Evaluation of the Comprehensive Effects of Biodegradable Mulch Films on the Soil Hydrothermal Flux, Root Architecture, and Yield of Drip-Irrigated Rice
Abstract
1. Introduction
2. Materials and Methods
2.1. Test Area
2.2. Experimental Design
2.3. Measurement Indicators
2.3.1. Soil Moisture and Temperature
2.3.2. Root Morphological Characteristics
2.3.3. Measurement of Dry Matter Accumulation
2.3.4. Rice Nitrogen and Water Use Efficiency
2.4. Data Analysis
Comprehensive Evaluation Analysis via on Entropy Weight–TOPSIS Method
- (1)
- Data Standardization
- (2)
- Calculation of Entropy Weights
- (3)
- Calculation of the Weighted Normalization Matrix
- (4)
- Calculation of the Positive Ideal Solution, Negative Ideal Solution, and Comprehensive Score
3. Results
3.1. Effects of Biodegradable Mulch Film on the Soil Temperature
3.2. Effects of Biodegradable Mulch Film on Soil Moisture
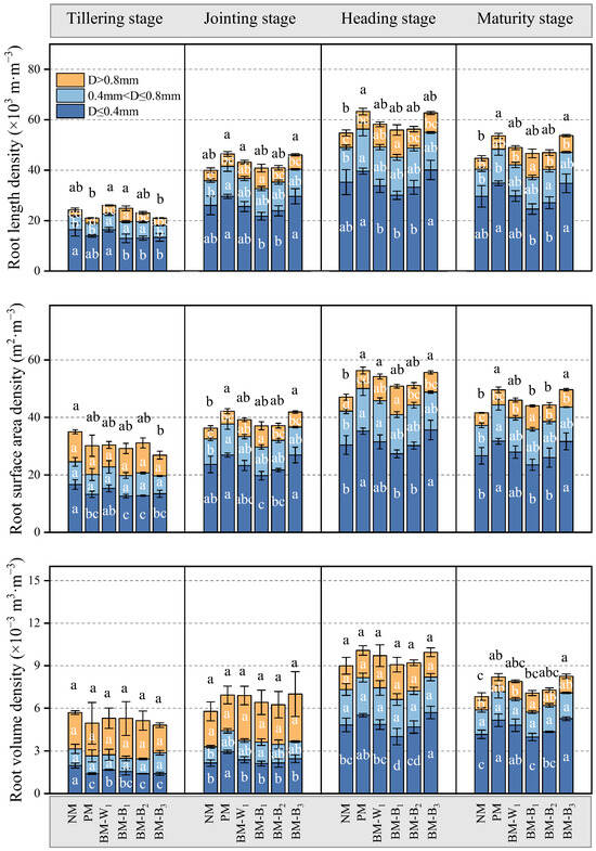
3.3. Effects of Biodegradable Mulch Film on the Rice Root Morphology
3.4. Effects of Biodegradable Mulch Film on the Vertical Distribution of Rice Roots
3.5. Effects of Biodegradable Mulch Film on Rice Biomass Accumulation
3.6. Effects of Biodegradable Mulch Film on the Rice Yield, Yield Components, and Nitrogen and Water Use Efficiency
3.7. Comprehensive Evaluation of the Effects of the Different Mulching Treatments
3.7.1. Determination of Indicator Weights via the Entropy Weight Method
3.7.2. Ideal Solutions Under the Different Mulching Treatments
4. Discussion and Conclusion
4.1. Effects of Biodegradable Mulch Film on the Soil Hydrothermal Flux and Root Architecture of Drip-Irrigated Rice
4.2. Effects of Biodegradable Mulch Film on the Biomass Accumulation, Yield, and Resource Utilization of Drip-Irrigated Rice
4.3. Comprehensive Assessment of the Impacts of Biodegradable Mulch Film
Supplementary Materials
Author Contributions
Funding
Data Availability Statement
Conflicts of Interest
References
- Ishfaq, J.; Soomar, A.M.; Khalid, F.; Abbasi, Y. Assessing rice (Oryza sativa L.) quality: A comprehensive review of current techniques and future directions. J. Agric. Food Res. 2023, 14, 100843. [Google Scholar] [CrossRef]
- Xiong, D.L. Perspectives of improving rice photosynthesis for higher grain yield. Crop Environ. 2024, 3, 123–137. [Google Scholar] [CrossRef]
- Tang, Q.Y.; Ma, Y.D.; Zhao, L.; Song, Z.W.; Yin, Y.G.; Wang, G.D.; Li, Y.X. Effects of water and nitrogen management on root morphology, nitrogen metabolism enzymes, and yield of rice under drip irrigation. Agronomy 2023, 13, 1118. [Google Scholar] [CrossRef]
- Tuong, T.P.; Bouman, B.A.M.; Mortimer, M. More rice, less water: Integrated approaches for increasing water productivity in irrigated rice-based systems in Asia. Plant Prod. Sci. 2005, 8, 231–241. [Google Scholar] [CrossRef]
- Zhao, L.; Tang, Q.Y.; Song, Z.W.; Yin, Y.G.; Wang, G.D.; Li, Y.X. Increasing the yield of drip-irrigated rice by improving photosynthetic performance and enhancing nitrogen metabolism through optimizing water and nitrogen management. Front. Plant Sci. 2023, 14, 1075625. [Google Scholar] [CrossRef]
- Bai, R.X.; Chen, L.; Zhang, X.J.; Wei, G.H.; Wei, C.Z. Effect of salinity and soil temperature on the growth and physiology of drip-irrigated rice seedlings. Arch. Agron. Soil. Sci. 2016, 63, 513–524. [Google Scholar] [CrossRef]
- Zhang, X.J.; Liu, H.; Meng, C.R.; Zhang, Z.Y.; Wang, M.M.; Wei, C.Z. Ammonium alleviates iron deficiency of drip-irrigated rice seedlings in low soil temperature in calcareous soil. Acta Agric. Scand. B Soil. Plant Sci. 2019, 69, 411–421. [Google Scholar] [CrossRef]
- Othman, N.A.F.; Selambakkannu, S.; Seko, N. Biodegradable dual–layer polyhydroxyalkanoate (pha)/polycaprolactone (pcl) mulch film for agriculture: Preparation and characterization. Energy Nexus. 2022, 8, 100137. [Google Scholar] [CrossRef]
- Song, Z.W.; Zhao, L.; Bi, J.G.; Tang, Q.Y.; Wang, G.D.; Li, Y.X. Classification of Degradable Mulch Films and Their Promotional Effects and Limitations on Agricultural Production. Agriculture 2024, 14, 1235. [Google Scholar] [CrossRef]
- Yang, C.; Zhao, Y.; Long, B.B.; Wang, F.Y.; Li, F.Y.; Xie, D. Biodegradable mulch films improve yield of winter potatoes through effects on soil properties and nutrients. Ecotoxicol. Environ. Saf. 2023, 264, 115402. [Google Scholar] [CrossRef]
- Yin, M.H.; Li, Y.N.; Fang, H.; Chen, P.P. Biodegradable mulching film with an optimum degradation rate improves soil environment and enhances maize growth. Agric. Water Manag. 2019, 216, 127–137. [Google Scholar] [CrossRef]
- Zhao, J.T.; Ma, Y.Z.; Fan, Y.L.; Liu, J.M.; Li, Q.Q. Effects of biodegradable mulch on cotton yield and water use efficiency. J. Irrig. Drain. Eng. 2021, 39, 96–101. [Google Scholar] [CrossRef]
- Jia, H.; Wang, Z.H.; Zhang, J.Z.; Li, W.H.; Ren, Z.L.; Jia, Z.C.; Wang, Q. Effects of biodegradable mulch on soil water and heat conditions, yield and quality of processing tomatoes by drip irrigation. J. Arid. Land. 2020, 12, 819–836. [Google Scholar] [CrossRef]
- Li, Q.; Wang, Q.; Zhang, E.H.; Liu, Q.L. Response of biodegradable film water retention and wanning to the maize grain yields in Hexi irrigation area. Agric. Res. Arid. Areas. 2016, 34, 27–31+50. [Google Scholar] [CrossRef]
- Chen, N.; Li, X.Y.; Šimůnek, J.; Shi, H.B.; Ding, Z.J.; Peng, Z.Y. Evaluating the effects of biodegradable film mulching on soil water dynamics in a drip–irrigated field. Agric. Water Manag. 2019, 226, 105788. [Google Scholar] [CrossRef]
- Fang, H.; Li, Y.N.; Gu, X.B.; Chen, P.P.; Li, Y.P. Root characteristics, utilization of water and nitrogen, and yield of maize under biodegradable film mulching and nitrogen application. Agric. Water Manag. 2022, 262, 107392. [Google Scholar] [CrossRef]
- Mu, X.G.; Gao, H.; Li, M.H.; Zhao, X.R.; Guo, N.; Jin, L.; Li, J.S.; Ye, L. Effects of different types of plastic film mulching on soil quality, root growth, and yield. Environ. Sci. 2023, 44, 3439–3449. [Google Scholar] [CrossRef]
- Gu, X.B.; Li, Y.N.; Du, Y.D. Biodegradable film mulching improves soil temperature, moisture and seed yield of winter oilseed rape (Brassica napus L.). Soil. Till Res. 2017, 171, 42–50. [Google Scholar] [CrossRef]
- Zhou, C.M.; Li, Y.N.; Gu, X.B.; Yin, M.H.; Zhao, X. Effects of biodegradable film mulching planting patterns on soil nutrient and nitrogen use efficiency of summer maize. Trans. Chin. Soc. Agric. Mach. 2016, 47, 133–142+112. [Google Scholar] [CrossRef]
- Zhang, X.Y.; You, S.Y.; Tian, Y.Q.; Li, J.S. Comparison of plastic film, biodegradable paper and bio–based film mulching for summer tomato production: Soil properties, plant growth, fruit yield and fruit quality. Sci. Hortic. 2019, 249, 38–48. [Google Scholar] [CrossRef]
- Abduwaiti, A.; Liu, X.W.; Yan, C.R.; Xue, Y.H.; Jin, T.; Wu, H.Q.; He, P.C.; Bao, Z.; Liu, Q. Testing biodegradable films as alternatives to plastic-film mulching for enhancing the yield and economic benefits of processed tomato in Xinjiang Region. Sustainability 2021, 13, 3093. [Google Scholar] [CrossRef]
- Cozzolino, E.; Di, M.I.; Ottaiano, L.; Bilotto, M.; Petriccione, M.; Ferrara, E.; Mori, M.; Morra, L. Assessing yield and quality of Melon (Cucumis melo L.) improved by biodegradable mulching film. Plants 2023, 12, 219. [Google Scholar] [CrossRef]
- Yang, N.; Feng, L.S.; Li, K.Y.; Feng, C.; Sun, Z.X.; Liu, J.L. The degradable time evaluation of degradable polymer film in agriculture based on polyethylene film experiments. e-Polymers 2021, 21, 821–829. [Google Scholar] [CrossRef]
- Zhang, W.W.; Wang, W.S.; Zhang, Y.Z.; Wang, F.P.; Sun, S.J. Determining the optimal degradation rate of biodegradable films in a maize farmland based on the EWM-TOPSIS model. Agric. Water Manag. 2025, 309, 109359. [Google Scholar] [CrossRef]
- Zhong, Y.X.; Li, J.Z.; Xiong, H. Effect of deficit irrigation on soil CO2 and N2O emissions and winter wheat yield. J. Clean. Prod. 2021, 279, 123718. [Google Scholar] [CrossRef]
- Sun, T.; Li, G.; Ning, T.Y.; Zhang, Z.M.; Mi, Q.H.; Lal, R. Suitability of mulching with biodegradable film to moderate soil temperature and moisture and to increase photosynthesis and yield in peanut. Agric. Water Manag. 2018, 208, 214–223. [Google Scholar] [CrossRef]
- Zyoud, S.H.; Fuchs-Hanusch, D. A bibliometric-based survey on AHP and TOPSIS techniques. Expert. Syst. Appl. 2017, 78, 158–181. [Google Scholar] [CrossRef]
- Tang, Q.Y.; Wang, G.D.; Zhao, L.; Song, Z.W.; Li, Y.X. Response of yield, root traits and plasticity of nitrogen-efficient cultivars of drip-irrigated rice to a nitrogen environment. J. Integr. Agric. 2025, 24, 480–496. [Google Scholar] [CrossRef]
- Jia, Y.; Wang, J.; Qu, Z.; Zou, D.; Sha, H.; Liu, H.; Sun, J.; Zheng, H.; Wang, J.; Yang, L.; et al. Effects of low water temperature during reproductive growth on photosynthetic production and nitrogen accumulation in rice. Field Crops Res. 2019, 242, 107587. [Google Scholar] [CrossRef]
- Wang, Z.Q.; Zhang, W.Y.; Beebout, S.S.; Zhang, H.; Liu, L.J.; Yang, J.C.; Zhang, J.H. Grain yield, water and nitrogen use efficiencies of rice as influenced by irrigation regimes and their interaction with nitrogen rates. Field Crops Res. 2016, 193, 54–69. [Google Scholar] [CrossRef]
- Ministry of Water Resources of the People’s Republic of China. Irrigation Experiment Code of Practice; SL13-2004; China Water & Power Press: Beijing, China, 2005. [Google Scholar]
- Bradford, J.B.; Schlaepfer, D.R.; Lauenroth, W.K.; Yackulic, C.B.; Duniway, M.; Hall, S.; Jia, G.; Jamiyansharav, K.; Munson, S.M.; Wilson, S.D.; et al. Future soil moisture and temperature extremes imply expanding suitability for rainfed agriculture in temperate drylands. Sci. Rep. 2017, 7, 12923. [Google Scholar] [CrossRef] [PubMed]
- Yang, Y.H.; Ding, J.L.; Zhang, Y.H.; Wu, J.C.; Zhang, J.M.; Pan, X.Y.; Gao, C.M.; Wang, Y.; He, F. Effects of tillage and mulching measures on soil moisture and temperature, photosynthetic characteristics and yield of winter wheat. Agric. Water Manag. 2018, 201, 299–308. [Google Scholar] [CrossRef]
- Thidar, M.; Gong, D.Z.; Mei, X.R.; Gao, L.L.; Li, H.R.; Hao, W.P.; Gu, F.X. Mulching improved soil water, root distribution and yield of maize in the Loess Plateau of Northwest China. Agric. Water Manag. 2020, 241, 106340. [Google Scholar] [CrossRef]
- Wang, Y.J.; He, K.; Zhang, J.B.; Chang, H.Y. Environmental knowledge, risk attitude, and households’ willingness to accept compensation for the application of degradable agricultural mulch film: Evidence from rural China. Sci. Total Environ. 2020, 744, 140616. [Google Scholar] [CrossRef] [PubMed]
- Guo, B.; Yang, Z.X.; He, W.Q.; Liu, J.L. Application effectiveness and problems of biodegradable mulch. Chin. J. Agrometeorol. 2023, 44, 977–994. [Google Scholar] [CrossRef]
- Dao, J.C.; Xing, Y.J.; Chen, C.Y.; Chen, M.H.; Wang, Z.T.; Chen, Y.L. Changes in shoot and root adaptations of fibrous-root and taproot crops in response to different drought types: A meta-analysis. Agric. Water Manag. 2025, 309, 109320. [Google Scholar] [CrossRef]
- Zhang, W.; Li, S.Q.; Shen, Y.F.; Yue, S.C. Film mulching affects root growth and function in dryland maize-soybean intercropping. Field Crops Res. 2021, 271, 108240. [Google Scholar] [CrossRef]
- Zhang, H.; Zhang, J.H.; Yang, J.C. Improving nitrogen use efficiency of rice crop through an optimized root system and agronomic practices. Crop Environ. 2023, 2, 192–201. [Google Scholar] [CrossRef]
- Li, X.Y.; Cheng, X.Y.; Wu, J.L.; Cai, Z.H.; Wang, Z.K.; Zhou, J. Multi-omics reveals different impact patterns of conventional and biodegradable microplastics on the crop rhizosphere in a biofertilizer environment. J. Hazard. Mater. 2024, 467, 133709. [Google Scholar] [CrossRef]
- Li, G.; Long, H.Y.; Zhang, R.L.; Xu, A.G.; Niu, L. Stable soil water shapes the rhizosphere of Solanum lycopersicum L. and improves tomato fruit yield and quality. Sci. Hortic. 2025, 341, 114001. [Google Scholar] [CrossRef]
- Liao, S.; Deng, F.; Zhou, W.; Wang, L.; Li, W.; Hu, H.; Pu, S.L.; Li, S.X.; Chen, Y.; Tao, Y.F.; et al. Polypeptide urea increases rice yield and nitrogen use efficiency through root growth improvement. Field Crops Res. 2024, 313, 109415. [Google Scholar] [CrossRef]
- Li, X.Y.; Guo, Y.; Ding, Z.J.; Leng, X.; Tian, T.; Hu, Q. Influence of different film mulchings on soil temperature at different time scales and maize yield. Trans. Chin. Soc. Agric. Mach. 2018, 49, 247–256. [Google Scholar] [CrossRef]
- Sun, L.; Li, B.; Yao, M.Z.; Niu, D.S.; Gao, M.M.; Mao, L.Z.; Xu, Z.Y.; Wang, T.L.; Wang, J.K. Optimising water and nitrogen management for greenhouse tomatoes in Northeast China using EWM TOPSIS AISM model. Agric. Water Manag. 2023, 290, 108579. [Google Scholar] [CrossRef]
- He, P.R.; Yu, S.E.; Ding, J.H.; Ma, T.; Li, J.G.; Dai, Y.; Chen, K.W.; Peng, S.H.; Zeng, G.Q.; Guo, S.S. Multi-objective optimization of farmland water level and nitrogen fertilization management for winter wheat cultivation under waterlogging conditions based on TOPSIS-Entropy. Agric. Water Manag. 2024, 297, 108840. [Google Scholar] [CrossRef]
- Song, N.N.; Wang, B.; Liu, J.; Wang, F.L.; Wang, X.X.; Zong, H.Y. Is degradable plastic film alternative? Insights from crop productivity enhancement and soil environment improvement. Eur. J. Agron. 2023, 149, 126882. [Google Scholar] [CrossRef]






| Nitrogen and Irrigation Management | SS | TS | JS | HS | FS | Total | |
|---|---|---|---|---|---|---|---|
| Nitrogen | NA (kg·ha−1) | 0 | 130.8 | 69.6 | 69.6 | 0 | 270 |
| NT | 0 | 3 | 2 | 2 | 0 | 7 | |
| Irrigation | IA (m3·ha−1) | 450 | 1800 | 4200 | 3750 | 0 | 12,000 |
| IT | 1 | 6 | 14 | 16 | 0 | 37 | |
| Index | Treatment | Period | |||
|---|---|---|---|---|---|
| TS | JS | HS | MS | ||
| SDW (t·ha⁻1) | NM | 3.47 ± 0.35 a | 6.42 ± 0.81 b | 9.06 ± 1.02 c | 19.96 ± 2.65 b |
| PM | 3.11 ± 0.53 ab | 7.65 ± 0.57 a | 12.05 ± 0.52 a | 24.91 ± 3.41 a | |
| BM-W1 | 3.06 ± 0.38 ab | 7.46 ± 0.50 a | 11.86 ± 1.17 a | 24.74 ± 4.12 a | |
| BM-B1 | 2.68 ± 0.18 b | 7.03 ± 0.30 ab | 10.02 ± 1.01 b | 22.03 ± 2.31 ab | |
| BM-B2 | 2.66 ± 0.04 b | 6.92 ± 0.30 ab | 10.73 ± 0.88 ab | 23.19 ± 2.90 ab | |
| BM-B3 | 2.87 ± 0.07 ab | 7.50 ± 0.31 a | 12.35 ± 1.32 a | 25.03 ± 5.59 a | |
| RDW (t·ha⁻1) | NM | 0.60 ± 0.03 a | 1.02 ± 0.09 a | 1.29 ± 0.11 b | 1.07 ± 0.09 b |
| PM | 0.55 ± 0.04 ab | 1.03 ± 0.08 a | 1.49 ± 0.13 a | 1.30 ± 0.11 a | |
| BM-W1 | 0.59 ± 0.04 ab | 1.03 ± 0.09 a | 1.45 ± 0.10 ab | 1.20 ± 0.11 ab | |
| BM-B1 | 0.52 ± 0.04 b | 0.86 ± 0.08 a | 1.25 ± 0.12 b | 1.10 ± 0.09 b | |
| BM-B2 | 0.56 ± 0.05 ab | 0.91 ± 0.08 a | 1.28 ± 0.11 b | 1.15 ± 0.09 ab | |
| BM-B3 | 0.54 ± 0.04 ab | 1.02 ± 0.09 a | 1.51 ± 0.02 a | 1.31 ± 0.10 a | |
| Treatment | Effective Panicle (×104 ha−1) | Spikelet per Panicle | Grain Weight (g) | Filled Grain Rate (%) | Yield (t·ha−1) | NUE (kg·ha−1) | WUE (kg·m−3) | ET (m3·ha−1) |
|---|---|---|---|---|---|---|---|---|
| NM | 365.12 ± 7.85 b | 111.83 ± 5.29 a | 22.04 ± 1.63 a | 78.30 ± 2.92 a | 7.04 ± 0.89 b | 26.08 ± 3.29 b | 0.51 ± 0.06 b | 13,722.39 ± 40.15 a |
| PM | 406.40 ± 18.17 a | 128.33 ± 4.70 a | 23.85 ± 0.68 a | 83.02 ± 6.44 a | 10.33 ± 1.06 a | 38.26 ± 3.94 a | 0.81 ± 0.08 a | 12,814.86 ± 61.56 b |
| BM-W1 | 396.69 ± 8.87 ab | 128.17 ± 13.73 a | 23.03 ± 0.10 a | 82.39 ± 3.08 a | 9.64 ± 1.07 a | 35.72 ± 3.96 a | 0.79 ± 0.09 a | 12,280.61 ± 54.64 d |
| BM-B1 | 387.20 ± 15.24 ab | 124.54 ± 13.28 a | 23.14 ± 1.66 a | 81.24 ± 2.62 a | 9.10 ± 1.60 ab | 33.72 ± 5.92 ab | 0.71 ± 0.12 a | 12,832.09 ± 41.61 b |
| BM-B2 | 392.00 ± 20.69 ab | 126.25 ± 12.69 a | 23.13 ± 1.80 a | 83.65 ± 5.64 a | 9.55 ± 1.24 a | 35.38 ± 4.58 a | 0.76 ± 0.10 a | 12,568.35 ± 56.54 c |
| BM-B3 | 414.40 ± 38.80 a | 128.88 ± 13.85 a | 23.63 ± 1.80 a | 82.37 ± 4.47 a | 10.39 ± 1.69 a | 38.50 ± 6.26 a | 0.83 ± 0.13 a | 12,565.42 ± 49.16 c |
| Index | Soil Hydrothermal Flux Indicators | Root Indicators | Growth Indicators | Yield Indicators | |||||||
|---|---|---|---|---|---|---|---|---|---|---|---|
| ST | ET | SW | RLD | SAD | RVD | RDW | SDW | WUE | NUE | Yield | |
| Normalized probability | 0.000 | 0.929 | 0.840 | 0.887 | 0.863 | 0.893 | 0.811 | 0.904 | 0.884 | 0.902 | 0.900 |
| Informationentropy | 1.000 | 0.071 | 0.160 | 0.113 | 0.137 | 0.107 | 0.189 | 0.096 | 0.117 | 0.098 | 0.100 |
| Entropy weight | 0.399 | 0.028 | 0.064 | 0.045 | 0.055 | 0.043 | 0.076 | 0.038 | 0.047 | 0.039 | 0.040 |
| Treatment | Distance to the Positive Ideal Solution (Si+) | Distance to the Negative Ideal Solution (Si−) | Closeness Coefficient (Di) | Ranking |
|---|---|---|---|---|
| NM | 0.4892 | 0 | 0 | 6 |
| PM | 0.0801 | 0.4512 | 0.8494 | 1 |
| BM-W1 | 0.2362 | 0.3697 | 0.6105 | 3 |
| BM-B1 | 0.3587 | 0.2368 | 0.3977 | 5 |
| BM-B2 | 0.3123 | 0.2895 | 0.4815 | 4 |
| BM-B3 | 0.1204 | 0.4417 | 0.7852 | 2 |
Disclaimer/Publisher’s Note: The statements, opinions and data contained in all publications are solely those of the individual author(s) and contributor(s) and not of MDPI and/or the editor(s). MDPI and/or the editor(s) disclaim responsibility for any injury to people or property resulting from any ideas, methods, instructions or products referred to in the content. |
© 2025 by the authors. Licensee MDPI, Basel, Switzerland. This article is an open access article distributed under the terms and conditions of the Creative Commons Attribution (CC BY) license (https://creativecommons.org/licenses/by/4.0/).
Share and Cite
Song, Z.; Wang, G.; Hao, Q.; Zhu, X.; Tang, Q.; Zhao, L.; Wu, Q.; Li, Y. Evaluation of the Comprehensive Effects of Biodegradable Mulch Films on the Soil Hydrothermal Flux, Root Architecture, and Yield of Drip-Irrigated Rice. Agronomy 2025, 15, 1292. https://doi.org/10.3390/agronomy15061292
Song Z, Wang G, Hao Q, Zhu X, Tang Q, Zhao L, Wu Q, Li Y. Evaluation of the Comprehensive Effects of Biodegradable Mulch Films on the Soil Hydrothermal Flux, Root Architecture, and Yield of Drip-Irrigated Rice. Agronomy. 2025; 15(6):1292. https://doi.org/10.3390/agronomy15061292
Chicago/Turabian StyleSong, Zhiwen, Guodong Wang, Quanyou Hao, Xin Zhu, Qingyun Tang, Lei Zhao, Qifeng Wu, and Yuxiang Li. 2025. "Evaluation of the Comprehensive Effects of Biodegradable Mulch Films on the Soil Hydrothermal Flux, Root Architecture, and Yield of Drip-Irrigated Rice" Agronomy 15, no. 6: 1292. https://doi.org/10.3390/agronomy15061292
APA StyleSong, Z., Wang, G., Hao, Q., Zhu, X., Tang, Q., Zhao, L., Wu, Q., & Li, Y. (2025). Evaluation of the Comprehensive Effects of Biodegradable Mulch Films on the Soil Hydrothermal Flux, Root Architecture, and Yield of Drip-Irrigated Rice. Agronomy, 15(6), 1292. https://doi.org/10.3390/agronomy15061292
