Response of Soil Organic Carbon Components in Pinus yunnanensis Stand to Altitude Variation
Abstract
1. Introduction
2. Materials and Methods
2.1. Geographic Settings
2.2. Plot Establishment and Soil Sampling
2.3. Sample Analysis and Methods
2.3.1. Determination of Soil Chemical Properties
2.3.2. Determination of Soil Biological Properties
2.4. Statistical Analysis
3. Results
3.1. Soil Chemical Properties
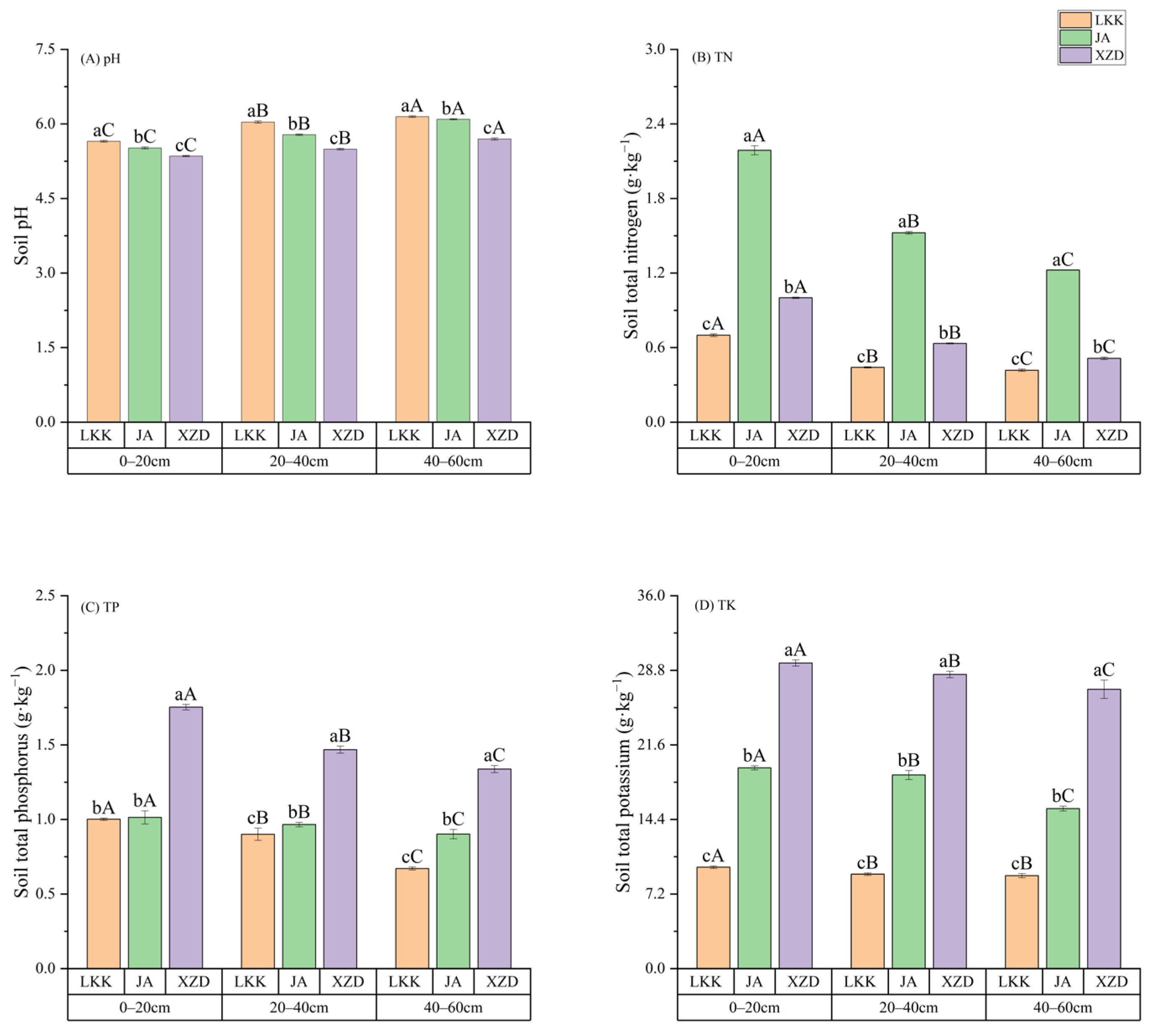
3.1.1. Soil pH and Total Nutrients
3.1.2. Soil Available Nutrients
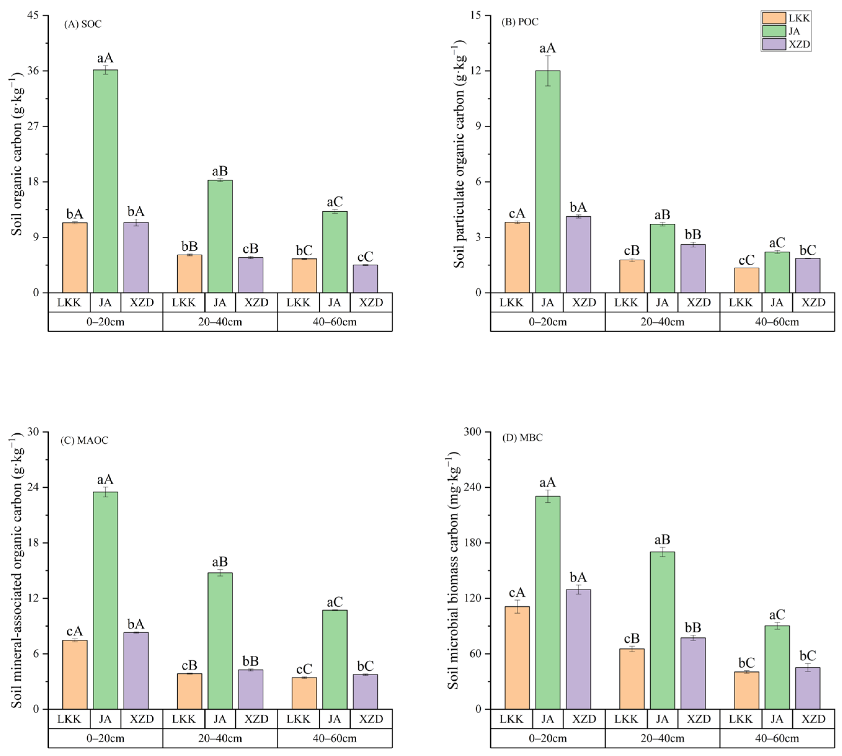
3.2. Soil Organic Carbon Components
3.3. Soil Biological Properties
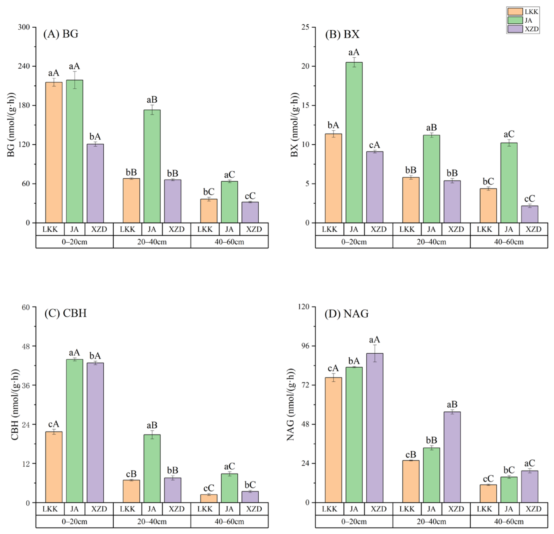
3.3.1. Soil Enzyme Activity
3.3.2. Soil Microbial Biomass
3.4. The Influence Mechanism Based on PLS-PM
4. Discussion
4.1. Effects of Altitude Gradient on Soil Chemical Properties
4.2. Response of Soil Organic Carbon Components to Elevation Changes
4.3. Altitudinal Gradient of Soil Enzyme Activity and Microbial Communities
5. Conclusions
Supplementary Materials
Author Contributions
Funding
Data Availability Statement
Acknowledgments
Conflicts of Interest
References
- Keenan, R.J.; Reams, G.A.; Achard, F.; de Freitas, J.V.; Grainger, A.; Lindquist, E. Dynamics of global forest area: Results from the FAO Global Forest Resources Assessment 2015. For. Ecol. Manag. 2015, 352, 9–20. [Google Scholar] [CrossRef]
- Cook-Patton, S.C.; Leavitt, S.M.; Gibbs, D.; Harris, N.L.; Lister, K.; Anderson-Teixeira, K.J.; Briggs, R.D.; Chazdon, R.L.; Crowther, T.W.; Ellis, P.W.; et al. Mapping carbon accumulation potential from global natural forest regrowth. Nature 2020, 585, 545–550. [Google Scholar] [CrossRef] [PubMed]
- Nesha, K.; Herold, M.; De Sy, V.; Duchelle, A.E.; Martius, C.; Branthomme, A.; Garzuglia, M.; Jonsson, O.; Pekkarinen, A. An assessment of data sources, data quality and changes in national forest monitoring capacities in the Global Forest Resources Assessment 2005–2020. Environ. Res. Lett. 2021, 16, 054029. [Google Scholar] [CrossRef]
- Menyailo, O.V. Forest Soil Carbon and Climate Changes. Forests 2022, 13, 398. [Google Scholar] [CrossRef]
- Xu, Z.; Yu, G.; Zhang, X.; He, N.; Wang, Q.; Wang, S.; Wang, R.; Zhao, N.; Jia, Y.; Wang, C. Soil enzyme activity and stoichiometry in forest ecosystems along the North-South Transect in eastern China (NSTEC). Soil Biol. Biochem. 2017, 104, 152–163. [Google Scholar] [CrossRef]
- Qiu, L.; Zhang, Q.; Zhu, H.; Reich, P.B.; Wei, X. Erosion reduces soil microbial diversity, network complexity and multifunctionality. ISME J. 2021, 15, 2474–2489. [Google Scholar] [CrossRef]
- Chen, D.; Pan, Q.; Bai, Y.; Hu, S.; Huang, J.; Wang, Q.; Naeem, S.; Elser, J.J.; Wu, J.; Han, X.J. Effects of plant functional group loss on soil biota and net ecosystem exchange: A plant removal experiment in the Mongolian grassland. J. Ecol. 2016, 104, 734–743. [Google Scholar] [CrossRef]
- O’Rourke, S.M.; Angers, D.A.; Holden, N.M.; McBratney, A.B. Soil organic carbon across scales. Glob. Change Biol. 2015, 21, 3561–3574. [Google Scholar] [CrossRef]
- Hoffland, E.; Kuyper, T.W.; Comans, R.N.J.; Creamer, R.E. Eco-functionality of organic matter in soils. Plant Soil 2020, 455, 1–22. [Google Scholar] [CrossRef]
- Rudrappa, L.; Purakayastha, T.J.; Singh, D.; Bhadraray, S. Long-term manuring and fertilization effects on soil organic carbon pools in a Typic Haplustept of semi-arid sub-tropical India. Soil Tillage Res. 2006, 88, 180–192. [Google Scholar] [CrossRef]
- Zeng, M.D.H. Changes in Soil Particulate Organic Matter, Microbial Biomass, and Activity Following Afforestation of Marginal Agricultural Lands in a Semi-Arid Area of Northeast China. Environ. Manag. 2010, 46, 110–116. [Google Scholar] [CrossRef] [PubMed]
- Hu, J.; Chen, H.; Yue, L.; Liu, S.; Wu, L.; Wang, B.; Chen, D. Elevational gradient regulates the effects of short-term nutrient deposition on soil microorganisms and SOM decomposition in subtropical forests. Plant Soil 2023, 489, 225–238. [Google Scholar] [CrossRef]
- Wu, M.; Chen, L.; Ma, J.; Zhang, Y.; Li, X.; Pang, D. Aggregate-associated carbon contributes to soil organic carbon accumulation along the elevation gradient of Helan Mountains. Soil Biol. Biochem. 2023, 178, 108926. [Google Scholar] [CrossRef]
- Thomas, G.W. Soil pH and soil acidity. In Methods of Soil Analysis; John Wiley & Sons, Ltd.: Hoboken, NJ, USA, 2018. [Google Scholar]
- Walkley, A.J.; Black, I.A. An Examination of the Degtjareff Method for Determining Soil Organic Matter, and a Proposed Modification of the Chromic Acid Titration Method. Soil Sci. 1934, 37, 29–38. [Google Scholar] [CrossRef]
- Cotrufo, M.F.; Ranalli, M.G.; Haddix, M.L.; Six, J.; Lugato, E. Soil carbon storage informed by particulate and mineral-associated organic matter. Nat. Geosci. 2019, 12, 989–994. [Google Scholar] [CrossRef]
- Sparks, D.L.; Page, A.L.; Helmke, P.A.; Loeppert, R.H.; Bremner, J.M. Nitrogen-Total. In Methods of Soil Analysis; John Wiley & Sons, Ltd.: Hoboken, NJ, USA, 1996. [Google Scholar]
- Bao, S. Analysis on Soil and Agricultural Chemistry; China Agricultural Press: Beijing, China, 2000. [Google Scholar]
- Reed, S.; Martens, D. Methods of Soil Analysis Part 3—Chemical Methods; Soil Science Society of America: Madison, WI, USA, 1996. [Google Scholar]
- Brookes, P.C.; Landman, A.; Pruden, G.; Jenkinson, D.S. Chloroform fumigation and the release of soil nitrogen: A rapid direct extraction method to measure microbial biomass nitrogen in soil. Soil Biol. Biochem. 1985, 17, 837–842. [Google Scholar] [CrossRef]
- Frostegård, A.; Bååth, E. The use of phospholipid fatty acid analysis to estimate bacterial and fungal biomass in soil. Biol. Fertil. Soils 1996, 22, 59–65. [Google Scholar] [CrossRef]
- Bojko, O.; Kabala, C. Transformation of physicochemical soil properties along a mountain slope due to land management and climate changes—A case study from the Karkonosze Mountains, SW Poland. CATENA 2016, 140, 43–54. [Google Scholar] [CrossRef]
- Looby, C.I.; Maltz, M.R.; Treseder, K.K. Belowground responses to elevation in a changing cloud forest. Ecol. Evol. 2016, 6, 1996–2009. [Google Scholar] [CrossRef]
- Slessarev, E.W.; Lin, Y.; Bingham, N.L.; Johnson, J.E.; Dai, Y.; Schimel, J.P.; Chadwick, O.A. Water balance creates a threshold in soil pH at the global scale. Nature 2016, 540, 567–569. [Google Scholar] [CrossRef]
- Laurent, T.; Lee, B.D.; McDaniel, P.A.; Graham, R.C. Spodosol-Inceptisol Transition Along an Elevation Gradient in the Klamath Mountains, Northern California. Soil Sci. 2018, 183, 43–50. [Google Scholar] [CrossRef]
- Davidson, E.A.; Janssens, I.A. Temperature sensitivity of soil carbon decomposition and feedbacks to climate change. Nature 2006, 440, 165–173. [Google Scholar] [CrossRef] [PubMed]
- Li, Q.; Cheng, X.; Luo, Y.; Xu, Z.; Xu, L.; Ruan, H.; Xu, X. Consistent temperature sensitivity of labile soil organic carbon mineralization along an elevation gradient in the Wuyi Mountains, China. Appl. Soil Ecol. 2017, 117–118, 32–37. [Google Scholar] [CrossRef]
- Nie, X.; Wang, D.; Ren, L.; Du, Y.; Zhou, G. Storage and controlling factors of soil organic carbon in alpine wetlands and meadow across the Tibetan Plateau. Eur. J. Soil Sci. 2023, 74, e13383. [Google Scholar] [CrossRef]
- Yu, F.; Zhang, Z.; Chen, L.; Wang, J.; Shen, Z. Spatial distribution characteristics of soil organic carbon in subtropical forests of mountain Lushan, China. Environ. Monit. Assess. 2018, 190, 545. [Google Scholar] [CrossRef]
- Nimalka Sanjeewani, H.K.; Samarasinghe, D.P.; De Costa, W.A.J.M. Influence of elevation and the associated variation of climate and vegetation on selected soil properties of tropical rainforests across a wide elevational gradient. CATENA 2024, 237, 107823. [Google Scholar] [CrossRef]
- Wang, L.; Li, Z.; Gao, C.; Li, J.; Cui, K. The altitude shapes the heterogeneity of tree growth by modulating the soil characteristics and microorganisms in the Calocedrus macrolepis plantation. For. Ecol. Manag. 2025, 578, 122459. [Google Scholar] [CrossRef]
- Lugato, E.; Lavallee, J.M.; Haddix, M.L.; Panagos, P.; Cotrufo, M.F. Different climate sensitivity of particulate and mineral-associated soil organic matter. Nat. Geosci. 2021, 14, 295–300. [Google Scholar] [CrossRef]
- Cotrufo, M.F.; Wallenstein, M.D.; Boot, C.M.; Denef, K.; Paul, E. The Microbial Efficiency-Matrix Stabilization (MEMS) framework integrates plant litter decomposition with soil organic matter stabilization: Do labile plant inputs form stable soil organic matter? Glob. Change Biol. 2013, 19, 988–995. [Google Scholar] [CrossRef]
- Sollins, P.; Homann, P.; Caldwell, B.A. Stabilization and destabilization of soil organic matter: Mechanisms and controls. Geoderma 1996, 74, 65–105. [Google Scholar] [CrossRef]
- Liang, C.; Schimel, J.P.; Jastrow, J.D. The importance of anabolism in microbial control over soil carbon storage. Nat. Microbiol. 2017, 2, 17105. [Google Scholar] [CrossRef] [PubMed]
- Kallenbach, C.M.; Frey, S.D.; Grandy, A.S. Direct evidence for microbial-derived soil organic matter formation and its ecophysiological controls. Nat. Commun. 2016, 7, 13630. [Google Scholar] [CrossRef] [PubMed]
- Sinsabaugh, R.L.; Lauber, C.L.; Weintraub, M.N.; Ahmed, B.; Allison, S.D.; Crenshaw, C.; Contosta, A.R.; Cusack, D.; Frey, S.; Gallo, M.E.; et al. Stoichiometry of soil enzyme activity at global scale. Ecol. Lett. 2008, 11, 1252–1264. [Google Scholar] [CrossRef] [PubMed]
- Schimel, J.P.; Schaeffer, S.M. Microbial control over carbon cycling in soil. Front. Microbiol. 2012, 3, 348. [Google Scholar] [CrossRef]
- Wieder, W.R.; Grandy, A.S.; Kallenbach, C.M.; Bonan, G.B. Integrating microbial physiology and physio-chemical principles in soils with the MIcrobial-MIneral Carbon Stabilization (MIMICS) model. Biogeosciences 2014, 11, 3899–3917. [Google Scholar] [CrossRef]
- Hussain, S.; Liu, H.; Liu, S.; Yin, Y.; Yuan, Z.; Zhao, Y.; Cao, H. Distribution and assembly processes of soil fungal communities along an altitudinal gradient in Tibetan Plateau. J. Fungi 2021, 7, 1082. [Google Scholar] [CrossRef]
- Min, K.; Suseela, V. Plant invasion alters the Michaelis–Menten kinetics of microbial extracellular enzymes and soil organic matter chemistry along soil depth. Biogeochemistry 2020, 150, 181–196. [Google Scholar] [CrossRef]
- Tian, Q.; Jiang, Q.; Huang, L.; Li, D.; Lin, Q.; Tang, Z.; Liu, F. Vertical distribution of soil bacterial communities in different forest types along an elevation gradient. Microb. Ecol. 2023, 85, 628–641. [Google Scholar] [CrossRef]
- Chen, Z.; Xu, Y.; Wang, X.; Ma, T.; Liu, Y.; Qin, X.; Zhang, W.; Chen, T.; Liu, G.; Zhang, B. Altitudinal patterns of bacterial communities across soil layers in the alpine meadows of the Qinghai-Tibet Plateau. Ecol. Indic. 2025, 171, 113185. [Google Scholar] [CrossRef]
- Yao, B.; Mou, X.; Li, Y.; Lian, J.; Niu, Y.; Liu, J.; Lu, J.; Li, Y.; Li, Y.; Wang, X. Distinct Assembly Patterns of Soil Bacterial and Fungal Communities along Altitudinal Gradients in the Loess Plateau’s Highest Mountain. Microb. Ecol. 2025, 88, 29. [Google Scholar] [CrossRef]
- Fenice, M. The Psychrotolerant Antarctic Fungus Lecanicillium muscarium CCFEE 5003: A Powerful Producer of Cold-Tolerant Chitinolytic Enzymes. Molecules 2016, 21, 447. [Google Scholar] [CrossRef]







| Index | Specific Protocol |
|---|---|
| pH | Potentiometric method with soil-to-water ratio of 1:2.5 (w/v); calibrated with standard buffer solutions (pH 4.01, 6.86, 9.18) before measurement. |
| SOC, POC, MAOC | Modified Walkley–Black potassium dichromate external heating method (heating at 170–180 °C for 5 min, with H2SO4 as catalyst and FeSO4 as titrant); POC was isolated via physical fractionation (53 μm sieve) prior to determination, MAOC was the residual fraction after POC extraction. Heating Method |
| TN | Semi-micro Kjeldahl method: soil samples were digested with concentrated H2SO4 + CuSO4-K2SO4 catalyst mixture (sealing at 380 °C for 2 h), followed by distillation and titration with 0.01 mol/L HCl. |
| AN | Alkaline hydrolysis-diffusion method: soil samples were incubated with 1.8 mol/L NaOH solution at 40 °C for 24 h, with boric acid as absorbent and HCl as titrant. |
| TP | HClO4-H2SO4 wet digestion method: digested with mixed acid (HClO4:H2SO4 = 1:3, v/v) at 360 °C until clear, then determined via molybdenum-antimony colorimetry at 700 nm, referring to Bao. |
| AP | Olsen method (for neutral/alkaline soil): extracted with 0.5 mol/L NaHCO3 (pH 8.5) at 25 °C for 30 min (shaking speed 150 r/min), followed by molybdenum-antimony colorimetry at 700 nm. |
| TK | NaOH fusion method: fused with solid NaOH at 720 °C for 15 min, dissolved in HCl, then determined via inductively coupled plasma atomic emission spectrometry (ICP-AES, detection wavelength 766.5 nm). |
| AK | Flame atomic absorption spectroscopy: Extract with 1 mol/L NH4OAc (pH 7.0) for 30 min at 25 °C (soil-to-solution ratio 1:10, weight/volume), then determine using a flame spectrophotometer. |
Disclaimer/Publisher’s Note: The statements, opinions and data contained in all publications are solely those of the individual author(s) and contributor(s) and not of MDPI and/or the editor(s). MDPI and/or the editor(s) disclaim responsibility for any injury to people or property resulting from any ideas, methods, instructions or products referred to in the content. |
© 2025 by the authors. Licensee MDPI, Basel, Switzerland. This article is an open access article distributed under the terms and conditions of the Creative Commons Attribution (CC BY) license.
Share and Cite
Wang, B.; Li, H.; Li, X.; Liang, X.; Wang, L.; Zhan, F.; He, Y.; Si, Z.; He, S. Response of Soil Organic Carbon Components in Pinus yunnanensis Stand to Altitude Variation. Agronomy 2026, 16, 4. https://doi.org/10.3390/agronomy16010004
Wang B, Li H, Li X, Liang X, Wang L, Zhan F, He Y, Si Z, He S. Response of Soil Organic Carbon Components in Pinus yunnanensis Stand to Altitude Variation. Agronomy. 2026; 16(1):4. https://doi.org/10.3390/agronomy16010004
Chicago/Turabian StyleWang, Binzhi, Haitao Li, Xiaoyi Li, Xinran Liang, Lei Wang, Fangdong Zhan, Yongmei He, Zhihao Si, and Siteng He. 2026. "Response of Soil Organic Carbon Components in Pinus yunnanensis Stand to Altitude Variation" Agronomy 16, no. 1: 4. https://doi.org/10.3390/agronomy16010004
APA StyleWang, B., Li, H., Li, X., Liang, X., Wang, L., Zhan, F., He, Y., Si, Z., & He, S. (2026). Response of Soil Organic Carbon Components in Pinus yunnanensis Stand to Altitude Variation. Agronomy, 16(1), 4. https://doi.org/10.3390/agronomy16010004

