Prediction of Crops Cycle with Seasonal Forecasts to Support Decision-Making
Abstract
1. Introduction
2. Materials and Methods
2.1. Study Site Brief Characterisation
2.2. Atmospheric Data
2.2.1. Ground Truth Data
2.2.2. Reanalysis
2.2.3. Seasonal Forecasts
2.3. Data Analysis
2.3.1. Quality Assurance and Quality Control (QAQC)
2.3.2. Reanalysis Data Bias Correction and Validation
2.3.3. Seasonal Forecasts Direct Validation Approach
2.3.4. Seasonal Forecasts Indirect Validation Approach
3. Results and Discussion
3.1. Reanalysis Correction and Validation
3.2. Seasonal Forecasts Direct Validation
3.2.1. Monthly Validation
3.2.2. Seasonal Validation
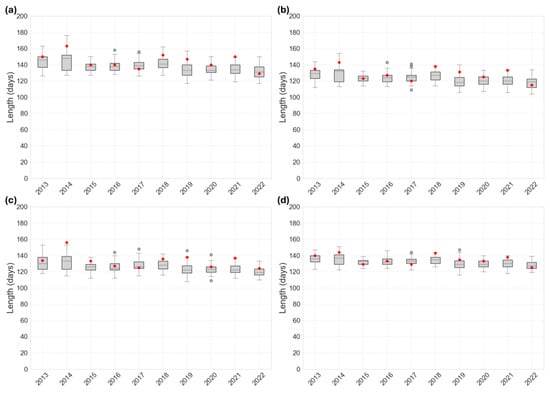
3.3. Seasonal Forecast Indirect Validation
4. Conclusions
Author Contributions
Funding
Data Availability Statement
Acknowledgments
Conflicts of Interest
Correction Statement
Appendix A
| Indicator | Equation | Description |
|---|---|---|
| Bias Percentage (PBIAS) | Ri is the reanalysis based value, Fi is the seasonal forecast based value, in the year i, and n is the number of years. Quantifies the average tendency of the forecast data to overestimate or underestimate the reference values. Positive values indicate forecast underestimation, while negative values indicate forecast overestimation. Deterministic approach using the forecast ensemble median. | |
| Coefficient of Determination (R2) | Fi is the seasonal forecast based value, in the year i, and n is the number of years, is the regression line adjusted forecast based value, is the mean of forecast based values. Measures the proportion of variance in the reanalysis values explained by the forecast model. Ranges from 0 to 1. Higher R2 values indicate that a large proportion of the variance in reanalysis values is explained by the forecasts. Deterministic approach using the forecast ensemble median. | |
| Mean Absolute Error (MAE) | Ri is the reanalysis based value, Fi is the seasonal forecast based value, in the year i, and n is the number of years. Measures the average magnitude of errors between forecasts and reference values, without considering their direction. Lower values indicate better accuracy. Deterministic approach using the forecast ensemble median. | |
| Root Mean Square Error (RMSE) | Ri is the reanalysis based value, Fi is the seasonal forecast based value, in the year i, and n is the number of years. Measures the square root of the average squared differences between forecasts and reference values. Penalises larger errors more than MAE. Deterministic approach using the forecast ensemble median. | |
| Normalised Root Mean Square Error (NRMSE) | is the mean of reanalysis based values. Provides a dimensionless measure of the model’s relative error. Useful for comparing performance across variables or scales. Deterministic approach using the forecast ensemble median. | |
| Standardised Anomaly Index (SAI) | T is the mean seasonal temperature mean for a given year, Tc is the long-term (2013–2022) mean seasonal temperature, and σ is the standard deviation of the seasonal temperature mean for the long-term dataset. Measures the standardised anomaly of seasonal temperature. Indicates how many standard deviations the seasonal value deviates from the long-term mean. Deterministic approach using the forecast ensemble median. | |
| Anomaly Correlation Coefficient (ACC) | Ri is the reanalysis based value, Rc the is the long-term (2013–2022) reanalysis mean, Fi is the seasonal forecast based value, Fc is the long-term forecast mean, in the year i, and n is the number of years. Measures the correlation between forecast anomalies and observed anomalies. Ranges from −1 to 1, with positive values indicating agreement between forecast and reanalysis anomalies. Reanalysis anomalies were calculated relative to the 10-year reanalysis dataset, while the forecast anomalies were calculated relative to the 10-year forecast dataset. Deterministic approach using the forecast ensemble median. | |
| Continuous Ranked Probability Skill Score (CRPSS) | CRPSF and CRPSR are the continuous ranked probability score for the forecast and the reanalysis, respectively. Quantifies the skill of the forecast in relation to the reanalysis based climatology. A CRPSS of 1 means a perfect forecast, 0 means the forecast is as good as the reanalysis historical average, and negative values indicate worse skill than the long-term average. This analysis was performed using the SeaVal: Validation of Seasonal Weather Forecasts R package. Probabilistic approach using all the forecast ensemble members. |
References
- Zou, Z.; Li, C.; Wu, X.D.; Zheng, M.; Cheng, C. The Effect of Day-to-Day Temperature Variability on Agricultural Productivity. Environ. Res. Lett. 2024, 19, 124046. [Google Scholar] [CrossRef]
- Minoli, S.; Jägermeyr, J.; Asseng, S.; Urfels, A.; Müller, C. Global Crop Yields Can Be Lifted by Timely Adaptation of Growing Periods to Climate Change. Nat. Commun. 2022, 13, 7079. [Google Scholar] [CrossRef] [PubMed]
- Kummu, M.; Heino, M.; Taka, M.; Varis, O.; Viviroli, D. Climate Change Risks Pushing One-Third of Global Food Production Outside the Safe Climatic Space. One Earth 2021, 4, 720–729. [Google Scholar] [CrossRef]
- Zhu, P.; Burney, J.; Chang, J.; Jin, Z.; Mueller, N.; Xin, Q.; Xu, J.; Yu, L.; Makowski, D.; Ciais, P. Warming Reduces Global Agricultural Production by Decreasing Cropping Frequency and Yields. Nat. Clim. Change 2022, 12, 1016–1023. [Google Scholar] [CrossRef]
- Ali, E.; Cramer, W.; Carnicer, J.; Georgopoulou, E.; Hilmi, N.J.M.; Le Cozannet, G.; Lionello, P. Cross-Chapter Paper 4: Mediterranean Region. In Climate Change 2022: Impacts, Adaptation and Vulnerability; Contribution of Working Group II to the Sixth Assessment Report of the Intergovernmental Panel on Climate, Change; Pörtner, H.-O., Roberts, D.C., Tignor, M., Poloczanska, E.S., Mintenbeck, K., Alegría, A., Craig, M., Langsdorf, S., Löschke, S., Möller, V., et al., Eds.; Cambridge University PressL: Cambridge, UK; New York, NY, USA, 2022; pp. 2233–2272. [Google Scholar] [CrossRef]
- Drobinski, P.; Da Silva, N.; Bastin, S.; Mailler, S.; Muller, C.; Ahrens, B.; Christensen, O.; Lionello, P. How Warmer and Drier Will the Mediterranean Region Be at the End of the Twenty-First Century? Reg. Environ. Change 2020, 20, 78. [Google Scholar] [CrossRef]
- Intergovernmental Panel On Climate Change (IPCC). Climate Change 2022—Impacts, Adaptation and Vulnerability: Working Group II Contribution to the Sixth Assessment Report of the Intergovernmental Panel on Climate Change; Pörtner, H.-O., Roberts, D.C., Tignor, M., Poloczanska, E.S., Mintenbeck, K., Alegría, A., Craig, M., Langsdorf, S., Löschke, S., Möller, V., et al., Eds.; Cambridge University Press: Cambridge, UK; New York, NY, USA, 2023; 3056p. [Google Scholar] [CrossRef]
- Cramer, W.; Guiot, J.; Marini, K. (Eds.) Climate and Environmental Change in the Mediterranean Basin—Current Situation and Risks for the Future. First Mediterranean Assessment Report; Mediterranean Experts on Climate and Environmental Change, Union for the Mediterranean, Plan Bleu, UNEP/MAP: Marseille, France, 2020; 632p. [Google Scholar] [CrossRef]
- Webber, H.; Lischeid, G.; Sommer, M.; Finger, R.; Nendel, C.; Gaiser, T.; Ewert, F. No Perfect Storm for Crop Yield Failure in Germany. Environ. Res. Lett. 2020, 15, 104012. [Google Scholar] [CrossRef]
- Menzel, A.; Yuan, Y.; Matiu, M.; Sparks, T.; Scheifinger, H.; Gehrig, R.; Estrella, N. Climate Change Fingerprints in Recent European Plant Phenology. Glob. Chang. Biol. 2020, 26, 2599–2612. [Google Scholar] [CrossRef]
- Rezaei, E.; Webber, H.; Asseng, S.; Boote, K.; Durand, J.-L.; Ewert, F.; Martre, P.; Maccarthy, D. Climate Change Impacts on Crop Yields. Nat. Rev. Earth Environ. 2023, 4, 831–846. [Google Scholar] [CrossRef]
- Kukal, M.S.; Irmak, S. Climate-Driven Crop Yield and Yield Variability and Climate Change Impacts on the U.S. Great Plains Agricultural Production. Sci. Rep. 2018, 8, 3450. [Google Scholar] [CrossRef]
- Auci, S.; Vignani, D. Climate Variability and Agriculture in Italy: A Stochastic Frontier Analysis at the Regional Level. Econ. Politica 2020, 37, 381–409. [Google Scholar] [CrossRef]
- Yuan, X.; Li, S.; Chen, J.; Yu, H.; Tianyi, Y.; Wang, C.; Huang, S.; Haochong, C.; Ao, X. Impacts of Global Climate Change on Agricultural Production: A Comprehensive Review. Agronomy 2024, 14, 1360. [Google Scholar] [CrossRef]
- Dainelli, R.; Calmanti, S.; Pasqui, M.; Rocchi, L.; Di Giuseppe, E.; Monotti, C.; Quaresima, S.; Matese, A.; Di Gennaro, S.; Toscano, P. Moving Climate Seasonal Forecasts Information from Useful to Usable for Early Within-Season Predictions of Durum Wheat Yield. Clim. Serv. 2022, 28, 100324. [Google Scholar] [CrossRef]
- Rodriguez, D.; de Voil, P.; Hudson, D.; Brown, J.; Hayman, P.; Marrou, H.; Meinke, H. Predicting Optimum Crop Designs Using Crop Models and Seasonal Climate Forecasts. Sci. Rep. 2018, 8, 2231. [Google Scholar] [CrossRef]
- Villani, G.; Tomei, F.; Pavan, V.; Pirola, A.; Spisni, A.; Marletto, V. The ICOLT Climate Service: Seasonal Predictions of Irrigation for Emilia-Romagna, Italy. Meteorol. Appl. 2021, 28, 2007. [Google Scholar] [CrossRef]
- Chen, Y.; Tao, F. Potential of Remote Sensing Data-Crop Model Assimilation and Seasonal Weather Forecasts for Early-Season Crop Yield Forecasting over a Large Area. Field Crops Res. 2022, 276, 108398. [Google Scholar] [CrossRef]
- Fleming, A.; Fielke, S.; Jakku, E.; Malakar, Y.; Snow, S.; Clarry, S.; Tozer, C.; Darbyshire, R.; Legge, D.; Samson, A.; et al. Developing Climate Services for Use in Agricultural Decision Making: Insights from Australia. Clim. Serv. 2025, 37, 100537. [Google Scholar] [CrossRef]
- Ritchie, J.T.; NeSmith, D.S. Temperature and Crop Development. In Modeling Plant and Soil Systems; Hanks, R.J., Ritchie, J.T., Eds.; Agronomy Monographs 31; American Society of Agronomy: Madison, WI, USA, 1991; pp. 5–29. [Google Scholar]
- Bonhomme, R. Bases and Limits to Using ‘Degree.Day’ Units. Eur. J. Agron. 2000, 13, 1–10. [Google Scholar] [CrossRef]
- Roth, L.; Binder, M.; Kirchgessner, N.; Tschurr, F.; Yates, S.; Hund, A.; Kronenberg, L.; Walter, A. From Neglecting to Including Cultivar-Specific Per Se Temperature Responses: Extending the Concept of Thermal Time in Field Crops. Plant Phenomics 2025, 6, 0185. [Google Scholar] [CrossRef]
- Yang, C.; Lei, N.; Menz, C.; Ceglar, A.; Torres-Matallana, J.A.; Li, S.; Jiang, Y.; Tan, X.; Tao, L.; He, F.; et al. Regional Uncertainty Analysis between Crop Phenology Model Structures and Optimal Parameters. Agric. Meteorol. 2024, 355, 110137. [Google Scholar] [CrossRef]
- Jagadish, S.V.K.; Bahuguna, R.N.; Djanaguiraman, M.; Gamuyao, R.; Prasad, P.V.V.; Craufurd, P.Q. Implications of High Temperature and Elevated CO2 on Flowering Time in Plants. Front. Plant Sci. 2016, 7, 2016. [Google Scholar] [CrossRef]
- Zhao, C.; Liu, B.; Piao, S.; Wang, X.; Lobell, D.; Huang, Y.; Huang, M.; Yao, Y.; Bassu, S.; Ciais, P.; et al. Temperature Increase Reduces Global Yields of Major Crops in Four Independent Estimates. Proc. Natl. Acad. Sci. USA 2017, 114, 201701762. [Google Scholar] [CrossRef] [PubMed]
- Wang, J.Y. A Critique of the Heat Unit Approach to Plant Response Studies. Ecology 1960, 41, 785–790. [Google Scholar] [CrossRef]
- McMaster, G.S.; Wilhelm, W.W. Growing Degree-Days: One Equation, Two Interpretations. Agric. Meteorol. 1997, 87, 291–300. [Google Scholar] [CrossRef]
- Salman, M.; García Vila, M.; Fereres, E.; Raes, D.; Steduto, P.; Heng, L.; De Lannoy, G.; Wellens, J.; Foster, T.; Busschaert, L.; et al. AquaCrop on the Ground; FAO Water Reports 48; FAO: Rome, Italy, 2025; 92p. [Google Scholar] [CrossRef]
- Müller, C.; Elliott, J.; Chryssanthacopoulos, J.; Arneth, A.; Balkovic, J.; Ciais, P.; Deryng, D.; Folberth, C.; Glotter, M.; Hoek, S.; et al. Global Gridded Crop Model Evaluation: Benchmarking, Skills, Deficiencies And. Geosci. Model. Dev. 2017, 10, 1403–1422. [Google Scholar] [CrossRef]
- Allen, R.; Robison, C.; Huntington, J.; Wright, J.; Kilic, A. Applying the FAO-56 Dual Kc Method for Irrigation Water Requirements over Large Areas of the Western U.S. Trans. ASABE 2020, 63, 2059–2081. [Google Scholar] [CrossRef]
- Pearson, C.; Minor, B.A.; Morton, C.G.; Volk, J.M.; Dunkerly, C.W.; Jensen, E.; ReVelle, P.; Kilic, A.; Allen, R.; Huntington, J.L. Historical Evapotranspiration and Consumptive Use of Irrigated Areas of the Upper Colorado River Basin; DRI Report No. 41304; Desert Research Institute: Las Vegas, NV, USA, 2024. [Google Scholar] [CrossRef]
- Johnson, S.J.; Stockdale, T.N.; Ferranti, L.; Balmaseda, M.A.; Molteni, F.; Magnusson, L.; Tietsche, S.; Decremer, D.; Weisheimer, A.; Balsamo, G.; et al. SEAS5: The New ECMWF Seasonal Forecast System. Geosci. Model. Dev. 2019, 12, 1087–1117. [Google Scholar] [CrossRef]
- Crespi, A.; Petitta, M.; Marson, P.; Viel, C.; Grigis, L. Verification and Bias Adjustment of ECMWF SEAS5 Seasonal Forecasts over Europe for Climate Service Applications. Climate 2021, 9, 181. [Google Scholar] [CrossRef]
- Stockdale, T. SEAS5 User Guide; Version 1.2; ECMWF: Reading, UK, 2021; 24p. [Google Scholar] [CrossRef]
- Garcia, D.; Rolim, J.; Cameira, M.d.R.; Belaud, G.; Dalezios, N.R.; Karoutsos, G.; Santos, J.A.; Paredes, P. Assessing Seasonal Forecast Performance to Predict Crop Irrigation Requirements to Support Water Management Decision-Making in the Mediterranean Region. Agric. Water Manag. 2025, 313, 109467. [Google Scholar] [CrossRef]
- Yang, C.; Ceglar, A.; Menz, C.; Martins, J.; Fraga, H.; Santos, J. Performance of Seasonal Forecasts for the Flowering and Veraison of Two Major Portuguese Grapevine Varieties. Agric. Meteorol. 2023, 331, 109342. [Google Scholar] [CrossRef]
- Capa-Morocho, M.; Ines, A.V.M.; Baethgen, W.E.; Rodríguez-Fonseca, B.; Han, E.; Ruiz-Ramos, M. Crop Yield Outlooks in the Iberian Peninsula: Connecting Seasonal Climate Forecasts with Crop Simulation Models. Agric. Syst. 2016, 149, 75–87. [Google Scholar] [CrossRef]
- Lalic, B.; Firanj Sremac, A.; Dekic, L.; Eitzinger, J. Seasonal Forecasting of Green Water Components and Crop Yields of Winter Wheat in Serbia and Austria. J. Agric. Sci. 2017, 156, 1–17. [Google Scholar] [CrossRef]
- Lalic, B.; Firanj Sremac, A.; Eitzinger, J.; Stricevic, R.; Thaler, S.; Maksimovic, I.; Danicic, M.; Dekic, L. Seasonal Forecasting of Green Water Components and Crop Yield of Summer Crops in Serbia and Austria. J. Agric. Sci. 2018, 156, 1–15. [Google Scholar] [CrossRef]
- Velde, M.; Nisini, L. Performance of the MARS-Crop Yield Forecasting System for the European Union: Assessing Accuracy, in-Season, and Year-to-Year Improvements from 1993 to 2015. Agric. Syst. 2018, 168, 203–212. [Google Scholar] [CrossRef]
- Santos, J.A.; Ceglar, A.; Toreti, A.; Prodhomme, C. Performance of Seasonal Forecasts of Douro and Port Wine Production. Agric. Meteorol. 2020, 291, 108095. [Google Scholar] [CrossRef]
- Bento, V.A.; Russo, A.; Dutra, E.; Ribeiro, A.F.S.; Gouveia, C.M.; Trigo, R.M. Persistence versus Dynamical Seasonal Forecasts of Cereal Crop Yields. Sci. Rep. 2022, 12, 7422. [Google Scholar] [CrossRef]
- Ramírez-Rodrigues, M.; Alderman, P.; Stefanova, L.; Cossani, C.; Flores, D.; Asseng, S. The Value of Seasonal Forecasts for Irrigated, Supplementary Irrigated, And Rainfed Wheat Cropping Systems in Northwest Mexico. Agric. Syst. 2016, 147, 76–86. [Google Scholar] [CrossRef]
- An-Vo, D.-A.; Mushtaq, S.; Reardon-Smith, K.; Kouadio, L.; Attard, S.; Cobon, D.; Stone, R. Value of Seasonal Forecasting for Sugarcane Farm Irrigation Planning. Eur. J. Agron. 2019, 104, 37–48. [Google Scholar] [CrossRef]
- Vogel, E.; Lerat, J.; Pipunic, R.; Frost, A.J.; Donnelly, C.; Griffiths, M.; Hudson, D.; Loh, S. Seasonal Ensemble Forecasts for Soil Moisture, Evapotranspiration and Runoff across Australia. J. Hydrol. 2021, 601, 126620. [Google Scholar] [CrossRef]
- Judt, F. Atmospheric Predictability of the Tropics, Middle Latitudes, and Polar Regions Explored Through Global Storm-Resolving Simulations. J. Atmos. Sci. 2019, 77, 257–276. [Google Scholar] [CrossRef]
- Calì Quaglia, F.; Silvia, T.; Hardenberg, J. Temperature and Precipitation Seasonal Forecasts over the Mediterranean Region: Added Value Compared to Simple Forecasting Methods. Clim. Dyn. 2021, 58, 2167–2191. [Google Scholar] [CrossRef]
- Ceglar, A.; Toreti, A. Seasonal Climate Forecast Can Inform the European Agricultural Sector Well in Advance of Harvesting. NPJ Clim. Atmos. Sci. 2021, 4, 42. [Google Scholar] [CrossRef]
- Costa-Saura, J.M.; Mereu, V.; Santini, M.; Trabucco, A.; Spano, D.; Bacciu, V. Performances of Climatic Indicators from Seasonal Forecasts for Ecosystem Management: The Case of Central Europe and the Mediterranean. Agric. Meteorol. 2022, 319, 108921. [Google Scholar] [CrossRef]
- Bruno Soares, M.; Dessai, S. Barriers and Enablers to the Use of Seasonal Climate Forecasts amongst Organisations in Europe. Clim. Change 2016, 137, 89–103. [Google Scholar] [CrossRef] [PubMed]
- Klemm, T.; McPherson, R. The Development of Seasonal Climate Forecasting for Agricultural Producers. Agric. For. Meteorol. 2017, 232, 384–399. [Google Scholar] [CrossRef]
- Ferreira, A.; Rolim, J.; Paredes, P.; Cameira, M. do R. Assessing Spatio-Temporal Dynamics of Deep Percolation Using Crop Evapotranspiration Derived from Earth Observations through Google Earth Engine. Water 2022, 14, 2324. [Google Scholar] [CrossRef]
- Instituto Nacional de Estatística (INE). Estatísticas Agrícolas 2023. Lisboa, Portugal: Instituto Nacional de Estatística. 2024. Available online: https://www.ine.pt/ (accessed on 3 April 2025).
- FAO. International Soil Classification System for Naming Soils and Creating Legends for Soil Maps. In World Reference Base for Soil Resources; FAO: Roma, Italy, 2014. [Google Scholar]
- Nunes, J.M.R. Los Suelos del Perímetro Regable del Caia (Portugal): Tipos, Fertilidade, e Impacto del Riego en sus Propriedades Químicas. Ph.D. Thesis, Universidad de Extremadura, Faculdad de Ciencias, Badajoz, Spain, 2013. [Google Scholar]
- Beck, H.E.; Zimmermann, N.E.; McVicar, T.R.; Vergopolan, N.; Berg, A.; Wood, E.F. Present and Future Köppen-Geiger Climate Classification Maps at 1-Km Resolution. Sci. Data 2018, 5, 180214. [Google Scholar] [CrossRef]
- Paulo, A.; Rosa, R.; Pereira, L. Climate Trends and Behaviour of Drought Indices Based on Precipitation and Evapotranspiration in Portugal. Nat. Hazards Earth Syst. Sci. 2012, 12, 1481–1491. [Google Scholar] [CrossRef]
- Yang, C.; Fraga, H.; van Ieperen, W.; Santos, J.A. Assessing the Impacts of Recent-Past Climatic Constraints on Potential Wheat Yield and Adaptation Options under Mediterranean Climate in Southern Portugal. Agric. Syst. 2020, 182, 102844. [Google Scholar] [CrossRef]
- Oliveira, I.; Maia, J.; Teixeira, J.L. O sistema agrometeorológico para a gestão da rega no Alentejo—Sagra como serviço de avisos de rega para o Alentejo. In Proceedings of the 7° Congresso da Água Associação Portuguesa Dos Recursos Hídricos, Lisboa, Portugal, 8–12 March 2024; 2004; pp. 1–23. Available online: https://www.aprh.pt/congressoagua2004/PDF/22.PDF (accessed on 1 March 2025).
- Boogaard, H.; Schubert, J.; De Wit, A.; Lazebnik, J.; Hutjes, R.; Van der Grijn, G. Agrometeorological indicators from 1979 to present derived from reanalysis. Copernic. Clim. Change Serv. C3S Clim. Data Store CDS 2020. [Google Scholar] [CrossRef]
- Araghi, A.; Jaghargh, M.R.; Maghrebi, M.; Martinez, C.J.; Fraisse, C.W.; Olesen, J.E.; Hoogenboom, G. Investigation of Satellite-Related Precipitation Products for Modeling of Rainfed Wheat Production Systems. Agric. Water Manag. 2021, 258, 107222. [Google Scholar] [CrossRef]
- Soulis, K.; Dosiadis, E.; Nikitakis, E.; Charalambopoulos, I.; Kairis, O.; Katsogiannou, A.; Palli Gravani, S.; Kalivas, D. Assessing AgERA5 and MERRA-2 Global Climate Datasets for Small-Scale Agricultural Applications. Atmosphere 2025, 16, 263. [Google Scholar] [CrossRef]
- Paredes, P.; Martins, D.S.; Pereira, L.S.; Cadima, J.; Pires, C. Accuracy of Daily Estimation of Grass Reference Evapotranspiration Using ERA-Interim Reanalysis Products with Assessment of Alternative Bias Correction Schemes. Agric. Water Manag. 2018, 210, 340–353. [Google Scholar] [CrossRef]
- Cardoso, R.M.; Soares, P.M.M. Is There Added Value in the EURO-CORDEX Hindcast Temperature Simulations? Assessing the Added Value Using Climate Distributions in Europe. Int. J. Climatol. 2022, 42, 4024–4039. [Google Scholar] [CrossRef]
- Sebbar, B.; Khabba, S.; Merlin, O.; Simonneaux, V.; El Hachimi, C.; Kharrou, M.H.; Chehbouni, A. Machine-Learning-Based Downscaling of Hourly ERA5-Land Air Temperature over Mountainous Regions. Atmosphere 2023, 14, 610. [Google Scholar] [CrossRef]
- Copernicus Climate Change Service; Climate Data Store. Seasonal forecast daily and subdaily data on single levels. Copernic. Clim. Chang. Serv. C3S Clim. Data Store CDS 2018. [CrossRef]
- Allen, R. Quality Assessment of Weather Data and Micrometeological Flux—Impacts on Evapotranspiration Calculation. J. Agric. Meteorol. 2008, 64, 191–204. [Google Scholar] [CrossRef]
- Pereira, L.S.; Allen, R.; Paredes, P.; López-Urrea, R.; Raes, D.; Smith, M.; Kilic, A.; Salman, M. Crop Evapotranspiration—Guidelines for Computing Crop Water Requirements; FAO Irrigation and Drainage Paper 56rev; FAO: Rome, Italy, 2025; p. 395. (in press)
- Pelosi, A.; Medina, H.; Van den Bergh, J.; Vannitsem, S.; Chirico, G.B. Adaptive Kalman Filtering for Postprocessing Ensemble Numerical Weather Predictions. Mon. Weather Rev. 2017, 145, 4837–4854. [Google Scholar] [CrossRef]
- Pelosi, A.; Terribile, F.; D’Urso, G.; Chirico, G.B. Comparison of ERA5-Land and UERRA MESCAN-SURFEX Reanalysis Data with Spatially Interpolated Weather Observations for the Regional Assessment of Reference Evapotranspiration. Water 2020, 12, 1669. [Google Scholar] [CrossRef]
- Paredes, P.; Trigo, I.; de Bruin, H.; Simões, N.; Pereira, L.S. Daily Grass Reference Evapotranspiration with Meteosat Second Generation Shortwave Radiation and Reference ET Products. Agric. Water Manag. 2021, 248, 106543. [Google Scholar] [CrossRef]
- Zhou, L.; Chen, H.; Xu, L.; Cai, R.-H.; Chen, D. Deep Learning-Based Postprocessing for Hourly Temperature Forecasting. Meteorol. Appl. 2024, 31, e2194. [Google Scholar] [CrossRef]
- Dunkerly, C.; Huntington, J.; McEvoy, D.; Morway, A.; Allen, R. Agweather-Qaqc: An Interactive Python Package for Quality Assurance and Quality Control of Daily Agricultural Weather Data and Calculation of Reference Evapotranspiration. J. Open Source Softw. 2024, 9, 6368. [Google Scholar] [CrossRef]
- Nash, J.E.; Sutcliffe, J. V River Flow Forecasting through Conceptual Models Part I—A Discussion of Principles. J. Hydrol. Amst 1970, 10, 282–290. [Google Scholar] [CrossRef]
- Pelosi, A.; Chirico, G.B. Regional Assessment of Daily Reference Evapotranspiration: Can Ground Observations Be Replaced by Blending ERA5-Land Meteorological Reanalysis and CM-SAF Satellite-Based Radiation Data? Agric. Water Manag. 2021, 258, 107169. [Google Scholar] [CrossRef]
- Vanella, D.; Longo-Minnolo, G.; Belfiore, O.R.; Ramírez-Cuesta, J.M.; Pappalardo, S.; Consoli, S.; D’Urso, G.; Chirico, G.B.; Coppola, A.; Comegna, A.; et al. Comparing the Use of ERA5 Reanalysis Dataset and Ground-Based Agrometeorological Data under Different Climates and Topography in Italy. J. Hydrol. Reg. Stud. 2022, 42, 101182. [Google Scholar] [CrossRef]
- Ippolito, M.; De Caro, D.; Cannarozzo, M.; Provenzano, G.; Ciraolo, G. Evaluation of Daily Crop Reference Evapotranspiration and Sensitivity Analysis of FAO Penman-Monteith Equation Using ERA5-Land Reanalysis Database in Sicily, Italy. Agric. Water Manag. 2024, 295, 108732. [Google Scholar] [CrossRef]
- Kraus, E.B. Subtropical Droughts and Cross-Equatorial Energy Transports. Mon. Weather Rev. 1977, 105, 1009–1018. [Google Scholar] [CrossRef]
- Katz, R.W.; Glantz, M.H. Anatomy of a Rainfall Index. Mon. Weather Rev. 1986, 114, 764–771. [Google Scholar] [CrossRef]
- Owens, R.; Hewson, T. ECMWF Forecast User Guide; ECMWF: Reading, UK, 2018. [Google Scholar] [CrossRef]
- Hersbach, H. Decomposition of the Continuous Ranked Probability Score for Ensemble Prediction Systems. Weather. Forecast. 2000, 15, 559–570. [Google Scholar] [CrossRef]
- Heinrich-Mertsching, C. SeaVal: Validation of Seasonal Weather Forecasts. R. Package Version 1 (2). 2024. Available online: https://CRAN.R-project.org/package=SeaVal (accessed on 1 March 2025).
- Matheson, J.E.; Winkler, R.L. Scoring Rules for Continuous Probability Distributions. Manag. Sci. 1976, 22, 1087–1096. [Google Scholar] [CrossRef]
- Gneiting, T.; Raftery, A.E. Strictly Proper Scoring Rules, Prediction, and Estimation. J. Am. Stat. Assoc. 2007, 102, 359–378. [Google Scholar] [CrossRef]
- Normand, F.; Mathieu, L. Toward a Better Interpretation and Use of Thermal Time Models. Acta Hortic. 2006, 707, 159–165. [Google Scholar] [CrossRef]
- Steduto, P.; Hsiao, T.C.; Fereres, E.; Raes, D. Crop Yield Response to Water; FAO Irrig Drain Paper No. 66; FAO: Rome, Italy, 2012; 500p. [Google Scholar]
- Jiménez-Jiménez, S.I.; de Jesús Marcial-Pablo, M.; Sánchez-Cohen, I.; Ojeda-Bustamante, W.; Inzunza-Ibarra, M.A.; Urrieta-Velazquez, J.A. Estimating Reference Evapotranspiration Using Reanalysis Data from the Google Earth Engine: A Case Study From an Arid Hydrological Region in Mexico. Irrig. Drain. 2025. [Google Scholar] [CrossRef]
- Lopes, F.M.; Dutra, E.; Boussetta, S. Evaluation of Daily Temperature Extremes in the ECMWF Operational Weather Forecasts and ERA5 Reanalysis. Atmosphere 2024, 15, 93. [Google Scholar] [CrossRef]
- Pelosi, A. Performance of the Copernicus European Regional Reanalysis (CERRA) Dataset as Proxy of Ground-Based Agrometeorological Data. Agric. Water Manag. 2023, 289, 108556. [Google Scholar] [CrossRef]
- Gourgouletis, N.; Gkavrou, M.; Baltas, E. Comparison of Empirical ETo Relationships with ERA5-Land and In Situ Data in Greece. Geographies 2023, 3, 499–521. [Google Scholar] [CrossRef]
- Weisheimer, A.; Palmer, T. On the Reliability of Seasonal Climate Forecasts. J. R. Soc. Interface R. Soc. 2014, 11, 20131162. [Google Scholar] [CrossRef]
- Manzanas, R.; Torralba, V.; Lledó, L.; Bretonnière, P.A. On the Reliability of Global Seasonal Forecasts: Sensitivity to Ensemble Size, Hindcast Length and Region Definition. Geophys. Res. Lett. 2022, 49, e2021GL094662. [Google Scholar] [CrossRef]
- Lundell, J.F.; Bean, B.; Symanzik, J. Let’s Talk about the Weather: A Cluster-Based Approach to Weather Forecast Accuracy. Comput. Stat. 2023, 38, 1135–1155. [Google Scholar] [CrossRef]
- Giunta, G.; Salerno, R.; Ceppi, A.; Ercolani, G.; Mancini, M. Benchmark Analysis of Forecasted Seasonal Temperature over Different Climatic Areas. Geosci. Lett. 2015, 2, 9. [Google Scholar] [CrossRef][Green Version]
- Renan, L.R.; Katurji, M.; Zawar-Reza, P.; Quénol, H.; Sturman, A. Analysis of Spatio-temporal Bias of Weather Research and Forecasting Temperatures Based on Weather Pattern Classification. Int. J. Climatol. 2018, 39, 5784. [Google Scholar] [CrossRef]
- Ji, F.; Evans, J.; Teng, J.; Scorgie, Y.; Argueso, D.; Di Luca, A. Evaluation of Long-Term Precipitation and Temperature Weather Research and Forecasting Simulations for Southeast Australia. Clim. Res. 2016, 67, 1366. [Google Scholar] [CrossRef]
- Ferreira, G.W.S.; Reboita, M.S.; Drumond, A. Evaluation of ECMWF-SEAS5 Seasonal Temperature and Precipitation Predictions over South America. Climate 2022, 10, 128. [Google Scholar] [CrossRef]
- Kioutsioukis, I.; de Meij, A.; Jakobs, H.; Katragkou, E.; Vinuesa, J.-F.; Kazantzidis, A. High Resolution WRF Ensemble Forecasting for Irrigation: Multi-Variable Evaluation. Atmos. Res. 2016, 167, 156–174. [Google Scholar] [CrossRef]
- Patterson, M.; Befort, D.J.; O’Reilly, C.H.; Weisheimer, A. Drivers of the ECMWF SEAS5 Seasonal Forecast for the Hot and Dry European Summer of 2022. Q. J. R. Meteorol. Soc. 2024, 150, 4969–4986. [Google Scholar] [CrossRef]
- Rolim, J.; Navarro, A.; Vilar, P.; Saraiva, C.; Catalao, J. Crop Data Retrieval Using Earth Observation Data to Support Agricultural Water Management. Eng. Agrícola 2019, 39, 380–390. [Google Scholar] [CrossRef]
- French, A.N.; Sanchez, C.A.; Wirth, T.; Scott, A.; Shields, J.W.; Bautista, E.; Saber, M.N.; Wisniewski, E.; Gohardoust, M.R. Remote Sensing of Evapotranspiration for Irrigated Crops at Yuma, Arizona, USA. Agric. Water Manag. 2023, 290, 108582. [Google Scholar] [CrossRef]
- Espírito Santo, F.; de Lima, M.I.P.; Ramos, A.M.; Trigo, R.M. Trends in Seasonal Surface Air Temperature in Mainland Portugal, since 1941. Int. J. Climatol. 2014, 34, 1814–1837. [Google Scholar] [CrossRef]
- Cattiaux, J.; Ribes, A.; Cariou, E. How Extreme Were Daily Global Temperatures in 2023 and Early 2024? Geophys. Res. Lett. 2024, 51, e2024GL110531. [Google Scholar] [CrossRef]
- Copernicus Climate Change Service. The 2024 Annual Climate Summary—Global Climate Highlights 2024; 2025. Available online: https://climate.copernicus.eu/global-climate-highlights-2024 (accessed on 1 March 2025).
- Soares, D.; Paço, T.A.; Rolim, J. Assessing Climate Change Impacts on Irrigation Water Requirements under Mediterranean Conditions—A Review of the Methodological Approaches Focusing on Maize Crop. Agronomy 2023, 13, 117. [Google Scholar] [CrossRef]








| Crop | Year | Sowing/ Planting | Harvest | Length | CGDD |
|---|---|---|---|---|---|
| Maize | 2017 | Apr 25 | Sep 8 | 137 | 1929 |
| 2018 | May 7 | Sep 11 | 128 | 1668 | |
| 2019 | Apr 12 | Sep 8 | 150 | 1827 | |
| Melon | 2017 | Apr 30 | Aug 29 | 122 | 1753 |
| 2018 | Not available | ||||
| 2019 | May 7 | Aug 21 | 107 | 1366 | |
| Sunflower | 2017 | May 20 | Sep 23 | 127 | 2155 |
| 2018 | Apr 27 | Aug 22 | 118 | 1619 | |
| 2019 | Apr 12 | Aug 11 | 122 | 1619 | |
| Tomato | 2017 | Apr 25 | Sep 1 | 130 | 2173 |
| 2018 | Not available | ||||
| 2019 | Apr 2 | Aug 11 | 132 | 1784 | |
| Crop | Sowing/ Planting | Length (Days) | Tbase (°C) | Tupper (°C) | Initial CGDDini | Develop. CGDDdev | Mid-Season CGDDmid | Harvest CGDDlate | Total CGDD |
|---|---|---|---|---|---|---|---|---|---|
| Maize | 25 Apr | 137 | 10 | 32 | 136 | 342 | 856 | 596 | 1929 |
| Melon | 30 Apr | 122 | 10 | 38 | 356 | 428 | 525 | 445 | 1753 |
| Sunflower | 20 May | 127 | 8 | 30 | 392 | 574 | 738 | 451 | 2155 |
| Tomato | 25 Apr | 130 | 7 | 28 | 347 | 646 | 944 | 236 | 2173 |
| Maximum Temperature | Minimum Temperature | Mean Temperature | ||||
|---|---|---|---|---|---|---|
| Indicators | Before Bias Correction | After Bias Correction | Before Bias Correction | After Bias Correction | Before Bias Correction | After Bias Correction |
| b0 | 0.94 ± 0.01 | 1.01 ± 0.01 | 1.15 ± 0.02 | 1.00 ± 0.02 | 1.02 ± 0.01 | 1.01 ± 0.00 |
| RMSE (°C) | 1.89 ± 0.08 | 1.21 ± 0.40 | 2.52 ± 0.25 | 1.57 ± 0.12 | 1.02 ± 0.04 | 0.98 ± 0.03 |
| NRMSE (%) | 7.62 ± 0.32 | 5.58 ± 0.17 | 25.88 ± 2.52 | 16.13 ± 1.18 | 5.88 ± 0.21 | 5.63 ± 0.19 |
| EF | 0.95 ± 0.01 | 0.97 ± 0.00 | 0.80 ± 0.04 | 0.92 ± 0.01 | 0.98 ± 0.00 | 0.98 ± 0.00 |
| Variable | Statistical Indicator | 1st Month (April) | 2nd Month (May) | 3rd Month (June) | 4th Month (July) | 5th Month (August) | 6th Month (September) | 7th Month (October) |
|---|---|---|---|---|---|---|---|---|
| Tmax | PBIAS (%) | 8.54 * | 9.20 * | 1.49 | −0.03 | 1.09 | 2.11 | 10.27 * |
| MAE (°C) | 1.91 * | 2.73 * | 1.53 * | 1.68 * | 1.15 * | 1.70 * | 2.70 * | |
| RMSE (°C) | 2.16 | 3.04 | 1.94 | 1.93 | 1.34 | 1.86 | 3.24 | |
| NRMSE (%) | 9.78 | 11.10 | 6.16 | 5.39 | 3.74 | 5.91 | 12.29 | |
| R2 | 0.52 | 0.48 | 0.00 | 0.30 | 0.09 | 0.06 | 0.07 | |
| ACC | 0.72 * | 0.69 * | 0.06 | 0.54 | 0.30 | −0.24 | 0.27 | |
| CRPSS | −0.40 | −0.16 | −0.05 | 0.19 | 0.09 | 0.01 | −0.61 | |
| Tmin | PBIAS (%) | −10.01 * | −10.33 * | −14.41 * | −17.38 * | −17.22 * | −16.09 * | −11.28 * |
| MAE (°C) | 0.81 * | 1.22 * | 2.23 * | 2.87 * | 2.83 * | 2.42 * | 1.34 * | |
| RMSE (°C) | 0.95 | 1.64 | 2.47 | 3.23 | 3.00 | 2.61 | 1.70 | |
| NRMSE (%) | 11.78 | 14.85 | 17.26 | 19.57 | 18.23 | 17.85 | 14.89 | |
| R2 | 0.71 | 0.31 | 0.00 | 0.06 | 0.01 | 0.20 | 0.00 | |
| ACC | 0.84 * | 0.56 | −0.03 | 0.24 | −0.09 | −0.44 | 0.03 | |
| CRPSS | 0.05 | 0.06 | −0.92 | −1.15 | −2.59 | −1.76 | −0.39 | |
| Tmean | PBIAS (%) | 3.43 | 3.59 | −3.44 | −5.56 * | −4.72 * | −3.42 | 3.76 |
| MAE (°C) | 0.70 * | 1.37 * | 1.63 * | 1.91 * | 1.44 * | 1.28 * | 1.08 * | |
| RMSE (°C) | 0.88 | 1.57 | 1.82 | 2.27 | 1.73 | 1.54 | 1.48 | |
| NRMSE (%) | 5.83 | 8.17 | 7.93 | 8.66 | 6.60 | 6.68 | 7.81 | |
| R2 | 0.62 | 0.42 | 0.00 | 0.10 | 0.01 | 0.05 | 0.06 | |
| ACC | 0.79 * | 0.65 * | −0.04 | 0.32 | −0.08 | −0.22 | 0.24 | |
| CRPSS | 0.28 | 0.25 | −0.13 | −0.07 | −0.34 | −0.03 | 0.08 |
| Variable | PBIAS | R2 | MAE | RMSE | NRMSE | ACC | CRPSS |
|---|---|---|---|---|---|---|---|
| Tmax | 3.48 * | 0.44 | 1.07 * | 1.25 | 4.05 | 0.66 * | −0.30 |
| Tmin | −15.01 * | 0.16 | 2.03 * | 2.08 | 15.36 | 0.40 | −4.33 |
| Tmean | −2.17 * | 0.38 | 0.57 * | 0.70 | 3.17 | 0.61 | 0.06 |
| Crop | PBIAS (%) | R2 | MAE (Days) | RMSE (Days) | NRMSE (%) | ACC | CRPSS |
|---|---|---|---|---|---|---|---|
| Maize | 4.5 * | 0.46 | 7.70 * | 9.44 | 6.5 | 0.68 * | 0.15 |
| Melon | 4.1 * | 0.39 | 7.10 * | 8.31 | 6.4 | 0.63 | 0.16 |
| Sunflower | 6.2 * | 0.43 | 8.50 * | 10.88 | 8.1 | 0.66 * | −0.08 |
| Tomato | 2.1 | 0.46 | 4.80 * | 5.31 | 3.9 | 0.67 * | 0.26 |
| Crop | Year | Length | Length AgERA5 | Length SF | Difference (SF-AgERA5) |
|---|---|---|---|---|---|
| Maize | 2017 | 137 | 135 | 139 | 4 |
| 2018 | 128 | 128 | 117 | −11 | |
| 2019 | 150 | 148 | 136 | −12 | |
| Melon | 2017 | 122 | 120 | 125 | 5 |
| 2018 | Not available | ||||
| 2019 | 107 | 105 | 94 | −11 | |
| Sunflower | 2017 | 127 | 125 | 126 | 1 |
| 2018 | 118 | 118 | 109 | −9 | |
| 2019 | 122 | 120 | 113 | −7 | |
| Tomato | 2017 | 130 | 129 | 133 | 4 |
| 2018 | Not available | ||||
| 2019 | 132 | 130 | 124 | −6 | |
Disclaimer/Publisher’s Note: The statements, opinions and data contained in all publications are solely those of the individual author(s) and contributor(s) and not of MDPI and/or the editor(s). MDPI and/or the editor(s) disclaim responsibility for any injury to people or property resulting from any ideas, methods, instructions or products referred to in the content. |
© 2025 by the authors. Licensee MDPI, Basel, Switzerland. This article is an open access article distributed under the terms and conditions of the Creative Commons Attribution (CC BY) license (https://creativecommons.org/licenses/by/4.0/).
Share and Cite
Garcia, D.; Silva, N.; Rolim, J.; Ferreira, A.; Santos, J.A.; Cameira, M.d.R.; Paredes, P. Prediction of Crops Cycle with Seasonal Forecasts to Support Decision-Making. Agronomy 2025, 15, 1291. https://doi.org/10.3390/agronomy15061291
Garcia D, Silva N, Rolim J, Ferreira A, Santos JA, Cameira MdR, Paredes P. Prediction of Crops Cycle with Seasonal Forecasts to Support Decision-Making. Agronomy. 2025; 15(6):1291. https://doi.org/10.3390/agronomy15061291
Chicago/Turabian StyleGarcia, Daniel, Nicolas Silva, João Rolim, Antónia Ferreira, João A. Santos, Maria do Rosário Cameira, and Paula Paredes. 2025. "Prediction of Crops Cycle with Seasonal Forecasts to Support Decision-Making" Agronomy 15, no. 6: 1291. https://doi.org/10.3390/agronomy15061291
APA StyleGarcia, D., Silva, N., Rolim, J., Ferreira, A., Santos, J. A., Cameira, M. d. R., & Paredes, P. (2025). Prediction of Crops Cycle with Seasonal Forecasts to Support Decision-Making. Agronomy, 15(6), 1291. https://doi.org/10.3390/agronomy15061291

