A Chinese Herbal Compound Fertilizer Improved the Soil Bacterial Community and Promoted the Quality of Chrysanthemum morifolium ‘Huangju’
Abstract
1. Introduction
2. Materials and Methods
2.1. Overview of Test Materials
2.2. Experimental Design
2.3. Sampling Method
2.4. Determination Items and Methods
2.4.1. Physiochemical Properties of Soil
2.4.2. Extraction of Soil DNA
2.4.3. Yield and Quality
2.4.4. Data Processing
3. Results
3.1. Effects of Chinese Herbal Compound Fertilizer on Soil Nutrients
3.2. Effects of Chinese Herbal Compound Fertilizer on Soil Microorganisms of Chrysanthemum morifolium cv. Jinsihuangju
3.2.1. Effects on Soil Microbial Community Composition
Effects on the Relative Abundance of Bacterial Phylum Level
Effect on the Relative Abundance of Bacteria
3.3. Effect on Dry Matter Accumulation of Aboveground Part
3.4. Effect on Nitrogen Accumulation
3.5. Effect on Phosphorus Accumulation
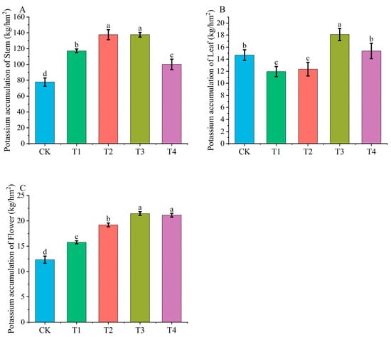
3.6. Effect on Potassium Accumulation
3.7. Effect of Traditional Chinese Medicine Compound Fertilizer on the Yield of Golden Silk Chrysanthemum
3.8. Effect of Chinese Herbal Compound Fertilizer on the Quality of Golden Chrysanthemum
3.9. Occurrence of Root Rot of Chrysanthemum
4. Discussion
4.1. Chinese Herbal Compound Fertilizer Improves Soil Environment
4.2. Chinese Medicine Compound Fertilizer Increases the Yield of Golden Silk Chrysanthemum and Improves the Quality of Golden Silk Chrysanthemum
5. Conclusions
- The Chinese herbal medicine used in the compound fertilizer of traditional Chinese medicine is a plant source material, which is rich in organic matter. It can improve the soil organic matter content and effective nitrogen, phosphorus and potassium content in the flowering period of golden chrysanthemum, which is conducive to the nutrient absorption of golden chrysanthemum.
- The Chinese herbal medicines selected for Chinese herbal compound fertilizers have selective bacteriostatic effects on bacteria and change the soil microflora. T2 and T3 increased the relative abundance of beneficial bacteria such as Proteobacteria and Actinobacteria and optimized the soil microflora. The relative abundance of beneficial bacteria such as Pseudomonas and Streptomyces was increased.
- T2 and T3 increased the number of open inflorescences, the opening ratio and the fresh weight per inflorescence, thereby increasing the yield. The contents of soluble sugar, protein, total amino acids and carotenoids in T2 and T3 inflorescences and the contents of total phenols, flavonoids, chlorogenic acid, luteoloside and 3,5-O-dicaffeoylquinic acid in medicinal components were in the middle, which could not only ensure the taste but also exert a heat-clearing and detoxifying effect.
Supplementary Materials
Author Contributions
Funding
Data Availability Statement
Conflicts of Interest
References
- Jiang, S.; Wang, M.Y.; Zafar, S.; Xie, Q.L.; Jian, Y.Q.; Yuan, H.W.; Li, B.; Peng, C.Y.; Chen, W.M.; Liu, B.; et al. Structural elucidation, antioxidant and hepatoprotective activities of chemical composition from Jinsi Huangju (Chrysanthemum morifolium) flowers. Arab. J. Chem. 2022, 15, 104292. [Google Scholar] [CrossRef]
- Li, J.; Cheng, X.; Chu, G.; Hu, B.; Tao, R. Continuous cropping of cut chrysanthemum reduces rhizospheric soil bacterial community diversity and co-occurrence network complexity. Appl. Soil Ecol. 2023, 185, 104801. [Google Scholar] [CrossRef]
- Li, H.; Man, H.; Han, J.; Jia, X.; Wang, L.; Yang, H.; Shi, G. Soil Microorganism Interactions under Biological Fumigations Compared with Chemical Fumigation. Microorganisms 2024, 12, 2044. [Google Scholar] [CrossRef] [PubMed]
- Hanschen, F.S.; Winkelmann, T. Biofumigation for Fighting Replant Disease- A Review. Agronomy 2020, 10, 425. [Google Scholar] [CrossRef]
- Huang, R.; Liu, Y.; Zhao, L.L.; Chen, X.X.; Wang, F.; Cai, W.; Chen, L. A new flavonoid from Sophora flavescens Ait. Nat. Prod. Res. 2017, 31, 2228–2232. [Google Scholar] [CrossRef]
- Pastrana-Bonilla, E.; Akoh, C.C.; Sellappan, S.; Krewer, G. Phenolic content and antioxidant capacity of Muscadine grapes. J. Agric. Food Chem. 2003, 51, 5497–55036. [Google Scholar] [CrossRef]
- Wang, Q.; Ma, Y.; Yang, H.; Chang, Z. Effect of biofumigation and chemical fumigation on soil microbial community structure and control of pepper Phytophthora blight. World J. Microbiol. Biotechnol. 2014, 30, 507–518. [Google Scholar] [CrossRef]
- Xu, X.; Gao, X.; Gui, C.; Wang, H.; Liu, X.; Wu, G. Metagenomic Insights into the Enhancement of Bioavailable Nitrogen in Continuous Cropping Soil Through the Application of Traditional Chinese Medicine Residue Following Fumigation. Genes 2024, 15, 1532. [Google Scholar] [CrossRef]
- Liu, H.; Huang, J.G.; Yuan, L. In vitro effect of artemisinin on microbial biomasses, enzyme activities and composition of bacterial community. Appl. Soil Ecol. 2018, 124, 1–6. [Google Scholar] [CrossRef]
- Ko, H.S.; Jin, R.D.; Krishnan, H.B.; Lee, S.B.; Kim, K.Y. Biocontrol Ability of Lysobacter antibioticus HS124 Against Phytophthora Blight Is Mediated by the Production of 4-Hydroxyphenylacetic Acid and Several Lytic Enzymes. Curr. Microbiol. 2009, 59, 608–615. [Google Scholar] [CrossRef]
- Huber, K.J.; Overmann, J. Vicinamibacteraceae fam. nov., the first described family within the subdivision 6 Acidobacteria. Int. J. Syst. Evol. Microbiol. 2018, 68, 2331–2334. [Google Scholar] [CrossRef]
- He, J.; Van Treeck, B.; Nguyen, H.B.; Melançon, C.E., III. Development of an Unnatural Amino Acid Incorporation System in the Actinobacterial Natural Product Producer Streptomyces venezuelae ATCC 15439. Acs Synth. Biol. 2016, 5, 125–132. [Google Scholar] [CrossRef] [PubMed]
- Zhao, K.; Penttinen, P.; Zhang, X.; Ao, X.; Liu, M.; Yu, X.; Chen, Q. Maize rhizosphere in Sichuan, China, hosts plant growth promoting Burkholderia cepacia with phosphate solubilizing and antifungal abilities. Microbiol. Res. 2014, 169, 76–82. [Google Scholar] [CrossRef] [PubMed]
- Nandi, M.; Selin, C.; Brawerman, G.; Fernando, W.D.; de Kievit, T. Hydrogen cyanide, which contributes to Pseudomonas chlororaphis strain PA23 biocontrol, is upregulated in the presence of glycine. Biol. Control. 2017, 108, 47–54. [Google Scholar] [CrossRef]
- Sharma, H.; Haq, M.A.; Koshariya, A.K.; Kumar, A.; Rout, S.; Kaliyaperumal, K. “Pseudomonas fluorescens” as an Antagonist to Control Okra Root Rotting Fungi Disease in Plants. J. Food Qual. 2022, 2022, 5608543. [Google Scholar] [CrossRef]
- Janssen, P.H. Identifying the dominant soil bacterial taxa in libraries of 16S rRNA and 16S rRNA genes. Appl. Environ. Microbiol. 2006, 72, 1719–1728. [Google Scholar] [CrossRef]
- Taketani, R.G.; Lima, A.B.; da Conceiçao Jesus, E.; Teixeira, W.G.; Tiedje, J.M.; Tsai, S.M. Bacterial community composition of anthropogenic biochar and Amazonian anthrosols assessed by 16S rRNA gene 454 pyrosequencing. Antonie Van Leeuwenhoek 2013, 104, 233–242. [Google Scholar] [CrossRef]
- Mazzola, M.; Manici, L.M. Apple Replant Disease: Role of Microbial Ecology in Cause and Control. Annu. Rev. Phytopathol. 2012, 50, 45–65. [Google Scholar] [CrossRef]
- Kato-Noguchi, H.; Seki, T.; Shigemori, H. Allelopathy and allelopathic substance in the moss Rhynchostegium pallidifolium. J. Plant Physiol. 2010, 167, 468–471. [Google Scholar] [CrossRef]
- Hu, W.; Zhao, M.; Zhang, S.; Li, Y.; Dai, J.; Gu, C.; Li, X.; Yang, L.; Qin, L.; Liao, X. Optimized leaf storage and photosynthetic nitrogen trade-off promote synergistic increases in photosynthetic rate and photosynthetic nitrogen use efficiency. Physiol. Plant. 2023, 175, e14013. [Google Scholar] [CrossRef]
- Zheng, L.; Hao, X.; Liu, Z.; Peng, H.; Chen, J.; Huang, W.; Yu, F. Foliar spraying of potassium gluconate promotes the synthesis of the seed oil of Styrax tonkinensis. J. Am. Oil Chem. Soc. 2023, 100, 623–634. [Google Scholar] [CrossRef]
- Choudhary, A.; Kumar, A.; Kumar, U.; Choudhary, R.; Kumar, R.; Jat, R.; Nidhibahen, P.; Hatamleh, A.A.; Al-Dosary, M.A.; Al-Wasel, Y.A.; et al. Various Fertilization Managements Influence the Flowering Attributes, Yield Response, Biochemical Activity and SoilNutrient Status of Chrysanthemum (Chrysanthemum morifolium Ramat.). Sustainability 2022, 14, 4561. [Google Scholar] [CrossRef]
- Mahdavikia, F.; Saharkhiz, M.J. Phytotoxic activity of essential oil and water extract of peppermint (Mentha×piperita L. CV. Mitcham). J. Appl. Res. Med. Aromat. Plants 2015, 2, 146–153. [Google Scholar] [CrossRef]
- Rosa, M.; Prado, C.; Podazza, G.; Interdonato, R.; González, J.A.; Hilal, M.; Prado, F.E. Soluble sugars: Metabolism, sensing and abiotic stress: A complex network in the life of plants. Plant Signal. Behav. 2009, 4, 388–393. [Google Scholar] [CrossRef]
- Ozga, J.A.; Kaur, H.; Savada, R.P.; Reinecke, D.M. Hormonal regulation of reproductive growth under normal and heat-stress conditions in legume and other model crop species. J. Exp. Bot. 2017, 68, 1885–1894. [Google Scholar] [CrossRef]
- Sami, F.; Yusuf, M.; Faizan, M.; Faraz, A.; Hayat, S. Role of sugars under abiotic stress. Plant Physiol. Biochem. 2016, 109, 54–61. [Google Scholar] [CrossRef]











| Treatments | Sophora flavescens | Stemona sessilifolia | Mentha haplocalyx | Perilla frutescens | Artemisia annuaannua |
|---|---|---|---|---|---|
| CK | 0 | 0 | 0 | 0 | 0 |
| T1 | 1 | 1 | 1 | 1 | 1 |
| T2 | 2 | 1 | 2 | 1 | 1.5 |
| T3 | 3 | 1 | 3 | 1 | 2 |
| T4 | 4 | 0 | 4 | 0 | 2 |
Disclaimer/Publisher’s Note: The statements, opinions and data contained in all publications are solely those of the individual author(s) and contributor(s) and not of MDPI and/or the editor(s). MDPI and/or the editor(s) disclaim responsibility for any injury to people or property resulting from any ideas, methods, instructions or products referred to in the content. |
© 2025 by the authors. Licensee MDPI, Basel, Switzerland. This article is an open access article distributed under the terms and conditions of the Creative Commons Attribution (CC BY) license (https://creativecommons.org/licenses/by/4.0/).
Share and Cite
Li, H.; Qu, H.; Xuan, H.; Liu, B.; Zhu, L.; Shang, X.; Xie, Y.; Zhang, L.; Yang, L.; Yuan, L.; et al. A Chinese Herbal Compound Fertilizer Improved the Soil Bacterial Community and Promoted the Quality of Chrysanthemum morifolium ‘Huangju’. Agronomy 2025, 15, 1512. https://doi.org/10.3390/agronomy15071512
Li H, Qu H, Xuan H, Liu B, Zhu L, Shang X, Xie Y, Zhang L, Yang L, Yuan L, et al. A Chinese Herbal Compound Fertilizer Improved the Soil Bacterial Community and Promoted the Quality of Chrysanthemum morifolium ‘Huangju’. Agronomy. 2025; 15(7):1512. https://doi.org/10.3390/agronomy15071512
Chicago/Turabian StyleLi, Hongliang, Hongyao Qu, Huaqiang Xuan, Bei Liu, Lixiang Zhu, Xianchao Shang, Yi Xie, Li Zhang, Long Yang, Ling Yuan, and et al. 2025. "A Chinese Herbal Compound Fertilizer Improved the Soil Bacterial Community and Promoted the Quality of Chrysanthemum morifolium ‘Huangju’" Agronomy 15, no. 7: 1512. https://doi.org/10.3390/agronomy15071512
APA StyleLi, H., Qu, H., Xuan, H., Liu, B., Zhu, L., Shang, X., Xie, Y., Zhang, L., Yang, L., Yuan, L., Pattanaik, S., Xiang, L., & Hou, X. (2025). A Chinese Herbal Compound Fertilizer Improved the Soil Bacterial Community and Promoted the Quality of Chrysanthemum morifolium ‘Huangju’. Agronomy, 15(7), 1512. https://doi.org/10.3390/agronomy15071512

