Cassava–Maize Rotation Improves Soil Quality and Microbial Gene Profiles Compared to Continuous Cassava Cropping
Abstract
1. Introduction
2. Materials and Methods
2.1. Site Description and Sample Collection
2.2. DNA Extraction and Metagenomic Sequencing
2.3. Determination of Soil Physicochemical Properties and Enzymatic Activities
2.4. Statistical Analysis
3. Results
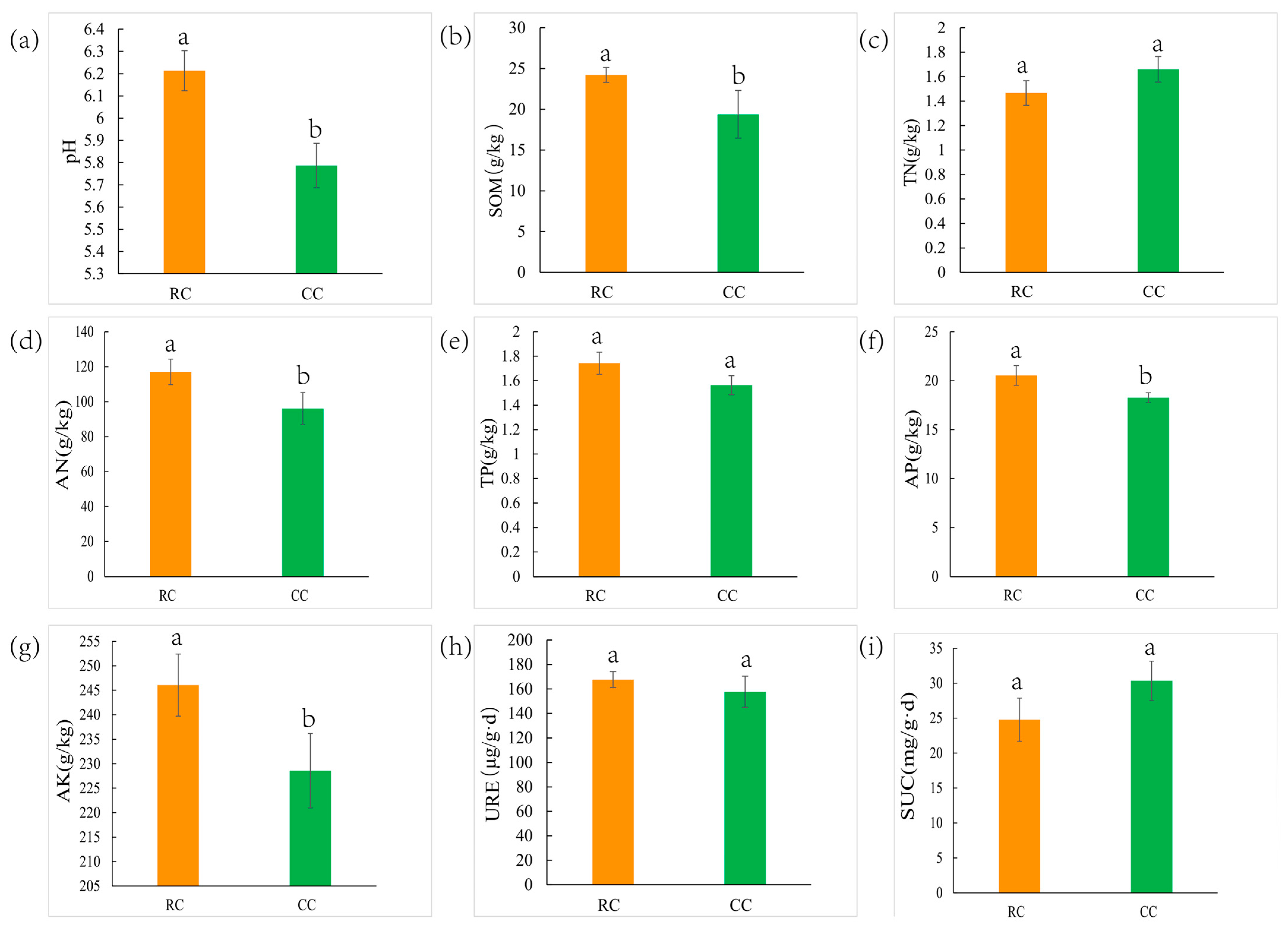
3.1. Soil Physicochemical Properties and Enzymatic Activities
3.2. Metagenomic Sequencing Information and the Composition of Soil Microbial Communities
3.3. Annotation and Classification of Soil Microbial Functions
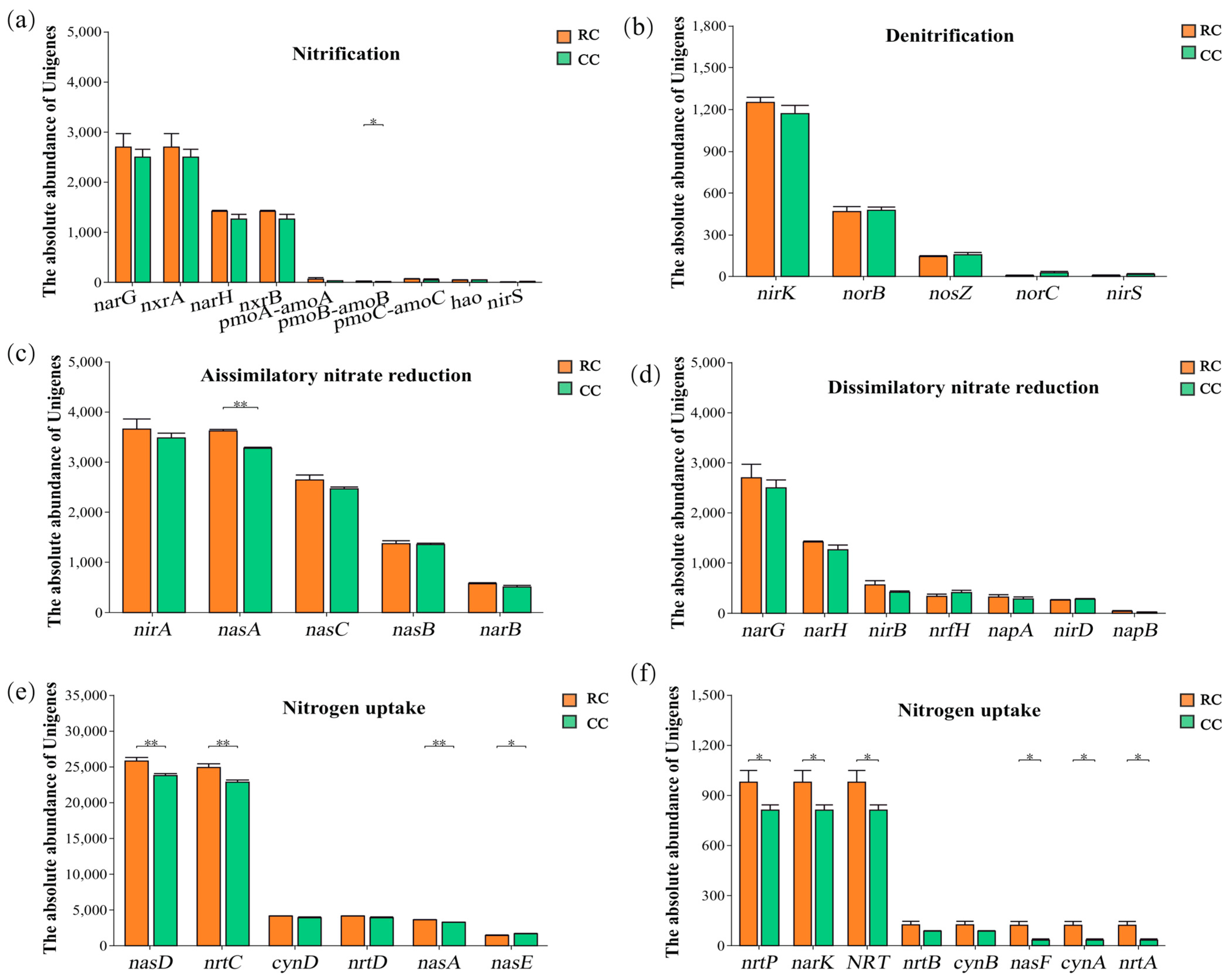
3.4. Response of Functional Groups Involved in Nitrogen Cycling to Different Farming Systems
3.5. Response of Functional Groups Involved in Carbon Cycling to Different Farming Systems
3.6. Correlation Between Physicochemical Properties, Soil Enzyme Activities, and Car Bon and Nitrogen Cycle-Related Genes
3.7. Relationship Between Soil Physicochemical Properties and Microbial Community
4. Discussion
4.1. Impact of Continuous Cropping on Soil Physicochemical Properties
4.2. Metagenomics Reveals Soil Microbial Community Composition in Different Farming Systems
4.3. Functional Annotation and Taxonomic Classification of Soil Microbial Communities in Different Cropping Systems
4.4. Effects of Farming Systems on Microbial Nitrogen and Carbon Cycling Genes
5. Conclusions
Supplementary Materials
Author Contributions
Funding
Data Availability Statement
Conflicts of Interest
References
- Muiruri, S.K.; Ntui, V.O.; Tripathi, L.; Tripathi, J.N. Mechanisms and approaches towards enhanced drought tolerance in cassava (Manihot esculenta). Curr. Plant Biol. 2021, 28, 100227. [Google Scholar] [CrossRef]
- Zhu, Y.; Luo, X.; Wei, M.; Khan, A.; Munsif, F.; Huang, T.; Pan, X.; Shan, Z. Antioxidant enzymatic activity and its related genes expression in cassava leaves at different growth stages play key roles in sustaining yield and drought tolerance under moisture stress. J. Plant Growth Regul. 2020, 39, 594–607. [Google Scholar] [CrossRef]
- Borku, A.W.; Tora, T.T.; Masha, M. Cassava in focus: A comprehensive literature review, its production, processing landscape, and multi-dimensional benefits to society. Food Chem. Adv. 2025, 7, 100945. [Google Scholar] [CrossRef]
- Hasegawa, T.; Sands, R.D.; Brunelle, T.; Cui, Y.; Frank, S.; Fujimori, S.; Popp, A. Food security under high bioenergy demand toward long-term climate goals. Clim. Change 2020, 163, 1587–1601. [Google Scholar] [CrossRef]
- Zhu, L.; Yi, H.; Su, H.; Guikema, S.; Liu, B. Impacts of climate change on cassava yield and lifecycle energy and greenhouse gas performance of cassava ethanol systems: An example from Guangxi Province, China. J. Environ. Manag. 2023, 347, 119162. [Google Scholar] [CrossRef] [PubMed]
- Li, L.; Shen, Z.; Qin, F.; Yang, W.; Zhou, J.; Yang, T.; Han, X.; Wang, Z.; Wei, M. Effects of tillage and N applications on the cassava rhizosphere fungal communities. Agronomy 2023, 13, 237. [Google Scholar] [CrossRef]
- Yang, Y.; Li, C.; Yang, Z.; Yu, T.; Jiang, H.; Han, M.; Liu, X.; Wang, J.; Zhang, Q. Application of cadmium prediction models for rice and maize in the safe utilization of farmland associated with tin mining in Hezhou, Guangxi, China. Environ. Pollut. 2021, 285, 117202. [Google Scholar] [CrossRef] [PubMed]
- Zhao, Y.; Qin, X.M.; Tian, X.P.; Yang, T.; Deng, R.; Huang, J. Effects of continuous cropping of Pinellia ternata (Thunb.) Breit. on soil physicochemical properties, enzyme activities, microbial communities and functional genes. Chem. Biol. Technol. Agric. 2021, 8, 43. [Google Scholar] [CrossRef]
- Liao, J.; Xia, P. Continuous cropping obstacles of medicinal plants: Focus on the plant-soil-microbe interaction system in the rhizosphere. Sci. Hortic. 2024, 328, 112927. [Google Scholar] [CrossRef]
- Gan, T.; Yuan, Z.; Gustave, W.; Luan, T.; He, L.; Jia, Z.; Zhao, X.; Wang, S.; Deng, Y.; Zhang, X.; et al. Challenges of continuous cropping in Rehmannia glutinosa: Mechanisms and mitigation measures. Soil Environ. Health 2025, 3, 100144. [Google Scholar] [CrossRef]
- Huang, Y.Y.; Peng, X.H.; Ou, G.N.; Peng, X.X.; Gan, L.; Huang, Y.H.; Yang, T.Y.; Qin, F.Y.; Shen, Z.Y.; Wei, M.G. Effects of continuous cropping on fungal community structure succession in rhizosphere and non-rhizosphere soils of cassava. Guihaia 2024, 44, 1864–1877. (In Chinese) [Google Scholar]
- Peng, X.H.; Li, L.W.; Ou, G.N.; Huang, Y.H.; Peng, X.X.; Yang, T.Y.; Gan, L.; Shen, Z.Y.; Wei, M.G. Effects of continuous cropping of cassava on soil physicochemical properties and bacterial community succession. J. South. Agric. 2024, 55, 942–953. (In Chinese) [Google Scholar]
- Chen, H.; Ruan, L.; Cao, S.; He, W.; Yang, H.; Liang, Z.; Li, H.; Wei, W.; Huang, Z.; Lan, X. Cassava-soybean intercropping alleviates continuous cassava cropping obstacles by improving its rhizosphere microecology. Front. Microbiol. 2025, 16, 1531212. [Google Scholar] [CrossRef] [PubMed]
- Liu, S.T.; Luo, X.L.; Wu, M.Y.; Tang, Z.P.; Wang, C.C.; Zhang, J.L. Comparison of cassava yield and soil microbial characteristics under continuous cropping and rotation. Chin. J. Trop. Crops 2019, 40, 1468–1473. (In Chinese) [Google Scholar]
- Guseva, K.; Darcy, S.; Simon, E.; Alteio, L.V.; Montesinos-Navarro, A.; Kaiser, C. From diversity to complexity: Microbial networks in soils. Soil Boil. Biochem. 2022, 169, 108604. [Google Scholar] [CrossRef]
- Xie, Q.H.; Yao, X.B.; Yang, Y.; Li, D.J.; Qi, J.Y. Effects of deep application of fertilizer on soil carbon and nitrogen functions in rice paddies. Agronomy 2025, 15, 938. [Google Scholar] [CrossRef]
- Sousa, J.; Silvério, S.C.; Costa, A.M.A.; Rodrigues, L.R. Metagenomic approaches as a tool to unravel promising biocatalysts from natural resources: Soil and Water. Catalysts 2022, 12, 385. [Google Scholar] [CrossRef]
- Temperton, B.; Giovannoni, S.J. Metagenomics: Microbial diversity through a scratched lens. Curr. Opin. Microbiol. 2012, 15, 605–612. [Google Scholar] [CrossRef] [PubMed]
- Xia, Q.; Rufty, T.; Shi, W. Soil microbial diversity and composition: Links to soil texture and associated properties. Soil Boil. Biochem. 2020, 149, 107953. [Google Scholar] [CrossRef]
- Clark, I.M.; Hughes, D.J.; Fu, Q.; Abadie, M.; Hirsch, P.R. Metagenomic approaches reveal differences in genetic diversity and relative abundance of nitrifying bacteria and archaea in contrasting soils. Sci. Rep. 2021, 11, 15905. [Google Scholar] [CrossRef]
- Li, Y.; Chang, S.X.; Tian, L.; Zhang, Q. Conservation agriculture practices increase soil microbial biomass carbon and nitrogen in agricultural soils: A global meta-analysis. Soil Boil. Biochem. 2018, 121, 50–58. [Google Scholar] [CrossRef]
- Du, L.; Zhong, H.; Guo, X.; Li, H.; Xia, J.; Chen, Q. Nitrogen fertilization and soil nitrogen cycling: Unraveling the links among multiple environmental factors, functional genes, and transformation rates. Sci. Total Environ. 2024, 951, 175561. [Google Scholar] [CrossRef]
- Shang, S.; Song, M.; Wang, C.; Dou, X.; Wang, J.; Liu, F.; Zhu, C.; Wang, S. Decrease of nitrogen cycle gene abundance and promotion of soil microbial-N saturation restrain increases in N2O emissions in a temperate forest with long-term nitrogen addition. Chemosphere 2023, 338, 139378. [Google Scholar] [CrossRef]
- Bossolani, J.W.; Crusciol, C.A.C.; Merloti, L.F.; Moretti, L.G.; Costa, N.R.; Tsai, S.M.; Kuramae, E.E. Long-term lime and gypsum amendment increase nitrogen fixation and decrease nitrification and denitrification gene abundances in the rhizosphere and soil in a tropical no-till intercropping system. Geoderma 2020, 375, 114476. [Google Scholar] [CrossRef]
- Liu, T.; Awasthi, M.K.; Awasthi, S.K.; Duan, Y.M.; Chen, H.Y.; Zhang, Z.Q. Effects of clay on nitrogen cycle related functional genes abundance during chicken manure composting. Bioresour. Technol. 2019, 291, 121886. [Google Scholar] [CrossRef]
- Soussana, J.F.; Lemaire, G. Coupling carbon and nitrogen cycles for environmentally sustainable intensification of grasslands and crop-livestock systems. Agric. Ecosyst. Environ. 2014, 190, 9–17. [Google Scholar] [CrossRef]
- Li, K.; Lin, H.; Han, M.; Yang, L. Soil metagenomics reveals the effect of nitrogen on soil microbial communities and nitrogen-cycle functional genes in the rhizosphere of Panax ginseng. Front. Plant Sci. 2024, 15, 1411073. [Google Scholar] [CrossRef] [PubMed]
- Spaargaren, O.C.; Deckers, J. The World Reference Base for Soil Resources. In Soils of Tropical Forest Ecosystems; Schulte, A., Ruhiyat, D., Eds.; Springer: Berlin/Heidelberg, Germany, 1998. [Google Scholar]
- Bao, S. Soil and Agricultural Chemistry Analysis, 3rd ed.; China Agriculture Press: Beijing, China, 2000. [Google Scholar]
- Wang, H.; Wu, J.; Li, G.; Yan, L. Changes in soil carbon fractions and enzyme activities under different vegetation types of the northern Loess Plateau. Ecol. Evol. 2020, 10, 12211–12223. [Google Scholar] [CrossRef] [PubMed]
- Baldi, E. Soil-plant interaction: Effects on plant growth and soil biodiversity. Agronomy 2021, 11, 2378. [Google Scholar] [CrossRef]
- Yin, X.; Song, Y.; Shen, J.; Sun, L.; Fan, K.; Chen, H.; Sun, K.; Ding, Z.; Wang, Y. The role of rhizosphere microbial community structure in the growth and development of different tea cultivars. Appl. Soil Ecol. 2025, 206, 105817. [Google Scholar] [CrossRef]
- Thepbandit, W.; Athinuwat, D. Rhizosphere microorganisms supply availability of soil nutrients and induce plant defense. Microorganisms 2024, 12, 558. [Google Scholar] [CrossRef] [PubMed]
- Arunrat, N.; Sansupa, C.; Sereenonchai, S.; Hatano, R. Stability of soil bacteria in undisturbed soil and continuous maize cultivation in Northern Thailand. Front. Microbiol. 2023, 14, 1285445. [Google Scholar] [CrossRef] [PubMed]
- Song, J.; Han, Y.; Bai, B.; Jin, S.; He, Q.; Ren, J. Diversity of arbuscular mycorrhizal fungi in rhizosphere soils of the Chinese medicinal herb Sophora flavescens Ait. Soil Till. Res. 2019, 195, 104423. [Google Scholar] [CrossRef]
- Zhang, Y.K.; Biswas, A.; Adamchuk, V.I. Implementation of a sigmoid depth function to describe change of soil pH with depth. Geoderma 2017, 289, 1–10. [Google Scholar] [CrossRef]
- Zhang, Y.; Ye, C.; Su, Y.; Peng, W.; Lu, R.; Liu, Y.; Huang, H.; He, X.; Yang, M.; Zhu, S. Soil Acidification caused by excessive application of nitrogen fertilizer aggravates soil-borne diseases: Evidence from literature review and field trials. Agric. Ecosyst. Environ. 2022, 340, 108176. [Google Scholar] [CrossRef]
- Li, S.; Liu, Y.; Wang, J.; Yang, L.; Zhang, S.; Xu, C.; Ding, W. Soil acidification aggravates the occurrence of bacterial wilt in South China. Front. Microbiol. 2017, 8, 703. [Google Scholar] [CrossRef]
- Tanaka, S.; Kendawang, J.J.; Yoshida, N.; Shibata, K.; Jee, A.; Tanaka, K.; Ninomiya, I.; Sakurai, K. Effects of shifting cultivation on soil ecosystems in Sarawak, Malaysia—IV. Chemical properties of the soils and runoff water at Niah and Bakam experimental sites. J. Soil Sci. Plant Nutr. 2005, 51, 525–533. [Google Scholar] [CrossRef]
- Oldfield, E.E.; Wood, S.A.; Palm, C.A.; Bradford, M.A. How much SOM is needed for sustainable agriculture? Front. Ecol. Environ. 2015, 13, 527. [Google Scholar] [CrossRef]
- Cui, F.Y.; Li, Q.; Shang, S.T.; Hou, X.F.; Miao, H.C.; Chen, X.L. Effects of cotton peanut rotation on crop yield soil nutrients and microbial diversity. Sci. Rep. 2024, 14, 2774. [Google Scholar] [CrossRef]
- Kuht, J.; Eremeev, V.; Talgre, L.; Loit, E.; Mäeorg, E.; Margus, K.; Runno-Paurson, E.; Madsen, H.; Luik, A. Soil microbial activity in different cropping systems under long-term crop rotation. Agriculture 2022, 12, 532. [Google Scholar] [CrossRef]
- Griffiths, B.S.; Hallett, P.D.; Kuan, H.L.; Gregory, A.S.; Watts, C.W.; Whitmore, A.P. Functional resilience of soil microbial communities depends on both soil structure and microbial community composition. Biol. Fert. Soils 2008, 44, 745–754. [Google Scholar] [CrossRef]
- Liang, C.; Jesus, E.D.; Duncan, D.S.; Jackson, R.D.; Tiedje, J.M.; Balser, T.C. Soil microbial communities under model biofuel cropping systems in southern Wisconsin, USA: Impact of crop species and soil properties. Appl. Soil Ecol. 2012, 54, 24–31. [Google Scholar] [CrossRef]
- Yan, H.; Yang, F.; Gao, J.; Peng, Z.; Chen, W. Subsoil microbial community responses to air exposure and legume growth depend on soil properties across different depths. Sci. Rep. 2019, 9, 18536. [Google Scholar] [CrossRef] [PubMed]
- Liu, L.; Wu, J.H.; Liu, M.P.; Wang, M.L.; Huo, Y.W.; Wei, F.G.; Wu, M. Microbial communities in continuous panax notoginseng cropping soil. Agronomy 2025, 15, 486. [Google Scholar] [CrossRef]
- Qiu, D.Y.; Wang, X.; Jiang, K.; Gong, G.X.; Bao, F. Effect of microbial fertilizers on soil microbial community structure in rotating and continuous cropping Glycyrrhiza uralensis. Front. Plant Sci. 2025, 15, 1452090. [Google Scholar] [CrossRef]
- Li, H.L.; Yang, Y.; Lei, J.X.; Gou, W.K.; Crabbe, M.J.C.; Qi, P. Effects of continuous cropping of codonopsis pilosula on rhizosphere soil microbial community structure and metabolomics. Agronomy 2024, 14, 2014. [Google Scholar] [CrossRef]
- Zhang, J.F.; Luo, S.Y.; Yao, Z.M.; Zhang, J.F.; Chen, Y.L.; Sun, Y.; Wang, E.Z.; Ji, L.; Li, Y.X.; Tian, L.; et al. Effect of different types of continuous cropping on microbial communities and physicochemical properties of black soils. Diversity 2022, 14, 954. [Google Scholar] [CrossRef]
- Zheng, W.; Fan, X.; Chen, H.; Ye, M.; Yin, C.; Wu, C.; Liang, Y. The response patterns of r- and K-strategist bacteria to long-term organic and inorganic fertilization regimes within the microbial food web are closely linked to rice production. Sci. Total Environ. 2024, 942, 173681. [Google Scholar] [CrossRef] [PubMed]
- Jiang, S.; Xing, Y.J.; Liu, G.C.; Hu, C.Y.; Wang, X.C.; Yan, G.Y.; Wang, Q.G. Changes in soil bacterial and fungal community composition and functional groups during the succession of boreal forests. Soil Boil. Biochem. 2021, 161, 108393. [Google Scholar] [CrossRef]
- Bao, T.; Deng, S.; Yu, K.; Li, W.; Dong, A. Metagenomic insights into seasonal variations in the soil microbial community and function in a Larix gmelinii forest of Mohe, China. J. Forestry Res. 2020, 32, 371–383. [Google Scholar] [CrossRef]
- Klein, H.L.; Kreuzer, K.N. Replication, recombination, and repair: Going for the gold. Mol. Cell 2002, 9, 471–480. [Google Scholar] [CrossRef]
- Rai, A.; Saha, S.P.; Manvar, T.; Bhattacharjee, A. A shotgun approach to explore the bacterial diversity and a brief insight into the glycoside hydrolases of Samiti lake located in the Eastern Himalayas. J. Genet. Eng. Biotechnol. 2022, 20, 162. [Google Scholar] [CrossRef]
- Zuo, Y.T.; Wei, C.C.; Hu, Y.; Zeng, W.Z.; Ao, C.; Huang, J.S. Effect of multi-walled carbon nanotubes on the carbon and nitrogen cycling processes in saline soil. Agronomy 2023, 13, 2455. [Google Scholar] [CrossRef]
- Yang, Y.F.; Wu, L.W.; Lin, Q.Y.; Yuan, M.T.; Xu, D.P.; Yu, H.; Hu, Y.G.; Duan, J.C.; Li, X.Z.; He, Z.L.; et al. Responses of the functional structure of soil microbial community to livestock grazing in the Tibetan alpine grassland. Glob. Change Biol. 2013, 19, 637–648. [Google Scholar] [CrossRef]
- Kou-Ichiro, O.; Eiji Akagawa, P.Z.; Kunio Yamane, A.M.M.N.; Zu-Wen, S. The nasB operon and nasA gene are required for nitrate/ nitrite assimilation in Bacillus subtilis. J. Bacteriol. 1995, 177, 1409–1413. [Google Scholar]
- Nagore, D.; Llarena, M.; Llama, M.J.; Serra, J.L. Characterization of the N-terminal domain of NrtC, the ATP-binding subunit of ABC-type nitrate transporter of the cyanobacterium Phormidium laminosum. BBA-Gen. Subj. 2003, 1623, 143–153. [Google Scholar] [CrossRef] [PubMed]
- Moir, J.W.B.; Wood, N.J. The microbial nitrogen-cycling network. Cell. Mol. Life Sci. 2001, 58, 215–224. [Google Scholar] [PubMed]







Disclaimer/Publisher’s Note: The statements, opinions and data contained in all publications are solely those of the individual author(s) and contributor(s) and not of MDPI and/or the editor(s). MDPI and/or the editor(s) disclaim responsibility for any injury to people or property resulting from any ideas, methods, instructions or products referred to in the content. |
© 2025 by the authors. Licensee MDPI, Basel, Switzerland. This article is an open access article distributed under the terms and conditions of the Creative Commons Attribution (CC BY) license (https://creativecommons.org/licenses/by/4.0/).
Share and Cite
Zhu, Y.; Wei, Y.; Qin, X. Cassava–Maize Rotation Improves Soil Quality and Microbial Gene Profiles Compared to Continuous Cassava Cropping. Agronomy 2025, 15, 1999. https://doi.org/10.3390/agronomy15081999
Zhu Y, Wei Y, Qin X. Cassava–Maize Rotation Improves Soil Quality and Microbial Gene Profiles Compared to Continuous Cassava Cropping. Agronomy. 2025; 15(8):1999. https://doi.org/10.3390/agronomy15081999
Chicago/Turabian StyleZhu, Yanmei, Yundong Wei, and Xingming Qin. 2025. "Cassava–Maize Rotation Improves Soil Quality and Microbial Gene Profiles Compared to Continuous Cassava Cropping" Agronomy 15, no. 8: 1999. https://doi.org/10.3390/agronomy15081999
APA StyleZhu, Y., Wei, Y., & Qin, X. (2025). Cassava–Maize Rotation Improves Soil Quality and Microbial Gene Profiles Compared to Continuous Cassava Cropping. Agronomy, 15(8), 1999. https://doi.org/10.3390/agronomy15081999

