Biological Control of Endophytic Bacillus subtilis and Stenotrophomonas rhizophila Against Pyrenophora teres f. teres in Barley
Abstract
1. Introduction
2. Materials and Methods
2.1. Seed Samples as a Potential Carrier of Pyrenophora teres f. teres
2.2. Isolation of the Pathogen from Barley Seeds and Evaluation of Seed-Borne Infection Frequency
2.3. Pathogenicity Assessment of Pyrenophora teres f. teres Isolates on Barley Cultivars
2.4. Isolation of Endophytic Bacteria
2.5. Molecular Identification of Endophytic Bacteria
2.6. Experimental Design, Treatments, and Replication
2.7. In Vitro Antifungal Activity of Endophytic Bacteria against Pyrenophora teres f. teres
2.8. Evaluation of Endophytic Bacteria Against Net Blotch Disease at the Seedling Stage
2.8.1. Sample Collection and Biochemical Analysis
2.8.2. Determination of Total Soluble Phenolic and Flavonoid Contents
2.8.3. Superoxide Dismutase Activity
2.8.4. Ascorbate Peroxidase Activity
2.8.5. Polyphenol Oxidase Activity
2.8.6. Phenylalanine Ammonia-Lyase
2.9. Field Experiments
2.9.1. Experiment Design and Treatments
2.9.2. Disease and Agronomic Assessments
2.10. Statistical Analysis
3. Results
3.1. Frequency Distribution of Pyrenophora teres f. teres Isolates Among Barley Cultivars
3.2. Pathogenicity of Pyrenophora teres f. teres Isolates on Barley Cultivars
3.3. Characterization and Identification of Endophytic Bacterial Isolates
3.4. In Vitro Antifungal Activity of the Endophytic Bacteria Against Pyrenophora teres f. teres
3.5. Effect of B. subtilis and S. rhizophila on Net Blotch Development at the Seedling Stage
3.6. Effect of B. subtilis and S. rhizophila on Non-Enzymatic Antioxidant Compounds in Infected Barley Seedlings
3.7. Effect of B. subtilis and S. rhizophila on Antioxidant and Defense-Related Enzyme Activities in Infected Barley Seedlings
3.8. Effect of B. subtilis and S. rhizophila on Net Blotch Development on Adult Barley Plants
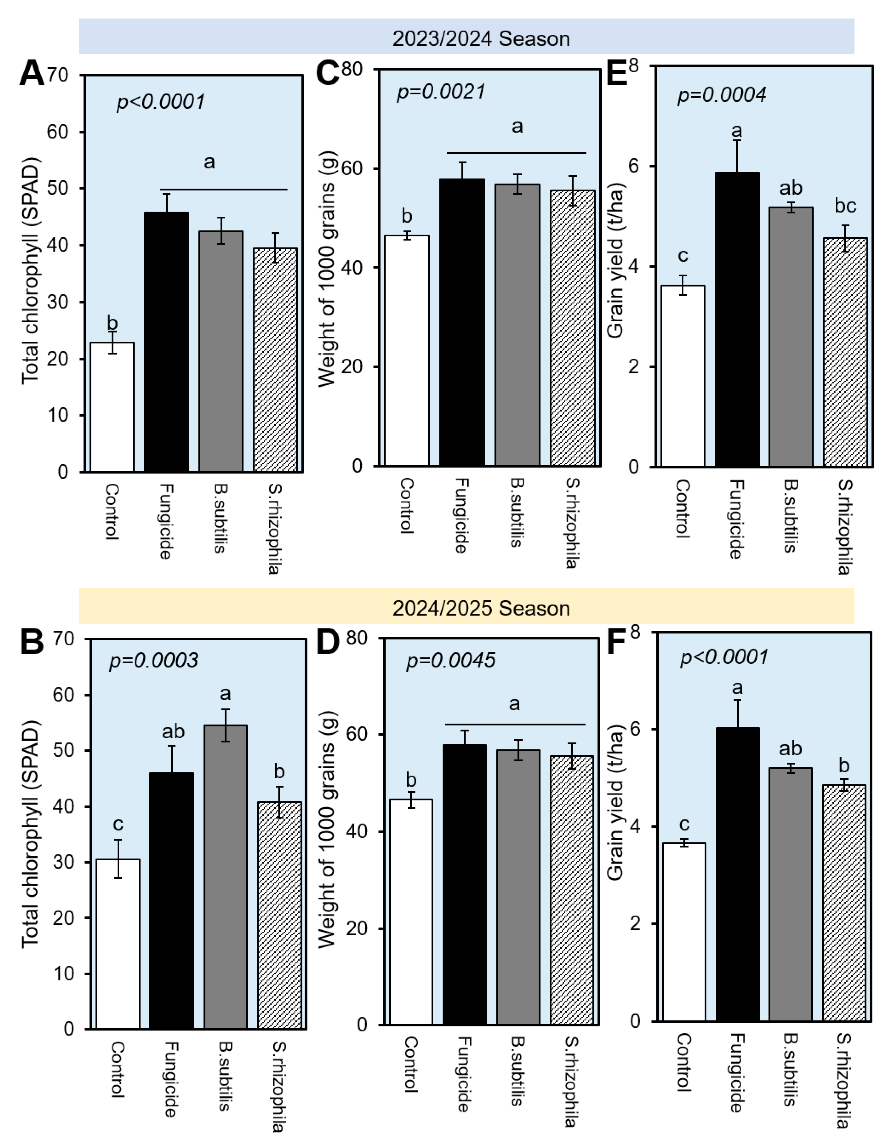
3.9. Effect of B. subtilis and S. rhizophila on Chlorophyll Content and the Grain Yield of Barley Plants Affected by Net Blotch Under Field Conditions
4. Discussion
5. Conclusions
Author Contributions
Funding
Data Availability Statement
Acknowledgments
Conflicts of Interest
References
- FAOSTAT. Agriculture Organization of the United Nations FAO Statistical Database; Food and Agriculture Organization of the United Nations: Rome, Italy, 2023. [Google Scholar]
- Raj, R.; Shams, R.; Pandey, V.K.; Dash, K.K.; Singh, P.; Bashir, O. Barley Phytochemicals and Health Promoting Benefits: A Comprehensive Review. J. Agric. Food Res. 2023, 14, 100677. [Google Scholar] [CrossRef]
- Backes, A.; Guerriero, G.; Ait Barka, E.; Jacquard, C. Pyrenophora teres: Taxonomy, Morphology, Interaction with Barley, and Mode of Control. Front. Plant Sci. 2021, 12, 614951. [Google Scholar] [CrossRef]
- Clare, S.J.; Wyatt, N.A.; Brueggeman, R.S.; Friesen, T.L. Research Advances in the Pyrenophora teres—Barley Interaction. Mol. Plant Pathol. 2020, 21, 272–288. [Google Scholar] [CrossRef]
- Taliadoros, D.; Feurtey, A.; Wyatt, N.; Barrès, B.; Gladieux, P.; Friesen, T.L.; Stukenbrock, E.H. Emergence and Spread of The Barley Net Blotch Pathogen Coincided with Crop Domestication and Cultivation History. PLoS Genet. 2024, 20, e1010884. [Google Scholar] [CrossRef]
- Shoemaker, R.A. Nomenclature of Drechslera and Bipolaris, Grass Parasites Segregated from ‘Helminthosporium’. Can. J. Bot. 1959, 37, 879–887. [Google Scholar] [CrossRef]
- Sayed, M.A.; Abou-Zaid, M.A.; Ali, M.B. Mapping QTL And Epistatic Effects for Powdery Mildew, Leaf Rust and Net Blotch Resistance in Barley. Egypt. J. Plant Breed. 2019, 23, 289–307. [Google Scholar]
- Mohdly, B.R.; Ahmed Safhi, F.; Abou-zeid, M.A.; Abdel-fattah, A.A.; Almoshadak, A.S.; Almanzalawi, E.A.; Alqahtani, T.M.; Abd el Moneim, D.; Elessawy, R.A.M. Understanding The Influence of Applying Plant Extracts and Microorganism Culture Filtrates against Barley Leaf Rust Disease. Not. Bot. Horti Agrobot. Cluj-Napoca 2024, 52, 13450. [Google Scholar] [CrossRef]
- Liu, Z.; Ellwood, S.R.; Oliver, R.P.; Friesen, T.L. Pyrenophora teres: Profile of an Increasingly Damaging Barley Pathogen. Mol. Plant Pathol. 2011, 12, 1–19. [Google Scholar] [CrossRef]
- Weiergang, I.; Lyngs JØrgensen, H.J.; MØller, I.M.; Friis, P.; Smedegaard-petersen, V. Correlation Between Sensitivity of Barley to Pyrenophora teres Toxins and Susceptibility to the Fungus. Physiol. Mol. Plant Pathol. 2002, 60, 121–129. [Google Scholar] [CrossRef]
- Muria-Gonzalez, M.J.; Zulak, K.G.; Allegaert, E.; Oliver, R.P.; Ellwood, S.R. Profile of the In vitro Secretome of the Barley Net Blotch Fungus, Pyrenophora teres f. teres. Physiol. Mol. Plant Pathol. 2020, 109, 101451. [Google Scholar] [CrossRef]
- Galano, T.; Fininsa, C.; Bultosa, G. Effects of Net Blotch (Pyrenophora teres) on Malt Barley Yield and Grain Quality at Holeta. Central Ethiopia. East Afr. J. Sci. 2008, 2, 150–158. [Google Scholar] [CrossRef]
- Pütsepp, R.; Mäe, A.; Põllumaa, L.; Andresen, L.; Kiiker, R. Fungicide Sensitivity Profile of Pyrenophora teres f. teres in Field Population. J. Fungi 2024, 10, 260. [Google Scholar] [CrossRef]
- Falade, A.O.; Adewole, K.E.; Ekundayo, T.C. Aptitude of Endophytic Microbes for Production of Novel Biocontrol agents and Industrial Enzymes Towards Agro-Industrial Sustainability. Beni-Suef Univ. J. Basic. Appl. Sci. 2021, 10, 61. [Google Scholar] [CrossRef]
- Osman, H.E.M.; Nehela, Y.; Elzaawely, A.A.; El-Morsy, M.H.; El-Nagar, A. Two Bacterial Bioagents Boost Onion Response to Stromatinia cepivora and Promote Growth and Yield via Enhancing the Antioxidant Defense System and Auxin Production. Horticulturae 2023, 9, 780. [Google Scholar] [CrossRef]
- Morales-Cedeño, L.R.; Orozco-Mosqueda, M.D.C.; Loeza-Lara, P.D.; Parra-Cota, F.I.; de los Santos-Villalobos, S.; Santoyo, G. Plant Growth-Promoting Bacterial Endophytes as Biocontrol Agents of Pre- and Post-Harvest Diseases: Fundamentals, Methods of Application and Future Perspectives. Microbiol. Res. 2021, 242, 126612. [Google Scholar] [CrossRef]
- Oukala, N.; Aissat, K.; Pastor, V. Bacterial Endophytes: The Hidden Actor in Plant Immune Responses against Biotic Stress. Plants 2021, 10, 1012. [Google Scholar] [CrossRef]
- Ali, M.A.; Ahmed, T.; Ibrahim, E.; Rizwan, M.; Chong, K.P.; Yong, J.W.H. A Review On Mechanisms and Prospects of Endophytic Bacteria in Biocontrol of Plant Pathogenic Fungi and Their Plant Growth-Promoting Activities. Heliyon 2024, 10, e31573. [Google Scholar] [CrossRef]
- Hazarika, D.J.; Goswami, G.; Gautom, T.; Parveen, A.; Das, P.; Barooah, M.; Boro, R.C. Lipopeptide Mediated Biocontrol Activity of Endophytic Bacillus Subtilis against Fungal Phytopathogens. BMC Microbiol. 2019, 19, 71. [Google Scholar] [CrossRef]
- Wang, L.; Xi, N.; Lang, D.; Zhou, L.; Zhang, Y.; Zhang, X. Potential Biocontrol and Plant Growth Promotion of an Endophytic Bacteria Isolated from Glycyrrhiza Uralensis Seeds. Egypt. J. Biol. Pest Control 2022, 32, 55. [Google Scholar] [CrossRef]
- Raio, A.; Brilli, F.; Neri, L.; Baraldi, R.; Orlando, F.; Pugliesi, C.; Chen, X.; Baccelli, I. Stenotrophomonas rhizophila Ep2. 2 Inhibits Growth of Botrytis Cinerea Through the Emission of Volatile Organic Compounds, Restricts Leaf Infection and Primes Defense Genes. Front. Plant Sci. 2023, 14, 1235669. [Google Scholar] [CrossRef]
- Lara-Capistran, L.; Zulueta-Rodriguez, R.; Castellanos-Cervantes, T.; Reyes-Perez, J.J.; Preciado-Rangel, P.; Hernandez-Montiel, L.G. Efficiency of Marine Bacteria and Yeasts on the Biocontrol Activity of Pythium ultimum in Ancho-Type Pepper Seedlings. Agronomy 2020, 10, 408. [Google Scholar] [CrossRef]
- Schmidt, C.S.; Mrnka, L.; Lovecká, P.; Frantik, T.; Fenclová, M.; Demnerová, K.; Vosátka, M. Bacterial and Fungal Endophyte Communities in Healthy and Diseased Oilseed Rape and Their Potential for Biocontrol of Sclerotinia and Phoma Disease. Sci. Rep. 2021, 11, 3810. [Google Scholar] [CrossRef]
- Gharsallah, H.; Cheffi, M.; Mallek, R.; Massoudi, A.; Omri, N.; Triki, M.A.; Oztop, M.; ZARAI, Z. Antifungal Potential of Bacillus strains: Implications for Biocontrol Strategies in Food Safety and Sustainable Agriculture. Front. Microbiol. 2025, 16, 1615252. [Google Scholar] [CrossRef]
- Sanglard, L.; Cuellar, S.M.; Ghavamabad, R.H.; Lawrence, J.; D’Souza, N.; Gonzalez, J.M.; Naim, F.; Gifford, C. Isolation of Pyrenophora teres f. teres from Infected Barley Leaves and Re-Inoculation of Barley Leaves in a Glasshouse; Springer: Berlin/Heidelberg, Germany, 2025. [Google Scholar] [CrossRef]
- Lightfoot, D.J.; Able, A.J. Growth of Pyrenophora teres in Planta During Barley Net Blotch Disease. Australas. Plant Pathol. 2010, 39, 499. [Google Scholar] [CrossRef]
- Khan, M.R.; Brien, E.O.; Carney, B.F.; Doohan, F.M. A Fluorescent Pseudomonad Shows Potential for the Control of Net Blotch Disease of Barley. Biol. Control 2010, 54, 41–45. [Google Scholar] [CrossRef]
- Tekauz, A. A Numerical Scale to Classify Reactions of Barley to Pyrenophora teres. Can. J. Plant Pathol. 1985, 7, 181–183. [Google Scholar] [CrossRef]
- Zhang, Z.; Liu, T.; Zhang, X.; Xie, J.; Wang, Y.; Yan, R.; Jiang, Y.; Zhu, D. Cultivable Endophytic Bacteria in Seeds of Dongxiang Wild Rice and Their Role in Plant-Growth Promotion. Diversity 2021, 13, 665. [Google Scholar] [CrossRef]
- Tamura, K.; Stecher, G.; Kumar, S. MEGA11: Molecular Evolutionary Genetics Analysis Version 11. Mol. Biol. Evol. 2021, 38, 3022–3027. [Google Scholar] [CrossRef]
- Khan, M.R.; Doohan, F.M. Bacterium-Mediated Control of Fusarium Head Blight Disease of Wheat and Barley and Associated Mycotoxin Contamination of Grain. Biol. Control. 2009, 48, 42–47. [Google Scholar] [CrossRef]
- Rehman, S.; Al-Jaboobi, M.; Verma, R.P.S.; Sanchez Garcia, M.; Visioni, A. Genome-Wide Association Mapping of Net form Net Blotch Resistance in Barley at Seedling and Adult Plant Stages. Front. Agron. 2025, 7, 1525588. [Google Scholar] [CrossRef]
- Kähkönen, M.P.; Hopia, A.I.; Vuorela, H.J.; Rauha, J.P.; Pihlaja, K.; Kujala, T.S.; Heinonen, M. Antioxidant Activity of Plant Extracts Containing Phenolic Compounds. J. Agric. Food Chem. 1999, 47, 3954–3962. [Google Scholar] [CrossRef]
- Djeridane, A.; Yousfi, M.; Nadjemi, B.; Boutassouna, D.; Stocker, P.; Vidal, N. Antioxidant Activity of Some Algerian Medicinal Plants Extracts Containing Phenolic Compounds. Food Chem. 2006, 97, 654–660. [Google Scholar] [CrossRef]
- Silva, E.N.; Silveira, J.A.G.; Aragão, R.M.; Vieira, C.F.; Carvalho, F.E.L. Photosynthesis Impairment and Oxidative Stress in Jatropha Curcas Exposed to Drought Are Partially Dependent on Decreased Catalase Activity. Acta Physiol. Plant. 2019, 41, 4. [Google Scholar] [CrossRef]
- Nakano, Y.; Asada, K. Hydrogen Peroxide Is Scavenged by Ascorbate-Specific Peroxidase in Spinach Chloroplasts. Plant Cell Physiol. 1981, 22, 867–880. [Google Scholar] [CrossRef]
- El-Nagar, A.; Mazrou, Y.S.A.; El-Fawy, M.M.; Abou-Shlell, M.K.; Seleim, M.A.A.; Makhlouf, A.H.; Hegazy, M.G.A. New Trichoderma Strains Suppress Blue Mold in Oranges by Damaging the Cell Membrane of Penicillium italicum and Enhancing Both Enzymatic and Non-Enzymatic Defense Mechanisms in Orange Fruits. Horticulturae 2024, 10, 1076. [Google Scholar] [CrossRef]
- Malik, C.P.; Singh, M.B. Plant Enzymology and Histo-Enzymology; Kalyani Publishers: New Delhi, India, 1980. [Google Scholar]
- Assis, J.S.; Maldonado, R.; Muñoz, T.; Escribano, M.I.; Merodio, C. Effect of High Carbon Dioxide Concentration on PAL Activity and Phenolic Contents in Ripening Cherimoya Fruit. Plant Cell Physiol. 2001, 23, 33–39. [Google Scholar] [CrossRef]
- McLean, M.S.; Hollaway, G.J. Control of Net Form of Net Blotch in Barley from Seed- and Foliar-Applied Fungicides. Crop Pasture Sci. 2019, 70, 55. [Google Scholar] [CrossRef]
- Xue, L.; Xu, Z.; Liu, J.; Chen, H.; White, J.F.; Malik, K.; Li, C. Differences in the Characteristics and Pathogenicity of Pyrenophora Species Associated with Seeds of Italian Ryegrass. Plant Dis. 2023, 107, 758–770. [Google Scholar] [CrossRef]
- Khaledi, N.; Zare, L.; Hassani, F.; Osroosh, S. Comparison of Diagnostic Methods, Virulence and Aggressiveness Analysis of Pyrenophora spp. in Pre-Basic Seeds in the Barley Fields. Trop. Plant Pathol. 2024, 49, 304–316. [Google Scholar] [CrossRef]
- Matzen, N.; Weigand, S.; Bataille, C.; Kildea, S.; Havis, N.; O’ Driscoll, A.; Waite, K.; Jalli, M.; Rodemann, B.; Jørgensen, L. EuroBarley: Control of Leaf Diseases in Barley across Europe. J. Plant Dis. Prot. 2024, 131, 1239–1244. [Google Scholar] [CrossRef]
- Dutilloy, E.; Oni, F.E.; Esmaeel, Q.; Clément, C.; Barka, E.A. Plant Beneficial Bacteria as Bioprotectants against Wheat and Barley Diseases. J. Fungi 2022, 8, 632. [Google Scholar] [CrossRef]
- Markelova, N.; Chumak, A. Antimicrobial Activity of Bacillus Cyclic Lipopeptides and Their Role in the Host Adaptive Response to Changes in Environmental Conditions. Int. J. Mol. Sci. 2025, 26, 336. [Google Scholar] [CrossRef]
- Liu, B.; Huang, L.; Buchenauer, H.; Kang, Z. Isolation and Partial Characterization of an Antifungal Protein from the Endophytic Bacillus subtilis Strain EDR4. Pestic. Biochem. Physiol. 2010, 98, 305–311. [Google Scholar] [CrossRef]
- Berg, G.; Egamberdieva, D.; Lugtenberg, B.; Hagemann, M. Symbiotic Plant—Microbe Interactions: Stress Protection, Plant Growth Promotion, and Biocontrol by Stenotrophomonas. In Symbioses and Stress; Springer: Berlin/Heidelberg, Germany, 2010; pp. 445–460. [Google Scholar]
- Santoyo, G.; Moreno-hagelsieb, G.; Orozco-mosqueda, C.; Glick, B.R. Plant Growth-Promoting Bacterial Endophytes. Microbiol. Res. 2016, 183, 92–99. [Google Scholar] [CrossRef]
- Afzal, I.; Shinwari, Z.K.; Sikandar, S.; Shahzad, S. Plant Beneficial Endophytic Bacteria: Mechanisms, Diversity, Host Range and Genetic Determinants. Microbiol. Res. 2019, 221, 36–49. [Google Scholar] [CrossRef] [PubMed]
- Sharma, P.; Jha, A.B.; Dubey, R.S.; Pessarakli, M. Reactive Oxygen Species, Oxidative Damage, and Antioxidative Defense Mechanism in Plants under Stressful Conditions. J. Bot. 2012, 2012, 217037. [Google Scholar] [CrossRef]
- Sarvajeet Singh Gill, N.T. Reactive Oxygen Species and Antioxidant Machinery in Abiotic Stress Tolerance in Crop Plants Related Papers. Plant Physiol. Biochem. 2010, 48, 909–930. [Google Scholar] [CrossRef]
- Racchi, M.L. Antioxidant Defenses in Plants with Attention to Prunus and Citrus spp. Antioxidants 2013, 2, 340–369. [Google Scholar] [CrossRef] [PubMed]
- Dumanović, J.; Nepovimova, E.; Natić, M.; Kuča, K.; Jaćević, V. The Significance of Reactive Oxygen Species and Antioxidant Defense System in Plants: A Concise Overview. Front. Plant Sci. 2021, 11, 552969. [Google Scholar] [CrossRef]
- Pisoschi, A.M.; Pop, A. The Role of Antioxidants in the Chemistry of Oxidative Stress: A Review. Eur. J. Med. Chem. 2015, 97, 55–74. [Google Scholar] [CrossRef]
- Li, S. Novel Insight into Functions of Ascorbate Peroxidase in Higher Plants: More than a Simple Antioxidant Enzyme. Redox Biol. 2023, 64, 102789. [Google Scholar] [CrossRef]
- Zhu, H.; Zhao, L.; Zhang, X.; Foku, J.M.; Li, J.; Hu, W.; Zhang, H. Efficacy of Yarrowia Lipolytica in the Biocontrol of Green Mold and Blue Mold in Citrus Reticulata and the Mechanisms Involved. Biol. Control 2019, 139, 104096. [Google Scholar] [CrossRef]
- Papoutsis, K.; Vuong, Q.V.; Tesoriero, L.; Pristijono, P.; Stathopoulos, C.E.; Gkountina, S.; Lidbetter, F.; Bowyer, M.C.; Scarlett, C.J.; Golding, J.B. Microwave Irradiation Enhances the in Vitro Antifungal Activity of Citrus by-Product Aqueous Extracts against Alternaria Alternata. Int. J. Food Sci. Technol. 2018, 53, 1510–1517. [Google Scholar] [CrossRef]
- Awan, Z.A.; Shoaib, A. Combating Early Blight Infection by Employing Bacillus subtilis in Combination with Plant Fertilizers. Curr. Plant Biol. 2019, 20, 100125. [Google Scholar] [CrossRef]
- Rivas-Garcia, T.; Murillo-Amador, B.; Preciado-Rangel, P.; Ávila-Quezada, G.D.; Hernandez-Montiel, L.G.; Reyes-Pérez, J.J.; Chiquito-Contreras, R.G.; Lara-Capistran, L. Debaryomyces Hansenii, Stenotrophomonas rhizophila, and Ulvan as Biocontrol Agents of Fruit Rot Disease in Muskmelon (Cucumis melo L.). Plants 2022, 11, 184. [Google Scholar] [CrossRef] [PubMed]
- Matłok, N.; Piechowiak, T.; Kapusta, I.; Królikowski, K.; Balawejder, M. Induction of Biosynthesis Antioxidant Molecules in Young Barley Plants by Trioxygen. Molecules 2022, 27, 7195. [Google Scholar] [CrossRef] [PubMed]
- Rudenko, N.N.; Vetoshkina, D.V.; Marenkova, T.V.; Borisova-Mubarakshina, M.M. Antioxidants of Non-Enzymatic Nature: Their Function in Higher Plant Cells and the Ways of Boosting Their Biosynthesis. Antioxidants 2023, 12, 2014. [Google Scholar] [CrossRef]
- Ahmad, P.; Jaleel, C.A.; Salem, M.A.; Nabi, G.; Sharma, S. Roles of Enzymatic and Nonenzymatic Antioxidants in Plants during Abiotic Stress. Crit. Rev. Biotechnol. 2010, 30, 161–175. [Google Scholar] [CrossRef]
- Maslennikova, D.; Koryakov, I.; Yuldashev, R.; Avtushenko, I.; Yakupova, A.; Lastochkina, O. Endophytic Plant Growth-Promoting Bacterium Bacillus subtilis Reduces the Toxic Effect of Cadmium on Wheat Plants. Microorganisms 2023, 11, 1653. [Google Scholar] [CrossRef]
- Siddika, A.; Rashid, A.A.; Khan, S.N.; Khatun, A.; Karim, M.M.; Prasad, P.V.V.; Hasanuzzaman, M. Harnessing Plant Growth-Promoting Rhizobacteria, Bacillus subtilis and B. aryabhattai to Combat Salt Stress in Rice: A Study on the Regulation of Antioxidant Defense, Ion Homeostasis, and Photosynthetic Parameters. Front. Plant Sci. 2024, 15, 1419764. [Google Scholar] [CrossRef]
- Pérez-Pérez, R.; Oudot, M.; Hernández, I.; Nápoles, M.C.; Pérez-Martinez, S.; Sosa-Del Castillo, D.; Postal, G.; de las Lajas, M. Isolation and Characterization of Stenotrophomonas asociated to maize (Zea mays L.) rhizosphere. Cultiv. Trop. 2020, 41, e03. [Google Scholar]
- Ulrich, K.; Kube, M.; Becker, R.; Schneck, V.; Ulrich, A. Genomic Analysis of the Endophytic Stenotrophomonas Strain 169 Reveals Features Related to Plant-Growth Promotion and Stress Tolerance. Front. Microbiol. 2021, 12, 687463. [Google Scholar] [CrossRef]
- Parnell, J.J.; Berka, R.; Young, H.A.; Sturino, J.M.; Kang, Y.; Barnhart, D.M.; DiLeo, M. V From the Lab to the Farm: An Industrial Perspective of Plant Beneficial Microorganisms. Front. Plant Sci. 2016, 7, 1110. [Google Scholar] [CrossRef] [PubMed]
- El-Sheikh, E.-S.A.-M.; Shahein, N.M.M. The Beneficial Microorganisms For Sustainable Plant Disease Management: A Systematic Review. Microb. Bioact. 2025, 8, 10412. [Google Scholar]









| Treatment | TP | TF | SOD | APX | PPO | PAL |
|---|---|---|---|---|---|---|
| Control | 3.79 ± 0.09 d | 0.77 ± 0.02 c | 1.47± 0.48 c | 3.17 ± 0.22 c | 0.13 ± 0.04 c | 3.17 ± 0.07 d |
| Fungicide | 5.33 ± 0.21 c | 0.93 ± 0.04 b | 2.64 ± 0.29 b | 3.58 ± 0.60 c | 0.35 ±0.12 b | 4.95 ±0.08 c |
| B. subtilis | 8.88 ± 0.23 b | 1.52 ± 0.06 a | 6.60 ± 0.35 a | 4.49 ± 0.36 b | 1.66 ± 0.07 a | 8.60 ± 0.10 a |
| S. rhizophila | 9.42 ± 0.26 a | 1.45 ± 0.05 a | 5.95 ± 0.58 a | 5.87 ± 0.32 a | 0.36 ± 0.09 b | 5.62 ± 0.17 b |
| P values | <0.0001 | <0.0001 | <0.0001 | = 0.0005 | <0.0001 | 0.0001 |
Disclaimer/Publisher’s Note: The statements, opinions and data contained in all publications are solely those of the individual author(s) and contributor(s) and not of MDPI and/or the editor(s). MDPI and/or the editor(s) disclaim responsibility for any injury to people or property resulting from any ideas, methods, instructions or products referred to in the content. |
© 2026 by the authors. Licensee MDPI, Basel, Switzerland. This article is an open access article distributed under the terms and conditions of the Creative Commons Attribution (CC BY) license.
Share and Cite
El-Nagar, A.; Mazrou, Y.S.A.; Omar, G.E.; Abdelfatah, A.; Elzaawely, A.A.; Makhlouf, A.H.; Esmail, S.M. Biological Control of Endophytic Bacillus subtilis and Stenotrophomonas rhizophila Against Pyrenophora teres f. teres in Barley. Agronomy 2026, 16, 130. https://doi.org/10.3390/agronomy16010130
El-Nagar A, Mazrou YSA, Omar GE, Abdelfatah A, Elzaawely AA, Makhlouf AH, Esmail SM. Biological Control of Endophytic Bacillus subtilis and Stenotrophomonas rhizophila Against Pyrenophora teres f. teres in Barley. Agronomy. 2026; 16(1):130. https://doi.org/10.3390/agronomy16010130
Chicago/Turabian StyleEl-Nagar, Asmaa, Yasser S. A. Mazrou, Ghady E. Omar, Amr Abdelfatah, Abdelnaser A. Elzaawely, Abeer H. Makhlouf, and Samar M. Esmail. 2026. "Biological Control of Endophytic Bacillus subtilis and Stenotrophomonas rhizophila Against Pyrenophora teres f. teres in Barley" Agronomy 16, no. 1: 130. https://doi.org/10.3390/agronomy16010130
APA StyleEl-Nagar, A., Mazrou, Y. S. A., Omar, G. E., Abdelfatah, A., Elzaawely, A. A., Makhlouf, A. H., & Esmail, S. M. (2026). Biological Control of Endophytic Bacillus subtilis and Stenotrophomonas rhizophila Against Pyrenophora teres f. teres in Barley. Agronomy, 16(1), 130. https://doi.org/10.3390/agronomy16010130

