The Effect of Two Irrigation Regimes on Yield and Water Use Efficiency of Rice Varieties in Eastern China
Abstract
1. Introduction
2. Materials and Methods
2.1. Cultivation
2.2. Treatment
2.3. Irrigation System
2.4. Sampling and Measurements
2.5. Harvest
2.6. Statistical Analysis
3. Results
3.1. Three-Way Analysis of Variance (ANOVA)
3.2. Grain Yield, Its Yield Components, and Water Use Efficiency (WUE)
3.3. Grain Filling
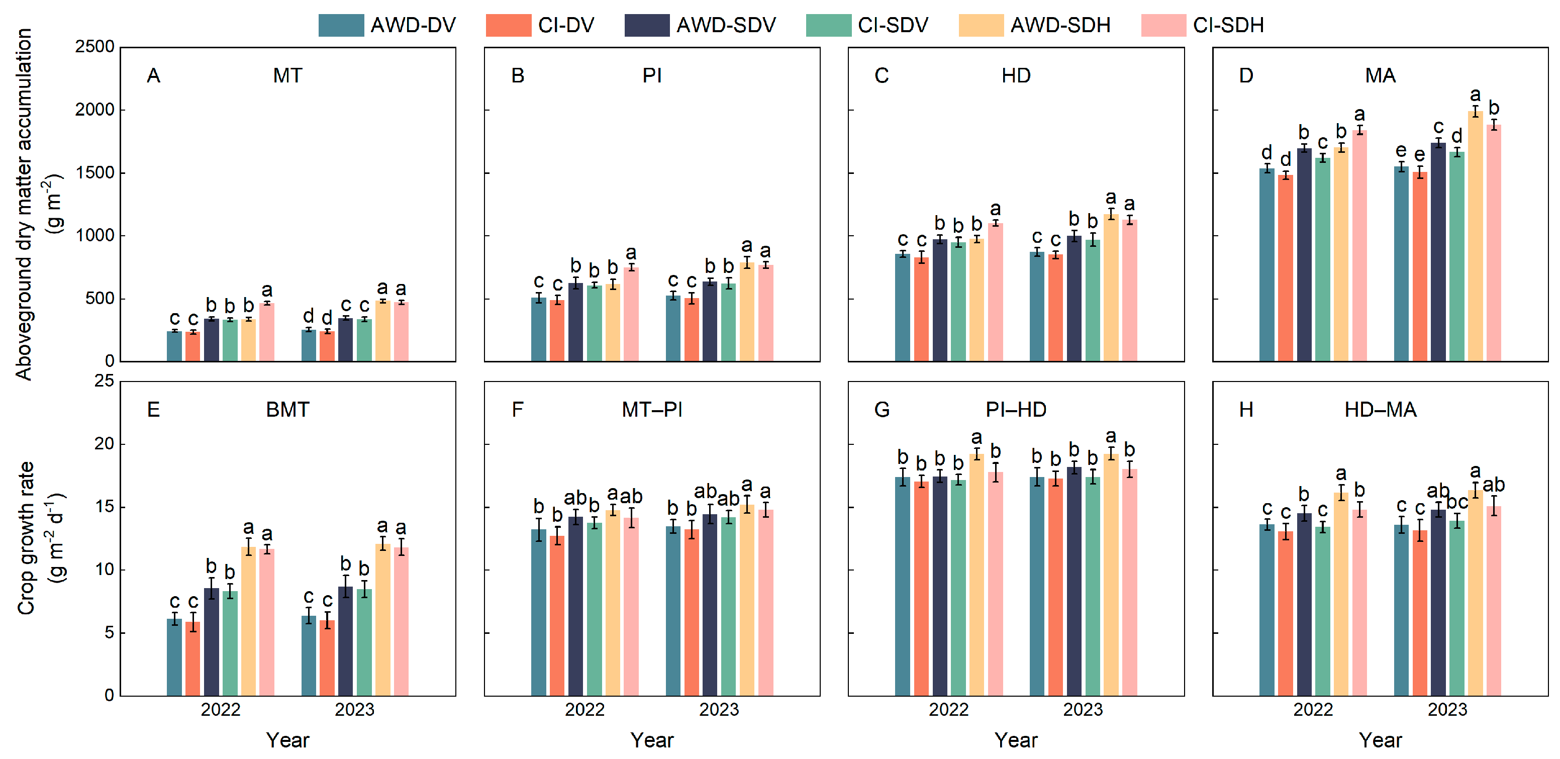
3.4. Aboveground Dry Matter Accumulation and Crop Growth Rate (CGR)
3.5. Leaf Photosynthesis
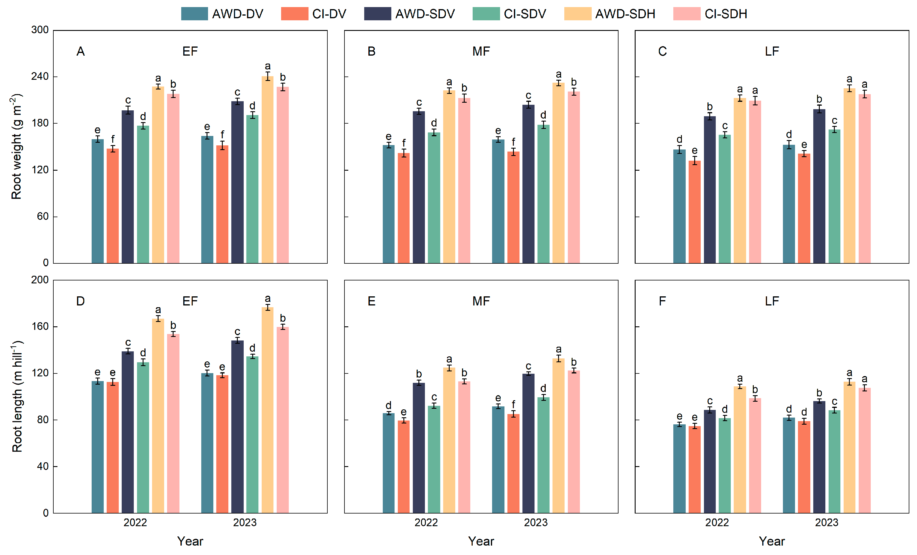
3.6. Root Weight and Root Length
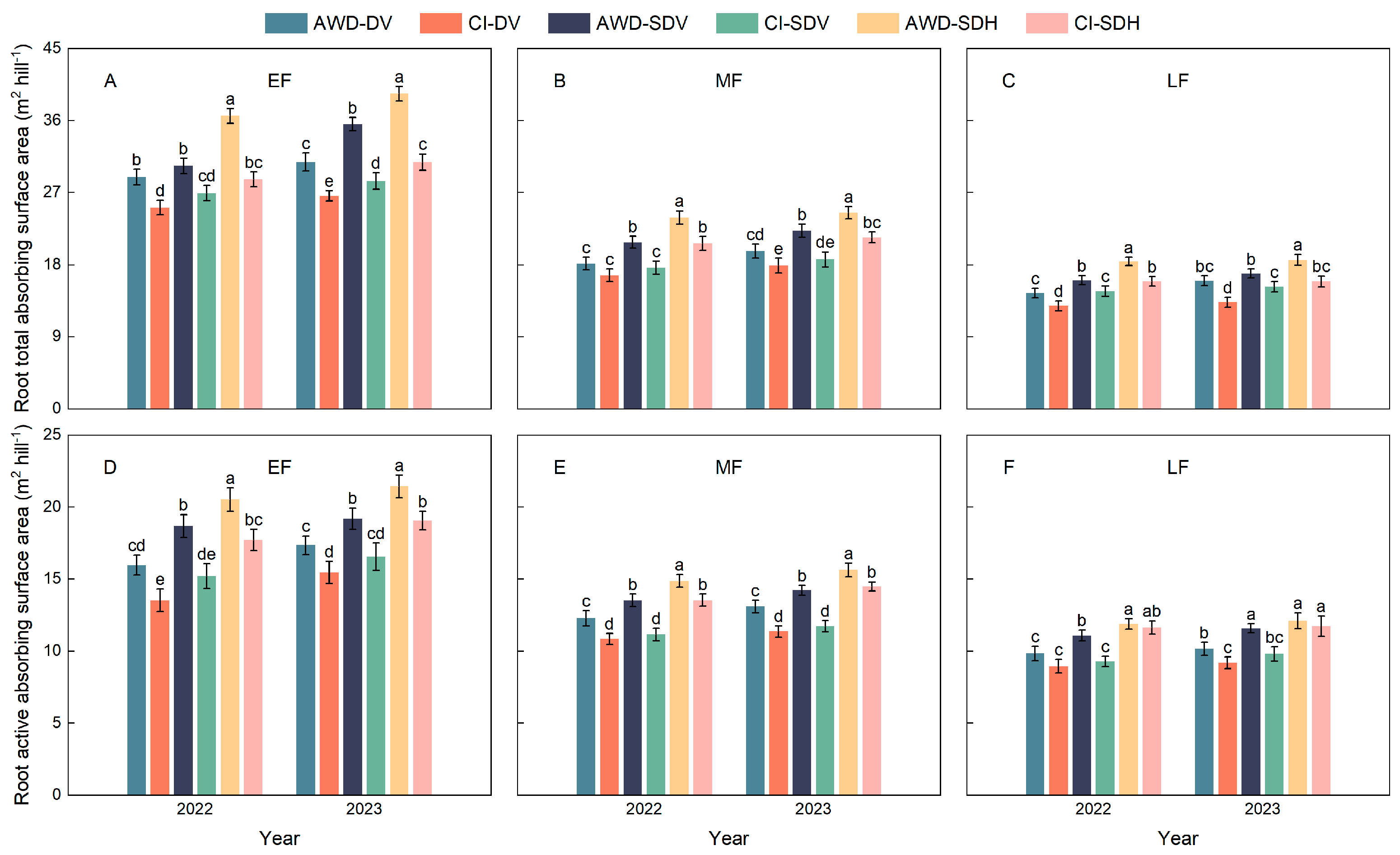
3.7. Root Absorbing Surface Area, Root Oxidation Activity (ROA), and Root Bleeding Rate
3.8. Zeatin (Z) + Zeatin Riboside (ZR) in Panicles, Roots, and Root Bleeding
3.9. Relationships Between Grain Yield, WUE, Grain Filling Characteristics, and Main Agronomic and Physiological Traits
4. Discussion
5. Conclusions
Author Contributions
Funding
Data Availability Statement
Conflicts of Interest
Appendix A

| Grain Yield and Main Measurements | Year (Y) | Treatment (T) | Variety (V) | Y × T | Y × V | T × V | Y × T × V |
|---|---|---|---|---|---|---|---|
| Grain yield | ** | ** | ** | NS | NS | * | NS |
| Number of panicles | ** | NS | ** | NS | ** | ** | ** |
| Spikelets per panicle | ** | ** | ** | NS | ** | NS | NS |
| Total spikelets | NS | ** | ** | NS | ** | ** | ** |
| Filled grain rate | ** | ** | ** | * | ** | ** | NS |
| 1000-grain weight | ** | ** | ** | NS | ** | * | ** |
| Water use efficiency | ** | ** | ** | NS | NS | ** | NS |
| Aboveground dry matter at MT | NS | NS | ** | NS | NS | NS | NS |
| Aboveground dry matter at PI | NS | NS | ** | NS | NS | NS | NS |
| Aboveground dry matter at HD | NS | * | ** | NS | NS | NS | NS |
| Aboveground dry matter at MA | * | ** | ** | NS | NS | NS | NS |
| Crop growth rate at BMT | NS | NS | ** | NS | NS | NS | NS |
| Crop growth rate at MT–HD | NS | NS | ** | NS | NS | NS | NS |
| Crop growth rate at PI–HD | ** | ** | ** | ** | ** | ** | ** |
| Crop growth rate at HD–MA | NS | ** | ** | NS | NS | NS | NS |
| Flag leaf photosynthetic rate at EF | NS | ** | ** | NS | ** | ** | NS |
| Flag leaf photosynthetic rate at MF | ** | ** | ** | NS | * | * | NS |
| Flag leaf photosynthetic rate at LF | ** | ** | ** | NS | ** | NS | * |
| Root weight at EF | ** | ** | ** | NS | NS | * | NS |
| Root weight at MF | ** | ** | ** | NS | NS | * | NS |
| Root weight at LF | ** | ** | ** | NS | NS | * | NS |
| Root length at EF | ** | ** | ** | NS | NS | ** | NS |
| Root length at MF | ** | ** | ** | NS | NS | ** | NS |
| Root length at LF | ** | ** | ** | NS | NS | NS | NS |
| Root total absorbing surface area at EF | ** | ** | ** | NS | NS | ** | NS |
| Root total absorbing surface area at MF | ** | ** | ** | NS | NS | NS | NS |
| Root total absorbing surface area at LF | ** | ** | ** | NS | NS | NS | NS |
| Root active absorbing surface area at EF | ** | ** | ** | NS | NS | NS | NS |
| Root active absorbing surface area at MF | * | ** | ** | NS | NS | NS | NS |
| Root active absorbing surface area at LF | NS | ** | ** | NS | NS | NS | NS |
| Root oxidation activity at EF | ** | ** | ** | NS | NS | ** | NS |
| Root oxidation activity at MF | ** | ** | ** | NS | NS | ** | NS |
| Root oxidation activity at LF | ** | ** | ** | NS | NS | * | NS |
| Root bleeding rate at EF | ** | ** | ** | NS | * | ** | * |
| Root bleeding rate at MF | ** | ** | ** | NS | ** | ** | ** |
| Root bleeding rate at LF | ** | ** | ** | NS | NS | NS | NS |
| Z + ZR in panicles at EF | ** | ** | ** | NS | ** | ** | * |
| Z + ZR in panicles at MF | ** | ** | ** | NS | ** | ** | NS |
| Z + ZR in panicles at LF | ** | ** | ** | NS | ** | ** | ** |
| Z + ZR in roots at EF | ** | ** | ** | NS | * | ** | NS |
| Z + ZR in roots at MF | ** | ** | ** | NS | ** | ** | NS |
| Z + ZR in roots at LF | ** | ** | ** | NS | NS | NS | NS |
| Z + ZR in root bleeding at EF | * | ** | ** | NS | NS | * | NS |
| Z + ZR in root bleeding at MF | * | ** | ** | NS | NS | ** | NS |
| Z + ZR in root bleeding at LF | NS | ** | ** | NS | NS | NS | NS |
| Grain Yield and Main Characteristics | Year (Y) | Treatment (T) | Type (Ty) | Y × T | Y × Ty | T × Ty | Y × T × Ty |
|---|---|---|---|---|---|---|---|
| Grain yield | * | ** | ** | NS | NS | NS | NS |
| Number of panicles | ** | * | ** | NS | NS | NS | NS |
| Spikelets per panicle | ** | ** | ** | NS | ** | NS | * |
| Total spikelets | NS | ** | ** | NS | ** | ** | ** |
| Filled grain rate | ** | ** | ** | NS | * | ** | NS |
| 1000-grain weight | ** | ** | ** | NS | NS | NS | NS |
| Water use efficiency | * | ** | ** | NS | NS | * | NS |
| Aboveground dry matter accumulation at MT | ** | ** | ** | NS | * | * | * |
| Aboveground dry matter accumulation at PI | NS | NS | ** | NS | NS | NS | NS |
| Aboveground dry matter accumulation at HD | * | NS | ** | NS | NS | NS | NS |
| Aboveground dry matter accumulation at MA | ** | ** | ** | NS | * | NS | NS |
| Crop growth rate at BMT | NS | NS | ** | NS | NS | NS | NS |
| Crop growth rate at MT–HD | NS | NS | * | NS | NS | NS | NS |
| Crop growth rate at PI–HD | NS | NS | * | NS | NS | NS | NS |
| Crop growth rate at HD–MA | NS | * | ** | NS | NS | NS | NS |
| Flag leaf photosynthesis rate at EF | NS | ** | ** | NS | * | NS | NS |
| Flag leaf photosynthesis rate at MF | ** | ** | ** | NS | ** | NS | NS |
| Flag leaf photosynthesis rate at LF | ** | ** | ** | NS | ** | NS | NS |
| Root weight at EF | ** | ** | ** | NS | NS | NS | NS |
| Root weight at MF | * | ** | ** | NS | NS | * | NS |
| Root weight at LF | ** | ** | ** | NS | NS | * | NS |
| Root length at EF | ** | ** | ** | NS | NS | ** | NS |
| Root length at MF | ** | ** | ** | NS | NS | ** | NS |
| Root length at LF | ** | ** | ** | NS | NS | NS | NS |
| Root total absorbing surface area at EF | ** | ** | ** | NS | NS | * | NS |
| Root total absorbing surface area at MF | * | ** | ** | NS | NS | NS | NS |
| Root total absorbing surface area at LF | NS | ** | ** | NS | NS | NS | NS |
| Root active absorbing surface area at EF | * | ** | ** | NS | NS | NS | NS |
| Root active absorbing surface area at MF | * | ** | ** | NS | NS | NS | NS |
| Root active absorbing surface area at LF | NS | ** | ** | NS | NS | NS | NS |
| Root oxidation activity at EF | ** | ** | ** | NS | NS | NS | NS |
| Root oxidation activity at MF | ** | ** | ** | NS | NS | NS | NS |
| Root oxidation activity at LF | ** | ** | ** | NS | NS | NS | NS |
| Root bleeding rate at EF | ** | ** | ** | NS | NS | ** | NS |
| Root bleeding rate at MF | ** | ** | ** | NS | NS | ** | NS |
| Root bleeding rate at LF | ** | ** | ** | NS | NS | NS | NS |
| Z + ZR contents in panicles at EF | ** | ** | ** | NS | NS | * | NS |
| Z + ZR contents in panicles at MF | ** | ** | ** | NS | * | ** | NS |
| Z + ZR contents in panicles at LF | ** | ** | ** | NS | NS | NS | NS |
| Z + ZR contents in roots at EF | ** | ** | ** | NS | NS | NS | NS |
| Z + ZR contents in roots at MF | ** | ** | ** | NS | NS | * | NS |
| Z + ZR contents in roots at LF | NS | ** | ** | NS | NS | NS | NS |
| Z + ZR contents in root bleeding at EF | NS | ** | ** | NS | NS | * | NS |
| Z + ZR contents in root bleeding at MF | NS | ** | ** | NS | NS | ** | NS |
| Z + ZR contents in root bleeding at LF | NS | ** | ** | NS | NS | NS | NS |
References
- Cai, S.; Zhao, X.; Pittelkow, C.M.; Fan, M.; Zhang, X.; Yan, X. Optimal nitrogen rate strategy for sustainable rice production in China. Nature 2023, 615, 73–79. [Google Scholar] [CrossRef] [PubMed]
- Zhou, Z.; Jin, J.; Liu, J.; Si, Y. Covering rice demand in Southern China under decreasing cropping intensities and considering multiple climate and population scenarios. Sustain. Prod. Consum. 2023, 40, 13–29. [Google Scholar] [CrossRef]
- Cheng, X.; Huang, Y.; Tan, Y.; Tan, L.; Yin, J.; Zou, G. Potentially useful dwarfing or semi-dwarfing genes in rice breeding in addition to the sd1 gene. Rice 2022, 15, 66. [Google Scholar] [CrossRef]
- Yu, Y.; Huang, Y.; Zhang, W. Changes in rice yields in China since 1980 associated with cultivar improvement, climate and crop management. Field Crops Res. 2012, 136, 65–75. [Google Scholar] [CrossRef]
- Zhang, Z.; Gao, S.; Chu, C. Improvement of nutrient use efficiency in rice: Current toolbox and future perspectives. Theor. Appl. Genet. 2020, 133, 1365–1384. [Google Scholar] [CrossRef]
- Xu, H.; Wang, Z.; Xiao, F.; Yang, L.; Li, G.; Ding, Y.; Paul, M.J.; Li, W.; Liu, Z. Dynamics of dry matter accumulation in internodes indicates source and sink relations during grain-filling stage of japonica rice. Field Crops Res. 2021, 263, 108009. [Google Scholar] [CrossRef]
- Yang, J.; Zhang, J. Grain-filling problem in ‘super’ rice. J. Exp. Bot. 2010, 61, 1–5. [Google Scholar] [CrossRef]
- Peng, T.; Lü, Q.; Zhao, Y.; Sun, H.; Han, Y.; Du, Y.; Zhang, J.; Li, J.; Wang, L.; Zhao, Q. Superior grains determined by grain weight are not fully correlated with the flowering order in rice. J. Integr. Agric. 2015, 14, 847–855. [Google Scholar] [CrossRef]
- Teng, Z.; Chen, Y.; Yuan, Y.; Peng, Y.; Yi, Y.; Yu, H.; Yi, Z.; Yang, J.; Peng, Y.; Duan, M.; et al. Identification of microRNAs regulating grain filling of rice inferior spikelets in response to moderate soil drying post-anthesis. Crop J. 2022, 10, 962–971. [Google Scholar] [CrossRef]
- Guan, X.; Chen, J.; Chen, X.; Xie, J.; Deng, G.; Hu, L.; Li, Y.; Qian, Y.; Qiu, C.; Peng, C. Root characteristics and yield of rice as affected by the cultivation pattern of strong seedlings with increased planting density and reduced nitrogen application. J. Integr. Agric. 2022, 21, 1278–1289. [Google Scholar] [CrossRef]
- Wang, Z.; Jia, Y.; Fu, J.; Qu, Z.; Wang, X.; Zou, D.; Wang, J.; Liu, H.; Zheng, H.; Wang, J.; et al. An analysis based on japonica rice root characteristics and crop growth under the interaction of irrigation and nitrogen methods. Front. Plant Sci. 2022, 13, 890983. [Google Scholar] [CrossRef] [PubMed]
- Maherali, H. The evolutionary ecology of roots. New Phytol. 2017, 215, 1295–1297. [Google Scholar] [CrossRef] [PubMed]
- Long, R.W.; Medeiros, J.S. Water in, water out: Root form influences leaf function. New Phytol. 2021, 229, 1186–1188. [Google Scholar] [CrossRef] [PubMed]
- Freschet, G.T.; Roumet, C.; Comas, L.H.; Weemstra, M.; Bengough, A.G.; Rewald, B.; Bardgett, R.D.; De Deyn, G.B.; Johnson, D.; Klimešová, J.; et al. Root traits as drivers of plant and ecosystem functioning: Current understanding, pitfalls and future research needs. New Phytol. 2021, 232, 1123–1158. [Google Scholar] [CrossRef]
- Ephrath, J.E.; Klein, T.; Sharp, R.E.; Lazarovitch, N. Exposing the hidden half: Root research at the forefront of science. Plant Soil 2020, 447, 1–5. [Google Scholar] [CrossRef]
- Karlova, R.; Boer, D.; Hayes, S.; Testerink, C. Root plasticity under abiotic stress. Plant Physiol. 2021, 187, 1057–1070. [Google Scholar] [CrossRef]
- Yuan, S.; Linquist, B.A.; Wilson, L.T.; Cassman, K.G.; Stuart, A.M.; Pede, V.; Miro, B.; Saito, K.; Agustiani, N.; Aristya, V.E.; et al. Sustainable intensification for a larger global rice bowl. Nat. Commun. 2021, 12, 7163. [Google Scholar] [CrossRef]
- Arai, H. Increased rice yield and reduced greenhouse gas emissions through alternate wetting and drying in a triple-cropped rice field in the Mekong Delta. Sci. Total Environ. 2022, 842, 156958. [Google Scholar] [CrossRef]
- Girsang, S.S.; Correa, T.Q.; Quilty, J.R.; Sanchez, P.B.; Buresh, R.J. Soil aeration and relationship to inorganic nitrogen during aerobic cultivation of irrigated rice on a consolidated land parcel. Soil Tillage Res. 2020, 202, 104647. [Google Scholar] [CrossRef]
- Li, S.; Zuo, Q.; Jin, X.; Ma, W.; Shi, J.; Ben-Gal, A. The physiological processes and mechanisms for superior water productivity of a popular ground cover rice production system. Agric. Water Manag. 2018, 201, 11–20. [Google Scholar] [CrossRef]
- Lou, D.; Chen, Z.; Yu, D.; Yang, X. SAPK2 Contributes to rice yield by modulating nitrogen metabolic processes under reproductive stage drought stress. Rice 2020, 13, 35. [Google Scholar] [CrossRef] [PubMed]
- Li, L.; Huang, Z.; Mu, Y.; Song, S.; Zhang, Y.; Tao, Y.; Nie, L. Alternate wetting and drying maintains rice yield and reduces global warming potential: A global meta-analysis. Field Crops Res. 2024, 318, 109603. [Google Scholar] [CrossRef]
- Cheng, H.; Shu, K.; Zhu, T.; Wang, L.; Liu, X.; Cai, W.; Qi, Z.; Feng, S. Effects of alternate wetting and drying irrigation on yield, water and nitrogen use, and greenhouse gas emissions in rice paddy fields. J. Clean. Prod. 2022, 349, 131487. [Google Scholar] [CrossRef]
- Bouman, B.A.M.; Lampayan, R.M.; Tuong, T.P. Water Management in Irrigated Rice: Coping with Water Scarcity; International Rice Research Institute: Los Baños, Philippines, 2007. [Google Scholar]
- Setyanto, P.; Pramono, A.; Adriany, T.A.; Susilawati, H.L.; Tokida, T.; Padre, A.T.; Minamikawa, K. Alternate wetting and drying reduces methane emission from a rice paddy in Central Java, Indonesia without yield loss. Soil Sci. Plant Nutr. 2018, 64, 23–30. [Google Scholar] [CrossRef]
- Zhang, Y.; Wang, W.; Li, S.; Zhu, K.; Hua, X.; Harrison, M.T.; Liu, K.; Yang, J.; Liu, L.; Chen, Y. Integrated management approaches enabling sustainable rice production under alternate wetting and drying irrigation. Agric. Water Manag. 2023, 281, 108265. [Google Scholar] [CrossRef]
- Li, Z.; Shen, Y.; Zhang, W.; Wang, Z.; Gu, J.; Yang, J.; Zhang, J. A moderate wetting and drying regime produces more and healthier rice food with less environmental risk. Field Crops Res. 2023, 298, 108954. [Google Scholar] [CrossRef]
- Gao, R.; Zhuo, L.; Duan, Y.; Yan, C.; Yue, Z.; Zhao, Z.; Wu, P. Effects of alternate wetting and drying irrigation on yield, water-saving, and emission reduction in rice fields: A global meta-analysis. Agric. For. Meteorol. 2024, 353, 110075. [Google Scholar] [CrossRef]
- Carrijo, D.R.; Lundy, M.E.; Linquist, B.A. Rice yields and water use under alternate wetting and drying irrigation: A meta-analysis. Field Crops Res. 2017, 203, 173–180. [Google Scholar] [CrossRef]
- Richards, F.J. A flexible growth function for empirical use. J. Exp. Bot. 1959, 10, 290–301. [Google Scholar] [CrossRef]
- Zhu, Q.; Cao, X.; Luo, Y. Growth analysis in the process of grain filling in rice. Acta Agron. Sin. 1988, 14, 182–192. [Google Scholar] [CrossRef]
- Xiao, L.; Wang, S. Experimental Techniques of Plant Physiology; China Agriculture Press: Beijing, China, 2005; pp. 61–62, (In Chinese with English Abstract). [Google Scholar]
- Ramasamy, S.; Ten Berge, H.F.M.; Purushothaman, S. Yield formation in rice in response to drainage and nitrogen application. Field Crops Res. 1997, 51, 65–82. [Google Scholar] [CrossRef]
- Pan, X.; Welti, R.; Wang, X. Quantitative analysis of major plant hormones in crude plant extracts by high-performance liquid chromatography–mass spectrometry. Nat. Protoc. 2010, 5, 986–992. [Google Scholar] [CrossRef] [PubMed]
- Müller, M.; Munné-Bosch, S. Rapid and sensitive hormonal profiling of complex plant samples by liquid chromatography coupled to electrospray ionization tandem mass spectrometry. Plant Methods 2011, 7, 37. [Google Scholar] [CrossRef]
- He, H.; Song, L.; Wang, W.; Zheng, H.; Tang, Q. Critical yield components for achieving high annual grain yield in ratoon rice. Sci. Rep. 2024, 14, 23190. [Google Scholar] [CrossRef]
- Fang, H.; Zhou, H.; Norton, G.J.; Price, A.H.; Raffan, A.C.; Mooney, S.J.; Peng, X.; Hallett, P.D. Interaction between contrasting rice genotypes and soil physical conditions induced by hydraulic stresses typical of alternate wetting and drying irrigation of soil. Plant Soil 2018, 430, 233–243. [Google Scholar] [CrossRef]
- Islam, M.D.; Price, A.H.; Hallett, P.D. Rhizosphere development under alternate wetting and drying in puddled paddy rice. Eur. J. Soil Sci. 2024, 75, e13533. [Google Scholar] [CrossRef]
- Wang, X.; Jing, Z.-H.; He, C.; Liu, Q.-Y.; Jia, H.; Qi, J.-Y.; Zhang, H.-L. Breeding rice varieties provides an effective approach to improve productivity and yield sensitivity to climate resources. Eur. J. Agron. 2021, 124, 126239. [Google Scholar] [CrossRef]
- Meng, T.; Zhang, X.; Ge, J.; Chen, X.; Zhu, G.; Chen, Y.; Zhou, G.; Wei, H.; Dai, Q. Improvements in grain yield and nutrient utilization efficiency of japonica inbred rice released since the 1980s in eastern China. Field Crops Res. 2022, 277, 108427. [Google Scholar] [CrossRef]
- Liang, H.; Yang, S.; Xu, J.; Hu, K. Modeling water consumption, N fates, and rice yield for water-saving and conventional rice production systems. Soil Tillage Res. 2021, 209, 104944. [Google Scholar] [CrossRef]
- Nawaz, A.; Rehman, A.U.; Rehman, A.; Ahmad, S.; Siddique, K.H.M.; Farooq, M. Increasing sustainability for rice production systems. J. Cereal Sci. 2022, 103, 103400. [Google Scholar] [CrossRef]
- Bo, Y.; Wang, X.; Van Groenigen, K.J.; Linquist, B.A.; Müller, C.; Li, T.; Yang, J.; Jägermeyr, J.; Qin, Y.; Zhou, F. Improved alternate wetting and drying irrigation increases global water productivity. Nat. Food 2024, 5, 1005–1013. [Google Scholar] [CrossRef] [PubMed]
- Monaco, S.; Volante, A.; Orasen, G.; Cochrane, N.; Oliver, V.; Price, A.H.; Teh, Y.A.; Martínez-Eixarch, M.; Thomas, C.; Courtois, B.; et al. Effects of the application of a moderate alternate wetting and drying technique on the performance of different European varieties in Northern Italy rice system. Field Crops Res. 2021, 270, 108220. [Google Scholar] [CrossRef]
- Okamura, M.; Arai-Sanoh, Y.; Yoshida, H.; Mukouyama, T.; Adachi, S.; Yabe, S.; Nakagawa, H.; Tsutsumi, K.; Taniguchi, Y.; Kobayashi, N.; et al. Characterization of High-Yielding Rice Cultivars with Different Grain-Filling Properties to Clarify Limiting Factors for Improving Grain Yield. Field Crops Res. 2018, 219, 139–147. [Google Scholar] [CrossRef]
- Asseng, S.; Van Herwaarden, A.F. Analysis of the benefits to wheat yield from assimilates stored prior to grain filling in a range of environments*. Plant Soil 2003, 256, 217–229. [Google Scholar] [CrossRef]
- Dwivedi, S.K.; Kumar, S.; Natividad, M.A.; Quintana, M.R.; Chinnusamy, V.; Henry, A. Disentangling the roles of plant water status and stem carbohydrate remobilization on rice harvest index under drought. Rice 2023, 16, 14. [Google Scholar] [CrossRef]
- Yang, J.; Zhang, J.; Wang, Z.; Zhu, Q.; Wang, W. Remobilization of carbon reserves in response to water deficit during grain filling of rice. Field Crops Res. 2001, 74, 47–55. [Google Scholar] [CrossRef]
- Zhang, H.; Jing, W.; Zhao, B.; Wang, W.; Xu, Y.; Zhang, W.; Gu, J.; Liu, L.; Wang, Z.; Yang, J. Alternative fertilizer and irrigation practices improve rice yield and resource use efficiency by regulating source-sink relationships. Field Crops Res. 2021, 265, 108124. [Google Scholar] [CrossRef]
- Li, Z.; Li, Z.; Muhammad, W.; Lin, M.; Azeem, S.; Zhao, H.; Lin, S.; Chen, T.; Fang, C.; Letuma, P.; et al. Proteomic analysis of positive influence of alternate wetting and moderate soil drying on the process of rice grain filling. Plant Growth Regul. 2018, 84, 533–548. [Google Scholar] [CrossRef]
- Gu, J.; Yin, X.; Stomph, T.-J.; Wang, H.; Struik, P.C. Physiological basis of genetic variation in leaf photosynthesis among rice (Oryza sativa L.) introgression lines under drought and well-watered conditions. J. Exp. Bot. 2012, 63, 5137–5153. [Google Scholar] [CrossRef]
- Liu, H.; Won, P.L.P.; Banayo, N.P.M.; Nie, L.; Peng, S.; Kato, Y. Late-season nitrogen applications improve grain yield and fertilizer-use efficiency of dry direct-seeded rice in the tropics. Field Crops Res. 2019, 233, 114–120. [Google Scholar] [CrossRef]
- Fan, J.; McConkey, B.; Wang, H.; Janzen, H. Root distribution by depth for temperate agricultural crops. Field Crops Res. 2016, 189, 68–74. [Google Scholar] [CrossRef]
- Chen, X.; Liu, P.; Zhao, B.; Zhang, J.; Ren, B.; Li, Z.; Wang, Z. Root physiological adaptations that enhance the grain yield and nutrient use efficiency of maize (Zea mays L) and their dependency on phosphorus placement depth. Field Crops Res. 2022, 276, 108378. [Google Scholar] [CrossRef]
- Hou, D.; Liu, K.; Liu, S.; Li, J.; Tan, J.; Bi, Q.; Zhang, A.; Yu, X.; Bi, J.; Luo, L. Enhancing root physiology for increased yield in water-saving and drought-resistance rice with optimal irrigation and nitrogen. Front. Plant Sci. 2024, 15, 1370297. [Google Scholar] [CrossRef] [PubMed]
- Zhang, H.; Xue, Y.; Wang, Z.; Yang, J.; Zhang, J. Morphological and physiological traits of roots and their relationships with shoot growth in “super” rice. Field Crops Res. 2009, 113, 31–40. [Google Scholar] [CrossRef]










| Parameter | Value | Unit | Classification |
|---|---|---|---|
| Soil taxonomy | – | – | Typic Epiaquents |
| Texture class | – | – | Sandy loam |
| pH (H2O, 1:2.5) | 6.3 | – | – |
| Organic matter | 22.5 | g kg−1 | – |
| Alkali-hydrolyzable nitrogen (N) | 101.9 | mg kg−1 | – |
| Olsen phosphorus (P) | 23.4 | mg kg−1 | – |
| Exchangeable potassium (K) | 91.2 | mg kg−1 | – |
| Cation exchange capacity (CEC) | 12.5 | cmol kg−1 | – |
| Field capacity | 0.2 | g g−1 | – |
| Bulk density | 1.3 | g cm−3 | – |
| Year of Release | Variety | Type | Growth Period (d) |
|---|---|---|---|
| 1960s–1970s | Taizhongxian | Dwarf variety (DV) | 130 |
| 1960s–1970s | Zhenzhu’ai | Dwarf variety (DV) | 130 |
| 1980s–1990s | Yangdao 2 | Semi-dwarf variety (SDV) | 145 |
| 1980s–1990s | Yangdao 6 | Semi-dwarf variety (SDV) | 145 |
| 2000– | Yangliangyou 6 | Semi-dwarf hybrid rice (SDH) | 150 |
| 2000– | Liangyoupeijiu | Semi-dwarf hybrid rice (SDH) | 150 |
| Year/ Treatment † | Type ‡ | Variety | Number of Panicles (×104 ha−1) | Spikelets per Panicle | Total Spikelets (×106 ha−1) | Filled Grain Rate (%) | 1000-Grain Weight (g) |
|---|---|---|---|---|---|---|---|
| 2022/AWD | DV | Taizhongxian | 249.22 d § | 134.44 j | 335.06 j | 66.53 d | 25.93 f |
| Zhenzhu’ai | 255.45 b | 147.08 h | 375.73 h | 64.35 de | 26.53 e | ||
| Mean | 252.34 | 140.76 | 355.40 | 65.44 | 26.23 | ||
| SDV | Yangdao 2 | 239.88 f | 174.06 e | 460.71 b | 77.12 a | 29.45 a | |
| Yangdao 6 | 245.22 e | 166.18 g | 414.15 g | 73.40 bc | 27.78 c | ||
| Mean | 242.55 | 170.12 | 437.43 | 75.26 | 28.62 | ||
| SDH | Yangliangyou 6 | 228.07 i | 193.53 c | 422.03 e | 74.46 b | 28.00 c | |
| Liangyoupeijiu | 230.53 h | 203.22 a | 468.47 a | 75.67 ab | 29.17 ab | ||
| Mean | 229.30 | 198.38 | 445.25 | 75.07 | 28.59 | ||
| 2022/CI | DV | Taizhongxian | 255.45 b | 129.06 k | 329.69 k | 65.98 de | 25.85 f |
| Zhenzhu’ai | 261.68 a | 134.93 j | 353.08 i | 58.53 f | 26.52 e | ||
| Mean | 258.57 | 132.00 | 341.39 | 62.26 | 26.19 | ||
| SDV | Yangdao 2 | 246.11 e | 169.77 f | 417.82 f | 75.73 ab | 26.98 d | |
| Yangdao 6 | 252.34 c | 140.68 i | 354.98 i | 63.82 e | 28.97 b | ||
| Mean | 249.23 | 155.23 | 386.40 | 69.78 | 27.98 | ||
| SDH | Yangliangyou 6 | 227.41 i | 197.55 b | 449.26 c | 59.74 f | 29.07 ab | |
| Liangyoupeijiu | 233.64 g | 184.26 d | 430.50 d | 71.92 c | 26.77 de | ||
| Mean | 230.53 | 190.91 | 439.88 | 65.83 | 27.92 | ||
| 2023/AWD | DV | Taizhongxian | 255.66 e | 151.27 f | 386.30 g | 66.46 h | 24.97 f |
| Zhenzhu’ai | 269.78 b | 147.91 g | 339.42 j | 68.78 f | 26.98 d | ||
| Mean | 262.72 | 149.59 | 362.86 | 67.62 | 25.98 | ||
| SDV | Yangdao 2 | 264.27 d | 159.34 e | 407.37 e | 85.69 a | 26.85 d | |
| Yangdao 6 | 243.76 g | 143.31 h | 386.62 g | 84.94 a | 29.32 a | ||
| Mean | 254.02 | 151.33 | 397.00 | 85.32 | 28.09 | ||
| SDH | Yangliangyou 6 | 255.37 e | 190.41 b | 492.63 a | 84.91 a | 28.05 bc | |
| Liangyoupeijiu | 229.48 i | 196.84 a | 479.82 b | 83.37 b | 27.92 bc | ||
| Mean | 242.43 | 193.63 | 486.23 | 84.14 | 27.99 | ||
| 2023/CI | DV | Taizhongxian | 267.42 c | 134.36 j | 362.75 h | 63.39 i | 23.60 g |
| Zhenzhu’ai | 278.16 a | 125.21 k | 348.28 i | 67.52 g | 26.77 d | ||
| Mean | 272.79 | 129.79 | 355.52 | 65.46 | 25.19 | ||
| SDV | Yangdao 2 | 269.98 b | 148.69 g | 401.43 f | 71.02 e | 28.35 b | |
| Yangdao 6 | 236.12 h | 138.46 i | 326.93 k | 77.72 c | 27.84 c | ||
| Mean | 253.05 | 143.58 | 364.18 | 74.37 | 28.10 | ||
| SDH | Yangliangyou 6 | 235.83 h | 186.87 c | 440.70 c | 76.56 d | 26.07 e | |
| Liangyoupeijiu | 248.49 f | 175.24 d | 435.45 d | 69.22 f | 28.93 a | ||
| Mean | 242.16 | 181.06 | 438.08 | 72.89 | 27.50 |
| Treatment † | Type ‡ | Variety | Maximum Grain Filling Rate (mg grain−1 d−1) | Mean Grain Filling Rate (mg grain−1 d−1) | Time to Reach the Maximum Grain Filling Rate (d) | |||
|---|---|---|---|---|---|---|---|---|
| Superior | Inferior | Superior | Inferior | Superior | Inferior | |||
| AWD | DV | Taizhongxian | 1.32 b § | 0.97 de | 1.22 e | 0.39 efg | 16.49 de | 17.77 f |
| Zhenzhu’ai | 1.30 b | 0.95 ef | 1.20 e | 0.36 g | 16.26 e | 17.18 g | ||
| Mean | 1.31 | 0.96 | 1.21 | 0.38 | 16.38 | 17.48 | ||
| SDV | Yangdao 2 | 1.70 a | 1.06 c | 1.52 cd | 0.41 cde | 16.52 de | 18.69 e | |
| Yangdao 6 | 1.68 a | 1.08 bc | 1.55 abc | 0.44 bc | 16.69 cde | 19.11 d | ||
| Mean | 1.69 | 1.07 | 1.54 | 0.43 | 16.61 | 18.90 | ||
| SDH | Yangliangyou 6 | 1.71 a | 1.15 ab | 1.57 a | 0.46 b | 16.54 de | 19.95 c | |
| Liangyoupeijiu | 1.73 a | 1.18 a | 1.56 ab | 0.49 a | 16.79 bcd | 20.02 c | ||
| Mean | 1.72 | 1.165 | 1.57 | 0.48 | 16.67 | 19.99 | ||
| CI | DV | Taizhongxian | 1.31 b | 0.88 fg | 1.20 e | 0.33 h | 16.59 de | 19.41 d |
| Zhenzhu’ai | 1.29 b | 0.86 g | 1.19 e | 0.31 h | 16.75 cd | 19.11 d | ||
| Mean | 1.30 | 0.87 | 1.20 | 0.32 | 16.67 | 19.26 | ||
| SDV | Yangdao 2 | 1.68 a | 0.95 ef | 1.51 d | 0.37 fg | 17.12 bc | 21.18 b | |
| Yangdao 6 | 1.66 a | 0.97 de | 1.53 bcd | 0.4 def | 17.21 b | 20.97 b | ||
| Mean | 1.67 | 0.96 | 1.52 | 0.39 | 17.17 | 21.08 | ||
| SDH | Yangliangyou 6 | 1.72 a | 1.07 bc | 1.54 abcd | 0.43 bcd | 17.83 a | 22.04 a | |
| Liangyoupeijiu | 1.70 a | 1.05 cd | 1.55 abc | 0.42 cde | 18.15 a | 21.88 a | ||
| Mean | 1.71 | 1.06 | 1.55 | 0.43 | 17.99 | 21.96 | ||
Disclaimer/Publisher’s Note: The statements, opinions and data contained in all publications are solely those of the individual author(s) and contributor(s) and not of MDPI and/or the editor(s). MDPI and/or the editor(s) disclaim responsibility for any injury to people or property resulting from any ideas, methods, instructions or products referred to in the content. |
© 2025 by the authors. Licensee MDPI, Basel, Switzerland. This article is an open access article distributed under the terms and conditions of the Creative Commons Attribution (CC BY) license (https://creativecommons.org/licenses/by/4.0/).
Share and Cite
Meng, Q.; Jing, W.; Zhang, N.; Sun, R.; Yin, J.; Zhang, Y.; Shi, J.; He, F.; Liu, L.; Zhang, J.; et al. The Effect of Two Irrigation Regimes on Yield and Water Use Efficiency of Rice Varieties in Eastern China. Agronomy 2025, 15, 978. https://doi.org/10.3390/agronomy15040978
Meng Q, Jing W, Zhang N, Sun R, Yin J, Zhang Y, Shi J, He F, Liu L, Zhang J, et al. The Effect of Two Irrigation Regimes on Yield and Water Use Efficiency of Rice Varieties in Eastern China. Agronomy. 2025; 15(4):978. https://doi.org/10.3390/agronomy15040978
Chicago/Turabian StyleMeng, Qinghao, Wenjiang Jing, Nan Zhang, Rumeng Sun, Jia Yin, Ying Zhang, Junyao Shi, Feng He, Lijun Liu, Jianhua Zhang, and et al. 2025. "The Effect of Two Irrigation Regimes on Yield and Water Use Efficiency of Rice Varieties in Eastern China" Agronomy 15, no. 4: 978. https://doi.org/10.3390/agronomy15040978
APA StyleMeng, Q., Jing, W., Zhang, N., Sun, R., Yin, J., Zhang, Y., Shi, J., He, F., Liu, L., Zhang, J., & Zhang, H. (2025). The Effect of Two Irrigation Regimes on Yield and Water Use Efficiency of Rice Varieties in Eastern China. Agronomy, 15(4), 978. https://doi.org/10.3390/agronomy15040978

