Next Article in Journal
Soil Health and Properties in a Changing Environment
Next Article in Special Issue
Comparative Immunomodulatory Efficacy of Chemogenic and Biogenic Manganese Nanoparticles for Inducing Arsenic Stress Resilience in Rapeseed
Previous Article in Journal
Biochar and Soil Water Synergistically Regulating Root Growth to Affect Photosynthesis in Maize (Zea mays L.)
Previous Article in Special Issue
Can Zinc Oxide Nanoparticles Alleviate the Adverse Effects of Salinity Stress in Coffea arabica?
 
 
Font Type:
Arial Georgia Verdana
Font Size:
Aa Aa Aa
Line Spacing:
Column Width:
Background:
Article

Effects of SiO2 Nanoparticles on the Yield and Quality of Sophora tonkinensis Under Drought Stress

Guangxi Key Laboratory of Medicinal Resources Protection and Genetic Improvement, National Center for TCM Inheritance and Innovation, Guangxi Botanical Garden of Medicinal Plants, Nanning 530023, China
*
Author to whom correspondence should be addressed.
Agronomy 2025, 15(9), 2171; https://doi.org/10.3390/agronomy15092171
Submission received: 5 August 2025 / Revised: 10 September 2025 / Accepted: 10 September 2025 / Published: 11 September 2025

Abstract

This study investigates the novel application of silicon nanoparticles (SiO2 NPs) to enhance drought tolerance and medicinal quality in the threatened medicinal plant Sophora tonkinensis, providing technical support for its conservation and cultivation. Six treatments were applied: control (CK), CK + 100 mg/L SiO2 NPs, CK + 200 mg/L SiO2 NPs, drought stress (SD), SD + 100 mg/L SiO2 NPs, SD + 200 mg/L SiO2 NPs. After 21 days of foliar application, we assessed biomass, physio–biochemical parameters (including soluble protein, soluble sugar, superoxide dismutase (SOD), catalase (CAT), peroxidase (POD), malondialdehyde (MDA), superoxide anion (O2), and hydrogen peroxide (H2O2)), as well as concentrations of matrine, oxymatrine, genistin, genistein, total alkaloids, and total flavonoids. Under drought stress, the application of 100 mg/L SiO2 NPs was the most effective treatment for enhancing biomass accumulation and eliciting a coordinated physio–biochemical response. This was demonstrated by a significant increase in leaf soluble protein content and root SOD activity, along with a decrease in oxidative stress markers (H2O2 and O2). Furthermore, SiO2 NPs application under both normal and drought conditions selectively enhanced the accumulation of bioactive compounds in the roots, with the optimal concentration being compound-specific. Notably, under drought conditions, the application of 200 mg/L SiO2 NPs proved optimal for enhancing the biosynthesis of several key medicinal compounds in the roots. Specifically, this treatment significantly maximized the content of matrine (214.15 μg/g), genistin (4.06 μg/g), genistein (48.56 μg/g), total alkaloids (9.96 mg/g), and total flavonoids (11.44 mg/g) compared to the drought-stressed control (SD). These results demonstrate that SiO2 NPs significantly improve yield and key medicinal components of S. tonkinensis under drought stress, with a differential efficiency depending on the concentration, plant organ, and target compound.

1. Introduction

Sophora tonkinensis Gagnep. is widely used in traditional Chinese medicine and is Guangxi’s “Guishiwei” authentic medicinal material in China. It grows in calcium-rich, arid karst areas. This species is native to a relatively small region, encompassing specific provinces in south-central and southeastern China (e.g., Guangxi, Guizhou, Yunnan) and northern Vietnam [1]. Historically, it has been extensively employed to alleviate symptoms such as fire toxin accumulation, throat paralysis, sore throat, swollen and painful gums, and oral and tongue sores [2]. Research indicates that over 170 chemical constituents, including 108 flavonoids and more than 20 alkaloids, have been isolated from S. tonkinensis [3,4]. The primary medicinally active compounds are quinolizidine alkaloids and prenyl flavonoids, with matrine and oxymatine standing out as key quinolizidine alkaloid representatives [5,6]. Recently, the escalating demand for S. tonkinensis has led to varying degrees of degradation in its natural habitat within its native range in China [6,7]. Furthermore, rocky desertification severely erodes its natural ranges, resulting in frequent droughts [7]. Due to habitat destruction and over-exploitation, it is listed as a national class II protected plant species in China. Therefore, investigating effective and practical drought tolerance methods for S. tonkinensis is crucial for ensuring steady production and sustainable medicinal resource utilization.
In this context, nanotechnology presents a promising, rapid, and non-transgenic strategy for enhancing plant resilience, offering advantages over more complex and time-consuming genetic improvement approaches [8]. The application of nanoparticles (NPs) has demonstrated faster enhancement of plant tolerance to abiotic stressors [8]. Numerous studies have shown that NPs positively impact plant growth, development, yield, and abiotic stress resistance. Silicon (Si), the second most abundant element in Earth’s crust after oxygen, accumulates significantly in plants despite not being considered essential for higher plants. Its accumulation aids plants in resisting pests, pathogens, and various biotic and abiotic stresses, including diseases, metal stress, drought, and salt stress, making it a beneficial element [9,10]. Nanosilica (SiO2 NPs), due to their high reactivity and biochemical activity, may be more effective than traditional silicon sources in mitigating diverse stressful conditions [11,12]. Notably, emerging studies have begun to reveal the beneficial role of SiO2 NPs in enhancing growth and stress tolerance in certain medicinal plants [13,14], highlighting their potential for agricultural application.
While previous research on S. tonkinensis has explored strategies to mitigate water stress, such as the application of melatonin [7], the potential of nanotechnology, particularly SiO2 NPs, remains completely unexplored for this endangered species. While SiO2 NPs have shown efficacy in crops like wheat and rice, their role in medicinal plants under drought stress, particularly for enhancing the biosynthetic efficiency and accumulation of key bioactive components in endangered species like S. tonkinensis, remains underexplored. This study addresses this gap by exploring SiO2 NPs’ effects on biomass, physio–biochemical traits, and bioactive compound accumulation (e.g., alkaloids and flavonoids) in S. tonkinensis. The findings aim to provide a novel nano-based strategy to meet rising medicinal demands and foster sustainable utilization of this vital plant resource.

2. Materials and Methods

2.1. Materials

The seedlings were propagated from seeds collected at the S. tonkinensis planting base in Napo, Baise City, Guangxi Zhuang Autonomous Region, China. The plant material was identified as Sophora tonkinensis Gagnep., a leguminous plant, by Wei Fan, an associate researcher at the Guangxi Botanical Garden of Medicinal Plants. The seedlings were cultivated in a growth chamber under the following conditions: a day/night temperature of 28/25 °C, a 14/10 h light/dark photoperiod, a light intensity of 300 μmol·m−2·s−1 provided by LED lamps, and a relative humidity of 60–70%.
Seedlings were planted into plastic pots with a pot height of 10 cm, a pot mouth diameter of 13 cm, and a pot bottom diameter of 9 cm. The pots are filled with a mixture of nutrient soil and vermiculite (2:1, v/v). The nutrient soil had the following properties: pH 6.9 ± 0.3, organic matter content 5.2 ± 3.5%, total nitrogen 0.5 ± 0.1%, available phosphorus 15.5 ± 6.2 mg/kg, and available potassium 120.3 ± 12.4 mg/kg. The vermiculite was used to improve aeration and drainage. Each pot contained approximately 1 kg of growth medium. The experiment was conducted at the Guangxi Key Laboratory of Medicinal Resources Protection and Genetic Improvement from February to March 2024.

2.2. Instruments

Agilent1100 high-performance liquid chromatograph (Agilent Company, Santa Clara, CA, USA); M8800H-C ultrasonic cleaner (Branson Company, Branson, MO, USA); Mikro 220R high-speed refrigerated centrifuge (Hettich Company, Kirchlengern, Germany); Multiskan SkyHigh microplate reader (Thermo Fisher Scientific Company, Waltham, MA, USA); WGLL-125BE drying oven (Tianjin Test Instrument Co., Ltd., Tianjin, China); HH.S11-2 constant temperature water bath (Shanghai Boxun Medical Bioinstrument Co., Ltd., Shanghai, China).

2.3. Experimental Design

Seedlings of S. tonkinensis (6 months old, uniformly developed, and healthy) were selected and divided into six treatment groups. Each treatment was applied to 60 individual pots (one plant per pot), totaling 360 seedlings. Drought stress was simulated by withholding water. Soil moisture was monitored daily by weighing all pots. The soil water content (SWC) was calculated gravimetrically. The initial SWC at field capacity was maintained at approximately 75~80%. For the drought stress groups, irrigation was withheld until the SWC reached 30~35%, a level which was then maintained by replenishing water daily based on weight loss to sustain this stress level throughout the experimental period. The control groups were maintained at 75~80% soil moisture content by daily watering. The drought stress and foliar SiO2 NPs treatments were designed as follows:
T1 (CK): Cultivated under normal moisture (75~80% soil moisture content) without NPs; T2: Cultivated under normal moisture with foliar application of 100 mg/L SiO2 NPs solution; T3: Cultivated under normal moisture with foliar application of 200 mg/L SiO2 NPs solution; T4 (SD): Cultivated under severe drought (30~35% soil moisture content) without NPs; T5: Cultivated under severe drought with foliar application of 100 mg/L SiO2 NPs solution; T6: Cultivated under severe drought with foliar application of 200 mg/L SiO2 NPs solution.
An equal volume of SiO2 NPs solution was applied to all relevant groups every 4 days (5 times total). Control groups (T1 and T4) received corresponding volumes of deionized water. Silica nanoparticle dispersion (<30 nm; catalog #791334, Sigma-Aldrich, St. Louis, MI, USA) was used.

2.4. Determination of Medicinal Material Yield

Fresh weights (FW) of roots, stems, and leaves were measured separately after harvest. Tissues were then fixed at 105 °C for 1 h to terminate enzyme activity and subsequently dried at 50 °C to constant weight to obtain the dry weight (DW). The dry matter content was calculated as (dry weight/fresh weight) × 100%. After drying, the dry materials were ground into powder and stored in a desiccator for subsequent analysis of active ingredients.

2.5. Determination of Physiological and Biochemical Indicators

All biochemical parameters were determined using assay kits and the results were normalized on a fresh weight basis. The detailed methods were as follows: The content of soluble protein adopts coomassie brilliant blue method. The content of soluble sugar adopts anthrone colorimetric method. Super oxidase dimutase (SOD) activity used the WST-8 method [15], catalase (CAT) activity used the ultraviolet absorption method, peroxidase (POD) activity used the guaiacol method. The content of malonydialdehyde (MDA) was determined by thiobarbituric acid method (TBA), and the content of superoxide anion (O2) is determined by the hydroxylamine hydrochloride oxidation method, and the content of hydrogen peroxide (H2O2) is determined by the titanium sulfate colorimetric method. The above determination methods refer to the instructions of the kit. Assay kits for the determination of physiological indices (catalog numbers: M1805A (Soluble Protein), M1503A (Soluble Sugar), M0102A (SOD), M0103A (CAT), M0105A (POD), M0106A (MDA), M0114A (O2), and M0107A (H2O2)) were purchased from Suzhou Mengxi Biomedical Technology Co., Ltd. (Suzhou, China). This analysis was performed with three independent biological replicates per treatment.

2.6. Determination of Matrine and Oxymatrine Content

The high-performance liquid chromatography (HPLC) method under the “Content Determination” of S. tonkinensis in the “Pharmacopoeia of the People’s Republic of China” (2020 Edition) was used to determine the content of matrine and oxymatrine. Standard matrine (item number BWC9032-2016, purity ≥ 98%) and oxymatrine (item number 110780, purity ≥ 98%) were purchased from Northern Weiye Measurement Group Co., Ltd., Beijing, China. This analysis was performed with three independent biological replicates per treatment.

2.7. Determination of Genistein and Genistin Content

The contents of genistein and genistin were determined using a modified high-performance liquid chromatography (HPLC) method based on Xu et al. [16]. Briefly, approximately 0.1 g of powdered dry sample was accurately weighed and extracted with 1.0 mL of 70% (v/v) aqueous methanol using a tissue grinder, followed by ultrasonic extraction for 2 h at room temperature. The extract was centrifuged at 12,000× g for 10 min. The supernatant was collected, passed through a 0.22 μm syringe filter, and analyzed by HPLC.
HPLC analysis was performed on an Agilent 1260 Infinity II system equipped with a DAD detector. Separation was achieved on a Compass C18(2) reversed-phase column (250 mm × 4.6 mm, 5 μm) maintained at 30 °C. The mobile phase consisted of methanol and 1% acetic acid in water (30:70, v/v) at a flow rate of 1.0 mL/min. The detection wavelength was set at 260 nm. Identification and quantification were performed by comparing the retention times and peak areas with those of authentic standards.
Genistein (catalog number S31565, purity ≥ 98%) and genistin (catalog number S31591, purity ≥ 98%) standard compounds were purchased from Shanghai Yuanye Biotechnology Co., Ltd. (Shanghai, China). Calibration curves were constructed for each standard for quantification. This analysis was performed with three independent biological replicates per treatment.

2.8. Determination of Total Alkaloids and Total Flavonoids Content

Total alkaloids content was determined as follows: Approximately 0.1 g of powdered dry sample was accurately weighed and extracted with 1 mL of 80% (v/v) aqueous ethanol. The mixture was vortexed thoroughly, transferred to a 2.0 mL microcentrifuge tube, and subjected to ultrasonic extraction for 60 min at room temperature. Subsequently, the extract was centrifuged at 12,000× g and 25 °C for 10 min. The supernatant was carefully collected for the subsequent assay.
The total flavonoids content was determined using a different extraction protocol: Approximately 0.2 g of powdered dry sample was accurately weighed and extracted with 5 mL of 60% (v/v) aqueous ethanol. The mixture was shaken and extracted at 60 °C for 2 h in a thermostatic water bath, followed by centrifugation at 12,000× g and 25 °C for 10 min. The resulting supernatant was collected for analysis.
The contents of total alkaloids and total flavonoids in the respective supernatants were quantified spectrophotometrically according to the manufacturer’s instructions of the commercial assay kits (Alkaloid Content Assay Kit, Cat. No. M0122A; Flavonoid Content Assay Kit, Cat. No. M0118A; Suzhou Mengxi Biomedical Technology Co., Ltd., Suzhou, China). The specific assay principles are based on colorimetric reactions with appropriate chromogenic agents, and the absorbance was measured at the wavelengths specified in the kits’ protocols. Calibration curves were established using standard solutions provided in the kits for quantitative calculation.
This analysis was performed with three independent biological replicates per treatment.

2.9. Statistical Analysis

All data are presented as the mean ± standard deviation (SD) of at least three independent biological replicates. The data were processed using Microsoft Excel 2019 and subjected to one-way analysis of variance (ANOVA) followed by Tukey’s honestly significant difference (HSD) post hoc test for multiple comparisons in SPSS 19.0 software. Differences were considered statistically significant at p < 0.05.

3. Results

3.1. Effect of SiO2 NPs on the Yield of S. tonkinensis Medicinal Materials Under Drought Stress

The impact of SiO2 NPs spraying on the biomass of S. tonkinensis subjected to drought stress is illustrated in Table 1. Under drought stress (T4), there was a significant decrease in both the fresh and dry weights of the roots and leaves compared to normal moisture levels (T1). Specifically, the fresh weight dropped by 44.17% and 49.46%, respectively, while the dry weight decreased by 38.96% and 9.89%. Notably, the stems exhibited a different trend: the fresh weight decreased by 13.4% compared with T1, but the dry weight increased by 19.05%. Additionally, drought stress (T4) markedly elevated dry matter content of the roots, stems, and leaves of S. tonkinensis by 8.94%, 39.86%, and 78.28%, respectively, in comparison with T1.
When SiO2 NPs at a concentration of 100 mg/L (T5) were sprayed under drought stress, the dry matter content of the roots, stems, and leaves of S. tonkinensis peaked, showing increases of 19.11%, 59.67%, and 86.80% compared with normal moisture levels (T1). Furthermore, these dry matter contents were 9.34%, 14.16%, and 4.78% higher, respectively, than those observed under drought stress alone (T4). Simultaneously, the dry weight of the stems and leaves increased under drought stress when 100 mg/L SiO2 NPs were applied. Conversely, the application of 200 mg/L SiO2 NPs (T6) resulted in decreased fresh weight, dry weight, and dry matter content of the roots, stems, and leaves of S. tonkinensis, irrespective of whether the plants were subjected to normal moisture (T3) or drought stress (T6). As summarized in Table 1, the 100 mg/L dose (T5) under drought stress consistently yielded the most positive effects on biomass accumulation across all plant organs.

3.2. Effects of SiO2 NPs on Physiological and Biochemical Characteristics of S. tonkinensis Seedlings Under Drought Stress

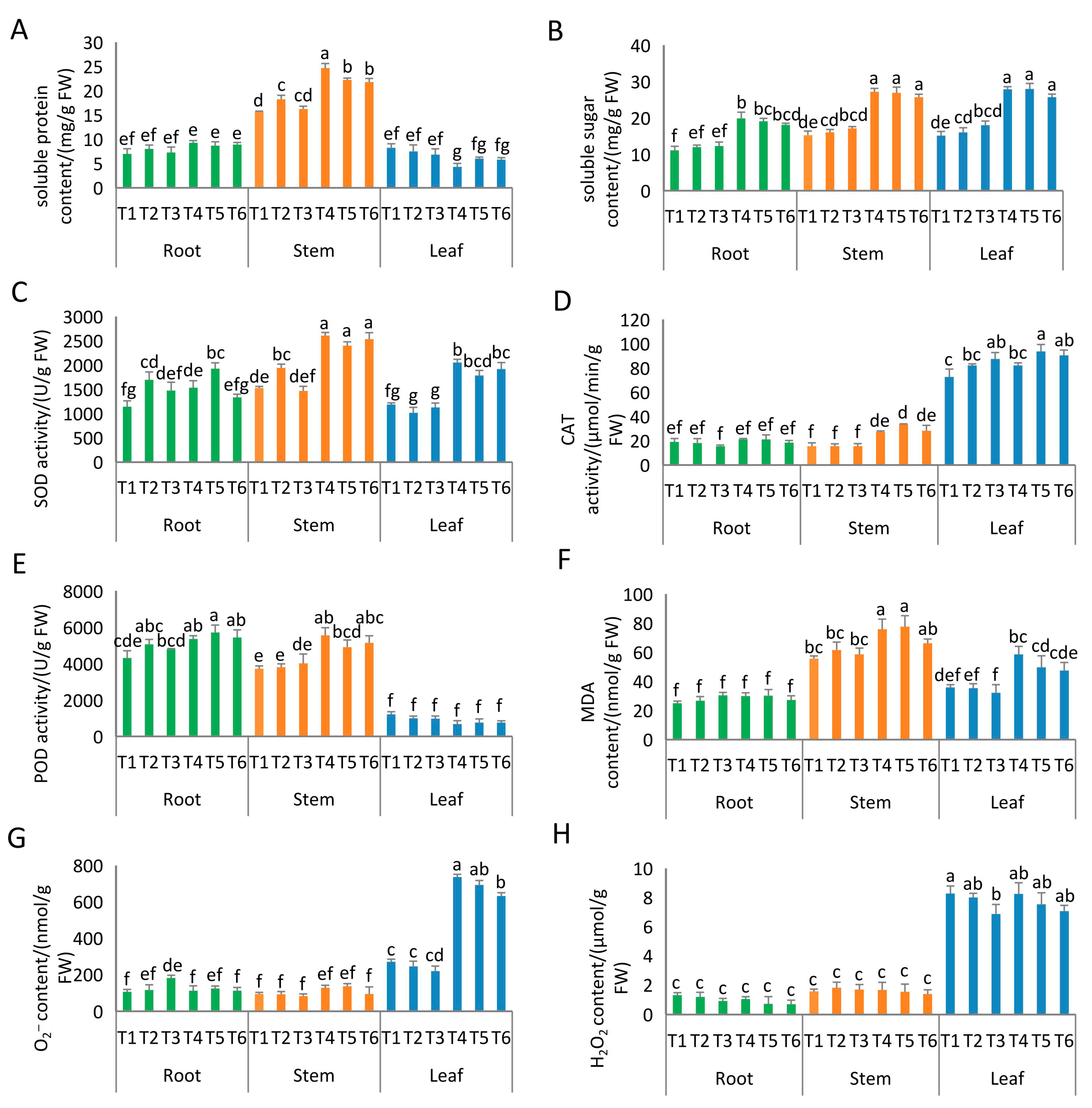
The influence of SiO2 NPs on the physiological and biochemical attributes of S. tonkinensis seedlings subjected to drought stress is depicted in Figure 1. Compared with T1, T4 (drought stress without SiO2 NPs) exhibited significant increases in the soluble sugar content, superoxide dismutase (SOD) activity, catalase (CAT) activity, malondialdehyde (MDA) content, and superoxide anion (O2) content in the roots, stems, and leaves of S. tonkinensis. Specifically, the roots showed increases of 78.84%, 34.03%, 10.10%, 19.86%, and 6.15%, respectively; the stems increased by 77.83%, 71.03%, 76.05%, 36.05%, and 36.04%, respectively, and the leaves increased by 84.67%, 73.67%, 13.16%, 62.74%, and 173.21%, respectively. Conversely, the soluble protein content, peroxidase (POD) activity, and hydrogen peroxide (H2O2) content in the leaves decreased by 47.54%, 44.23%, and 0.42%, respectively, compared with T1.
Under drought stress with SiO2 NPs applications (T5 and T6), the roots of S. tonkinensis exhibited changes in the content of soluble protein, soluble sugar, O2, H2O2, and the activities of CAT, POD, and MDA ranging from 0.82% to 33.72% compared with T4. Notably, the SOD activity in the roots under T5 treatment increased by 26.10% compared with T4, while the H2O2 content in the roots under T6 treatment decreased by 33.72% compared with T4. The change range of the above physiological and biochemical indicators in the stems of S. tonkinensis ranged from 5.33% to 26.19%, with the most significant change observed in O2 content under T6, which was 26.19% lower than T4. In the leaves, the changes in the above physiological and biochemical indicators of S. tonkinensis ranged from 0.06% to 38.24%, with the soluble protein content under T5 showing the largest increase at 38.24% compared with T4.

3.3. Effect of SiO2 NPs on the Quality of S. tonkinensis Medicinal Materials Under Drought Stress

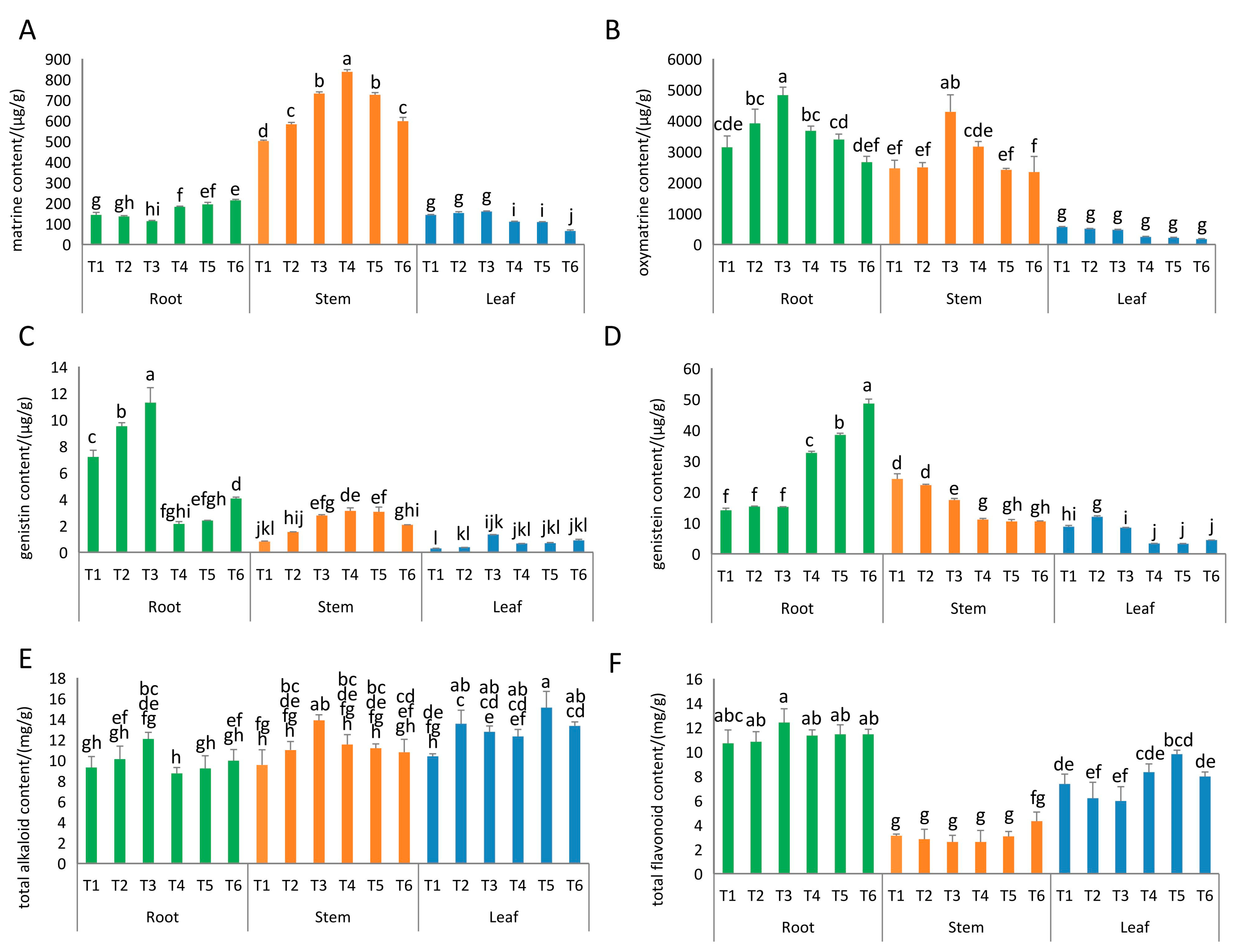
This study evaluated the effects of foliar application of SiO2 NPs on the content of bioactive compounds in S. tonkinensis under both normal moisture conditions (T1) and drought stress (T4) conditions (Figure 2). A striking finding was the remarkable 244.33% increase in genistein content in the roots under T6 (drought + 200 mg/L SiO2 NPs) compared to the well-watered control (T1), highlighting the high biotechnological potential of SiO2 NPs to elicit valuable secondary metabolites under stress. The active ingredients, including matrine, oxymatrine, genistin, genistein, total alkaloids, and total flavonoids, were analyzed in the roots, stems, and leaves of the plant. The distinct patterns of response between different plant organs and compounds are visually summarized in the integrative heatmap (Figure 3), which illustrates the relative variation in each compound across all treatments.
Under normal moisture (T1), the application of SiO2 NPs resulted in an increase in the contents of several active ingredients in the roots. Specifically, the contents of oxymatrine, genistin, genistein, total alkaloids, and total flavonoids were all enhanced with SiO2 NPs treatment. In contrast, under drought stress, while drought alone reduced these contents, the application of 200 mg/L SiO2 NPs mitigated this effect (T6), leading to higher levels of matrine (214.15 μg/g), genistin (4.06 μg/g), genistein (48.56 μg/g), total alkaloids (9.96 mg/g) and total flavonoids (11.44 mg/g) compared with the drought-stressed control (T4) without SiO2 NPs. Notably, the genistein content in the roots increased significantly by 244.33% compared with T1 and 48.66% compared with T4.
In the stems, the results were mixed. Under normal moisture (T1), an increasing concentration of SiO2 NPs led to higher levels of matrine, oxymatrine, genistin, and total alkaloids. When spraying 200 mg/L SiO2 NPs, the contents of oxymatrine (4289.98 μg/g) and total alkaloids (13.87 mg/g) reached the highest values. However, under drought stress (T4), the contents of matrine, oxymatrine, genistin, and total alkaloids decreased as the SiO2 NPs concentration increased.
In the leaves, under normal moisture (T1), the matrine and oxymatrine contents were largely unaffected by SiO2 NPs treatment. Under drought stress (T4), the genistin and genistein contents showed a slight increase with increasing SiO2 NPs concentration. The contents of total alkaloids and total flavonoids, on the other hand, exhibited a biphasic response, increasing first and then decreasing with higher SiO2 NPs concentrations. When spraying 100 mg/L SiO2 NPs, the contents of total alkaloids (15.11 mg/g) and total flavonoids (9.80 mg/g) reached the highest values.
In summary, SiO2 NPs treatment had beneficial effects on the active ingredient content of S. tonkinensis, particularly under drought stress, where it mitigated the decrease in active ingredients caused by water scarcity. The optimal SiO2 NPs concentration varied depending on the plant part and the specific active ingredient being analyzed.

4. Discussion

The present study demonstrates that foliar application of SiO2 NPs can effectively mitigate the adverse effects of drought stress on S. tonkinensis, with the optimal concentration being highly dependent on the target parameter—growth and physiological resilience or the accumulation of specific bioactive compounds. Our principal findings revealed that 100 mg/L SiO2 NPs was most effective in enhancing biomass and dry matter content under drought stress, whereas 200 mg/L SiO2 NPs was superior in boosting the content of several key medicinal alkaloids and flavonoids, most notably triggering a remarkable 244.33% increase in root genistein compared to the well-watered control.
Among the diverse range of technologies available, the utilization of nanoparticles has emerged as one of the most efficacious and sustainable strategies for augmenting plant growth and development. Numerous studies have validated the beneficial impacts of exogenously applied nanoparticles (NPs) on plant growth, physiology, and the production of secondary metabolites [17]. In this study, the application of 100 mg/L SiO2 NPs through spraying significantly enhanced the growth attributes of S. tonkinensis under drought stress conditions, which coincided with peak dry matter content of roots, stems, and leaves, as well as maximum dry weights of stems and leaves. Comparable results have been obtained in diverse plant species. For instance, the application of Si NPs on corn foliage mitigated the mineral nutrient imbalance induced by drought stress and led to increased corn weight [18]; similarly, SiO2 NPs have been found to promote root development in fir seedlings and elevate yields by boosting their biomass [19]. The facilitation of plant growth and development by SiO2 NPs may be attributed to its regulatory role in plant hormone balance and sugar metabolism [20]. We hypothesize that the differential effects of the two concentrations are linked to the degree of stress elicitation. The 100 mg/L concentration likely provides a “moderate stress” signal, sufficient to prime the plant’s defense and growth maintenance mechanisms without overwhelming its resources, thereby optimizing biomass production. In contrast, the higher 200 mg/L concentration may induce a “high stress” state, which, while potentially more detrimental to growth, acts as a stronger elicitor, diverting more resources towards the synthesis of defensive secondary metabolites like alkaloids and flavonoids.
SiO2 NPs also play a crucial role in enhancing plant drought resistance. Our study revealed that the spraying of SiO2 NPs not only improved the yield of S. tonkinensis but also altered its physiological and biochemical characteristics. Specifically, SiO2 NP application under drought stress increased the activities of superoxide dismutase (SOD), catalase (CAT), and peroxidase (POD) in the roots, as well as the soluble protein content in the leaves. Concurrently, it reduced the malondialdehyde (MDA), superoxide anion (O2), and hydrogen peroxide (H2O2) content in the leaves. Generally, severe drought stress triggers oxidative stress, leading to an increase in H2O2 and MDA levels [21]. However, the application of SiO2 NPs effectively decreased the H2O2 content, thereby mitigating the detrimental effects of oxidative stress [22]. Studies have indicated that drought stress elevates the activity of antioxidant enzymes such as CAT and SOD in the leaves of S. tonkinensis [1], and the spraying of SiO2 NPs further amplifies this activity [23]. The Si element acts as a free radical scavenger, eliminating the effects of reactive oxygen species (ROS), and serves as an antioxidant that boosts the activity of oxidative enzymes (CAT and SOD), scavenges H2O2 and MDA, and thereby enhances the antioxidant capacity of plants [24]. For example, SiO2 NPs bolster wheat’s resilience to water deficit conditions by balancing ROS production and fortifying the antioxidant system under drought stress [25]. The application of SiO2 NPs curbs the accumulation of MDA and H2O2, alleviates the damage caused by drought stress in rough chaff trees, and elevates their drought resistance [26]. Comparable findings have been reported in other drought-stressed plants when SiO2 NPs were applied. Specifically, SiO2 NPs enhance the drought tolerance of faba beans, nigella, wheat, rice, and other plants by reducing ROS production [27,28,29,30]. These studies reveal that the enhancement of antioxidant defense facilitated by SiO2 NPs represents a pivotal mechanism in safeguarding plants against drought-induced oxidative stress. The molecular underpinning of this elicitation likely involves ROS signaling itself. The moderate ROS burst triggered by NP-induced stress can act as a signal to activate transcription factors responsible for the upregulation of key genes in the phenylpropanoid and antioxidant pathways [31,32], leading to the enhanced biosynthesis of protective flavonoids and alkaloids observed in our study, particularly at the 200 mg/L dose.
In recent times, numerous scholars have explored the potential of NPs as novel elicitors for boosting the biosynthesis of bioactive compounds, suggesting that NPs can elevate the production of high-value secondary metabolites in plants [33,34]. In this research, the application of SiO2 NPs through spraying was found to augment the levels of oxymatrine, genistin, total alkaloids, and total flavonoids in the roots of S. tonkinensis. Notably, when the plants were sprayed with 200 mg/L SiO2 NPs under drought stress, the concentrations of matrine, genistin, genistein, total alkaloids, and total flavonoids in the roots surpassed those observed during drought conditions alone. Strikingly, the genistein content in the roots reached its peak value. The findings of this study align with the report by Zahedi et al. [35], which indicated that SiO2 NPs (at concentrations of 50 and 100 mg/L) not only activated the strawberry antioxidant system to counteract reactive oxygen species (ROS), but also facilitated the accumulation of total phenolic compounds and anthocyanins, ultimately enhancing the growth efficiency and yield of strawberries under both normal and drought stress conditions.
The suggestion of 100 mg/L SiO2 NPs as a cost-effective solution for mitigating yield loss in karst regions requires careful consideration of scaling and environmental factors. While promising, the field application of NPs necessitates future studies to address potential risks, including the long-term accumulation of NPs in the unique karst soil ecosystem, their impact on soil microbiota, and the overall environmental toxicology. The economic viability of large-scale NP production and application also remains a key factor for practical adoption.

5. Conclusions

In conclusion, this study demonstrates that SiO2 NPs can effectively modulate the drought stress response of S. tonkinensis, enhancing both its growth resilience and medicinal quality. The application of 100 mg/L SiO2 NPs was optimal for mitigating biomass loss, while 200 mg/L was most effective for eliciting the accumulation of key bioactive compounds, such as genistein, under drought conditions. This provides a potential nano-elicitation strategy for the conservation and cultivated production of this threatened medicinal plant.
However, this study has certain limitations, including its short duration and its conduct in a controlled pot environment, which may not fully replicate complex field conditions. The findings underscore the need for future research to (i) validate these results under field conditions in karst regions, (ii) investigate intermediate NP concentrations and their long-term effects, (iii) thoroughly assess the environmental fate and toxicity of SiO2 NPs in these ecosystems, and (iv) elucidate the precise molecular mechanisms underlying the differential elicitation of primary and secondary metabolism.

Author Contributions

Conceptualization, project administration, writing—review and editing, F.W.; data curation, funding acquisition, resources, writing—original draft, Y.L.; formal analysis, resources, writing—original draft, S.Q.; investigation, validation, supervision, G.W.; methodology, visualization, X.L. All authors have read and agreed to the published version of the manuscript.

Funding

This work was supported by Guangxi Natural Science Foundation (2025GXNSFAA069971), the Central Guidance on Local Science and Technology Development Fund of Guangxi (GKZY24212031), National Natural Science Foundation of China (82260747).

Data Availability Statement

Data are contained within the article.

Conflicts of Interest

The authors declare no conflicts of interest.

Abbreviations

SiO2 NPs: silicon nanoparticles; CK: control treatment; SD: drought stress; SOD: super oxidase dimutase; POD: peroxidase; CAT: catalase; MDA: malonydialdehyde; H2O2: hydrogen peroxide; O2: superoxide anion; HPLC: high-performance liquid chromatography.

References

  1. Liang, Y.; Wei, F.; Qin, S.S.; Li, M.J.; Hu, Y.; Lin, Y.; Wei, G.L.; Wei, K.H.; Miao, J.H.; Zhang, Z.Y. Sophora tonkinensis: Response and adaptation of physiological characteristics, functional traits, and secondary metabolites to drought stress. Plant Biol. 2023, 25, 1109–1120. [Google Scholar] [CrossRef]
  2. Chinese Pharmacopoeia Commission. Pharmacopoeia of the People’s Republic of China, Part I; Medical Science and Technology Press: Beijing, China, 2020. [Google Scholar]
  3. Chen, Z.P.; Mo, X.N.; Shen, C.; Jiang, L.F.; Cai, J.Y.; Wei, K.H. Research progress on extraction and biological activity of effective components of Sophora tonkinensis Gapnep. Appl. Chem. Ind. 2018, 47, 1237–1240. [Google Scholar]
  4. Fu, Y.M.; Yu, D.X.; Wang, S.N.; Yang, L.Y.; Deng, Z.P. Research progress on pharmacological effects and mechanisms of flavonoids from Sophorae tonkinensis Radix et Rhizoma. Chin. Tradit. Herb. Drugs 2022, 53, 6234–6244. [Google Scholar]
  5. Zhang, Y.; Hu, W.Z.; Chen, X.Z.; Peng, Y.B.; Song, L.Y.; Shi, Y.S. Bioactive quinolizidine alkaloids from Sophora tonkinensis. China J. Chin. Mater. Medica 2016, 41, 2261–2266. [Google Scholar] [CrossRef]
  6. Nie, A.Z.; Zhao, X.R.; Gao, M.M.; Miao, Y.H.; Li, X.; Gui, X.J.; Zhu, C.S.; Zhang, B. Discussion and consideration on safety of Sophorae tonkinensis Radix et Rhizoma and its rational use. Chin. Tradit. Herb. Drugs 2018, 49, 4152–4161. [Google Scholar]
  7. Zhou, X.; Bu, Y.Y.; Chen, J.H.; Huang, D.; Chen, S.R.; Li, L.B.; Huang, R.S. The effect of exogenous melatonin on the growth and physiological characteristics of Sophora tonkinensis seedlings under drought stress. J. Chin. Med. Mater. 2023, 46, 2408–2413. [Google Scholar]
  8. Zahedi, S.M.; Moharrami, F.; Sarikhani, S.; Padervand, M. Selenium and silica nanostructure-based recovery of strawberry plants subjected to drought stress. Sci. Rep. 2020, 10, 17672. [Google Scholar] [CrossRef] [PubMed]
  9. Imtiaz, M.; Rizwan, M.S.; Mushtaq, M.A.; Ashraf, M.; Shahzad, S.M.; Yousaf, B.; Saeed, D.A.; Rizwan, M.; Nawaz, M.A.; Mehmood, S.; et al. Silicon occurrence, uptake, transport and mechanisms of heavy metals, minerals and salinity enhanced tolerance in plants with future prospects: A review. J. Environ. Manag. 2016, 183, 521–529. [Google Scholar] [CrossRef] [PubMed]
  10. Yan, G.; Huang, Q.; Zhao, S.; Xu, Y.; He, Y.; Nikolic, M.; Nikolic, N.; Liang, Y.; Zhu, Z. Silicon nanoparticles in sustainable agriculture: Synthesis, absorption, and plant stress alleviation. Front. Plant Sci. 2024, 15, 1393458. [Google Scholar] [CrossRef]
  11. Wang, L.; Ning, C.; Pan, T.; Cai, K. Role of silica nanoparticles in abiotic and biotic stress tolerance in plants: A review. Int. J. Mol. Sci. 2022, 23, 1947. [Google Scholar] [CrossRef]
  12. Tripathi, D.K.; Singh, S.; Singh, V.P.; Prasad, S.M.; Dubey, N.K.; Chauhan, D.K. Silicon nanoparticles more effectively alleviated UV-B stress than silicon in wheat (Triticum aestivum) seedlings. Plant Physiol. Biochem. 2017, 110, 70–81. [Google Scholar] [CrossRef] [PubMed]
  13. Zhuang, D.W.; Li, H.B.; Wang, Y.Q.; Zhou, D.M.; Zhao, L.J. Nanoparticle-elicited eustress intensifies cucumber plant adaptation to water deficit. Environ. Sci. Technol. 2025, 59, 3613–3623. [Google Scholar] [CrossRef] [PubMed]
  14. Zhu, Y.X.; Xi, K.Y.; Ma, H.H.; Yang, P.G.; Wang, Y.H.; Li, H.L.; Yin, J.L.; Qin, M.L.; Liu, Y.Q. Exogenous Silica Nanoparticles improve drought tolerance in ginger by modulating the water relationship. Environ. Sci. Nano 2024, 11, 1259–1270. [Google Scholar] [CrossRef]
  15. Ukeda, H.; Kawana, D.; Maeda, S.; Sawamura, M. Spectrophotometric Assay for Superoxide Dismutase Based on the Reduction of Highly Water-soluble Tetrazolium Salts by Xanthine-Xanthine Oxidase. Biosci. Biotechnol. Biochem. 1999, 63, 485–488. [Google Scholar] [CrossRef]
  16. Xu, G.X.; Xiong, X.F.; Wu, C.Y.; Zhang, C.P.; Sha, J. Simultaneous determination of 5 isoflavones in Radix puerariae by HPLC. Northwest Pharm. J. 2020, 35, 29–32. [Google Scholar]
  17. Uddin, M.; Bhat, U.H.; Singh, S.; Singh, S.; Chishti, A.S.; Khan, M.M.A. Combined application of SiO2 and TiO2 nanoparticles enhances growth characters, physiological attributes and essential oil production of Coleus aromatics Benth. Heliyon 2023, 9, e21646. [Google Scholar] [CrossRef]
  18. Aqaei, P.; Weisany, W.; Diyanat, M.; Razmi, J.; Struik, P.C. Response of maize (Zea mays L.) to potassium nano-silica application under drought stress. J. Plant Nutr. 2020, 43, 1205–1216. [Google Scholar] [CrossRef]
  19. Liu, C.; Xu, Y.Z.; Du, C.Q.; Liu, L.P.; Wu, C. Effects of SiO2 nanoparticles on growth and development of Cunninghamia lanceolata (Lamb.) Hook. J. Cent. South Univ. For. Technol. 2020, 40, 34–43. [Google Scholar]
  20. Li, Y.; Xi, K.; Liu, X.; Han, S.; Han, X.; Li, G.; Yang, L.; Ma, D.; Fang, Z.; Gong, S.; et al. Silica nanoparticles promote wheat growth by mediating hormones and sugar metabolism. J. Nanobiotechnol. 2023, 21, 2. [Google Scholar] [CrossRef]
  21. Hussain, H.A.; Men, S.; Hussain, S.; Chen, Y.; Ali, S.; Zhang, S.; Zhang, K.; Li, Y.; Xu, Q.; Liao, C.; et al. Interactive effects of drought and heat stresses on morpho-physiological attributes, yield, nutrient uptake and oxidative status in maize hybrids. Sci. Rep. 2019, 9, 3890. [Google Scholar] [CrossRef]
  22. Hassan, I.F.; Ajaj, R.; Gaballah, M.S.; Ogbaga, C.C.; Kalaji, H.M.; Hatterman-Valenti, H.M.; Alam-Eldein, S.M. Foliar Application of Nano-Silicon Improves the Physiological and Biochemical Characteristics of ‘Kalamata’ Olive Subjected to Deficit Irrigation in a Semi-Arid Climate. Plants 2022, 11, 1561. [Google Scholar] [CrossRef]
  23. Faisal, M.; Ozcinar, A.B.; Karadeniz, E.; Faizan, M.; Sultan, H.; Alatar, A.A. Supplementation of silicon oxide nanoparticles mitigates the damaging effects of arsenic stress on photosynthesis, antioxidant mechanism and nitrogen metabolism in Brassica juncea. Sci. Rep. 2025, 15, 21476. [Google Scholar] [CrossRef]
  24. Tang, H.; Liu, Y.; Gong, X.; Zeng, G.; Zheng, B.; Wang, D.; Sun, Z.; Zhou, L.; Zeng, X. Effects of selenium and silicon on enhancing antioxidative capacity in ramie (Boehmeria nivea (L.) Gaud.) under cadmium stress. Environ. Sci. Pollut. Res. Int. 2015, 22, 9999–10008. [Google Scholar] [CrossRef]
  25. Rai-Kalal, P.; Tomar, R.S.; Jajoo, A. Seed nanopriming by silicon oxide improves drought stress alleviation potential in wheat plants. Funct. Plant Biol. 2021, 48, 905–915. [Google Scholar] [CrossRef]
  26. Chen, M.H.; Jiao, S.Q.; Fan, J.M.; Geng, X.N.; Xie, L.H.; Cheng, S.P. Physiological and transcriptome analysis of the effect of nano silica on E. macrophylla. Wall under drought stress. Mol. Plant Breed. 2023. Available online: https://link.cnki.net/urlid/46.1068.S.20231219.1319.025 (accessed on 19 January 2024).
  27. Desoky, E.M.; Mansour, E.; El-Sobky, E.E.A.; Abdul-Hamid, M.I.; Taha, T.F.; Elakkad, H.A.; Arnaout, S.M.A.I.; Eid, R.S.M.; El-Tarabily, K.A.; Yasin, M.A.T. Physio-biochemical and agronomic responses of faba beans to exogenously applied nano-silicon under drought stress conditions. Front. Plant Sci. 2021, 12, 637783. [Google Scholar] [CrossRef] [PubMed]
  28. Bayati, P.; Karimmojeni, H.; Razmjoo, J.; Pucci, M.; Abate, G.; Baldwin, T.C.; Mastinu, A. Physiological, Biochemical, and Agronomic Trait Responses of Nigella sativa Genotypes to Water Stress. Horticulturae 2022, 8, 193. [Google Scholar] [CrossRef]
  29. Raza, M.; Zulfiqar, B.; Iqbal, R.; Muzamil, M.N.; Aslam, M.U.; Muhammad, F.; Amin, J.; Aslam, H.; Ibrahim, M.A.; Uzair, M.; et al. Morpho-physiological and biochemical response of wheat to various treatments of silicon nano-particles under drought stress conditions. Sci. Rep. 2023, 13, 2700. [Google Scholar] [CrossRef] [PubMed]
  30. Abd-El-Aty, M.S.; Kamara, M.M.; Elgamal, W.H.; Mesbah, M.I.; Abomarzoka, E.A.; Alwutayd, K.M.; Mansour, E.; Ben, A.I.; Behiry, S.I.; Almoshadak, A.S.; et al. Exogenous application of nano-silicon, potassium sulfate, or proline enhances physiological parameters, antioxidant enzyme activities, and agronomic traits of diverse rice genotypes under water deficit conditions. Heliyon 2024, 10, e26077. [Google Scholar] [CrossRef]
  31. Mittler, R. ROS are good. Trends Plant Sci. 2017, 22, 11–19. [Google Scholar] [CrossRef]
  32. Jadoon, L.; Gul, A.; Fatima, H.; Babar, M.M. Nano-elicitation and hydroponics: A synergism to enhance plant productivity and secondary metabolism. Planta 2024, 259, 80. [Google Scholar] [CrossRef] [PubMed]
  33. Lala, S. Nanoparticles as elicitors and harvesters of economically important secondary metabolites in higher plants: A review. IET Nanobiotechnol. 2021, 15, 28–57. [Google Scholar] [CrossRef]
  34. Rivero-Montejo, S.D.J.; Vargas-Hernandez, M.; Torres-Pacheco, I. Nanoparticles as novel elicitors to improve bioactive compounds in plants. Agriculture 2021, 11, 134. [Google Scholar] [CrossRef]
  35. Zahedi, S.M.; Karimi, M.; Teixeira Da Silva, J.A. The use of nanotechnology to increase quality and yield of fruit crops. J. Sci. Food Agric. 2020, 100, 25–31. [Google Scholar] [CrossRef] [PubMed]
Figure 1. Effect of SiO2 NPs on physiological indicators of roots, stems, and leaves of S. tonkinensis under drought stress. Values represent mean ± SD (n = 3). Different lowercase letters above bars indicate statistically significant differences among treatments within each plant organ as determined by one-way ANOVA followed by Tukey’s HSD test (p < 0.05).
Figure 1. Effect of SiO2 NPs on physiological indicators of roots, stems, and leaves of S. tonkinensis under drought stress. Values represent mean ± SD (n = 3). Different lowercase letters above bars indicate statistically significant differences among treatments within each plant organ as determined by one-way ANOVA followed by Tukey’s HSD test (p < 0.05).
Agronomy 15 02171 g001
Figure 2. Effect of SiO2 NPs on the content of active ingredients in the roots, stems, and leaves of S. tonkinensis under drought stress. Values represent mean ± SD (n = 3). Different lowercase letters above bars indicate statistically significant differences among treatments within each plant organ as determined by one-way ANOVA followed by Tukey’s HSD test (p < 0.05).
Figure 2. Effect of SiO2 NPs on the content of active ingredients in the roots, stems, and leaves of S. tonkinensis under drought stress. Values represent mean ± SD (n = 3). Different lowercase letters above bars indicate statistically significant differences among treatments within each plant organ as determined by one-way ANOVA followed by Tukey’s HSD test (p < 0.05).
Agronomy 15 02171 g002
Figure 3. Heatmap of relative changes in bioactive compound content across treatments and plant tissues.
Figure 3. Heatmap of relative changes in bioactive compound content across treatments and plant tissues.
Agronomy 15 02171 g003
Table 1. Effect of SiO2 NPs on root, stem, and leaf biomass of S. tonkinensis under drought stress.
Table 1. Effect of SiO2 NPs on root, stem, and leaf biomass of S. tonkinensis under drought stress.
TissuesTreatmentFresh Weight (g)Dry Weight (g)Dry Matter Content (%)
RootT15.32 ± 0.50 d0.77 ± 0.03 e14.54 ± 1.17 hi
T24.50 ± 0.21 de0.60 ± 0.02 fg13.35 ± 0.74 hi
T34.09 ± 0.21 ef0.41 ± 0.02 hi10.02 ± 0.01 i
T42.97 ± 0.21 gh0.47 ± 0.04 ghi15.84 ± 1.01 ghi
T53.08 ± 0.16 fgh0.53 ± 0.08 gh17.32 ± 3.34 fgh
T62.96 ± 0.27 gh0.36 ± 0.03 i12.16 ± 0.19 hi
StemT13.88 ± 0.30 efg0.84 ± 0.07 e21.65 ± 0.09 efg
T23.82 ± 0.30 efg0.81 ± 0.09 e21.37 ± 3.6 fg
T33.44 ± 0.37 fgh0.70 ± 0.03 ef20.52 ± 2.5 fg
T43.36 ± 0.59 fgh1.00 ± 0.02 d30.28 ± 4.44 cd
T53.10 ± 0.15 fgh1.07 ± 0.04 d34.57 ± 2.14 bc
T62.60 ± 0.19 h0.71 ± 0.08 ef27.25 ± 1.34 de
LeafT112.98 ± 0.65 a2.83 ± 0.08 a21.82 ± 0.45 ef
T210.75 ± 0.37 b2.40 ± 0.04 b22.34 ± 0.48 ef
T39.93 ± 0.37 b2.20 ± 0.02 c22.17 ± 0.75 ef
T46.56 ± 0.25 c2.55 ± 0.03 b38.9 ± 1.21 ab
T56.65 ± 0.13 c2.71 ± 0.06 a40.76 ± 0.76 a
T66.68 ± 0.30 c2.19 ± 0.03 c32.84 ± 1.91 cd
Values represent the mean ± standard deviation (SD) of three independent biological replicates (N = 3). Different lowercase letters within a column indicate statistically significant differences among treatments for each parameter as determined by one-way ANOVA followed by Tukey’s HSD test (p < 0.05).
Disclaimer/Publisher’s Note: The statements, opinions and data contained in all publications are solely those of the individual author(s) and contributor(s) and not of MDPI and/or the editor(s). MDPI and/or the editor(s) disclaim responsibility for any injury to people or property resulting from any ideas, methods, instructions or products referred to in the content.

Share and Cite

MDPI and ACS Style

Liang, Y.; Qin, S.; Wei, G.; Liang, X.; Wei, F. Effects of SiO2 Nanoparticles on the Yield and Quality of Sophora tonkinensis Under Drought Stress. Agronomy 2025, 15, 2171. https://doi.org/10.3390/agronomy15092171

AMA Style

Liang Y, Qin S, Wei G, Liang X, Wei F. Effects of SiO2 Nanoparticles on the Yield and Quality of Sophora tonkinensis Under Drought Stress. Agronomy. 2025; 15(9):2171. https://doi.org/10.3390/agronomy15092171

Chicago/Turabian Style

Liang, Ying, Shuangshuang Qin, Guili Wei, Ximei Liang, and Fan Wei. 2025. "Effects of SiO2 Nanoparticles on the Yield and Quality of Sophora tonkinensis Under Drought Stress" Agronomy 15, no. 9: 2171. https://doi.org/10.3390/agronomy15092171

APA Style

Liang, Y., Qin, S., Wei, G., Liang, X., & Wei, F. (2025). Effects of SiO2 Nanoparticles on the Yield and Quality of Sophora tonkinensis Under Drought Stress. Agronomy, 15(9), 2171. https://doi.org/10.3390/agronomy15092171

Note that from the first issue of 2016, this journal uses article numbers instead of page numbers. See further details here.

Article Metrics

Back to TopTop