | 1.3 d | 12.8 | ± | 1.3 c | 12.7 | ± | 1.3 c |
| Head length [cm] | 14.3 | ± | 0.9 e | 16.3 | ± | 0.5 c | 16.7 | ± | 0.9 c | 13.8 | ± | 0.4 e | 15.8 | ± | 0.7 d | 15.8 | ± | 0.2 d |


3.4. Incidence and Severity of Hollow Stem in Broccoli
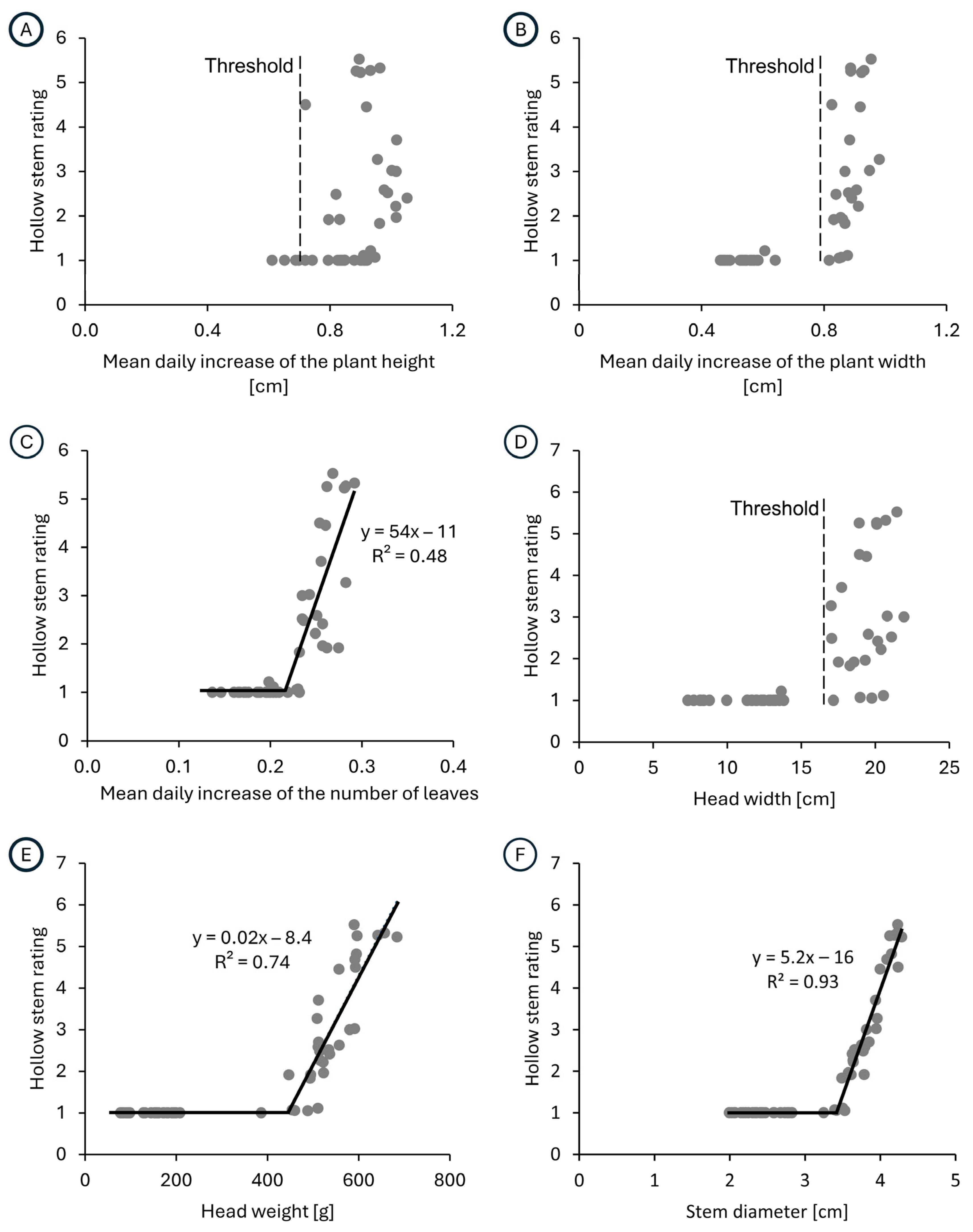
3.5. Development of Hollow Stem as Affected by Plant Parameters
3.6. Nitrogen and Boron Content in the Dry Matter of Broccoli Heads
3.7. Residual Mineral Nitrogen in the Soil at Harvest
4. Discussion
4.1. Hollow Stem in Broccoli and Its Association with Plant Traits
4.2. Cultivation Factors Influencing Plant Development and Hollow Stem
5. Conclusions
Supplementary Materials
Author Contributions
Funding
Data Availability Statement
Conflicts of Interest
References
- FAOSTAT. Crops and Livestock Products—Metadata. Cauliflowers and Broccoli. Visualize Data. Available online: https://www.fao.org/faostat/en/#data/QCL/visualize (accessed on 12 August 2025).
- Smith, R.; Barman, A.; Cahn, M.; Dara, S.K.; Fennimore, S.; Grettenberger, I.; Montazar, A.; Putman, A.; Takele, E.; Wang, Z. Broccoli production in California. In Vegetable Production Series; University of California: Oakland, CA, USA, 2024; pp. 1–10. [Google Scholar] [CrossRef]
- Kałużewicz, A.; Krzesiński, W.; Knaflewski, M. Effect of temperature on the yield and quality of broccoli heads. Veg. Crops. Bull. 2009, 71, 51–58. [Google Scholar] [CrossRef]
- UNECE Standard FFV–48; Concerning the Marketing and Commercial Quality Control of Broccoli; UNECE: Geneva, Switzerland, 2021; Available online: https://unece.org/sites/default/files/2023-12/FFV-48_Broccoli_2023_e.pdf (accessed on 12 August 2025).
- Sanderson, K.R.; Fillmore, S.A.E. Response of broccoli (Brassica oleracea var. italica) yield and hollow stem to plant density, trickle irrigation and transplanting date. Can. J. Plant Sci. 2010, 90, 729–735. [Google Scholar] [CrossRef]
- USDA. Broccoli, Raw. Available online: https://fdc.nal.usda.gov/food-details/747447/nutrients (accessed on 8 August 2025).
- Li, H.; Xia, Y.; Liu, H.-Y.; Guo, H.; He, X.-Q.; Liu, Y.; Wu, D.-T.; Mai, Y.-H.; Li, H.-B.; Zou, L.; et al. Nutritional values, beneficial effects, and food applications of broccoli (Brassica oleracea var. italica Plenck). Trends Food Sci. Technol. 2022, 119, 288–308. [Google Scholar] [CrossRef]
- Fahey, J.W.; Zalcmann, A.T.; Talalay, P. The chemical diversity and distribution of glucosinolates and isothiocyanates among plants. Phytochemistry 2001, 56, 5–51. [Google Scholar] [CrossRef]
- Hwang, J.-H.; Lim, S.-B. Anitoxidant and anti-inflammatory activities of broccoli florets in LPS-stimulated RAW 264.7 cells. Prev. Nutr. Food Sci. 2014, 19, 89–97. [Google Scholar] [CrossRef]
- Mahn, A.; Rubio, M.P. Evolution of total polyphenols content and antioxidant activity in broccoli florets during storage at different temperatures. J. Food Qual. 2017, 2017, 1–9. [Google Scholar] [CrossRef]
- Cheng, L.; Wan, K.; Liang, H.; Yuan, Q. Sulforaphane and sulforaphene: Two potential anticancer compounds from glucosinolates. In Glucosinolates: Properties, Recovery, and Applications; Galanakis, C.M., Ed.; Academic Press: London, UK, 2020; pp. 281–312. [Google Scholar] [CrossRef]
- Nagraj, G.S.; Chouksey, A.; Jaiswal, S.; Jaiswal, A.K. Broccoli. In Nutritional Composition and Antioxidant Properties of Fruits and Vegetables; Academic Press: Cambridge, MA, USA, 2020; pp. 5–17. ISBN 978-0-12-812780-3. [Google Scholar] [CrossRef]
- Gruda, N.; Heine, H. Hohle Strünke bei Brokkoli—Auch eine Sortenfrage? Gemüse 2002, 38, 13–14. [Google Scholar]
- Bakker, C.J.; Swanton, C.J.; McKeown, A.W. Broccoli growth in response to increasing rates of pre-plant nitrogen. I. Yield and quality. Can. J. Plant Sci. 2009, 89, 527–537. [Google Scholar] [CrossRef]
- Schellenberg, D.L.; Bratsch, A.D.; Shen, Z. Large single-head broccoli yield as affected by plant density, nitrogen, and cultivar in a plasticulture system. HortTechnology 2009, 19, 792–795. [Google Scholar] [CrossRef]
- Boersma, M.; Gracie, A.J.; Brown, P.H. Relationship between growth rate and the development of hollow stem in broccoli. Crop Pasture Sci. 2009, 60, 995–1001. [Google Scholar] [CrossRef]
- Tremblay, N. Effect of nitrogen sources and rates on yield and hollow stem development in broccoli. Can. J. Plant Sci. 1989, 69, 1049–1053. [Google Scholar] [CrossRef]
- Griffith, M.; Carling, D.E. Effects of plant spacing on broccoli yield and hollow stem in Alaska. Can. J. Plant Sci. 1991, 71, 579–585. [Google Scholar] [CrossRef]
- Babik, I.; Elkner, K. The effect of nitrogen fertilization and irrigation on yield and quality of broccoli. Acta Hort. 2002, 571, 33–43. [Google Scholar] [CrossRef]
- Grabowska, A.; Kunicki, E.; Libik, A. Effects of age and cold storage of transplants on the growth and quality of broccoli heads. Veg. Crops Res. Bull. 2007, 66, 31–38. [Google Scholar] [CrossRef]
- Zink, F.W. Hollow stem in broccoli. Calif. Agric. 1968, 22, 8–9. [Google Scholar]
- San Bautista, A.; Rueda, R.; Pascual, B.; Maroto, J.V.; López-Galarza, S. Influence of different substrates and nutrient solutions on the yields and the incidence of abiotic disorders of broccoli. Acta Hortic. 2005, 697, 275–280. [Google Scholar] [CrossRef]
- Hussain, M.J.; Sirajul Karim, A.J.M.; Solaiman, A.R.M.; Haque, M.M. Effects of nitrogen and boron on the yield and hollow stem disorder of broccoli (Brassica oleracea var. italica). Agriculturists 2012, 10, 36–45. [Google Scholar] [CrossRef]
- Jadwisieńczak, K.; Kaliniewicz, Z.; Konopka, S.; Choszcz, D.; Majkowska-Gadomska, J. A Proposal for a Processing Line for Cauliflower and Broccoli Floretting. Appl. Scienc. 2023, 13, 2509. [Google Scholar] [CrossRef]
- Ríos-Fuentes, B.; Rivas-García, P.; Estrada-Baltazar, A.; Rico-Martinez, R.; Miranda-Lopez, R.; Botello-Álvarez, J.E. Life cycle assessment of frozen broccoli processing: Environmental mitigation scenarios. Sustainable Prod. Consumption 2022, 32, 27–34. [Google Scholar] [CrossRef]
- Hejnowicz, Z. Graviresponses in herbs and trees: A major role for the redistribution of tissue and growth stresses. Planta 1997, 203, 136–146. [Google Scholar] [CrossRef]
- Tan, D.K.Y.; Wearing, A.H.; Rickert, K.G.; Birch, C.J. Detection of floral initiation in broccoli (Brassica oleracea L. var. italica Plenck) based on electron micrograph standards of shoot apices. Austr. J. Exp. Agric. 1998, 38, 313–318. [Google Scholar] [CrossRef]
- Boersma, M.; Gracie, A.J.; Brown, P.H. Evidence of mechanical tissue strain in the development of hollow stem in broccoli. Sci. Hortic. 2013, 164, 353–358. [Google Scholar] [CrossRef]
- Yan, M.; Fan, W.; Yang, W.; Zhao, J.; Meng, Y.; Zhou, W.; Zhuang, H.; Xu, Z.; Wang, Y.; Huang, Q.; et al. The hollow truth: Ethylene-triggered ROS, PCD, senescence, and autophagy drive hollow stem formation. BioRxiv. 2025, preprint. Available online: https://www.biorxiv.org/content/10.1101/2025.03.06.641815v1 (accessed on 12 August 2025).
- Lilay, G.H.; Thiébaut, N.; du Mee, D.; Assunção, A.G.L.; Schjoerring, J.K.; Husted, S.; Persson, D.P. Linking the key physiological functions of essential micronutrients to their deficiency symptoms in plants. New Phytol. 2024, 242, 881–902. [Google Scholar] [CrossRef] [PubMed]
- Shelp, B.J. Boron mobility and nutrition in broccoli (Brassica oleracea var. italica). Ann. Bot. 1988, 61, 83–91. [Google Scholar] [CrossRef]
- Shelp, B.J.; Penner, R.; Zhu, Z. Broccoli (Brassica oleracea var. italica) cultivar response to boron deficiency. Can. J. Plant Sci. 1992, 72, 883–888. [Google Scholar] [CrossRef]
- Moniruzzaman, M.; Rahman, S.M.L.; Kibria, M.G.; Rahman, M.A.; Hossain, M.M. Effect of boron and nitrogen on yield and hollow stem of broccoli. J. Soil Nat. 2007, 1, 24–29. [Google Scholar]
- de Bang, T.C.; Husted, S.; Laursen, K.H.; Persson, D.P.; Schjoerring, J.K. The molecular-physiological functions of mineral macronutrients and their consequences for deficiency symptoms in plants. New Phytol. 2021, 229, 2446–2469. [Google Scholar] [CrossRef]
- DüV. Verordnung Über die Anwendung von Düngemitteln, Bodenhilfsstoffen, Kultursubstraten und Pflanzenhilfsmitteln nach den Grundsätzen der Guten Fachlichen Praxis Beim Düngen vom 26. Mai 2017, Zuletzt Geändert am 11.12. 2024. Available online: https://www.gesetze-im-internet.de/d_v_2017/D%C3%BCV.pdf (accessed on 12 August 2025).
- Bélec, C.; Villeneuve, S.; Coulombe, J.; Tremblay, N. Influence of nitrogen fertilization on yield, hollow stem incidence and sap nitrate concentration in broccoli. Can. J. Plant Sci. 2001, 81, 765–772. [Google Scholar] [CrossRef]
- Shattuck, V.I.; Shelp, B.J. Effect of boron nutrition on hollow stem in broccoli (Brassica oleracea var. italica). Can. J. Plant Sci. 1987, 67, 1221–1225. [Google Scholar] [CrossRef]
- Cutcliffe, J.A. Effects of plant spacing and nitrogen on incidence of hollow stem in broccoli. Can. J. Plant Sci. 1972, 52, 833–834. [Google Scholar] [CrossRef]
- Hartmann, K.J.; Bauriegel, A.; Dehner, U.; Eberhardt, E.; Hesse, S.; Kühn, D.; Martin, W.; Waldmann, F.; Boden, A.G.; Hannover, B.G.R. Bodenkundliche Kartieranleitung KA6 in 2 Bänden, 6th ed.; Schweizerbart Science Publishers: Stuttgart, Germany, 2024. [Google Scholar]
- VDLUFA. Untersuchung von Böden. In VDLUFA-Methodenbuch, Band I, 4th ed.; VDLUFA-Verlag: Darmstadt, Germany, 2016. [Google Scholar]
- DWD Climate Data Center (CDC). Historische Stündliche Stationsmessungen der Lufttemperatur und Luftfeuchtigkeit Für Deutschland, 6th ed.; DWD Climate Data Center (CDC): Offenbach am Main, Germany, 2018. [Google Scholar]
- ISO 16634-1; Food Products—Determination of the Total Nitrogen Content by Combustion According to the Dumas Principle and Calculation of the Crude Protein Content—Part 1: Oilseeds and Animal Feeding Stuffs. International Organization for Standardization: Geneva, Switzerland, 2008.
- Kuzyakov, Y.; Rühlmann, J.; Geyer, B. Linear response and plateau-Modell und Softwarelösung. Gartenbauwissenschaften 1997, 62, 237–239. [Google Scholar]
- Hipp, B. Influence of nitrogen and maturity rate on hollow stem in broccoli. HortScience 1974, 9, 68–69. [Google Scholar] [CrossRef]
- Agarwal, A.; Gupta, A.; Ahmed, Z. Nitrogen nutrition and plant density influencing marketable head yield of broccoli in cold arid desert of Ladakh. Acta Hort. 2007, 756, 299–307. [Google Scholar] [CrossRef]
- Hossain, M.F.; Ara, N.; Uddin, M.R.; Dey, S.; Islam, M.R. Effect of time of sowing and plant spacing on broccoli production. Trop. Agri. Res. Ext. 2011, 14, 90–92. [Google Scholar] [CrossRef]
- Westcott, M.P.; Callan, N.W. Modeling plant population and rectangularity effects on broccoli head weights and yield. J. Amer. Soc. Hort. Sci. 1990, 115, 893–897. [Google Scholar] [CrossRef]
- Jett, L.W.; Morse, R.D.; O’Dell, C.R. Plant density effects on single-head broccoli production. HortScience 1995, 30, 50–52. [Google Scholar] [CrossRef]
- Destatis. Betriebe, Anbauflächen, Erträge und Erntemengen von Gemüse und Erdbeeren. 2024. Available online: https://www.destatis.de/DE/Themen/Branchen-Unternehmen/Landwirtschaft-Forstwirtschaft-Fischerei/Obst-Gemuese-Gartenbau/Tabellen/betriebe-anbau-erntemenge-gemuese.html (accessed on 12 August 2025).
- Kahn, B.A.; Shilling, P.G.; Brusewitz, G.H.; McNew, R.W. Forse to shear the stalk, stalk diameter, and yield of broccoli in response to nitrogen fertilization and within-row spacing. J. Amer. Soc. Hort. Sci. 1991, 116, 222–227. [Google Scholar] [CrossRef]
- Canaday, C.H.; Wyatt, J.E. Effects of nitrogen fertilisation on bacterial soft rot in two broccoli cultivars, one resistant and one susceptible to the disease. Plant Dis. 1992, 76, 989–991. [Google Scholar] [CrossRef]
- Everaarts, A.P. Nitrogen fertilization and head rot in broccoli. Neth. J. Agric. Sci. 1994, 42, 195–201. [Google Scholar] [CrossRef]
- Charron, C.S.; Sams, C.E.; Canaday, C.H. Impact of glucosinolate content in broccoli (Brassica oleracea (Italica group)) on growth of Pseudomonas marginalis, a causal agent of bacterial soft rot. Plant Dis. 2002, 86, 629–632. [Google Scholar] [CrossRef]
- Schonhof, I.; Blankenburg, D.; Müller, S.; Krumbein, A. Sulfur and nitrogen supply influence growth, product appearance, and glucosinolate concentration of broccoli. J. Plant Nutr. Soil Sci. 2007, 170, 65–72. [Google Scholar] [CrossRef]
- Jones, R.B.; Imsic, M.; Franz, P.; Hale, G.; Tomkins, R.B. High nitrogen during growth reduced glucoraphanin and flavonol content in broccoli (Brassica oleracea var. italica) heads. Aust. J. Exp. Agric. 2007, 47, 1498–1505. [Google Scholar] [CrossRef]
- Dordas, C. Role of nutrients in controlling plant diseases in sustainable agriculture. A review. Agron. Sustain. Dev. 2008, 28, 33–46. [Google Scholar] [CrossRef]
- Sun, Y.; Wang, M.; Mur, L.A.J.; Shen, Q.; Guo, S. Unravelling the roles of nitrogen nutrition in plant disease defences. Int. J. Mol. Sci. 2020, 21, 1–20. [Google Scholar] [CrossRef]
- Agostini, F.; Tei, F.; Silgram, M.; Farneselli, M.; Benincasa, P.; Aller, M.F. Decreasing nitrate leaching in vegetable crops with better N management. In Genetic Engineering, Biofertilisation, Soil Quality and Organic Farming; Lichtfouse, E., Ed.; Springer: Dodrecht, The Netherlands, 2010; pp. 147–200. ISBN 978-90-481-8741-6. [Google Scholar] [CrossRef]
- Wang, Y.; Ying, H.; Yin, Y.; Zheng, H.; Cui, Z. Estimating soil nitrate leaching of nitrogen fertilizer from global meta-analysis. Sci. Total Environ. 2019, 657, 96–102. [Google Scholar] [CrossRef]
- Frerichs, C.; Key, G.; Broll, G.; Daum, D. Nitrogen fertilization strategies to reduce the risk of nitrate leaching in open field cultivation of spinach (Spinacia oleracea L.). J. Plant Nutr. Soil Sci. 2022, 185, 264–281. [Google Scholar] [CrossRef]
- Wyland, L.J.; Jackson, L.E.; Chaney, W.E.; Klonsky, K.; Koike, S.T.; Kimple, B. Winter cover crops in a vegetable cropping system: Impacts on nitrate leaching, soil water, crop yield, pests and management costs. Agric. Ecosyst. Environ. 1996, 59, 1–17. [Google Scholar] [CrossRef]
- de Ruijter, F.J.; ten Berge, H.F.M.; Smit, A.L. The fate of nitrogen from crop residues of broccoli, leek and sugar beet. Acta Hort. 2010, 852, 157–162. [Google Scholar] [CrossRef]
- Frerichs, C.; Glied-Olsen, S.; De Neve, S.; Broll, G.; Daum, D. Crop residue management strategies to reduce nitrogen losses during the winter leaching period after autumn spinach harvest. Agronomy 2022, 12, 653. [Google Scholar] [CrossRef]
- LWK Niedersachsen. Richtwerte Für Die Düngung in Niedersachsen—Auszug aus den Düngungsrichtlinien, Stand März 2008—Mikronährstoffe Bor, Mangan, Kupfer und Zink. Available online: https://www.lwk-niedersachsen.de/lwk/news/11622_Merkblatt_zur_Duengung_mit_Grund-_und_Spurennaehrstoffen (accessed on 7 December 2025).
- Gupta, U.C.; Cutcliffe, J.A. Boron nutrition of broccoli, brussels sprouts, and cauliflower grown on Prince Edward Island soils. Can. J. Soil Sci. 1973, 53, 275–279. [Google Scholar] [CrossRef]
- Ahmad, W.; Zia, M.H.; Malhi, S.S.; Niaz, A.; Ullah, S. Boron Deficiency in soils and crops: A review. In Crop Plant; Goyal, A., Ed.; InTech: Rijeka, Croatia, 2012; pp. 65–97. ISBN 978-953-51-0527-5. [Google Scholar]
- Rerkasem, B.; Jamjod, S.; Pusadee, T. Productivity limiting impacts of boron deficiency, a review. Plant Soil 2020, 455, 23–40. [Google Scholar] [CrossRef]







| Experimental Site | Falkenberg | Warnstedt | Elsten | |||
|---|---|---|---|---|---|---|
| Experimental Year | 2017 | 2021 | 2023 | |||
| Soil Type 1 | Podsol | Pseudogley-Braunerde | Pseudogley-Podsol | |||
| Soil Texture | Sand | Sand | Loamy Sand | |||
| Soil Parameter | ||||||
| Phosphorus (CAL) [mg kg–1] | 500 | (E) 2 | 153 | (D) | 106 | (D) |
| Potassium (CAL) [mg kg–1] | 60 | (C) | 92 | (C) | 72 | (C) |
| Magnesium (CaCl2) [mg kg–1] | 70 | (D) | 41 | (C) | 55 | (D) |
| Boron (CaCl2/DTPA) [mg kg–1] | 0.23 | (C) | 0.30 | (C) | 0.47 | (C) |
| pH (CaCl2) | 5.5 | (D) | 5.5 | (C) | 6.3 | (E) |
| Organic matter content [%] | 2.6 | 3.0 | 1.9 | |||
| Location | Year | Variety | Mineral N Supply [kg ha–1] | B Application [kg ha–1] | Plant Density [Plants m–2] |
|---|---|---|---|---|---|
| Falkenberg | 2017 | Naxos Parthenon | 100 200 300 | – | 4.2 16.7 |
| Warnstedt | 2021 | Naxos Parthenon | 250 | – | 4.5 9.3 |
| Elsten | 2023 | Parthenon | 300 | 0 1.5 3.0 | 4.5 6.0 |
| Variety | Naxos | Parthenon | ||||||||||||||||
|---|---|---|---|---|---|---|---|---|---|---|---|---|---|---|---|---|---|---|
| Mineral N Supply [kg ha–1] | 100 | 200 | 300 | 100 | 200 | 300 | ||||||||||||
| Wide planting | ||||||||||||||||||
| Number of leaves | 14.1 | ± | 0.7 bc | 15.6 | ± | 0.6 ab | 15.3 | ± | 0.6 b | 16.2 | ± | 0.9 ab | 17.2 | ± | 1.0 ab | 17.2 | ± | 0.5 a |
| Plant height [cm] | 63.4 | ± | 2.5 b | 70.1 | ± | 2.4 ab | 70.4 | ± | 0.8 a | 55.4 | ± | 3.0 c | 67.1 | ± | 2.7 ab | 63.6 | ± | 1.9 b |
| Plant width [cm] | 59.5 | ± | 1.5 b | 62.6 | ± | 1.2 ab | 62.2 | ± | 2.5 ab | 58.8 | ± | 1.0 b | 63.3 | ± | 1.4 ab | 65.5 | ± | 2.4 a |
| Close planting | ||||||||||||||||||
| Number of leaves | 9.8 | ± | 0.9 d | 11.3 | ± | 0.5 cd | 11.2 | ± | 0.7 cd | 11.5 | ± | 1.1 cd | 12.6 | ± | 0.2 c | 12.9 | ± | 0.6 c |
| Plant height [cm] | 53.9 | ± | 2.9 c | 62.6 | ± | 2.4 b | 61.5 | ± | 2.3 b | 46.3 | ± | 2.4 d | 62.1 | ± | 2.6 b | 62.1 | ± | 2.1 b |
| Plant width [cm] | 35.1 | ± | 2.3 d | 37.8 | ± | 2.0 cd | 39.2 | ± | 1.6 cd | 34.2 | ± | 1.6 d | 37.7 | ± | 3.4 cd | 39.8 | ± | 3.7 c |
| Year | n | Head Weight [g] | y | R2 | Stem Diameter [cm] | y | R2 |
|---|---|---|---|---|---|---|---|
| 2017 | 48 | 447 | 0.02x − 8.41 | 0.74 | 3.5 | 5.2x − 16.7 | 0.93 |
| 2021 | 16 | 330 | 0.01x − 1.47 | 0.79 | 3.3 | 2.4x − 5.50 | 0.58 |
| 2023 | 40 | 412 | 0.01x + 0.81 | 0.84 | 4.4 | 4.5x − 13.2 | 0.80 |
| Variety | Naxos | Parthenon | ||||||||||||||||
|---|---|---|---|---|---|---|---|---|---|---|---|---|---|---|---|---|---|---|
| Mineral N Supply [kg ha–1] | 100 | 200 | 300 | 100 | 200 | 300 | ||||||||||||
| Plant Spacing | Total Nitrogen Content of Head Dry Matter [%] | |||||||||||||||||
| Wide planting | 4.6 | ± | 0.1 c | 5.5 | ± | 0.3 a | 5.7 | ± | 0.2 a | 4.3 | ± | 0.2 cd | 5.2 | ± | 0.4 b | 5.2 | ± | 0.1 b |
| Close planting | 4.7 | ± | 0.2 c | 5.6 | ± | 0.3 ab | 5.8 | ± | 0.2 a | 4.2 | ± | 0.2 d | 5.2 | ± | 0.1 b | 5.1 | ± | 0.1 b |
| Mineral N Supply [kg ha–1] | 100 | 200 | 300 | ||||||
|---|---|---|---|---|---|---|---|---|---|
| Soil Layer | Residual Soil Mineral Nitrogen Content [kg ha–1] | ||||||||
| 0–30 cm | 25 | ± | 1 b | 31 | ± | 7 ab | 49 | ± | 14 a |
| 30–60 cm | 11 | ± | 1 b | 23 | ± | 8 ab | 54 | ± | 20 a |
| 0–60 cm | 36 | ± | 2 b | 54 | ± | 16 b | 103 | ± | 32 a |
Disclaimer/Publisher’s Note: The statements, opinions and data contained in all publications are solely those of the individual author(s) and contributor(s) and not of MDPI and/or the editor(s). MDPI and/or the editor(s) disclaim responsibility for any injury to people or property resulting from any ideas, methods, instructions or products referred to in the content. |
© 2025 by the authors. Licensee MDPI, Basel, Switzerland. This article is an open access article distributed under the terms and conditions of the Creative Commons Attribution (CC BY) license.
Share and Cite
Frieman, A.; Vorsatz, C.; Schön, H.-G.; Daum, D. Influence of Vegetative Growth and Head Traits on the Hollow Stem Formation in Broccoli Affected by Cultivation Factors. Agronomy 2026, 16, 42. https://doi.org/10.3390/agronomy16010042
Frieman A, Vorsatz C, Schön H-G, Daum D. Influence of Vegetative Growth and Head Traits on the Hollow Stem Formation in Broccoli Affected by Cultivation Factors. Agronomy. 2026; 16(1):42. https://doi.org/10.3390/agronomy16010042
Chicago/Turabian StyleFrieman, Alexander, Carsten Vorsatz, Hans-Georg Schön, and Diemo Daum. 2026. "Influence of Vegetative Growth and Head Traits on the Hollow Stem Formation in Broccoli Affected by Cultivation Factors" Agronomy 16, no. 1: 42. https://doi.org/10.3390/agronomy16010042
APA StyleFrieman, A., Vorsatz, C., Schön, H.-G., & Daum, D. (2026). Influence of Vegetative Growth and Head Traits on the Hollow Stem Formation in Broccoli Affected by Cultivation Factors. Agronomy, 16(1), 42. https://doi.org/10.3390/agronomy16010042

