Effects of Irrigation Practices on Potato Yield and Water Productivity: A Global Meta-Analysis
Abstract
1. Introduction
2. Materials and Methods
2.1. Findings and Collecting Data
2.2. Data Analysis Methods
3. Results
3.1. Comprehensive Impact of Irrigation Practices on Potato Yield, ETc, and WP
3.2. The Impact of Irrigation Practices on Potato Yield Formation and Quality
3.3. The Impact of Irrigation Practices on Potato Yield, ETc, and WP Varied with Irrigation Methods
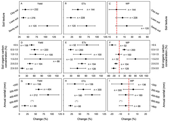
3.4. The Effect of Irrigation Practices on Potato Yield, ETc, and WP as Influenced by Soil Textures, SOC, and Annual Rainfall
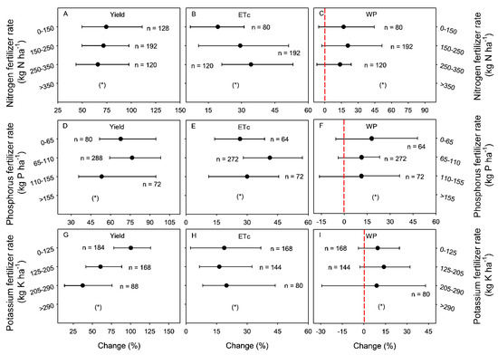
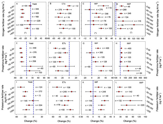
3.5. The Effect of Irrigation Practices on Potato Yield, ETc, and WP as Influenced by Fertilizer Rates
3.6. The Effect of Supplementary Irrigation on Potato Yield, ETc, and WP Varied with Irrigation Amount
3.7. The Effect of Deficit Irrigation on Potato Yield, ETc, and WP as Influenced by Different Water-Saving Ratio and Irrigation Methods
4. Discussion
4.1. Impact of Irrigation Practices on Potato Yield and WP
4.2. The Impact of Irrigation Practices on Potato Yield, ETc, and WP Under Different Soil Texture and SOC
4.3. Response of Potato Yield and WP to Irrigation Managements Under Fertilizers Rates
5. Conclusions
Supplementary Materials
Author Contributions
Funding
Data Availability Statement
Acknowledgments
Conflicts of Interest
References
- FAO. A report produced for the G20 Presidency of Germany. In Water for Sustainable Food and Agriculture; Food and Agriculture Organization of the United Nations: Rome, Italy, 2017; ISBN 978-92-5-109977-3. [Google Scholar]
- Kang, S.; Hao, X.; Du, T.; Tong, L.; Su, X.; Lu, H.; Li, X.; Huo, Z.; Li, S.; Ding, R. Improving agricultural water productivity to ensure food security in China under changing environment: From research to practice. Agric. Water Manag. 2017, 179, 5–17. [Google Scholar] [CrossRef]
- Wang, L.; Li, L.; Xie, J.; Luo, Z.; Sumera, A.; Zechariah, E.; Fudjoe, S.K.; Palta, J.A.; Chen, Y. Does plastic mulching reduce water footprint in field crops in China? A meta-analysis. Agric. Water Manag. 2022, 260, 107293. [Google Scholar] [CrossRef]
- Cheng, M.; Wang, H.; Fan, J.; Zhang, S.; Liao, Z.; Zhang, F.; Wang, Y. A global meta-analysis of yield and water use efficiency of crops, vegetables and fruits under full, deficit and alternate partial root-zone irrigation. Agric. Water Manag. 2021, 248, 106771. [Google Scholar] [CrossRef]
- Deng, X.; Shan, L.; Zhang, H.; Turner, N.C. Improving agricultural water use efficiency in arid and semiarid areas of China. Agric. Water Manag. 2006, 80, 23–40. [Google Scholar] [CrossRef]
- Li, Y.; Tang, J.; Wang, J.; Zhao, G.; Yu, Q.; Wang, Y.; Hu, Q.; Zhang, J.; Pan, Z.; Pan, X. Diverging water-saving potential across China’s potato planting regions. Eur. J. Agron. 2022, 134, 126450. [Google Scholar] [CrossRef]
- Shupe, S.J. Waste in Western Water Law: A Blueprint for Change. Or. L. Rev. 1982, 61, 483. [Google Scholar]
- Haverkort, A.; Struik, P. Yield levels of potato crops: Recent achievements and future prospects. Field Crops Res. 2015, 182, 76–85. [Google Scholar] [CrossRef]
- Djaman, K.; Irmak, S.; Koudahe, K.; Allen, S. Irrigation management in potato (Solanum tuberosum L.) production: A review. Sustainability 2021, 13, 1504. [Google Scholar] [CrossRef]
- De Jong, H. Impact of the potato on society. Am. J. Potato Res. 2016, 93, 415–429. [Google Scholar] [CrossRef]
- Li, Q.; Li, H.; Zhang, L.; Zhang, S.; Chen, Y. Mulching improves yield and water-use efficiency of potato cropping in China: A meta-analysis. Field Crops Res. 2018, 221, 50–60. [Google Scholar] [CrossRef]
- Zarzyńska, K.; Boguszewska-Mańkowska, D.; Nosalewicz, A. Differences in size and architecture of the potato cultivars root system and their tolerance to drought stress. Plant Soil Environ. 2017, 63, 159–164. [Google Scholar] [CrossRef]
- Feng, Z.; Kang, Y.; Wan, S.; Liu, S. Effect of drip fertigation on potato productivity with basal application of loss control fertilizer in sandy soil. Irrig. Drain. 2018, 67, 210–221. [Google Scholar] [CrossRef]
- Yuan, B.Z.; Nishiyama, S.; Kang, Y. Effects of different irrigation regimes on the growth and yield of drip-irrigated potato. Agric. Water Manag. 2003, 63, 153–167. [Google Scholar] [CrossRef]
- Onder, S.; Caliskan, M.E.; Onder, D.; Caliskan, S. Different irrigation methods and water stress effects on potato yield and yield components. Agric. Water Manag. 2005, 73, 73–86. [Google Scholar] [CrossRef]
- Shock, C.C.; Pereira, A.B.; Eldredge, E.P. Irrigation best management practices for potato. Am. J. Potato Res. 2007, 84, 29–37. [Google Scholar] [CrossRef]
- Cheng, M.; Wang, H.; Fan, J.; Wang, X.; Sun, X.; Yang, L.; Zhang, S.; Xiang, Y.; Zhang, F. Crop yield and water productivity under salty water irrigation: A global meta-analysis. Agric. Water Manag. 2021, 256, 107105. [Google Scholar] [CrossRef]
- Qaswar, M.; Jing, H.; Ahmed, W.; Dongchu, L.; Shujun, L.; Lu, Z.; Cai, A.; Lisheng, L.; Yongmei, X.; Jusheng, G.; et al. Yield sustainability, soil organic carbon sequestration and nutrients balance under long-term combined application of manure and inorganic fertilizers in acidic paddy soil. Soil Tillage Res. 2020, 198, 104569. [Google Scholar] [CrossRef]
- He, G.; Wang, Z.; Li, S.; Malhi, S.S. Plastic mulch: Tradeoffs between productivity and greenhouse gas emissions. J. Clean. Prod. 2018, 172, 1311–1318. [Google Scholar] [CrossRef]
- Archer, E. Estimate Permutation p-Values for Random Forest Importance Metrics. R Package Version. 2023. Available online: https://mirror.math.princeton.edu/pub/CRAN/web/packages/rfPermute/rfPermute.pdf (accessed on 8 August 2025).
- Rolbiecki, R.; Rolbiecki, S.; Figas, A.; Jagosz, B.; Stachowski, P.; Sadan, H.A.; Prus, P.; Pal-Fam, F. Requirements and effects of surface drip irrigation of mid-early potato cultivar Courage on a very light soil in Central Poland. Agronomy 2020, 11, 33. [Google Scholar] [CrossRef]
- Jiang, Y.; Stetson, T.; Phillips, J.; Kostic, A. Reducing yearly variation in potato tuber yield using supplemental irrigation. Potato Res. 2024, 67, 1625–1651. [Google Scholar] [CrossRef]
- Misgina, N.A.; Beshir, H.M.; Yohannes, D.B.; Gebreyohanes, G.H. Growth, Yield, and Water Productivity of Potato Genotypes Under Supplemental and Non-Supplemental Irrigation in Semi-Arid Areas of Northern Ethiopia. Agronomy 2024, 15, 72. [Google Scholar] [CrossRef]
- Machakaire, A.; Steyn, J.M.; Franke, A. Photosynthesis rate, radiation and water use efficiencies of irrigated potato in a semi-arid climate using Eddy covariance techniques. J. Agric. Sci. 2023, 161, 217–229. [Google Scholar] [CrossRef]
- Martínez-Maldonado, F.E.; Castaño-Marín, A.M.; Góez-Vinasco, G.A.; Marin, F.R. Gross primary production of rainfed and irrigated potato (Solanum tuberosum L.) in the colombian andean region using eddy covariance technique. Water 2021, 13, 3223. [Google Scholar] [CrossRef]
- Satognon, F.; Owido, S.F.; Lelei, J.J. Effects of supplemental irrigation on yield, water use efficiency and nitrogen use efficiency of potato grown in mollic Andosols. Environ. Syst. Res. 2021, 10, 38. [Google Scholar] [CrossRef]
- Li, Y.; Wang, J.; Fang, Q.; Hu, Q.; Huang, M.; Chen, R.; Zhang, J.; Huang, B.; Pan, Z.; Pan, X. Optimizing water management practice to increase potato yield and water use efficiency in North China. J. Integr. Agric. 2023, 22, 3182–3192. [Google Scholar] [CrossRef]
- Yang, P.; Wu, L.; Cheng, M.; Fan, J.; Li, S.; Wang, H.; Qian, L. Review on drip irrigation: Impact on crop yield, quality, and water productivity in China. Water 2023, 15, 1733. [Google Scholar] [CrossRef]
- Wang, Y.; Li, S.; Qin, S.; Guo, H.; Yang, D.; Lam, H.-M. How can drip irrigation save water and reduce evapotranspiration compared to border irrigation in arid regions in northwest China. Agric. Water Manag. 2020, 239, 106256. [Google Scholar] [CrossRef]
- Li, H.; Mei, X.; Wang, J.; Huang, F.; Hao, W.; Li, B. Drip fertigation significantly increased crop yield, water productivity and nitrogen use efficiency with respect to traditional irrigation and fertilization practices: A meta-analysis in China. Agric. Water Manag. 2021, 244, 106534. [Google Scholar] [CrossRef]
- Payero, J.O.; Tarkalson, D.D.; Irmak, S.; Davison, D.; Petersen, J.L. Effect of irrigation amounts applied with subsurface drip irrigation on corn evapotranspiration, yield, water use efficiency, and dry matter production in a semiarid climate. Agric. Water Manag. 2008, 95, 895–908. [Google Scholar] [CrossRef]
- Mora-Sanhueza, R.; Tighe-Neira, R.; López-Olivari, R.; Inostroza-Blancheteau, C. Assessment of Different Irrigation Thresholds to Optimize the Water Use Efficiency and Yield of Potato (Solanum tuberosum L.) Under Field Conditions. Plants 2025, 14, 1734. [Google Scholar] [CrossRef]
- Ahmadi, S.H.; Agharezaee, M.; Kamgar-Haghighi, A.A.; Sepaskhah, A.R. Effects of dynamic and static deficit and partial root zone drying irrigation strategies on yield, tuber sizes distribution, and water productivity of two field grown potato cultivars. Agric. Water Manag. 2014, 134, 126–136. [Google Scholar] [CrossRef]
- Alva, A.; Moore, A.; Collins, H. Impact of deficit irrigation on tuber yield and quality of potato cultivars. J. Crop. Improv. 2012, 26, 211–227. [Google Scholar] [CrossRef]
- Xie, K.; Wang, X.-X.; Zhang, R.; Gong, X.; Zhang, S.; Mares, V.; Gavilán, C.; Posadas, A.; Quiroz, R. Partial root-zone drying irrigation and water utilization efficiency by the potato crop in semi-arid regions in China. Sci. Hortic. 2012, 134, 20–25. [Google Scholar] [CrossRef]
- Yactayo, W.; Ramírez, D.A.; Gutiérrez, R.; Mares, V.; Posadas, A.; Quiroz, R. Effect of partial root-zone drying irrigation timing on potato tuber yield and water use efficiency. Agric. Water Manag. 2013, 123, 65–70. [Google Scholar] [CrossRef]
- Ierna, A.; Mauromicale, G. Potato growth, yield and water productivity response to different irrigation and fertilization regimes. Agric. Water Manag. 2018, 201, 21–26. [Google Scholar] [CrossRef]
- Kashyap, P.; Panda, R. Effect of irrigation scheduling on potato crop parameters under water stressed conditions. Agric. Water Manag. 2003, 59, 49–66. [Google Scholar] [CrossRef]
- Po, E.A.; Snapp, S.S.; Kravchenko, A. Potato yield variability across the landscape. Agron. J. 2010, 102, 885–894. [Google Scholar] [CrossRef]
- Miller, D.; Martin, M. Effect of daily irrigation rate and soil texture on yield and quality of Russet Burbank potatoes. Am. Potato J. 1983, 60, 745–757. [Google Scholar] [CrossRef]
- Zebarth, B.J.; Fillmore, S.; Watts, S.; Barrett, R.; Comeau, L.-P. Soil factors related to within-field yield variation in commercial potato fields in Prince Edward Island Canada. Am. J. Potato Res. 2021, 98, 139–148. [Google Scholar] [CrossRef]
- Martin, M.; Miller, D. Variations in responses of potato germplasm to deficit irrigation as affected by soil texture. Am. Potato J. 1983, 60, 671–683. [Google Scholar] [CrossRef]
- Wang, L.; Li, Q.; Coulter, J.A.; Xie, J.; Luo, Z.; Zhang, R.; Deng, X.; Li, L. Winter wheat yield and water use efficiency response to organic fertilization in northern China: A meta-analysis. Agric. Water Manag. 2020, 229, 105934. [Google Scholar] [CrossRef]
- Ma, Y.; Woolf, D.; Fan, M.; Qiao, L.; Li, R.; Lehmann, J. Global crop production increase by soil organic carbon. Nat. Geosci. 2023, 16, 1159–1165. [Google Scholar] [CrossRef]
- Pan, G.; Smith, P.; Pan, W. The role of soil organic matter in maintaining the productivity and yield stability of cereals in China. Agric. Ecosys. Environ. 2009, 129, 344–348. [Google Scholar] [CrossRef]
- Wang, L.; Wang, S.; Chen, W.; Li, H.; Deng, X. Physiological mechanisms contributing to increased water-use efficiency in winter wheat under organic fertilization. PLoS ONE 2017, 12, e0180205. [Google Scholar] [CrossRef]
- Ahmad, R.; Waraich, E.A.; Ashraf, M.; Ahmad, S.; Aziz, T. Does nitrogen fertilization enhance drought tolerance in sunflower? A review. J. Plant Nutr. 2014, 37, 942–963. [Google Scholar] [CrossRef]
- Hansel, F.D.; Amado, T.J.; Ruiz Diaz, D.A.; Rosso, L.H.; Nicoloso, F.T.; Schorr, M. Phosphorus fertilizer placement and tillage affect soybean root growth and drought tolerance. Agron. J. 2017, 109, 2936–2944. [Google Scholar] [CrossRef]
- Sedri, M.H.; Roohi, E.; Niazian, M.; Niedbała, G. Interactive effects of nitrogen and potassium fertilizers on quantitative-qualitative traits and drought tolerance indices of rainfed wheat cultivar. Agronomy 2021, 12, 30. [Google Scholar] [CrossRef]
- Tariq, A.; Pan, K.; Olatunji, O.A.; Graciano, C.; Li, Z.; Sun, F.; Sun, X.; Song, D.; Chen, W.; Zhang, A. Phosphorous application improves drought tolerance of Phoebe zhennan. Front. Plant Sci. 2017, 8, 274923. [Google Scholar] [CrossRef]













Disclaimer/Publisher’s Note: The statements, opinions and data contained in all publications are solely those of the individual author(s) and contributor(s) and not of MDPI and/or the editor(s). MDPI and/or the editor(s) disclaim responsibility for any injury to people or property resulting from any ideas, methods, instructions or products referred to in the content. |
© 2025 by the authors. Licensee MDPI, Basel, Switzerland. This article is an open access article distributed under the terms and conditions of the Creative Commons Attribution (CC BY) license (https://creativecommons.org/licenses/by/4.0/).
Share and Cite
Niu, Y.; Wang, L.; Luo, Z.; Fudjoe, S.K.; Palta, J.A.; Li, L.; Li, S. Effects of Irrigation Practices on Potato Yield and Water Productivity: A Global Meta-Analysis. Agronomy 2025, 15, 1942. https://doi.org/10.3390/agronomy15081942
Niu Y, Wang L, Luo Z, Fudjoe SK, Palta JA, Li L, Li S. Effects of Irrigation Practices on Potato Yield and Water Productivity: A Global Meta-Analysis. Agronomy. 2025; 15(8):1942. https://doi.org/10.3390/agronomy15081942
Chicago/Turabian StyleNiu, Yining, Linlin Wang, Zhuzhu Luo, Setor Kwami Fudjoe, Jairo A. Palta, Lingling Li, and Shiqing Li. 2025. "Effects of Irrigation Practices on Potato Yield and Water Productivity: A Global Meta-Analysis" Agronomy 15, no. 8: 1942. https://doi.org/10.3390/agronomy15081942
APA StyleNiu, Y., Wang, L., Luo, Z., Fudjoe, S. K., Palta, J. A., Li, L., & Li, S. (2025). Effects of Irrigation Practices on Potato Yield and Water Productivity: A Global Meta-Analysis. Agronomy, 15(8), 1942. https://doi.org/10.3390/agronomy15081942

