A Differential Diagnostic Tool for Identifying the Causes of Clover Decline
Abstract
1. Introduction
2. Materials and Methods
2.1. Bioassay Setup
2.2. Isolation and Identification of Pathogenic Fungi
2.3. Nematode Isolation and Identification
2.4. Soil and Plant Nutrient Analyses
2.5. Mycorrhizal Colonization and Nodule Formation with Rhizobia
2.6. Data Analysis
3. Results
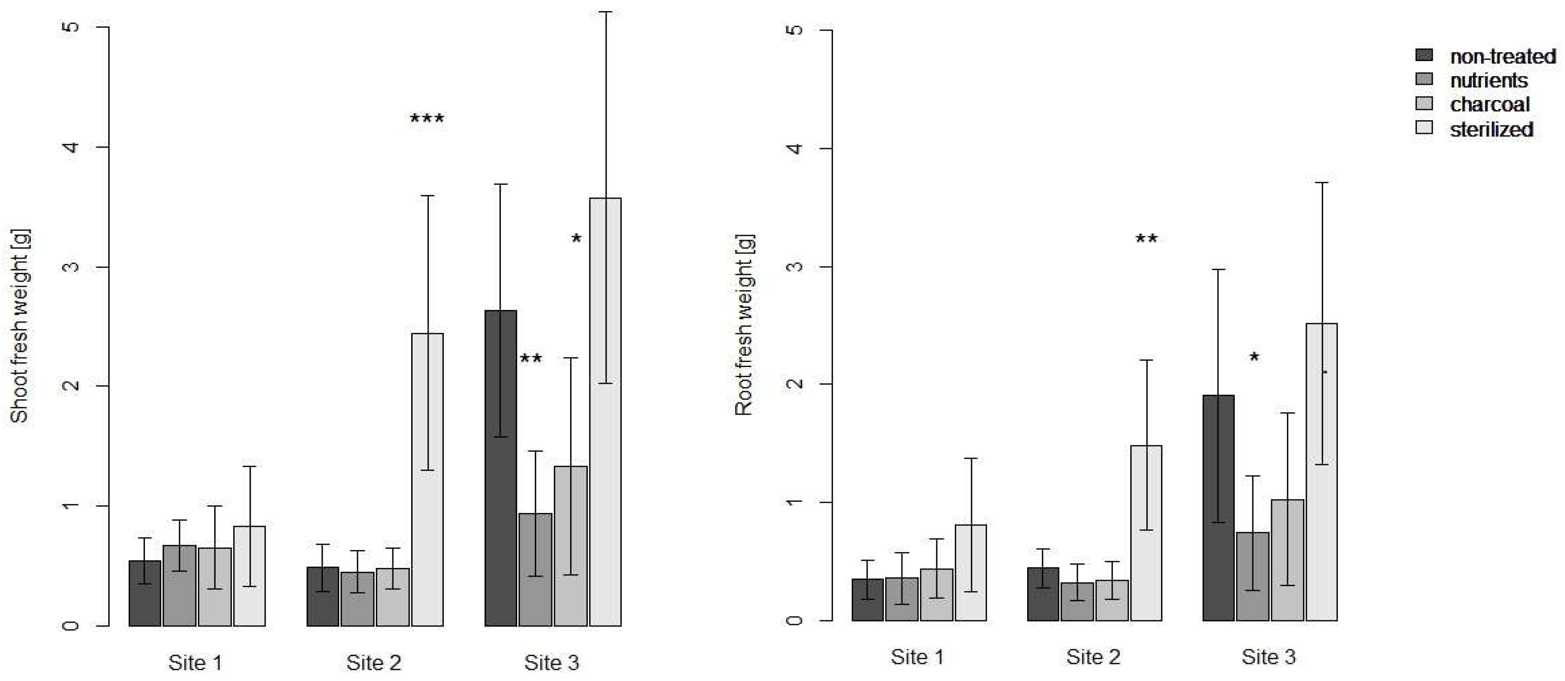
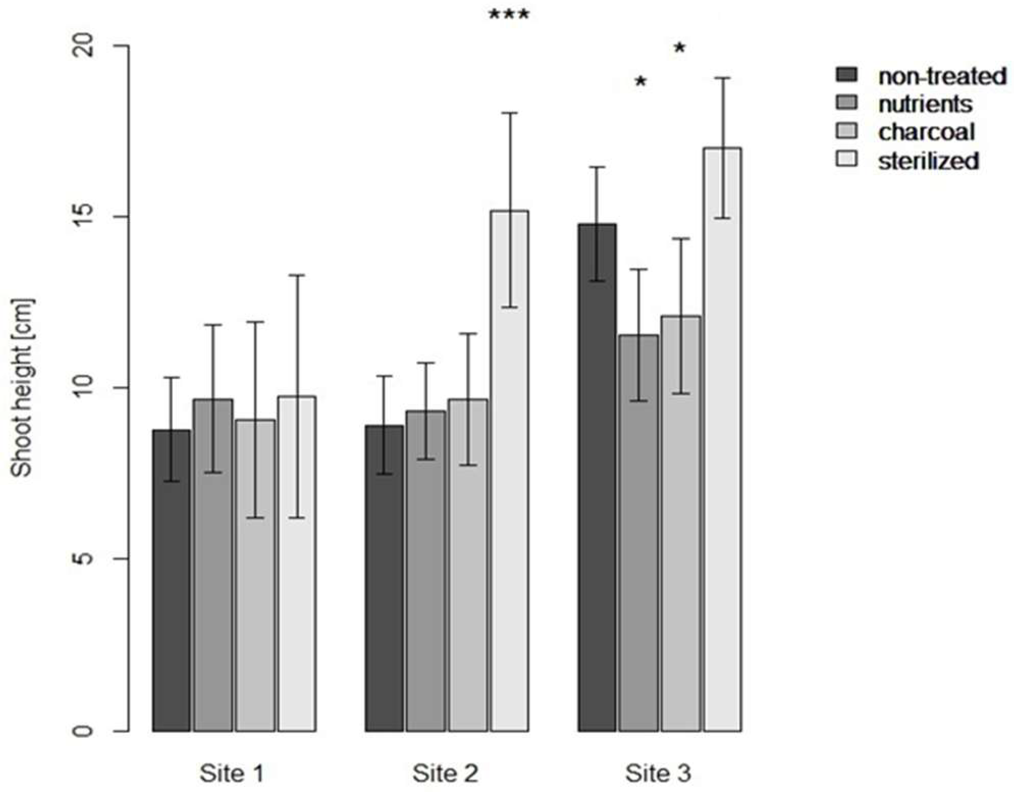
3.1. Bioassay
3.2. Plant and Soil Field Screening
4. Discussion
4.1. The Use of Nutrient Solution for Detecting Nutrient Deficiencies
4.2. The Effect of Activated Charcoal on Plant Growth
4.3. The Potential of Sterilization for Detecting Detrimental Organisms
4.4. Multifactorial Effects Causing Legume Decline
5. Conclusions
Author Contributions
Funding
Data Availability Statement
Acknowledgments
Conflicts of Interest
Appendix A
Appendix A.1

Appendix A.2

References
- Pandey, A.; Li, F.; Askegaard, M.; Olesen, J.E. Biological nitrogen fixation in three long-term organic and conventional arable crop rotation experiments in Denmark. Eur. J. Agron. 2017, 90, 87–95. [Google Scholar] [CrossRef]
- Davis, J.; Abbott, L. Soil fertility in organic farming systems. In Organic Agriculture, a Global Perspective; CSIRO Publishing: Collingwood, Australia, 2006; pp. 25–51. [Google Scholar]
- Mitchell, R.B.; Nelson, C.J. Structure and morphology of legumes and other forbs: In Forage: An Introduction to Grassland Agriculture, 6th ed.; Barnes, R.F., Nelson, C.J., Collins, M., Moore, K.J., Eds.; Blackwell Publishing: Hoboken, NJ, USA, 2003; Volume 1, pp. 51–72. [Google Scholar]
- Graham, P.H.; Vance, C.P. Legumes: Importance and constraints to greater use. Plant Physiol. 2003, 131, 872–877. [Google Scholar] [CrossRef]
- Laidlaw, A.S.; Frame, J. Improved Grassland Management; Crowood: Ramsbury, UK, 2013. [Google Scholar]
- Phelan, P.; Moloney, A.P.; McGeough, E.J.; Humphreys, J.; Bertilsson, J.; O’Riordan, E.G.; O’Kiely, P. Forage Legumes for Grazing and Conserving in Ruminant Production Systems. Crit. Rev. Plant Sci. 2015, 34, 281–326. [Google Scholar] [CrossRef]
- Hancock, J.G. Fungal and Bacterial Diseases of North American Forage Crops. In Pasture and Forage Crop Pathology; John Wiley and Sons: Hoboken, NJ, USA, 1996; pp. 163–186. [Google Scholar] [CrossRef]
- Foster, K.; You, M.P.; Nietschke, B.; Edwards, N.; Barbetti, M.J. Soilborne root disease pathogen complexes drive widespread decline of subterranean clover pastures across diverse climatic zones. Crop Pasture Sci. 2017, 68, 33. [Google Scholar] [CrossRef]
- Pérez-Pizá, M.C.; Striker, G.G.; Stenglein, S.A. Seed-borne diseases in pasture grasses and legumes: State of the art and gaps in knowledge. J. Plant Dis. Prot. 2023, 130, 225–244. [Google Scholar] [CrossRef]
- Šišić, A.; Oberhänsli, T.; Baćanović-Šišić, J.; Hohmann, P.; Finckh, M.R. A Novel Real Time PCR Method for the Detection and Quantification of Didymella pinodella in Symptomatic and Asymptomatic Plant Hosts. J. Fungi 2021, 8, 41. [Google Scholar] [CrossRef]
- Griffin, G.D. Alfalfa. In Plant Nematode Interactions; Kenneth, R.B., Gary, A.P., Gary, L.W., Bartels, J.M., Eds.; John Wiley and Sons: Hoboken, NJ, USA, 1996; pp. 381–397. [Google Scholar] [CrossRef]
- Pederson, G.A.; Quesenberry, K.H. Clovers and Other Forage Legumes. In Plant Nematode Interactions; Kenneth, R.B., Gary, A.P., Gary, L.W., Bartels, J.M., Eds.; John Wiley and Sons: Hoboken, NJ, USA, 2015; pp. 399–425. [Google Scholar] [CrossRef]
- Lins, R.D.; Colquhoun, J.B.; Mallory-Smith, C.A. Effect of Small Broomrape (Orobanche minor) on Red Clover Growth and Dry Matter Partitioning. Weed Sci. 2007, 55, 517–520. [Google Scholar] [CrossRef]
- Butler, T.J.; Andrae, J.G.; Hancock, D.W. Weed Management During Forage Legume Establishment. Forage Grazinglands 2010, 8, 1–9. [Google Scholar] [CrossRef]
- Rubiales, D.; Fernández-Aparicio, M. Innovations in parasitic weeds management in legume crops. A review. Agron. Sustain. Dev. 2012, 32, 433–449. [Google Scholar] [CrossRef]
- Lee, W.O. Weed Control. In Clover Science and Technology; Taylor, N.L., Taylor, N.L., Eds.; American Society of Agronomy: Madison, WI, USA, 1985; pp. 295–308. ISBN 9780891182184. [Google Scholar]
- Hamilton, L.J.; Reed, K.F.M.; Leach, E.M.A.; Brockwell, J. Boron deficiency in pasture based on subterranean clover (Trifolium subterraneum L.) is linked to symbiotic malfunction. Crop Pasture Sci. 2015, 66, 1197. [Google Scholar] [CrossRef]
- Nayyar, A.; Hamel, C.; Lafond, G.; Gossen, B.D.; Hanson, K.; Germida, J. Soil microbial quality associated with yield reduction in continuous-pea. Appl. Soil Ecol. 2009, 43, 115–121. [Google Scholar] [CrossRef]
- Udvardi, M.; Poole, P.S. Transport and metabolism in legume-rhizobia symbioses. Annu. Rev. Plant Biol. 2013, 64, 781–805. [Google Scholar] [CrossRef] [PubMed]
- Miller, D.A. Allelopathy in Forage Crop Systems. Agron. J. 1996, 88, 854–859. [Google Scholar] [CrossRef]
- An, M.; Pratley, J.; Wu, H.W.; Liu, D.L. Deterioration of pasture quality due to allelopathy: The Australian experience. Allelopath. J. 2007, 19, 37–48. [Google Scholar]
- Lebrazi, S.; Fikri-Benbrahim, K. Rhizobium-Legume Symbioses: Heavy Metal Effects and Principal Approaches for Bioremediation of Contaminated Soil. In Legumes for Soil Health and Sustainable Management; Meena, R.S., Das, A., Yadav, G.S., Lal, R., Eds.; Springer: Singapore, 2018; pp. 205–233. ISBN 978-981-13-0253-4. [Google Scholar]
- Römheld, V.; Marschner, H. Function of Micronutrients in Plants. In Micronutrients in Agriculture, 2nd ed.; Mortvedt, J.J., Ed.; Soil Science Society of America: Madison, WI, USA, 1991; pp. 297–328. ISBN 9780891188780. [Google Scholar]
- Grewal, H.S.; Williams, R. Influence of potassium fertilization on leaf to stem ratio, nodulation, herbage yield, leaf drop, and common leaf spot disease of alfalfa. J. Plant Nutr. 2002, 25, 781–795. [Google Scholar] [CrossRef]
- Divito, G.A.; Sadras, V.O. How do phosphorus, potassium and sulphur affect plant growth and biological nitrogen fixation in crop and pasture legumes? A meta-analysis. Field Crops Res. 2014, 156, 161–171. [Google Scholar] [CrossRef]
- Leath, K.T.; Ratcliffe, R.H. The effect of fertilization on disease and insect resistance. In Forage Fertilization; American Society of Agronomy: Madison, WI, USA, 1974; pp. 481–503. [Google Scholar]
- O’Rourke, T.A.; Ryan, M.H.; Scanlon, T.T.; Sivasithamparam, K.; Barbetti, M.J. Amelioration of root disease of subterranean clover (Trifolium subterraneum) by mineral nutrients. Crop Pasture Sci. 2012, 63, 672–682. [Google Scholar] [CrossRef]
- Stoltz, E.; Wallenhammar, A.-C. Micronutrients reduce root rot in red clover (Trifolium pratense). J. Plant Dis. Prot. 2012, 119, 92–99. [Google Scholar] [CrossRef]
- Barzegar, A.R.; Nadian, H.; Heidari, F.; Herbert, S.J.; Hashemi, A.M. Interaction of soil compaction, phosphorus and zinc on clover growth and accumulation of phosphorus. Soil Tillage Res. 2006, 87, 155–162. [Google Scholar] [CrossRef]
- Allmaras, R.R.; Fritz, V.A.; Pfleger, F.L.; Copeland, S.M. Impaired internal drainage and Aphanomyces euteiches root rot of pea caused by soil compaction in a fine-textured soil. Soil Tillage Res. 2003, 70, 41–52. [Google Scholar] [CrossRef]
- Hakl, J.; Šantrůček, J.; Kocourková, D.; Fuksa, P. The effect of the soil compaction on the contents of alfalfa root reserve nutrients in relation to the stand density and the amount of root reserve nutrients in relation to the stand density and the amount of root biomass. Soil Water Res. 2007, 2, 54. [Google Scholar] [CrossRef]
- Fuchs, J.G.; Thuerig, B.; Brandhuber, R.; Bruns, C.; Finckh, M.R.; Fließbach, A.; Mäder, P.; Schmidt, H.; Vogt-Kaute, W.; Wilbois, K.-P.; et al. Evaluation of the causes of legume yield depression syndrome using an improved diagnostic tool. Appl. Soil Ecol. 2014, 79, 26–36. [Google Scholar] [CrossRef]
- Bouhot, D.; Villemin, M.; Willerval, A. La Fatigue des Sols. A) Méthodologie. PHM-Rev. Hortic. 1979, 198, 35–39. [Google Scholar]
- Schopfer, P.; Brennicke, A.; Schopfer, P.; Brennicke, A. Stoffwechsel von Wasser und anorganischen Ionen. In Pflanzenphysiologie, 7th ed.; Schopfer, P., Brennicke, A., Mohr, H., Eds.; Springer Spektrum: Berlin/Heidelberg, Germany, 2010; pp. 297–309. ISBN 978-3-8274-2351-1. [Google Scholar]
- Hilber, I.; Wyss, G.S.; Mäder, P.; Bucheli, T.D.; Meier, I.; Vogt, L.; Schulin, R. Influence of activated charcoal amendment to contaminated soil on dieldrin and nutrient uptake by cucumbers. Environ. Pollut. 2009, 157, 2224–2230. [Google Scholar] [CrossRef] [PubMed]
- McGovern, R.J.; McSorley, R. Physical Methods of Soil Sterilization for Disease Management Including Soil Solarization. In Environmentally Safe Approaches to Crop Disease Control, 1st ed.; Rechcigl, N.A., Rechcigl, J.E., Eds.; CRC Lewis Publishers: Boca Raton, FL, USA, 1997; pp. 283–314. [Google Scholar] [CrossRef]
- White, T.J.; Bruns, T.; Lee, S.J.W.T.; Taylor, J. Amplification and direct sequencing of fungal ribosomal RNA genes for phylogenetics. In PCR Protocols: A Guide to Methods and Applications; Academic Press: Cambridge, MA, USA, 1990; Volume 18, pp. 315–322. [Google Scholar]
- Gardes, M.; Bruns, T.D. ITS primers with enhanced specificity for basidiomycetes—Application to the identification of mycorrhizae and rusts. Mol. Ecol. 1993, 2, 113–118. [Google Scholar] [CrossRef]
- Altschul, S.F.; Gish, W.; Miller, W.; Myers, E.W.; Lipman, D.J. Basic local alignment search tool. J. Mol. Biol. 1990, 215, 403–410. [Google Scholar] [CrossRef]
- PM 7/119 (1) Nematode Extraction. EPPO Bull. 2013, 43, 471–495. [CrossRef]
- VDLUFA (Verband deutscher landwirtschaftlicher Untersuchungs- und Forschungsanstalten). Handbuch der Landwirtschaftlichen Versuchs- und Untersuchungsmethodik (VDLUFA-Methodenbuch); Vol. I. Die Untersuchung von Böden, including supplementary deliveries 1997, 2002 and 2004; VDLUFA: Darmstadt, Germany, 1991. [Google Scholar]
- VDLUFA (Verband deutscher landwirtschaftlicher Untersuchungs- und Forschungsanstalten). Handbuch der Landwirtschaftlichen Versuchs- und Untersuchungsmethodik (VDLUFA-Methodenbuch); Vol. III. Die chemische Untersuchung von Futtermitteln, including supplementary deliveries 2006 and 2012; VDLUFA: Darmstadt, Germany, 1976. [Google Scholar]
- McGonigle, T.P.; Miller, M.H.; Evans, D.G.; Fairchild, G.L.; Swan, J.A. A new method which gives an objective measure of colonization of roots by vesicular-arbuscular mycorrhizal fungi. New Phytol. 1990, 115, 495–501. [Google Scholar] [CrossRef]
- Hartig, F. DHARMa: Residual Diagnostics for Hierarchical (Multi-Level/Mixed) Regression Models. R Package Version 0.4. Available online: https://cran.r-project.org/web/packages/DHARMa/vignettes/DHARMa.html (accessed on 28 April 2025).
- Marsaglia, G.; Tsang, W.W.; Wang, J. Evaluating Kolmogorov’s Distribution. J. Stat. Softw. 2003, 8, 1–4. [Google Scholar] [CrossRef]
- Levene, H. Robust tests for equality of variances. In Contributions to Probability and Statistics. Essays in Honor of Harold Hotelling; Olkin, I., Ghurye, S.G., Hoeffding, W., Madow, W.G., Mann, H.B., Eds.; Stanford University Press: Stanford, CA, USA, 1961; pp. 279–292. [Google Scholar]
- R Core Team. R: A Language and Environment for Statistical Computing; R Core Team: Vienna, Austria, 2021. [Google Scholar]
- Kape, H.; Wacker, K.; Nawotke, C.; Pöplau, R.; Korten, K.; Kastell, S. Richtwerte für die Untersuchung und Beratung zur Umsetzung der Düngeverordnung vom 26. Mai 2017 in Mecklenburg-Vorpommern; Ministerium für Landwirtschaft und Umwelt Mecklenburg-Vorpommern: Schwerin, Germany, 2019; Available online: https://www.lms-beratung.de/export/sites/lms/de/.galleries/Downloads_LFB/DueV/DueV-Richtwerte-MV190114.pdf (accessed on 20 June 2025).
- Baumgarten, A. Richtlinien für die Sachgerechte Düngung. In Anleitung zur Interpretation von Bodenuntersuchungsergebnissen in der Landwirtschaft, 6th ed.; Bundesministerium für Land-und Forstwirtschaft: Vienna, Austria, 2006. [Google Scholar]
- Brear, E.M.; Day, D.A.; Smith, P.M.C. Iron: An essential micronutrient for the legume-rhizobium symbiosis. Front. Plant Sci. 2013, 4, 359. [Google Scholar] [CrossRef]
- Tang, C.; Robson, A.D.; Dilworth, M.J. The role of iron in nodulation and nitrogen fixation in Lupinus angustifolius L. New Phytol. 1990, 114, 173–182. [Google Scholar] [CrossRef]
- Eardly, B.D.; Hannaway, D.B.; Bottomley, P.J. Nitrogen Nutrition and Yield of Seedling Alfalfa as Affected by Ammonium Nitrate Fertilization 1. Agron. J. 1985, 77, 57–62. [Google Scholar] [CrossRef]
- Tognetti, P.M.; Prober, S.M.; Báez, S.; Chaneton, E.J.; Firn, J.; Risch, A.C.; Schuetz, M.; Simonsen, A.K.; Yahdjian, L.; Borer, E.T.; et al. Negative effects of nitrogen override positive effects of phosphorus on grassland legumes worldwide. Proc. Natl. Acad. Sci. USA 2021, 118, e2023718118. [Google Scholar] [CrossRef] [PubMed]
- Long, Y.; Peng, J. Interaction between Boron and Other Elements in Plants. Genes 2023, 14, 130. [Google Scholar] [CrossRef]
- Wurst, S.; van Beersum, S. The impact of soil organism composition and activated carbon on grass-legume competition. Plant Soil 2009, 314, 1–9. [Google Scholar] [CrossRef]
- Pluchon, N.; Vincent, A.G.; Gundale, M.J.; Nilsson, M.-C.; Kardol, P.; Wardle, D.A. The impact of charcoal and soil mixtures on decomposition and soil microbial communities in boreal forest. Appl. Soil Ecol. 2016, 99, 40–50. [Google Scholar] [CrossRef]
- Carlsen, S.C.K.; Fomsgaard, I.S. Biologically active secondary metabolites in white clover (Trifolium repens L.)—A review focusing on contents in the plant, plant–pest interactions and transformation. Chemoecology 2008, 18, 129–170. [Google Scholar] [CrossRef]
- Peters, E.J.; Luu, K.T. Allelopathy in Tall Fescue. In The Chemistry of Allelopathy; Thompson, A.C., Ed.; American Chemical Society: Washington, DC, USA, 1985; pp. 273–283. ISBN 9780841208865. [Google Scholar]
- Nolan, N.E.; Kulmatiski, A.; Beard, K.H.; Norton, J.M. Activated carbon decreases invasive plant growth by mediating plant-microbe interactions. AoB Plants 2014, 7, plu072. [Google Scholar] [CrossRef]
- Lehmann, J.; Rillig, M.C.; Thies, J.; Masiello, C.A.; Hockaday, W.C.; Crowley, D. Biochar effects on soil biota–a review. Soil Biol. Biochem. 2011, 43, 1812–1836. [Google Scholar] [CrossRef]
- Kulmatiski, A.; Beard, K.H. Activated Carbon as a Restoration Tool: Potential for Control of Invasive Plants in Abandoned Agricultural Fields. Restor. Ecol. 2006, 14, 251–257. [Google Scholar] [CrossRef]
- Kühnl, A.; Struck, C.; Müller, J.; Baum, C.; Jacob, I. Ursachen von Kleemüdigkeit: Krankheiten und Schädlinge auf kleemüden Flächen. Kurzfassungen der Vorträge und Poster. In Proceedings of the 63 Deutsche Pflanzenschutztagung: Pflanzenschutz morgen—Transformation durch Wissenschaft, Göttingen, Germany, 26–29 September 2023. [Google Scholar] [CrossRef]
- Willis, C.B.; Thompson, L.S. Effect of the root-lesion nematode on yield of four forage legumes under greenhouse conditions. Can. J. Plant Sci. 1969, 49, 505–509. [Google Scholar] [CrossRef]
- McLeish, L.J.; Berg, G.N.; Hinch, J.M.; Nambiar, L.V.; Norton, M.R. Plant parasitic nematodes in white clover and soil from white clover pastures in Australia. Aust. J. Exp. Agric. 1997, 37, 75. [Google Scholar] [CrossRef]
- Leath, K.T. General Diseases. In Clover Science and Technology; Taylor, N.L., Taylor, N.L., Eds.; American Society of Agronomy: Madison, WI, USA, 1985; pp. 205–233. ISBN 9780891182184. [Google Scholar]
- Schietinger, R. Wenig bekannte Pilzkrankheiten an Kleearten und Luzerne in Baden-Württemberg. Z. Für Pflanzenkrankh. Pflanzenpathol. Pflanzenschutz 1969, 76, 12–19. [Google Scholar]
- Hwang, S.-F.; Wang, H.; Gossen, B.D.; Chang, K.-F.; Turnbull, G.D.; Howard, R.J. Impact of Foliar Diseases on Photo-synthesis, Protein Content and Seed Yield of Alfalfa and Efficacy of Fungicide Application. Eur. J. Plant Pathol. 2006, 115, 389–399. [Google Scholar] [CrossRef]
- Barbetti, M.J.; Riley, I.T.; You, M.P.; Li, H.; Sivasithamparam, K. The association of necrotrophic fungal pathogens and plant parasitic nematodes with the loss of productivity of annual medic-based pastures in Australia and options for their management. Australas. Plant Pathol. 2006, 35, 691. [Google Scholar] [CrossRef]
- Barbetti, M.J.; You, M.P. Opportunities and challenges for improved management of foliar pathogens in annual clover pastures across southern Australia. Crop Pasture Sci. 2014, 65, 1249. [Google Scholar] [CrossRef]
- Pflughöft, O.; Merker, C.; von Tiedemann, A.; Schäfer, B.C. Zur Verbreitung und Bedeutung von Pilzkrankheiten in Körnerfuttererbsen (Pisum sativum L.) in Deutschland. Gesunde Pflanz. 2012, 64, 39–48. [Google Scholar] [CrossRef]
- Šišić, A.; Baćanović-Šišić, J.; Schmidt, H.; Finckh, M.R. Root Pathogens Occurring on Pea (Pisum sativum) and Faba Bean (Vicia faba) in Germany. In Proceedings of the 30th Scientific-Experts Conference of Agriculture and Food Industry, Sarajevo, Bosnia and Herzegovina, 26–27 September 2016; pp. 69–75. [Google Scholar] [CrossRef]
- Šišić, A.; Baćanović-Šišić, J.; Schmidt, H.; Finckh, M.R. Farming system effects on root rot pathogen complex and yield of faba bean (Vicia faba) in Germany. Front. Plant Sci. 2022, 13, 1009906. [Google Scholar] [CrossRef]
- Moritsuka, N.; Yanai, J.; Kosaki, T. Effect of soil heating on the dynamics of soil available nutrients in the rhizosphere. Soil Sci. Plant Nutr. 2001, 47, 323–331. [Google Scholar] [CrossRef]
- Seneviratne, M.; Marschner, P. Soil respiration and nutrient availability after short heating followed by rewetting differ between first and second heating and are influenced by the interval between heating events. Soil Biol. Biochem. 2019, 136, 107537. [Google Scholar] [CrossRef]
- Horn, R.; Domżżał, H.; Słowińska-Jurkiewicz, A.; van Ouwerkerk, C. Soil compaction processes and their effects on the structure of arable soils and the environment. Soil Tillage Res. 1995, 35, 23–36. [Google Scholar] [CrossRef]
- Głąb, T. Effect of soil compaction and N fertilization on soil pore characteristics and physical quality of sandy loam soil under red clover/grass sward. Soil Tillage Res. 2014, 144, 8–19. [Google Scholar] [CrossRef]




| Site | Coordinates | Crop | Previous Crop | Month of Sampling | Soil Texture Class | pH | Mean Annual Temperature (°C) | Annual Precipitation (mm) | Precipitation April to June 2023 (mm) |
|---|---|---|---|---|---|---|---|---|---|
| Site 1 | 49.602433, 8.096633 | Medicago sativa | spring barley | June | silty loam | 7.4 | 12.2 | 550 | 90 |
| Site 2 | 54.084617, 12.25405 | Trifolium pratense | spring wheat | May | loamy sand | 5.8 | 10.1 | 627 | 63 |
| Site 3 | 53.648433, 13.3698 | Trifolium pratense | unknown | May | loamy sand | 6.2 | 10.7 | 500 | 130 |
| Site 1 | Site 2 | Site 3 | |
|---|---|---|---|
| Nematode (number per 100 mL soil) | |||
| Pratylenchus spp. Heterodera spp. | 11 - | 110 461 | 153 - |
| Fungi (Infestation intensity (%)) | |||
| Ascochyta medicaginicola | 50 | - | - |
| Alternaria infectoria | 40 | - | 10 |
| Didymella pinodella | - | 30 | 20 |
| Uromyces trifolii-repentis | - | - | 5 |
| Nutrient deficiency | |||
| Phosphorus | - | x | - |
| Potassium | - | - | - |
| Magnesium | - | - | - |
| Boron | (x) | - | (x) |
| Copper | - | x | - |
| Iron | x | - | - |
| Manganese | x | - | - |
| Zinc | x | (x) | |
| Symbiotic interaction | |||
| Number of nodules per plant | 1.6 | 33.8 | 73.2 |
| Mycorrhization degree | 10.1 | 32.2 | 19.1 |
Disclaimer/Publisher’s Note: The statements, opinions and data contained in all publications are solely those of the individual author(s) and contributor(s) and not of MDPI and/or the editor(s). MDPI and/or the editor(s) disclaim responsibility for any injury to people or property resulting from any ideas, methods, instructions or products referred to in the content. |
© 2025 by the authors. Licensee MDPI, Basel, Switzerland. This article is an open access article distributed under the terms and conditions of the Creative Commons Attribution (CC BY) license (https://creativecommons.org/licenses/by/4.0/).
Share and Cite
Menezes, B.F.; Kühnl, A.; Steinfurth, K.; Hakl, U.; Jacob, I.; Müller, J.; Baum, C.; Struck, C. A Differential Diagnostic Tool for Identifying the Causes of Clover Decline. Agronomy 2025, 15, 1566. https://doi.org/10.3390/agronomy15071566
Menezes BF, Kühnl A, Steinfurth K, Hakl U, Jacob I, Müller J, Baum C, Struck C. A Differential Diagnostic Tool for Identifying the Causes of Clover Decline. Agronomy. 2025; 15(7):1566. https://doi.org/10.3390/agronomy15071566
Chicago/Turabian StyleMenezes, Beatrice Francisco, Annika Kühnl, Kristin Steinfurth, Ulrike Hakl, Irene Jacob, Jürgen Müller, Christel Baum, and Christine Struck. 2025. "A Differential Diagnostic Tool for Identifying the Causes of Clover Decline" Agronomy 15, no. 7: 1566. https://doi.org/10.3390/agronomy15071566
APA StyleMenezes, B. F., Kühnl, A., Steinfurth, K., Hakl, U., Jacob, I., Müller, J., Baum, C., & Struck, C. (2025). A Differential Diagnostic Tool for Identifying the Causes of Clover Decline. Agronomy, 15(7), 1566. https://doi.org/10.3390/agronomy15071566

